Analysis of Morphological Characteristics of Male and Female Gymnocypris eckloni Herzenstein
Abstract
1. Introduction
2. Materials and Methods
2.1. Experimental Materials
2.2. Data Measurement
2.3. Data Processing
3. Results
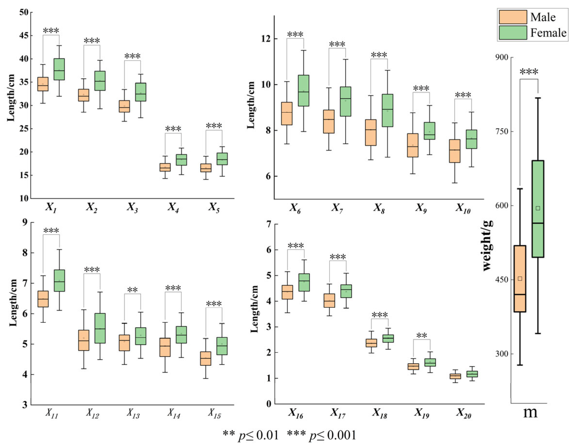
3.1. Comparison of the Morphological Traits of Male and Female G. eckloni
3.2. Correlation Analysis Between Morphological Traits
3.3. Principal Component Analysis of the Morphological Traits of G. eckloni
3.4. Discriminant Analysis
3.5. Hierarchical Cluster Analysis
3.6. Relationship Between Body Length and Body Weight in G. eckloni
4. Discussion
5. Conclusions
Supplementary Materials
Author Contributions
Funding
Institutional Review Board Statement
Data Availability Statement
Acknowledgments
Conflicts of Interest
References
- Wu, Y.F.; Wu, C.Z. The Fishes of the Qinghai-Xizang Plateau; Sichuan Science and Technology Press: Chengdu, China, 1992. [Google Scholar]
- Zhou, C.; Duan, Y.; Li, J.; Fu, S.; Bai, S.; Zhuang, Y.; Liu, S.; Li, H.; Zhou, Y.; Wang, Q.; et al. A Study on the Hepatic Response to Heat Stress in Gymnocypris Eckloni through an Approach Combining Metabolomic and Transcriptomic Profiling. Aquac. Rep. 2024, 39, 102392. [Google Scholar] [CrossRef]
- Wang, F.; Wang, L.; Liu, D.; Gao, Q.; Nie, M.; Zhu, S.; Chao, Y.; Yang, C.; Zhang, C.; Yi, R.; et al. Chromosome-Level Assembly of Gymnocypris eckloni Genome. Sci. Data 2022, 9, 464. [Google Scholar] [CrossRef] [PubMed]
- Li, J.; Duan, Y.; Kong, W.; Gao, H.; Fu, S.; Li, H.; Zhou, Y.; Liu, H.; Yuan, D.; Zhou, C. Heat Stress Affects Swimming Performance and Induces Biochemical, Structural, and Transcriptional Changes in the Heart of Gymnocypris eckloni. Aquac. Rep. 2024, 35, 101998. [Google Scholar] [CrossRef]
- Zhao, G.; Tian, S.; Chen, R.; Cao, Y.; Zhang, Y.; Han, B. Effect of Global Climate Change on the Sustainability of Cold-Water Fish Habitat in the Alpine Region: A Case Study on the Gymnocypris eckloni in the Source Region of the Yellow River. J. Environ. Manag. 2024, 367, 121926. [Google Scholar] [CrossRef] [PubMed]
- Qi, H.F. Analysis of nutritive composition in muscle of Gymnocyoris eckloni and Platy Pharodon extremus. Fish. Sci. 2009, 28, 159–161. [Google Scholar] [CrossRef]
- Shen, Z.X.; Sun, W.C.; Wang, G.J. Analysis the contents of amino acids in Gymncypris eckloni between raise and natural environment. Food Res. Dev. 2013, 34, 90–93. [Google Scholar]
- Li, H.; Deng, L. Mineral analysis and nutritional value evaluation of Gymnocypris eckloni. Sichuan J. Zool. 2014, 33, 923–925. [Google Scholar]
- Li, J.; Huang, L.; Qu, X. Medicinal Fauna of China, Second Volume; Fuzhou Science and Technology Press: Fuzhou, China, 2013. [Google Scholar]
- Cao, W.X.; Deng, Z.L. Schizothoracin fish in western and adjacent Sichuan. Acta Hydrobiol. Sin. 1962, 2, 27–53. [Google Scholar]
- Liu, S.P.; Zhou, W. Sexual Dimorphism in Gymnocypris eckloni. J. Fish Biol. 2010, 77, 1230–1240. [Google Scholar] [CrossRef]
- Zhang, Y.; Li, X.-H.; Tian, F.; Liu, S.J.; Feng, C.G.; Zhao, K. Mitochondrial Genome and Phylogenetic Relationship of Gymnocypris eckloni (Schizothoracinae) in Qaidam River Basin. Genomics 2020, 112, 4316–4321. [Google Scholar] [CrossRef]
- Zhao, K. The current situation and crisis of wild economic fish resources in Qinghai Province. Qinghai Sci. Technol. 2006, 1, 15–19. [Google Scholar]
- Qi, D.L. Genetic Variation and Diversity of Gymncypris eckloni in the upper Yellow River Inferred from mitochondrial cytochrome b Gene. Zool. Res. 2009, 30, 255–261. [Google Scholar]
- Zhang, J.J.; Feng, H.; Li, K.S.; Yang, X.Z.; Li, F.; Zhang, J.Y. Changes of fishery resources after the construction of cascade hydropower stations from Longyang gorge to Liujia gorge in upper stream of Yellow River. Freshw. Fish. 2009, 39, 40–45. [Google Scholar]
- Quan, Q.; Gao, S.Z.; Shang, Y.W.; Wang, B.X. Assessment of the Sustainability of Gymnocypris eckloni Habitat under River Damming in the Source Region of the Yellow River. Sci. Total Environ. 2021, 778, 146312. [Google Scholar] [CrossRef] [PubMed]
- Chen, H.; Yang, T.; He, C.L.; Li, T.Y.; Kou, X.M. Research on Fish Inlet Location and Design Parameter System of Fish-passing Facility in High Dam. Water Power 2023, 49, 45–49. [Google Scholar]
- Zhang, D.C.; Zheng, J.L. Preliminary study on invasion of alien fish species after construction of hydropower projects. Yangtze River 2019, 50, 83–89. [Google Scholar] [CrossRef]
- Zhu, S.H.; Huang, X.Y.; Wang, J.S.; Zhao, Y.M.; Ma, T.; Wang, S.Y. Exotic Fish Species Survey on the Section from Longyangxia to Lijiaxia in the Upper Reaches of the Yellow River. Biol. Chem. Eng. 2022, 8, 43–46. [Google Scholar]
- Zhu, B.; Zheng, H.T.; Qiao, Y.; Que, Y.F.; Chang, J.B. Fish stocking program in the Yangtze River. Chin. Fish. Econ. 2009, 27, 74–87. [Google Scholar]
- Dong, Y.Z.; Deng, S.H.; Xiao, W.Y. Artificial Propagation of Gymnocypris eckloni Herzenstein. Anim. Husb. Feed Sci. 2016, 37, 8–10. [Google Scholar] [CrossRef]
- Liu, J.; Cao, W. Fish resources of the Yangtze River basin and the tactics for their conservation. Resour. Environ. Yangtze Basin 1992, 1, 17–23. [Google Scholar]
- Yang, J.X.; Pan, X.F.; Chen, X.Y.; Wang, X.A.; Zhao, Y.P.; Li, J.Y.; Li, Z.Y. Overview of the artificial enhancement and release of endemic freshwater fish in China. Zool. Res. 2013, 34, 267–280. [Google Scholar]
- Abdissa, B.; Getahun, A.; Dejen, E. Artificial Propagation in Labeobarbus brevicephalus (Pisces: Cyprinidae) of Lake Tana. Aquaculture 2020, 521, 735063. [Google Scholar] [CrossRef]
- Pan, N.; Wang, M.; Zhong, L.; Bian, W.; Chen, X.; Zhang, S. Identification of Male-Specific SNP Markers and Development of Rapid PCR-Based Genetic Sex Identification Method in Channel Catfish (Ictalurus Punctatus). Aquaculture 2022, 547, 737535. [Google Scholar] [CrossRef]
- Li, J.; Yang, J. Sexual Dimorphism and Reproductive Characteristics of Gymnocypris eckloni. J. Appl. Ichthyol. 2008, 24, 323–329. [Google Scholar] [CrossRef]
- Luo, H.; Li, Y.; Zheng, S.; Zhou, J.; Zou, X.; Li, C.; Ye, H.; Li, Z.; Zhou, C.; Lv, G.; et al. Identification of Male Sex-Specific Markers Using Genome Re-Sequencing in the Chinese Longsnout Catfish Leiocassis Longirostris. Aquaculture 2022, 558, 738392. [Google Scholar] [CrossRef]
- Hossain, M.Y.; Uddin, M.; Rahman, M.A.; Haque, M.K.; Kormoker, T.; Samad, M.A.; Tanjin, S.; Rahman, M.A.; Parvin, M.F.; Sarmin, M.S.; et al. Species Identification, Reproductive Biology, and Nutritional Value of Marine Shellfish (Meretrix lyrata) in the Bay of Bengal. Mar. Environ. Res. 2023, 192, 106222. [Google Scholar] [CrossRef]
- Lee, B.-Y.; Hulata, G.; Kocher, T.D. Two Unlinked Loci Controlling the Sex of Blue Tilapia (Oreochromis aureus). Heredity 2004, 92, 543–549. [Google Scholar] [CrossRef]
- Chen, S.-L.; Li, J.; Deng, S.-P.; Tian, Y.-S.; Wang, Q.-Y.; Zhuang, Z.-M.; Sha, Z.-X.; Xu, J.-Y. Isolation of Female-Specific AFLP Markers and Molecular Identification of Genetic Sex in Half-Smooth Tongue Sole (Cynoglossus semilaevis). Mar. Biotechnol. 2007, 9, 273–280. [Google Scholar] [CrossRef]
- Liu, G.Y.; Chen, K.C.; Zheng, G.M.; Zhu, X.P.; Zhao, J.; Xu, P.; Sun, X.W. Screening and identification of female-specific DNA fragments in Channa argus using SSR-BSA. J. Fish. China 2011, 35, 170–175. [Google Scholar]
- Li, W.Y.; Xiong, Y.Y.; Wang, Z.W.; Zhang, Q.; Jiang, J.M.; Yan, H.W.; Liu, Y.; Liu, Q.; Li, M.Y.; Wang, X.L. Histological Observation of Gonadal Development of Tiger PufferTakifugu rubripes. Fish. Sci. 2022, 41, 749–758. [Google Scholar] [CrossRef]
- Wang, B.; Yu, D.M.; Shi, W.; Xia, Y.T.; Zhang, D.H.; Xin, C.M.; Meng, X.L.; Chen, J.P. Determination of Sex and Maturity by Using Ultrasonography in Large-scale Cultivation of Young Sturgeon. Chin. J. Zool. 2009, 44, 57–63. [Google Scholar] [CrossRef]
- Zhao, F.; Zhang, L.Z.; Zhuang, P.; Liu, J.Y.; Zhang, T. Research progress and application of sex identification techniques in sturgeons. Mar. Fish. 2009, 31, 215–220. [Google Scholar]
- James Rohlf, F.; Marcus, L.F. A Revolution Morphometrics. Trends Ecol. Evol. 1993, 8, 129–132. [Google Scholar] [CrossRef] [PubMed]
- Rohlf, F.; Corti, M. Use of Two-Block Partial Least-Squares to Study Covariation in Shape. Syst. Biol. 2001, 49, 740–753. [Google Scholar] [CrossRef] [PubMed]
- Collyer, M.L.; Adams, D.C. Analysis of Two-State Multivariate Phenotypic Change in Ecological Studies. Ecology 2007, 88, 683–692. [Google Scholar] [CrossRef] [PubMed]
- Adams, D.C.; Collyer, M.L. A General Framework for the Analysis of Phenotypic Trajectories in Evolutionary Studies. Evolution 2009, 63, 1143–1154. [Google Scholar] [CrossRef]
- Green, H.; Curnoe, D. Sexual Dimorphism in Southeast Asian Crania: A Geometric Morphometric Approach. J. Comp. Hum. Biol. 2009, 60, 517–534. [Google Scholar] [CrossRef]
- Collyer, M.L.; Sekora, D.J.; Adams, D.C. A Method for Analysis of Phenotypic Change for Phenotypes Described by High-Dimensional Data. Heredity 2015, 115, 357–365. [Google Scholar] [CrossRef]
- Kaliontzopoulou, A.; Carretero, M.A.; Llorente, G.A. Multivariate and Geometric Morphometrics in the Analysis of Sexual Dimorphism Variation in Podarcis lizards. J. Morphol. 2007, 268, 152–165. [Google Scholar] [CrossRef]
- Alencar, C.E.R.D.; Lima-Filho, P.A.; Molina, W.F.; Freire, F.A.M. Sexual Shape Dimorphism of the Mangrove Crab Ucides cordatus (Linnaeus, 1763) (Decapoda, Ucididae) Accessed through Geometric Morphometric. Sci. World J. 2014, 2014, e206168. [Google Scholar] [CrossRef]
- Valentin, A.E.; Penin, X.; Chanut, J.-P.; Power, D.; Sévigny, J.-M. Combining Microsatellites and Geometric Morphometrics for the Study of Redfish (Sebastes Spp.) Population Structure in the Northwest Atlantic. Fish. Res. 2014, 154, 102–119. [Google Scholar] [CrossRef]
- Chen, L.; Pan, Q.; Waqas, M.S.; Liu, T. Morphological Traits for Sex Identification of the Oriental Armyworm, Mythimna separata (Lepidoptera: Noctuidae). J. Integr. Agric. 2020, 19, 1458–1463. [Google Scholar] [CrossRef]
- Dursun, C.; Gül, S.; Özdemir, N. Sexual Size and Shape Dimorphism in Turkish Common Toads (Bufo Bufo Linnaeus 1758). Anat. Rec. 2022, 305, 1548–1558. [Google Scholar] [CrossRef] [PubMed]
- Boquiren, A.R.; Perez, P.M.; Maramag, F.A.; Quilang, J. Geometric Morphometric Analysis and Meristic Variations of Philippine Populations of the Crescent Perch Terapon jarbua (Centrarchiformes: Terapontidae). Zool. Anz. 2023, 305, 91–101. [Google Scholar] [CrossRef]
- Ni, H.E.; Gong, Q.X.; Dong, Z.Y.; Fang, Y.E. A study of Individual and a feature comparison between male and female of Cynoglossus Abbreviatus. J. Zhejiang Coll. Fish. 1989, 8, 9–15. [Google Scholar]
- Chen, W.; Wang, P.P.; Xiao, S.J.; Liu, Y.; Ye, K.; Chen, Q.K.; Wang, Z.Y. Analysis of morphological index system and sexual differences of Large Yellow Croaker (Larimichthys crocea). J. Jimei Univ. (Nat. Sci.) 2014, 19, 401–408. [Google Scholar] [CrossRef]
- Wu, B.; Zhang, M.Z.; Deng, S.P.; Shi, S.L.; Li, G.L.; Zhu, C.H. Analysis of morphological index and discrimination of male and female Scatophagus argus. J. Shanghai Ocean Univ. 2014, 23, 64–69. [Google Scholar]
- An, L.; Meng, Q.L.; Zhang, L.G.; Dong, X.S.; Li, X.; Li, N.; Zhu, S.R. Analysis of morphological indexes and discrimination of male and female Eryghroculter ilishaeformis. Freshw. Fish. 2017, 47, 36–41. [Google Scholar] [CrossRef]
- Qiu, C.W.; Wang, H.X.; Chen, D.H. Morphological mifferentiation and sexual identification of male and female Paramisgumus dabryanus ssp. J. Hydroecol. 2017, 38, 87–91. [Google Scholar] [CrossRef]
- Zhang, H.Y.; Chen, S.Q.; Wang, T.; Zhou, G.Q.; Yin, S.W. Morphometric index system and male and female difference analysis of Odontobutis potamophila. Jiangsu Agric. Sci. 2018, 46, 138–142. [Google Scholar] [CrossRef]
- Wang, X.; Ren, Y.; Liu, Y.R.; Li, B.; Liu, G.X.; Zhou, Q.; Zhu, W.H.; Zhang, Q.; Zhu, S.H. Morphological differences, individual differences between male and female, and genetic diversity analysis of reproductive and nonreproductive populations of Odontobutis potamophilus. Biot. Resour. 2023, 45, 523–533. [Google Scholar] [CrossRef]
- Zhou, H.Q.; Li, F.; Shu, H.; Zhong, D.M.; He, P.Y.; Huang, X.Q.; Chen, Z.K. Analysis on morphological indexes and discrimination of male and female Mastacembelus armatus. J. Guangdong Ocean Univ. 2019, 39, 1–6. [Google Scholar]
- He, F.L.; Xiang, J.G. Study on the difference of biological characteristics and growth between female and male Siniperca chuatsi. Reserv. Fish. 2005, 25, 30–32. [Google Scholar]
- Zhou, Y.H.; Ge, W.Y.; Xia, X.; Qian, K.L.; Zhao, J.L. Phenotypic difference between the males and females and screening the sex-specific molecular marker in Siniperca chuatsi. J. Anhui Agric. Univ. 2020, 47, 30–35. [Google Scholar] [CrossRef]
- Bi, Y.H.; Zhang, X.Y.; Li, J.; Sun, Y.R.; Wang, H.Z.; Fu, D.Y.; Yin, S.W. Analysis of morphological index and discrimination of male and female Takifugu fasciatus. Mar. Fish. 2021, 43, 563–572. [Google Scholar] [CrossRef]
- Lai, M.Y. Analysis on morphological indices and discrimination of male and female Acrossocheilius hemispinus. J. Fish. Res. 2023, 45, 119–126. [Google Scholar] [CrossRef]
- Keys, A.B. The Weight-Length Relation in Fishes. Proc. Natl. Acad. Sci. USA 1928, 14, 922–925. [Google Scholar] [CrossRef] [PubMed]
- Liu, Y.Q.; Liu, Y.F.; Li, X.H.; Li, J.; Zhang, H. Inter-annual Variation of Body Length-weight Relationship and Condition Factors of the Black Amur Bream (Megalobrama terminalis) in the Downstream of the Pearl River. Chin. J. Zool. 2022, 57, 732–741. [Google Scholar] [CrossRef]
- Chelini, M.-C.; Delong, J.P.; Hebets, E.A. Ecophysiological Determinants of Sexual Size Dimorphism: Integrating Growth Trajectories, Environmental Conditions, and Metabolic Rates. Oecologia 2019, 191, 61–71. [Google Scholar] [CrossRef] [PubMed]
- Shine, R. Ecological Causes for the Evolution of Sexual Dimorphism: A Review of the Evidence. Q. Rev. Biol. 1990, 64, 419–461. [Google Scholar] [CrossRef]
- Mai, K.S. Aquatic Animal Nutriology and Feed Learning, Second Edition; China Agricul Ture Press: Beijing, China, 2011. [Google Scholar]
- Li, Z.; Du, X.S.; Qin, J.Q.; Chen, Z.; Li, Y.; Huang, Y.; Lin, Y.; Ye, H. Effects of morphological traits on body mass of different sexes of Cyprinus caroio var. Quanzhounensis. J. Southwest Univ. (Nat. Sci. Ed.) 2022, 44, 58–66. [Google Scholar] [CrossRef]
- Zhang, J.P.; Liu, Y.G.; Feng, D.P.; Yang, J.; Lu, L. Study on reproductive biology characteristics and artificial reproduction technology of Schizothorax prenanti in Shennongjia. Freshw. Fish. 2015, 45, 52–56. [Google Scholar] [CrossRef]
- Zhao, Z.M.; Huang, Z.P.; Zha, H.; Zhang, L.; Duan, Y.L.; Mu, C.Y.; Zhou, J.; Li, Q. Morphological differences between male and female populations of Gymnocypris chilianensis. Chin. Agric. Sci. Bull. 2023, 39, 142–147. [Google Scholar]
- Parsons, K.J.; Son, Y.H.; Craig Albertson, R. Hybridization Promotes Evolvability in African Cichlids: Connections Between Transgressive Segregation and Phenotypic Integration. Evol. Biol. 2011, 38, 306–315. [Google Scholar] [CrossRef]
- Maan, M.E.; Sefc, K.M. Colour Variation in Cichlid Fish: Developmental Mechanisms, Selective Pressures and Evolutionary Consequences. Semin. Cell Dev. Biol. 2013, 24, 516–528. [Google Scholar] [CrossRef] [PubMed]
- Peichel, C.L.; Marques, D.A. The Genetic and Molecular Architecture of Phenotypic Diversity in Sticklebacks. Phil. Trans. R. Soc. B 2017, 372, 20150486. [Google Scholar] [CrossRef] [PubMed]
- Fruciano, C.; Meyer, A.; Franchini, P. Divergent Allometric Trajectories in Gene Expression and Coexpression Produce Species Differences in Sympatrically Speciating Midas Cichlid Fish. Genome Biol. Evol. 2019, 11, 1644–1657. [Google Scholar] [CrossRef] [PubMed]
- Baur, J.; Roy, J.; Schäfer, M.A.; Puniamoorthy, N.; Blanckenhorn, W.U.; Rohner, P.T. Intraspecific Mating System Evolution and Its Effect on Complex Male Secondary Sexual Traits: Does Male-Male Competition Increase Selection on Size or Shape? J. Evol. Biol. 2020, 33, 297–308. [Google Scholar] [CrossRef]
- Hare, R.M.; Simmons, L.W. Chapter One—Ecological Determinants of Sex Roles and Female Sexual Selection. In Advances in the Study of Behavior; Naguib, M., Barrett, L., Healy, S.D., Podos, J., Simmons, L.W., Zuk, M., Eds.; Academic Press: New York, NY, USA, 2020; Volume 52, pp. 1–28. [Google Scholar]
- Hu, Y.; Albertson, R.C. Patterns of Trophic Evolution: Integration and Modularity of the Cichlid Skull. In The Behavior, Ecology and Evolution of Cichlid Fishes; Abate, M.E., Noakes, D.L.G., Eds.; Springer: Dordrecht, The Netherlands, 2021; pp. 753–777. ISBN 978-94-024-2080-7. [Google Scholar]
- Zhao, K.; Li, J.; Yang, G.; Duan, Z.; He, S.; Chen, Y. Molecular Phylogenetics of Gymnocypris (Teleostei: Cyprinidae) in Lake Qinghai and Adjacent Drainages. Chin. Sci. Bull. 2005, 50, 1326–1334. [Google Scholar] [CrossRef]
- Shen, Z.X.; Wang, S.D.; Wang, G.J.; Wang, Z.J. The Experiment of Daestication and Artificial Breeding of Piebald Naked Carp in Three Circum stances. J. Hydroecol. 2011, 32, 149–152. [Google Scholar] [CrossRef]
- Han, Y. Analysis on Age, Growth, Opulation Genetic Characters and Onservation of Gymnoeypris eckloni in Upper Yellow River. Master’s Thesis, ShangHai Ocean University, Shanghai, China, 2017. [Google Scholar]
- Qi, D.; Chao, Y.; Zhao, L.; Shen, Z.; Wang, G. Complete Mitochondrial Genomes of Two Relatively Closed Species from Gymnocypris (Cypriniformes: Cyprinidae): Genome Characterization and Phylogenetic Considerations. Mitochondrial DNA 2013, 24, 260–262. [Google Scholar] [CrossRef]







| Traits | Male | Female | F-Value | Degrees of Freedom | p-Value |
|---|---|---|---|---|---|
| Mean ± Standard Deviation | Mean ± Standard Deviation | ||||
| X1 (AI, overall length, cm) | 34.60 ± 2.10 | 37.56 ± 2.60 | 65.251 | 1.00 | 0.000 |
| X2 (AH, fork length, cm) | 32.32 ± 2.00 | 35.30 ± 2.43 | 74.522 | 1.00 | 0.000 |
| X3 (AG, body length, cm) | 29.87 ± 1.85 | 32.67 ± 2.29 | 75.675 | 1.00 | 0.000 |
| X4 (DE, trunk length, cm) | 16.76 ± 1.39 | 18.37 ± 1.46 | 52.653 | 1.00 | 0.000 |
| X5 (ON, the distance from the cloacal aperture to the base of the pectoral fin, cm) | 16.60 ± 1.39 | 18.30 ± 1.66 | 51.13 | 1.00 | 0.000 |
| X6 (NR, the distance from the base of the pectoral fin to the base of the ventral fin, cm) | 8.79 ± 0.71 | 9.72 ± 0.87 | 57.785 | 1.00 | 0.000 |
| X7 (PR, the distance from the base of the ventral fin to the base of the anal fin, cm) | 8.48 ± 0.78 | 9.30 ± 0.89 | 39.326 | 1.00 | 0.000 |
| X8 (SR, the distance from the cloaca to the base of the ventral fin, cm) | 8.03 ± 0.77 | 8.85 ± 0.93 | 38.397 | 1.00 | 0.000 |
| X9 (OS, the distance from the cloaca to the base of the caudal fin, cm) | 7.36 ± 0.65 | 7.94 ± 0.65 | 33.138 | 1.00 | 0.000 |
| X10 (LM, body height, cm) | 7.14 ± 0.69 | 7.66 ± 0.76 | 21.415 | 1.00 | 0.000 |
| X11 (AD, head length, cm) | 6.48 ± 0.40 | 7.09 ± 0.55 | 64.478 | 1.00 | 0.000 |
| X12 (PQ, anal fin length, cm) | 5.20 ± 0.60 | 5.50 ± 0.59 | 10.817 | 1.00 | 0.001 |
| X13 (GI, caudal fin length, cm) | 5.08 ± 0.41 | 5.29 ± 0.45 | 9.108 | 1.00 | 0.003 |
| X14 (body thickness, cm) | 4.94 ± 0.49 | 5.34 ± 0.43 | 32.581 | 1.00 | 0.000 |
| X15 (head breadth, cm) | 4.54 ± 0.43 | 5.00 ± 0.41 | 50.515 | 1.00 | 0.000 |
| X16 (FG, caudal peduncle length, cm) | 4.40 ± 0.69 | 4.76 ± 0.50 | 14.973 | 1.00 | 0.000 |
| X17 (CD, head length behind the eye, cm) | 4.02 ± 0.35 | 4.37 ± 0.55 | 24.524 | 1.00 | 0.000 |
| X18 (JK, caudal peduncle depth, cm) | 2.44 ± 0.66 | 2.56 ± 0.23 | 2.424 | 1.00 | 0.000 |
| X19 (AB, snout length, cm) | 1.47 ± 0.16 | 1.64 ± 0.26 | 26.359 | 1.00 | 0.004 |
| X20 (BC, eye diameter) | 1.20 ± 1.00 | 1.25 ± 0.76 | 0.146 | 1.00 | 0.703 |
| M (body weight, g) | 452.30 ± 104.27 | 594.77 ± 131.72 | 59.691 | 1.00 | 0.000 |
| Sex | Sample Number | Accuracy of Discrimination | Discrimination Classification | |
|---|---|---|---|---|
| Male | Female | |||
| Male | 48 | 79.17% | 38 | 10 |
| Female | 52 | 75.00% | 13 | 39 |
| Total | 100 | 77.00% | 51 | 49 |
Disclaimer/Publisher’s Note: The statements, opinions and data contained in all publications are solely those of the individual author(s) and contributor(s) and not of MDPI and/or the editor(s). MDPI and/or the editor(s) disclaim responsibility for any injury to people or property resulting from any ideas, methods, instructions or products referred to in the content. |
© 2025 by the authors. Licensee MDPI, Basel, Switzerland. This article is an open access article distributed under the terms and conditions of the Creative Commons Attribution (CC BY) license (https://creativecommons.org/licenses/by/4.0/).
Share and Cite
Wang, Q.; Fu, S.; Chen, X.; Duan, Y.; Lei, L.; Fan, Y.; Zhou, C. Analysis of Morphological Characteristics of Male and Female Gymnocypris eckloni Herzenstein. Fishes 2025, 10, 399. https://doi.org/10.3390/fishes10080399
Wang Q, Fu S, Chen X, Duan Y, Lei L, Fan Y, Zhou C. Analysis of Morphological Characteristics of Male and Female Gymnocypris eckloni Herzenstein. Fishes. 2025; 10(8):399. https://doi.org/10.3390/fishes10080399
Chicago/Turabian StyleWang, Qiming, Suxing Fu, Xiaoyi Chen, Yuting Duan, Luo Lei, Yawen Fan, and Chaowei Zhou. 2025. "Analysis of Morphological Characteristics of Male and Female Gymnocypris eckloni Herzenstein" Fishes 10, no. 8: 399. https://doi.org/10.3390/fishes10080399
APA StyleWang, Q., Fu, S., Chen, X., Duan, Y., Lei, L., Fan, Y., & Zhou, C. (2025). Analysis of Morphological Characteristics of Male and Female Gymnocypris eckloni Herzenstein. Fishes, 10(8), 399. https://doi.org/10.3390/fishes10080399

