Dominant Meristic Traits of Fish and Their Association with Habitat Water Quality Parameters: A Case Study
Abstract
1. Introduction
2. Materials and Methods
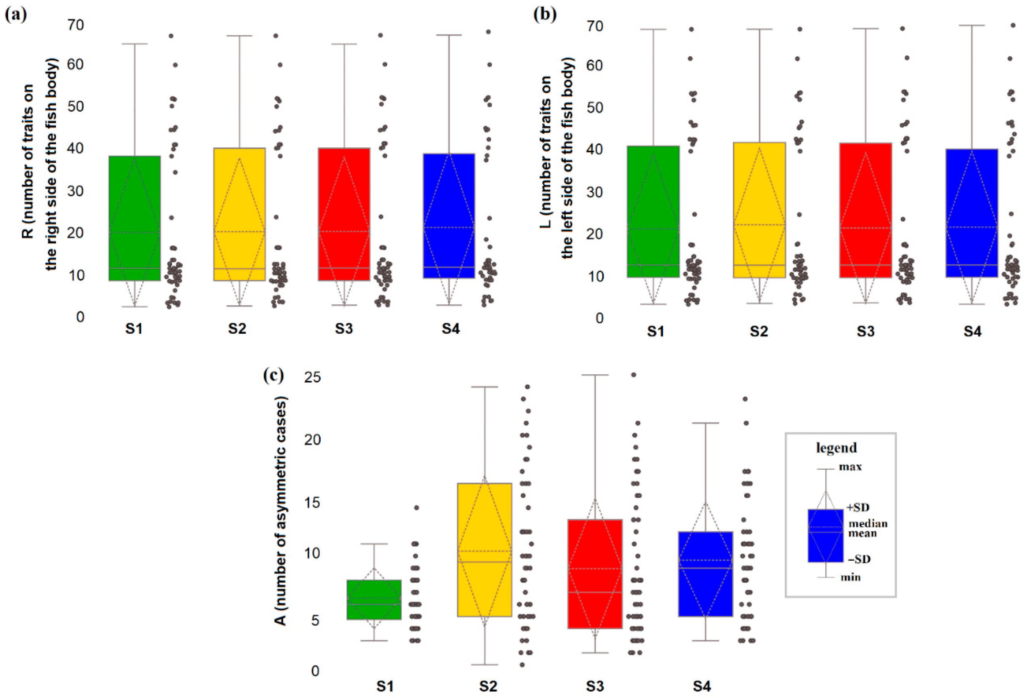
2.1. Study Area and Sampling Design
2.2. Chemical Parameters and Meristic Traits
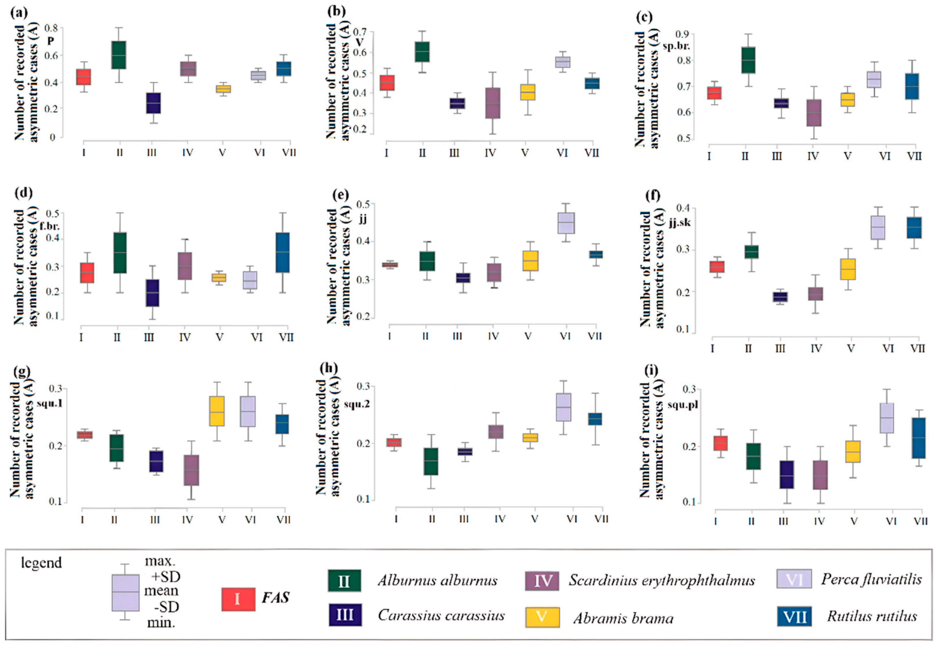
2.3. Meristic Traits of Fish
2.4. Neural Network Analysis and Statistical Methods
3. Results and Discussion
3.1. Chemical Parameters of Water Quality
3.2. Meristic Traits of Fish and Their Distribution
3.3. Identifying the Loads of the Dominant Formation Model
4. Conclusions
Author Contributions
Funding
Institutional Review Board Statement
Informed Consent Statement
Data Availability Statement
Conflicts of Interest
Abbreviations
| 1M | Integrated indicator of meristic traits based on ZSM |
| 2M | Integrated indicator of meristic traits based on FAS |
| A | Number of asymmetric cases |
| BC(v) | Betweenness centrality |
| BOD5 | Biochemical oxygen demand (over 5 days) |
| CC(v) | Closeness centrality |
| COD | Chemical oxygen demand |
| CP | Chemical parameter |
| D(v) | Degree (number of direct links of a node) |
| DO | Dissolved oxygen |
| Dw(v) | Weighted degree (strength of connections) |
| f.br. | Number of gill filaments |
| FAS | Frequency analysis of species |
| HCA | Hierarchical cluster analysis |
| jj | Number of scales on the lateral line |
| jj.sk | Number of scales with sensory canals (lateral line system) |
| KDE | Gaussian kernel density estimation |
| L | Number of traits on the left side of the fish’s body |
| M | Mean |
| MMT | Morphological meristic trait |
| MPC | Maximum permissible concentration |
| NN | Neural network |
| N–NH3 | Ammonium nitrogen |
| N–NO2 | Nitrite nitrogen |
| N–NO3 | Nitrate nitrogen |
| P | Pectoral fin rays |
| P–PO4 | Orthophosphate phosphorus |
| R | Number of traits on the right side of the fish’s body |
| ±SD | –Standard deviation |
| sp.br. | Number of gill rakers on the first gill arch |
| squ.1 | Number of scales above the lateral line |
| squ.2 | Number of scales below the lateral line |
| squ.pl | Number of rays on the caudal fin |
| TDS | Total dissolved solids |
| TSS | Total suspended solids |
| V | Pelvic fin rays |
| WQC | Water quality class |
| ZSM | Zakharov scoring method |
| p≤ | p-value threshold |
Appendix A
| MMT | Alburnus alburnus (n = 34) | Rutilus rutilus (n = 29) | Scardinius erythrophthalmus (n = 27) | Perca fluviatilis (n = 31) | Carassius carassius (n = 28) | Abramis brama (n = 23) | |||||||||||||
|---|---|---|---|---|---|---|---|---|---|---|---|---|---|---|---|---|---|---|---|
| R | L | A | R | L | A | R | L | A | R | L | A | R | L | A | R | L | A | ||
| P | M | 10.6 | 10.8 | 17 | 16.6 | 16.5 | 11 | 10.7 | 10.6 | 17 | 13.7 | 13.7 | 11 | 12.9 | 12.9 | 5 | 16.9 | 16.8 | 7 |
| ±SD | 0.49 | 0.44 | 0.56 | 0.57 | 0.45 | 0.49 | 0.48 | 0.46 | 0.36 | 0.36 | 0.29 | 0.43 | |||||||
| p≤ | 0.05 | 0.05 | 0.05 | 0.05 | 0.05 | 0.05 | 0.05 | 0.05 | 0.01 | 0.01 | - | 0.01 | |||||||
| V | M | 7.6 | 7.6 | 16 | 8.7 | 8.6 | 12 | 13.7 | 13.6 | 11 | 10.8 | 10.5 | 16 | 11.9 | 11.8 | 8 | 8.9 | 8.9 | 9 |
| ±SD | 0.49 | 0.49 | 0.48 | 0.49 | 0.48 | 0.49 | 0.44 | 0.51 | 0.36 | 0.42 | 0.29 | 0.32 | |||||||
| p≤ | 0.05 | 0.05 | 0.05 | 0.05 | 0.05 | 0.05 | 0.05 | 0.05 | 0.01 | 0.05 | - | - | |||||||
| sp.br. | M | 45.0 | 44.8 | 24 | 11.1 | 11.3 | 17 | 45.2 | 45.4 | 21 | 51.1 | 51.0 | 23 | 52.3 | 52.3 | 13 | 23.8 | 23.9 | 15 |
| ±SD | 0.89 | 0.8 | 0.82 | 0.74 | 0.82 | 0.72 | 0.83 | 0.75 | 0.81 | 0.71 | 0.5 | 0.24 | |||||||
| p≤ | 0.05 | 0.05 | 0.05 | 0.05 | 0.05 | 0.05 | 0.05 | 0.05 | 0.05 | 0.05 | 0.05 | 0.05 | |||||||
| f.br. | M | 9.5 | 9.6 | 6 | 2.6 | 2.5 | 11 | 10.5 | 10.5 | 16 | 11.5 | 11.7 | 8 | 12.7 | 12.6 | 4 | 2.9 | 2.8 | 6 |
| ±SD | 0.59 | 0.58 | 0.55 | 0.57 | 0.57 | 0.64 | 0.51 | 0.48 | 0.48 | 0.50 | 0.29 | 0.43 | |||||||
| p≤ | 0.05 | 0.05 | 0.05 | 0.05 | 0.05 | 0.05 | 0.05 | 0.05 | 0.05 | 0.05 | - | 0.01 | |||||||
| jj | M | 45.5 | 45.7 | 9 | 41.8 | 41.6 | 12 | 37.8 | 37.6 | 16 | 68.7 | 68.6 | 15 | 40.8 | 40.8 | 5 | 52.9 | 52.9 | 9 |
| ±SD | 0.65 | 0.48 | 0.42 | 0.49 | 0.37 | 0.49 | 0.46 | 0.50 | 0.39 | 0.39 | 0.35 | 0.35 | |||||||
| p≤ | 0.05 | 0.05 | 0.05 | 0.05 | 0.01 | 0.05 | 0.05 | 0.05 | 0.01 | 0.01 | - | - | |||||||
| jjcк | M | 18.7 | 18.7 | 10 | 40.8 | 40.6 | 11 | 42.8 | 42.8 | 12 | 60.8 | 60.7 | 11 | 38.9 | 38.8 | 4 | 52.8 | 52.8 | 5 |
| ±SD | 0.46 | 0.46 | 0.44 | 0.49 | 0.37 | 0.43 | 0.44 | 0.48 | 0.36 | 0.42 | 0.4 | 0.43 | |||||||
| p≤ | 0.05 | 0.05 | 0.05 | 0.05 | 0.01 | 0.05 | 0.05 | 0.05 | 0.01 | 0.05 | 0.01 | 0.01 | |||||||
| squ.1 | M | 10.9 | 10.8 | 9 | 6.9 | 6.8 | 9 | 9.9 | 9.9 | 4 | 7.8 | 7.8 | 10 | 9.0 | 8.9 | 4 | 8.9 | 9.0 | 5 |
| ±SD | 0.2 | 0.44 | 0.34 | 0.40 | 0.25 | 0.34 | 0.38 | 0.38 | 0.0 | 0.32 | 0.29 | 0.0 | |||||||
| p≤ | - | 0.05 | 0.05 | 0.05 | - | 0.01 | 0.01 | 0.01 | - | - | - | - | |||||||
| squ.2 | M | 4.0 | 3.8 | 7 | 3.8 | 3.9 | 7 | 3.9 | 3.9 | 5 | 4.9 | 4.9 | 10 | 4.9 | 4.9 | 3 | 3.9 | 3.9 | 3 |
| ±SD | 0.0 | 0.41 | 0.37 | 0.34 | 0.25 | 0.3 | 0.20 | 0.28 | 0.32 | 0.2 | 0.21 | 0.35 | |||||||
| p≤ | - | 0.01 | 0.05 | 0.05 | - | - | - | - | - | - | - | - | |||||||
| squ.pl | M | 12.0 | 11.9 | 4 | 10.8 | 10.9 | 8 | 12.9 | 12.9 | 3 | 11.8 | 11.7 | 9 | 11.9 | 11.9 | 3 | 12.9 | 12.9 | 2 |
| ±SD | 0.0 | 0.28 | 0.37 | 0.30 | 0.25 | 0.3 | 0.42 | 0.46 | 0.19 | 0.26 | 0.29 | 0.29 | |||||||
| p≤ | - | - | 0.05 | 0.05 | - | - | 0.05 | 0.05 | - | - | - | - | |||||||
| MMT | Alburnus alburnus (n = 29) | Rutilus rutilus (n = 35) | Scardinius erythrophthalmus (n = 31) | Perca fluviatilis (n = 23) | Carassius carassius (n = 27) | Abramis brama (n = 28) | |||||||||||||
|---|---|---|---|---|---|---|---|---|---|---|---|---|---|---|---|---|---|---|---|
| R | L | A | R | L | A | R | L | A | R | L | A | R | L | A | R | L | A | ||
| P | M | 10.75 | 10.67 | 18 | 16.76 | 16.71 | 17 | 10.82 | 10.68 | 14 | 13.82 | 13.71 | 8 | 12.84 | 12.89 | 7 | 16.68 | 16.34 | 15 |
| ±SD | 0.44 | 0.48 | 0.44 | 0.46 | 0.39 | 0.48 | 0.39 | 0.47 | 0.38 | 0.32 | 0.47 | 0.49 | |||||||
| p≤ | 0.05 | 0.05 | 0.01 | 0.05 | 0.01 | 0.05 | - | 0.01 | - | - | 0.05 | 0.05 | |||||||
| V | M | 7.71 | 7.75 | 15 | 8.76 | 8.76 | 18 | 13.82 | 13.77 | 8 | 10.71 | 10.77 | 7 | 12.0 | 11.79 | 5 | 8.77 | 8.34 | 16 |
| ±SD | 0.46 | 0.44 | 0.44 | 0.44 | 0.39 | 0.43 | 0.47 | 0.44 | 0.00 | 0.42 | 0.43 | 0.49 | |||||||
| p≤ | 0.05 | 0.05 | 0.01 | 0.01 | 0.01 | 0.01 | 0.01 | 0.01 | - | 0.01 | 0.05 | 0.05 | |||||||
| sp.br. | M | 45.0 | 44.92 | 19 | 10.76 | 10.91 | 25 | 45.23 | 45.18 | 20 | 51.29 | 50.94 | 17 | 52.58 | 52.37 | 11 | 24.18 | 22.64 | 21 |
| ±SD | 1.18 | 1.14 | 1.26 | 1.09 | 1.1 | 1.05 | 1.1 | 1.09 | 0.90 | 1.12 | 1.05 | 1.34 | |||||||
| p≤ | 0.05 | 0.05 | 0.05 | 0.05 | 0.05 | 0.05 | 0.01 | 0.05 | 0.01 | 0.01 | 0.05 | 0.05 | |||||||
| f.br. | M | 9.58 | 9.67 | 5 | 2.918 | 2.86 | 9 | 9.82 | 9.77 | 3 | 11.82 | 11.82 | 6 | 12.95 | 12.95 | 3 | 2.91 | 2.82 | 8 |
| ±SD | 0.54 | 0.48 | 0.30 | 0.36 | 0.39 | 0.43 | 0.39 | 0.39 | 0.23 | 0.23 | 0.29 | 0.39 | |||||||
| p≤ | 0.05 | 0.05 | - | - | 0.01 | 0.01 | - | - | - | - | - | 0.01 | |||||||
| jj | M | 45.79 | 45.67 | 16 | 41.81 | 41.81 | 12 | 41.82 | 41.59 | 13 | 67.88 | 67.82 | 5 | 40.89 | 40.84 | 4 | 52.82 | 52.86 | 7 |
| ±SD | 0.42 | 0.48 | 0.40 | 0.40 | 0.39 | 0.67 | 0.33 | 0.39 | 0.32 | 0.38 | 0.39 | 0.35 | |||||||
| p≤ | 0.01 | 0.05 | 0.01 | 0.01 | 0.01 | 0.05 | - | - | - | - | 0.01 | - | |||||||
| jjcк | M | 16.79 | 16.58 | 13 | 40.67 | 40.67 | 7 | 41.82 | 41.77 | 13 | 60.88 | 60.88 | 6 | 38.84 | 38.79 | 3 | 52.91 | 52.86 | 6 |
| ±SD | 0.42 | 0.54 | 0.48 | 0.48 | 0.39 | 0.43 | 0.33 | 0.33 | 0.50 | 0.54 | 0.29 | 0.35 | |||||||
| p≤ | 0.01 | 0.05 | 0.05 | 0.05 | 0.01 | 0.01 | - | - | - | - | - | - | |||||||
| squ.1 | M | 10.58 | 10.71 | 8 | 6.71 | 7.67 | 5 | 9.73 | 9.73 | 10 | 7.88 | 7.82 | 4 | 8.79 | 8.74 | 3 | 8.95 | 8.91 | 4 |
| ±SD | 0.54 | 0.46 | 0.46 | 0.48 | 0.46 | 0.46 | 0.33 | 0.39 | 0.42 | 0.45 | 0.21 | 0.29 | |||||||
| p≤ | 0.05 | 0.05 | 0.05 | 0.05 | 0.05 | 0.05 | - | - | 0.01 | 0.01 | - | - | |||||||
| squ.2 | M | 3.71 | 3.58 | 5 | 3.67 | 3.71 | 5 | 3.77 | 3.68 | 8 | 4.77 | 4.65 | 3 | 4.79 | 4.74 | 2 | 3.95 | 3.91 | 3 |
| ±SD | 0.46 | 0.54 | 0.48 | 0.46 | 0.43 | 0.48 | 0.44 | 0.49 | 0.42 | 0.45 | 0.21 | 0.29 | |||||||
| p≤ | 0.05 | 0.05 | 0.05 | 0.05 | 0.01 | 0.05 | 0.01 | 0.05 | 0.01 | 0.01 | - | - | |||||||
| squ.pl | M | 11.71 | 11.79 | 4 | 9.71 | 9.67 | 5 | 12.77 | 12.73 | 7 | 11.71 | 11.77 | 4 | 11.79 | 11.74 | 2 | 12.95 | 13.95 | 2 |
| ±SD | 0.46 | 0.42 | 0.46 | 0.48 | 0.43 | 0.46 | 0.47 | 0.44 | 0.42 | 0.45 | 0.21 | 0.21 | |||||||
| p≤ | 0.05 | 0.01 | 0.05 | 0.05 | 0.01 | 0.05 | 0.01 | 0.01 | 0.01 | 0.01 | - | - | |||||||
| MMT | Alburnus alburnus (n = 27) | Rutilus rutilus (n = 32) | Scardinius erythrophthalmus (n = 34) | Perca fluviatilis (n = 25) | Carassius carassius (n = 22) | Abramis brama (n = 29) | |||||||||||||
|---|---|---|---|---|---|---|---|---|---|---|---|---|---|---|---|---|---|---|---|
| R | L | A | R | L | A | R | L | A | R | L | A | R | L | A | R | L | A | ||
| P | M | 10.59 | 10.68 | 21 | 16.74 | 16.65 | 18 | 10.62 | 10.67 | 19 | 16.68 | 13.84 | 12 | 12.77 | 12.71 | 9 | 16.76 | 16.81 | 11 |
| ±SD | 0.50 | 0.48 | 0.45 | 0.49 | 0.50 | 0.48 | 0.48 | 0.38 | 0.44 | 0.47 | 0.44 | 0.40 | |||||||
| p≤ | 0.05 | 0.05 | 0.05 | 0.05 | 0.05 | 0.05 | 0.05 | 0.01 | 0.01 | 0.01 | 0.01 | 0.01 | |||||||
| V | M | 7.64 | 7.68 | 20 | 8.61 | 8.61 | 16 | 10.57 | 10.52 | 16 | 10.68 | 10.74 | 16 | 12.77 | 12.77 | 8 | 8.81 | 8.81 | 12 |
| ±SD | 0.49 | 0.48 | 0.50 | 0.50 | 0.60 | 0.68 | 0.48 | 0.45 | 0.56 | 0.44 | 0.40 | 0.40 | |||||||
| p≤ | 0.05 | 0.05 | 0.05 | 0.05 | 0.05 | 0.05 | 0.05 | 0.01 | - | 0.01 | 0.01 | 0.01 | |||||||
| sp.br. | M | 44.76 | 44.28 | 23 | 10.89 | 11.02 | 24 | 44.95 | 44.67 | 22 | 50.73 | 51.02 | 20 | 52.0 | 51.82 | 10 | 24.09 | 23.72 | 18 |
| ±SD | 1.18 | 1.21 | 1.07 | 0.09 | 1.02 | 1.16 | 1.09 | 1.02 | 0.94 | 1.13 | 1.14 | 1.17 | |||||||
| p≤ | 0.05 | 0.05 | 0.05 | 0.05 | 0.05 | 0.05 | 0.05 | 0.05 | 0.05 | 0.05 | 0.05 | 0.05 | |||||||
| f.br. | M | 9.71 | 9.67 | 15 | 2.68 | 2.68 | 17 | 9.57 | 9.62 | 14 | 10.84 | 10.84 | 5 | 12.77 | 12.82 | 6 | 8.81 | 8.81 | 5 |
| ±SD | 0.46 | 0.48 | 0.48 | 0.48 | 0.51 | 0.50 | 0.38 | 0.38 | 0.44 | 0.39 | 0.40 | 0.40 | |||||||
| p≤ | 0.05 | 0.05 | 0.05 | 0.05 | 0.05 | 0.05 | 0.01 | 0.01 | 0.01 | - | 0.01 | 0.01 | |||||||
| jj | M | 45.71 | 45.71 | 12 | 41.61 | 41.65 | 12 | 41.52 | 41.34 | 9 | 67.74 | 67.68 | 10 | 40.77 | 40.82 | 4 | 52.54 | 52.65 | 10 |
| ±SD | 0.46 | 0.46 | 0.50 | 0.49 | 0.51 | 0.57 | 0.45 | 0.48 | 0.44 | 0.39 | 0.38 | 0.42 | |||||||
| p≤ | 0.05 | 0.05 | 0.05 | 0.05 | 0.05 | 0.05 | 0.01 | 0.05 | 0.01 | - | 0.01 | 0.01 | |||||||
| jjcк | M | 16.71 | 16.59 | 9 | 40.65 | 40.65 | 12 | 41.57 | 41.48 | 5 | 60.74 | 60.68 | 7 | 38.77 | 38.77 | 3 | 52.65 | 52.54 | 6 |
| ±SD | 0.46 | 0.50 | 0.49 | 0.49 | 0.51 | 0.51 | 0.45 | 0.48 | 0.44 | 0.44 | 0.42 | 0.38 | |||||||
| p≤ | 0.05 | 0.05 | 0.05 | 0.05 | 0.05 | 0.05 | 0.01 | 0.01 | 0.01 | 0.01 | 0.01 | 0.01 | |||||||
| squ.1 | M | 10.68 | 10.68 | 6 | 6.61 | 6.61 | 10 | 9.67 | 9.57 | 6 | 7.68 | 7.68 | 6 | 8.82 | 8.77 | 2 | 8.62 | 8.62 | 6 |
| ±SD | 0.48 | 0.48 | 0.50 | 0.50 | 0.48 | 0.51 | 0.48 | 0.48 | 0.39 | 0.44 | 0.50 | 0.50 | |||||||
| p≤ | 0.05 | 0.05 | 0.05 | 0.05 | 0.05 | 0.05 | 0.05 | 0.05 | - | 0.01 | 0.05 | 0.05 | |||||||
| squ.2 | M | 3.68 | 3.68 | 5 | 3.61 | 3.61 | 9 | 3.62 | 3.52 | 4 | 4.68 | 4.68 | 5 | 4.82 | 4.82 | 2 | 3.71 | 3.71 | 5 |
| ±SD | 0.48 | 0.48 | 0.50 | 0.50 | 0.50 | 0.51 | 0.48 | 0.48 | 0.39 | 0.39 | 0.46 | 0.46 | |||||||
| p≤ | 0.05 | 0.05 | 0.05 | 0.05 | 0.05 | 0.05 | 0.05 | 0.05 | - | - | 0.05 | 0.05 | |||||||
| squ.pl | M | 11.64 | 11.64 | 6 | 8.61 | 8.61 | 8 | 12.62 | 12.52 | 3 | 11.68 | 11.68 | 4 | 11.82 | 11.82 | 1 | 12.71 | 12.71 | 5 |
| ±SD | 0.49 | 0.49 | 0.50 | 0.50 | 0.50 | 0.51 | 0.48 | 0.48 | 0.39 | 0.39 | 0.46 | 0.46 | |||||||
| p≤ | 0.05 | 0.05 | 0.05 | 0.05 | 0.05 | 0.05 | 0.05 | 0.05 | - | - | 0.05 | 0.05 | |||||||
| MMT | Alburnus alburnus (n = 27) | Rutilus rutilus (n = 29) | Scardinius erythrophthalmus (n = 33) | Perca fluviatilis (n = 25) | Carassius carassius (n = 23) | Abramis brama (n = 21) | |||||||||||||
|---|---|---|---|---|---|---|---|---|---|---|---|---|---|---|---|---|---|---|---|
| R | L | A | R | L | A | R | L | A | R | L | A | R | L | A | R | L | A | ||
| P | M | 10.74 | 10.74 | 9 | 16.53 | 16.58 | 6 | 10.77 | 10.77 | 8 | 13.77 | 13.82 | 8 | 12.75 | 12.75 | 4 | 16.67 | 16.5 | 9 |
| ±SD | 0.45 | 0.45 | 0.51 | 0.51 | 0.44 | 0.44 | 0.44 | 0.39 | 0.45 | 0.45 | 0.49 | 0.51 | |||||||
| p≤ | 0.01 | 0.01 | 0.05 | 0.05 | 0.01 | 0.01 | 0.01 | 0.01 | 0.01 | 0.01 | 0.05 | 0.05 | |||||||
| V | M | 10.68 | 10.63 | 11 | 8.47 | 8.53 | 7 | 13.77 | 13.77 | 6 | 10.71 | 10.77 | 11 | 12.38 | 12.13 | 6 | 8.78 | 8.56 | 11 |
| ±SD | 0.58 | 0.50 | 0.51 | 0.51 | 0.44 | 0.44 | 0.47 | 0.44 | 0.62 | 0.72 | 0.43 | 0.51 | |||||||
| p≤ | 0.01 | 0.05 | 0.05 | 0.05 | 0.01 | 0.01 | 0.01 | 0.01 | 0.05 | 0.05 | 0.01 | 0.05 | |||||||
| sp.br. | M | 45.11 | 44.84 | 15 | 11.03 | 10.87 | 9 | 45.06 | 44.94 | 10 | 50.82 | 50.88 | 14 | 52.44 | 52.19 | 11 | 23.94 | 23.78 | 15 |
| ±SD | 1.05 | 1.21 | 0.98 | 1.01 | 1.09 | 1.09 | 1.02 | 1.27 | 1.09 | 1.05 | 1.11 | 1.17 | |||||||
| p≤ | 0.05 | 0.05 | 0.05 | 0.05 | 0.05 | 0.05 | 0.05 | 0.05 | 0.01 | 0.05 | 0.05 | 0.05 | |||||||
| f.br. | M | 9.68 | 9.68 | 5 | 2.47 | 2.47 | 3 | 9.71 | 9.65 | 4 | 11.82 | 11.77 | 6 | 12.88 | 12.88 | 5 | 2.94 | 2.89 | 6 |
| ±SD | 0.48 | 0.48 | 0.51 | 0.51 | 0.47 | 0.49 | 0.39 | 0.44 | 0.34 | 0.34 | 0.24 | 0.32 | |||||||
| p≤ | 0.05 | 0.05 | 0.05 | 0.05 | 0.01 | 0.05 | 0.01 | 0.01 | - | - | - | - | |||||||
| jj | M | 45.68 | 45.63 | 8 | 41.53 | 41.53 | 6 | 41.53 | 41.59 | 6 | 67.71 | 67.65 | 9 | 34.88 | 40.81 | 6 | 52.61 | 52.44 | 11 |
| ±SD | 0.48 | 0.50 | 0.51 | 0.51 | 0.51 | 0.51 | 0.47 | 0.49 | 0.34 | 0.40 | 0.50 | 0.51 | |||||||
| p≤ | 0.05 | 0.05 | 0.05 | 0.05 | 0.05 | 0.05 | 0.05 | 0.05 | - | - | 0.05 | 0.05 | |||||||
| jjcк | M | 16.63 | 16.53 | 7 | 40.42 | 40.37 | 5 | 41.47 | 41.47 | 6 | 60.71 | 60.71 | 7 | 38.75 | 38.75 | 4 | 52.61 | 52.5 | 9 |
| ±SD | 0.50 | 0.52 | 0.51 | 0.50 | 0.51 | 0.51 | 0.47 | 0.47 | 0.45 | 0.45 | 0.50 | 0.51 | |||||||
| p≤ | 0.05 | 0.05 | 0.05 | 0.05 | 0.05 | 0.05 | 0.01 | 0.01 | 0.01 | 0.01 | 0.05 | 0.05 | |||||||
| squ.1 | M | 10.47 | 10.47 | 6 | 6.42 | 6.37 | 4 | 9.47 | 9.59 | 3 | 7.77 | 7.71 | 6 | 8.63 | 8.63 | 4 | 8.67 | 8.5 | 8 |
| ±SD | 0.51 | 0.51 | 0.51 | 0.50 | 0.51 | 0.51 | 0.44 | 0.47 | 0.50 | 0.50 | 0.49 | 0.51 | |||||||
| p≤ | 0.05 | 0.05 | 0.05 | 0.05 | 0.05 | 0.05 | 0.01 | 0.01 | 0.05 | 0.05 | 0.05 | 0.05 | |||||||
| squ.2 | M | 3.47 | 3.53 | 5 | 3.42 | 3.37 | 4 | 3.47 | 3.59 | 4 | 4.77 | 4.71 | 6 | 4.63 | 4.63 | 3 | 3.72 | 3.5 | 7 |
| ±SD | 0.51 | 0.51 | 0.51 | 0.50 | 0.51 | 0.51 | 0.44 | 0.47 | 0.50 | 0.50 | 0.46 | 0.51 | |||||||
| p≤ | 0.05 | 0.05 | 0.05 | 0.05 | 0.05 | 0.05 | 0.01 | 0.01 | 0.05 | 0.05 | 0.01 | 0.01 | |||||||
| squ.pl | M | 11.47 | 11.53 | 5 | 9.84 | 9.98 | 4 | 12.47 | 12.53 | 4 | 11.77 | 11.71 | 5 | 11.63 | 11.56 | 3 | 12.72 | 12.5 | 6 |
| ±SD | 0.51 | 0.51 | 0.38 | 0.21 | 0.51 | 0.51 | 0.44 | 0.47 | 0.50 | 0.51 | 0.46 | 0.51 | |||||||
| p≤ | 0.05 | 0.05 | 0.01 | 0.01 | 0.05 | 0.05 | 0.01 | 0.01 | 0.05 | 0.05 | 0.01 | 0.01 | |||||||
Appendix B
| CP | M | ±SD | Min | Max | M | ±SD | Min | Max |
|---|---|---|---|---|---|---|---|---|
| Site: S1 | Site: S2 | |||||||
| BOD5, mg O2/L | 3.06 | 0.12 | 2.90 | 3.15 | 2.59 | 0.10 | 2.50 | 2.70 |
| COD, mgO/L | 33.58 | 2.50 | 31.00 | 36.00 | 33.58 | 3.00 | 30.00 | 37.00 |
| DO, mg O2/L | 9.75 | 0.30 | 9.40 | 10.10 | 10.73 | 0.35 | 10.30 | 11.10 |
| N–NH3, mgN/L | 0.35 | 0.02 | 0.33 | 0.37 | 0.28 | 0.03 | 0.25 | 0.32 |
| N–NO2, mgN/L | 0.015 | 0.002 | 0.013 | 0.017 | 0.020 | 0.002 | 0.017 | 0.023 |
| N–NO3, mgN/L | 1.44 | 0.15 | 1.25 | 1.60 | 0.98 | 0.12 | 0.85 | 1.10 |
| P–PO4, mgP/L | 0.28 | 0.03 | 0.25 | 0.32 | 0.34 | 0.04 | 0.30 | 0.39 |
| TSS, mg/L | 9.15 | 0.50 | 8.60 | 9.70 | 9.39 | 0.40 | 9.00 | 9.80 |
| pH, units | 8.34 | 0.05 | 8.28 | 8.38 | 8.27 | 0.04 | 8.22 | 8.31 |
| Site: S3 | Site: S4 | |||||||
| BOD5, mg O2/L | 3.05 | 0.13 | 2.90 | 3.20 | 3.01 | 0.11 | 2.90 | 3.15 |
| COD, mgO/L | 47.16 | 5.00 | 42.00 | 53.00 | 41.08 | 4.00 | 36.00 | 46.00 |
| DO, mg O2/L | 9.76 | 0.25 | 9.50 | 10.10 | 9.76 | 0.30 | 9.40 | 10.10 |
| N–NH3, mgN/L | 0.28 | 0.02 | 0.26 | 0.31 | 0.346 | 0.030 | 0.310 | 0.380 |
| N–NO2, mgN/L | 0.015 | 0.002 | 0.013 | 0.018 | 0.013 | 0.002 | 0.011 | 0.016 |
| N–NO3, mgN/L | 1.06 | 0.15 | 0.90 | 1.25 | 0.65 | 0.09 | 0.55 | 0.75 |
| P–PO4, mgP/L | 0.23 | 0.03 | 0.20 | 0.27 | 0.36 | 0.04 | 0.32 | 0.41 |
| TSS, mg/L | 9.15 | 0.40 | 8.70 | 9.60 | 11.07 | 0.50 | 10.50 | 11.60 |
| pH, units | 8.39 | 0.05 | 8.33 | 8.44 | 8.26 | 0.04 | 8.21 | 8.30 |
References
- Graham, J.H. Nature, Nurture, and Noise: Developmental Instability, Fluctuating Asymmetry, and the Causes of Phenotypic Variation. Symmetry 2021, 13, 1204. [Google Scholar] [CrossRef]
- dos Santos Junior, J.P.; dos Santos Júnior, O.H.; Silva-Araujo, E.R.; Cavalcanti Bezerra Gouveia, H.J.; Lacerda, D.C.; Visco, D.B.; Pontes Silva, P.B.; Cadena-Burbano, E.V.; Amaral de Souza Gonzaga Paz, I.A.; de Souza, S.L.; et al. Phenotypic plasticity: Historical context, theories and DOHaD. Brain Res. 2025, 1860, 149673. [Google Scholar] [CrossRef]
- Dwivedi, A.K.; De, K. Role of Morphometrics in Fish Diversity Assessment: Status, Challenges and Future Prospects. Natl. Acad. Sci. Lett. 2023, 47, 123–126. [Google Scholar] [CrossRef]
- Min, J.-H.; Kim, K.-R.; Kim, Y.-S. Morphological Plasticity in a Wild Freshwater Fish, Systomus sarana (Cyprinidae) from India: A Glimpse Through Advanced Morphometric Toolkits. Korean J. Clin. Dent. Hyg. 2024, 12, 245–251. [Google Scholar] [CrossRef]
- Mir, J.I.; Mir, F.A.; Patiyal, R.S. Phenotypic Variations Among Three Populations of Chirruh Snowtrout, Schizothorax esocinus (Heckel, 1838) in Kashmir Himalaya with Insights from Truss Network System. Proc. Natl. Acad. Sci. India Sect. B Biol. Sci. 2013, 84, 105–111. [Google Scholar] [CrossRef]
- Swaddle, J.P. Fluctuating Asymmetry, Animal Behavior, and Evolution. Adv. Study Behav. 2003, 32, 169–205. [Google Scholar] [CrossRef]
- Graham, J.H.; Raz, S.; Hel-Or, H.; Nevo, E. Fluctuating Asymmetry: Methods, Theory, and Applications. Symmetry 2010, 2, 466–540. [Google Scholar] [CrossRef]
- Lutterschmidt, W.; Martin, S.; Schaefer, J. Fluctuating Asymmetry in Two Common Freshwater Fishes as a Biological Indicator of Urbanization and Environmental Stress within the Middle Chattahoochee Watershed. Symmetry 2016, 8, 124. [Google Scholar] [CrossRef]
- Mundahl, N.D.; Hoffmann, K.A. Condition, Reproductive Fitness, and Fluctuating Asymmetry in Brook Stickleback: Responses to Anthropogenic Runoff. Fishes 2023, 8, 557. [Google Scholar] [CrossRef]
- Alemzero, D.M. Analyzing the Progress of China and the World in Achieving Sustainable Development Goals 7 and 13. Sustainability 2023, 15, 4115. [Google Scholar] [CrossRef]
- Planchet, V.; Špelić, I.; Piria, M. Fluctuating Asymmetry in Morphological Characters of the Invasive Round Goby Neogobius melanostomus Populations from Different Habitats of the Sava River Basin, Croatia. Croat. J. Fish. 2023, 81, 167–172. [Google Scholar] [CrossRef]
- Gonzalez-Martinez, A.; Lopez, M.; Molero, H.M.; Rodriguez, J.; González, M.; Barba, C.; García, A. Morphometric and Meristic Characterization of Native Chame Fish (Dormitator latifrons) in Ecuador Using Multivariate Analysis. Animals 2020, 10, 1805. [Google Scholar] [CrossRef] [PubMed]
- Štefunková, Z.; Macura, V.; Škrinár, A.; Ivan, P.; Čistý, M.; Majorošová, M.; Tyukosová, V. Relationship between Morphological Characteristics and Quality of Aquatic Habitat in Mountain Streams of Slovakia. Water 2021, 13, 142. [Google Scholar] [CrossRef]
- Hossain, M.Y.; Ohtomi, J.; Ahmed, Z.F. Turk. Morphometric, Meristic Characteristics and Conservation of the Threatened Fish, Puntius sarana (Hamilton, 1822) (Cyprinidae) in the Ganges River, Northwestern Bangladesh. J. Fish. Aquat. Sci. 2009, 9, 223–225. [Google Scholar] [CrossRef]
- Andres, K.J.; Chien, H.; Knouft, J.H. Hydrology induces intraspecific variation in freshwater fish morphology under contemporary and future climate scenarios. Sci. Total Environ. 2019, 671, 421–430. [Google Scholar] [CrossRef]
- Sartimbul, A.; Rohadi, E.; Ikhsani, S.N.; Listiyaningsih, D. Morphometric and meristic variations among five populations of Sardinella lemuru Bleeker, 1853 from waters of Bali Strait, northern and southern-east Java and their relation to the environment. AACL Bioflux 2018, 11, 744–752. [Google Scholar]
- Malovanyy, M.; Boiaryn, M.; Biedunkova, O.; Voloshyn, V.; Netrobchuk, I. The The impact of the ecological sustainability of landscapes on the formation of the hydro-ecological state in the upper part of the Prypiat River basin. Ecol. Quest. 2025, 36, 1–21. [Google Scholar] [CrossRef]
- DSTU ISO 5667-6:2009; Water Quality—Sampling—Part 6: Guidance on Sampling from Rivers and Streams for River and Stream Water Sampling. Order of 28.12.2022 No. 285 On the Batch Adoption of European CEN/CENELEC Regulatory Documents. International Organization for Standardization: Geneva, Switzerland, 2014. (In Ukrainian)
- DSTU 2284:2010; Live Fish. General Technical Requirements. Order of 11.10.2010 No. 456 On Approval of National Standards of Ukraine, Amendments to National Standards and Cancellation of Regulatory Documents. International Organization for Standardization: Geneva, Switzerland, 2014. (In Ukrainian)
- SOU 05.01-37-385:2006; Water of Fishing Enterprises. General Requirements and Standards. Ministry of Agrarian Policy of Ukraine: Kyiv, Ukraine, 2006. (In Ukrainian)
- DSTU 7539:2014; Water Quality. Determination of Biochemical Oxygen Demand After n Days (BODn). Ministry of Economic Development of Ukraine: Kyiv, Ukraine, 2014. (In Ukrainian)
- DSTU ISO 6060:2003; Water Quality. Determination of the Chemical Oxygen Demand. State Committee of Ukraine for Technical Regulation and Consumer Policy: Kyiv, Ukraine, 2003. (In Ukrainian)
- DSTU ISO 5813:2003; Water Quality. Determination of Dissolved Oxygen. Iodometric Method. State Committee of Ukraine for Technical Regulation and Consumer Policy: Kyiv, Ukraine, 2003. (In Ukrainian)
- DSTU 4174:2003; Water Quality. Determination of Ammonium Nitrogen. Titrimetric Method. State Committee of Ukraine for Technical Regulation and Consumer Policy: Kyiv, Ukraine, 2003. (In Ukrainian)
- DSTU ISO 6777:2001; Water Quality. Determination of Nitrite. Molecular Absorption Spectrometric Method. State Committee of Ukraine for Technical Regulation and Consumer Policy: Kyiv, Ukraine, 2001. (In Ukrainian)
- DSTU ISO 7890-3:2003; Water Quality. Determination of Nitrate. Part 3. Spectrometric Method Using Sulfosalicylic Acid. State Committee of Ukraine for Technical Regulation and Consumer Policy: Kyiv, Ukraine, 2003. (In Ukrainian)
- DSTU ISO 6878:2004; Water Quality. Determination of Phosphorus. Ammonium Molybdate Spectrometric Method. State Committee of Ukraine for Technical Regulation and Consumer Policy: Kyiv, Ukraine, 2004. (In Ukrainian)
- DSTU ISO 11923:2003; Water Quality. Determination of Suspended Solids by Filtration Through Glass-Fibre Filters. State Committee of Ukraine for Technical Regulation and Consumer Policy: Kyiv, Ukraine, 2003. (In Ukrainian)
- MVV No. 081/12-0109-03; Surface, Groundwater and Return Waters. Methodology for Determining the Mass Concentration of dry Residue (Dissolved Substances) by the Gravimetric Method. Ministry of Ecology and Natural Resources of Ukraine, State Environmental Inspection of the Ministry of Ecology and Natural Resources of Ukraine Order No. 257 of 30.06.2004. Available online: https://online.budstandart.com/ua/catalog/doc-page.html?id_doc=76431 (accessed on 30 October 2025). (In Ukrainian).
- DSTU ISO 10523:2005; Water Quality. Determination of pH. State Committee of Ukraine for Technical Regulation and Consumer Policy: Kyiv, Ukraine, 2005. (In Ukrainian)
- Gritsenko, A.V.; Vasenko, O.G.; Vernichenko, G.A.; Kovalenko, M.S.; Poddashkin, O.V.; Vernichenko-Tsvetkov, D.Y.; Melnikova, N.V.; Miroshnichenko, O.P. Methods of Environmental Assessment of Surface Water Quality for the Respective Categories; Ukrainian Research Institute of Environmental Problems: Kharkiv, Ukraine, 2012; Available online: http://www.niiep.kharkov.ua/sites/default/files/metodika_2012_14_0.doc (accessed on 30 October 2025). (In Ukrainian)
- Bedunkova, O.O. Homeostasis in Fishes as an Instrument for Assessment of Critical Loads on Hydroecosystem of Small Rivers. Hydrobiol. J. 2016, 52, 25–33. [Google Scholar] [CrossRef]
- Epskamp, S.; Cramer, A.O.; Waldorp, L.J.; Schmittmann, V.D.; Borsboom, D. Network visualizations of relationships in psychometric data. J. Stat. Softw. 2012, 48, 1–18. [Google Scholar] [CrossRef]
- Biedunkova, O.; Kuznietsov, P.; Mandryk, O. Study of the dominant modes of formation and variability of potentially toxic element concentrations and their impact on environmental quality. Chemosphere 2025, 388, 144688. [Google Scholar] [CrossRef]
- Harpole, J.K.; Woods, C.M.; Rodebaugh, T.L.; Levinson, C.A.; Lenze, E.J. How bandwidth selection algorithms impact exploratory data analysis using kernel density estimation. Psychol. Methods 2014, 19, 428. [Google Scholar] [CrossRef]
- Love, J.; Selker, R.; Marsman, M.; Jamil, T.; Dropmann, D.; Verhagen, J.; Wagenmakers, E.J. JASP: Graphical statistical software for common statistical designs. J. Stat. Softw. 2019, 88, 1–17. [Google Scholar] [CrossRef]
- Biedunkova, O.; Kuznietsov, P. Integration of Water Management in the Assessment of the Impact of Heavy Metals Discharge from the Power Plant with Mitigation Strategies. Ecol. Indic. 2025, 175, 113618. [Google Scholar] [CrossRef]
- Biedunkova, O.; Kuznietsov, P.; Korbutiak, V. A Study of Surface Water Quality Using Organic Pollution Indices: Comparative Characteristics and Educational Opportunities. Water Qual. Res. J. 2025, 60, 333–347. [Google Scholar] [CrossRef]
- Aguilar-Torrejón, J.A.; Balderas-Hernández, P.; Roa-Morales, G.; Barrera-Díaz, C.E.; Rodríguez-Torres, I.; Torres-Blancas, T. Relationship, Importance, and Development of Analytical Techniques: COD, BOD, and TOC in Water—An Overview Through Time. SN Appl. Sci. 2023, 5, 118. [Google Scholar] [CrossRef]
- Biedunkova, O.; Kuznietsov, P. Liquid Ion Chromatographic Determination of Soluble Ions in Water: Comparison of Greenness and Comprehensive Assessment of Irrigation Suitability. Water Air Soil Pollut. 2025, 236, 315. [Google Scholar] [CrossRef]
- Klobucar, S.L.; Rick, J.A.; Mandeville, E.G.; Wagner, C.E.; Budy, P. Investigating the Morphological and Genetic Divergence of Arctic Char (Salvelinus alpinus) Populations in Lakes of Arctic Alaska. Ecol. Evol. 2021, 11, 3040–3057. [Google Scholar] [CrossRef]
- Scocco, P.; De Felice, E. Morphological and Physiological Research on Fish. Animals 2025, 15, 1513. [Google Scholar] [CrossRef]
- Biedunkova, O.; Kuznietsov, P.; Pinchuk, O. Comprehensive Assessment of Scale Formation, Corrosion, and Biological Pollution in a Cooling Water Supply System. MethodsX 2025, 14, 103154. [Google Scholar] [CrossRef]
- Roy, D.; Docker, M.F.; Hehanussa, P.; Heath, D.D.; Haffner, G.D. Genetic and Morphological Data Supporting the Hypothesis of Adaptive Radiation in the Endemic Fish of Lake Matano. J. Evol. Biol. 2004, 17, 1268–1276. [Google Scholar] [CrossRef]
- Eissa, A.E.; Abu-Seida, A.M.; Ismail, M.M.; Abu-Elala, N.M.; Abdelsalam, M. A Comprehensive Overview of the Most Common Skeletal Deformities in Fish. Aquac. Res. 2021, 52, 2391–2402. [Google Scholar] [CrossRef]
- Guan, Y.; Duan, C.; Xie, X.; Luo, Z.; Zhou, D.; Zhang, Y.; Tian, C. Heat Acclimation Enhances Brain Resilience to Acute Thermal Stress in Clarias fuscus by Modulating Cell Adhesion, Anti-Apoptotic Pathways, and Intracellular Degradation Mechanisms. Animals 2025, 15, 1220. [Google Scholar] [CrossRef] [PubMed]
- Jena, A.; Sivaraman, B.; Ganesan, P.; Shalini, R.; Renuka, V.; Arisekar, U. Extraction and Antioxidative, Antihypertensive, and Antidiabetic Properties of Gelatin Hydrolysates from Lethrinid Fish Scales. J. Food Process. Preserv. 2025, 2025, 5577122. [Google Scholar] [CrossRef]
- Klimenko, M.O.; Biedunkova, O.O. Development Stability and Cytogenetic Homeostasis of Perca fluviatilis (Perciformes, Percidae) in the Rivers of Rivne Region. Vestn. Zool. 2016, 50, 539–546. [Google Scholar] [CrossRef]
- Kuznietsov, P.; Biedunkova, O. Assessment of the Impact of Organic Matter Discharge from a Nuclear Power Plant with a Recirculating Cooling Water System. Water Air Soil Pollut 2024, 235, 221. [Google Scholar] [CrossRef]
- Kuznietsov, P.; Biedunkova, O. Experimental Tests of Biocidal Treatment for Cooling Water of Safety Systems at Rivne NPP Units. Nucl. Radiat. Saf. 2023, 1, 30–40. [Google Scholar] [CrossRef]
- Bulbul Ali, A.; Mishra, A. Effects of dissolved oxygen concentration on freshwater fish: A review. Int. J. Fish. Aquat. Stud. 2022, 10, 113–127. [Google Scholar] [CrossRef]
- Simonyan, A.; Gabrielyan, B.; Minasyan, S.; Hovhannisyan, G.; Aroutiounian, R. Genotoxicity of Water Contaminants from the Basin of Lake Sevan, Armenia Evaluated by the Comet Assay in Gibel Carp (Carassius auratus gibelio) and Tradescantia Bioassays. Bull. Environ. Contam. Toxicol. 2016, 96, 309–313. [Google Scholar] [CrossRef]
- Kovacik, A.; Tvrda, E.; Tomka, M.; Revesz, N.; Arvay, J.; Fik, M.; Harangozo, L.; Hleba, L.; Kovacikova, E.; Jambor, T.; et al. Seasonal assessment of selected trace elements in grass carp (Ctenopharyngodon idella) blood and their effects on the biochemistry and oxidative stress markers. Environ. Monit. Assess. 2023, 195, 1522. [Google Scholar] [CrossRef]
- Breitburg, D.L.; Pihl, L.; Kolesar, S.E. Effects of low dissolved oxygen on the behavior, ecology and harvest of fishes: A comparison of the Chesapeake Bay and Baltic-Kattegat systems. Coast. Hypoxia Conseq. Living Resour. Ecosyst. 2001, 58, 241–267. [Google Scholar] [CrossRef]
- Zhang, K.; Ye, Z.; Qi, M.; Cai, W.; Saraiva, J.L.; Wen, Y.; Liu, G.; Zhu, Z.; Zhu, S.; Zhao, J. Water quality impact on fish behavior: A review from an aquaculture perspective. Rev. Aquac. 2025, 17, e12985. [Google Scholar] [CrossRef]
- Menon, S.V.; Kumar, A.; Middha, S.K.; Paital, B.; Mathur, S.; Johnson, R.; Kademan, A.; Usha, T.U.; Hemavathi, K.N.H.N.; Dayal, S.D.; et al. Water physicochemical factors and oxidative stress physiology in fish, a review. Front. Environ. Sci. 2023, 11, 1240813. [Google Scholar] [CrossRef]
- Kellock, K.A.; Moore, A.P.; Bringolf, R.B. Chronic nitrate exposure alters reproductive physiology in fathead minnows. Environ. Pollut. 2018, 232, 322–328. [Google Scholar] [CrossRef]
- Guo, M.; Xu, Z.; Zhang, H.; Mei, J.; Xie, J. The effects of acute exposure to ammonia on oxidative stress, hematological parameters, flesh quality, and gill morphological changes of the large yellow croaker (Larimichthys crocea). Animals 2023, 13, 2534. [Google Scholar] [CrossRef]
- Dai, M.; Zhao, Y.; Chai, F.; Chen, M.; Chen, N.; Chen, Y.; Cheng, D.; Gan, J.; Guan, D.; Hong, Y.; et al. Persistent eutrophication and hypoxia in the coastal ocean. Camb. Prism. Coast. Futures 2023, 1, e19. [Google Scholar] [CrossRef]
- Tuttle-Raycraft, S.; Ackerman, J.D. Living the high turbidity life: The effects of total suspended solids, flow, and gill morphology on mussel feeding. Limnol. Oceanogr. 2019, 64, 2526–2537. [Google Scholar] [CrossRef]
- Kleinhappel, T.K.; Burman, O.H.; John, E.A.; Wilkinson, A.; Pike, T.W. The impact of water pH on association preferences in fish. Ethology 2019, 125, 195–202. [Google Scholar] [CrossRef]
- Hrohovska, Y.R.; Volovyk, H.P.; Konontsev, S.V.; Moshynskyi, V.S.; Mandyhra, M.S.; Mosnitskyi, V.O. Cadastre of Ichthyofauna of Rivne Region: Monograph; Hrohovska, Y.R., Moshynskyi, V.S., Eds.; Doka Center: Rivne, Ukraine, 2012; 200p. (In Ukrainian) [Google Scholar]
- IUCN. IUCN Red List of Threatened Species. Available online: https://www.iucnredlist.org/ (accessed on 27 August 2025).
- Gandziura, V.P.; Afanasyev, S.O.; Biedunkova, O.O. The Concept of Hydroecosystems’ Health (a Review). Hydrobiol. J. 2023, 59, 3–17. [Google Scholar] [CrossRef]
- Trach, Y.; Chernyshev, D.; Biedunkova, O.; Moshynskyi, V.; Trach, R.; Statnyk, I. Modeling of Water Quality in West Ukrainian Rivers Based on Fluctuating Asymmetry of the Fish Population. Water 2022, 14, 3511. [Google Scholar] [CrossRef]
- Geina, K. Analysis of the morphological variability of the bream (Abramis brama Linnaeus, 1758) Dnipro-Buh river mouth system. Sci. Biol. Sci. 2018, 6, 9–14. [Google Scholar] [CrossRef]
- Yi, D.; Zhao, Z.; Wu, C.; Chen, T.; Shi, H.; Zhang, S.; Gao, S. Fluctuation asymmetry of Larimichthys polyactis otoliths from artificial and natural habitats: A study case in Haizhou Bay, China. Estuar. Coast. Shelf Sci. 2024, 311, 109015. [Google Scholar] [CrossRef]
- Simon, T.P.; Burskey, J.L. Deformity, Erosion, Lesion, and Tumor Occurrence, Fluctuating Asymmetry, and Population Parameters for Bluntnose Minnow (Pimephales notatus) as Indicators of Recovering Water Quality in a Great Lakes Area of Concern, USA. Arch. Environ. Contam. Toxicol. 2016, 70, 181–191. [Google Scholar] [CrossRef]
- Klingenberg, C.P. Analyzing Fluctuating Asymmetry with Geometric Morphometrics: Concepts, Methods, and Applications. Symmetry 2015, 7, 843–934. [Google Scholar] [CrossRef]
- Allenbach, D.M. Fluctuating asymmetry and exogenous stress in fishes: A review. Rev. Fish Biol. Fish. 2011, 21, 355–376. [Google Scholar] [CrossRef]












| Order | Family | Species | English Name | IUCN 1 Status | Number |
|---|---|---|---|---|---|
| Cypriniformes | Cyprinidae | Carassius carassius Linnaeus, 1758 | Crucian carp | Least Concern | 100 |
| Cypriniformes | Leuciscidae | Scardinius erythrophthalmus Linnaeus, 1758 | Rudd | Least Concern | 125 |
| Cypriniformes | Leuciscidae | Alburnus alburnus Linnaeus, 1758 | Bleak | Least Concern | 117 |
| Cypriniformes | Leuciscidae | Rutilus rutilus Linnaeus, 1758 | Roach | Least Concern | 125 |
| Cypriniformes | Leuciscidae | Abramis brama Linnaeus, 1758 | Freshwater bream | Least Concern | 101 |
| Perciformes | Percidae | Perca fluviatilis Linnaeus, 1758 | European perch | Least Concern | 104 |
| CP | Measurement Method | MPC Value |
|---|---|---|
| BOD5 | [21] | ≤3.0 mg O2/L |
| COD | [22] | ≤15.0 mg O2/L |
| DO | [23] | ≥5.0 mg O2/L |
| N–NH3 | [24] | ≤1.0 mg N/L |
| N–NO2 | [25] | ≤0.1 mg N/L |
| N–NO3 | [26] | ≤2.0 mg N/L |
| P–PO4 | [27] | ≤0.5 mg P/L |
| TSS | [28] | ≤25.0 mg/L |
| TDS | [29] | ≤1000 mg/L |
| pH | [30] | 6.5–8.5 units |
| Class | Classification | Description |
|---|---|---|
| I | Clean | Water contains negligible levels of pollutants |
| II | Moderately polluted | Minor anthropogenic influence |
| III | Polluted | Exceedances of individual parameters are observed |
| IV | Dirty | Persistent exceedances of normative values |
| V | Very dirty | Significant exceedances for most parameters |
| Metric | Symbol | Interpretation |
|---|---|---|
| Degree | D(v) | Number of direct links of a node, indicating its local activity |
| Weighted Degree | Dw(v) | Accounts for the strength of connections |
| Betweenness | BC(v) | Extent to which a node acts as a mediator between other nodes |
| Closeness | CC(v) | Reflects how close a node is to all other nodes in the network |
| CP | M | ±SD | Min. | Max. |
|---|---|---|---|---|
| BOD5, mg O2/L | 2.697 | 1.528 | 0.750 | 3.050 |
| COD, mgO/L | 35.333 | 14.975 | 20.000 | 59.000 |
| DO, mg O2/L | 10.207 | 1.932 | 7.000 | 12.610 |
| N–NH3, mgN/L | 0.451 | 0.373 | 0.280 | 0.350 |
| N–NO2, mgN/L | 0.019 | 0.008 | 0.006 | 0.031 |
| N–NO3, mgN/L | 1.04 | 0.55 | 0.51 | 2.20 |
| P–PO4, mgP/L | 0.33 | 0.17 | 0.09 | 0.58 |
| TSS, mg/L | 9.618 | 1.562 | 6.960 | 11.830 |
| pH, units | 8.336 | 0.129 | 8.130 | 8.550 |
Disclaimer/Publisher’s Note: The statements, opinions and data contained in all publications are solely those of the individual author(s) and contributor(s) and not of MDPI and/or the editor(s). MDPI and/or the editor(s) disclaim responsibility for any injury to people or property resulting from any ideas, methods, instructions or products referred to in the content. |
© 2025 by the authors. Licensee MDPI, Basel, Switzerland. This article is an open access article distributed under the terms and conditions of the Creative Commons Attribution (CC BY) license (https://creativecommons.org/licenses/by/4.0/).
Share and Cite
Biedunkova, O.; Kuznietsov, P.; Korbutiak, V.; Petruk, A.; Gabrielyan, B.; Andreji, J.; Grokhovska, Y.; Konontsev, S. Dominant Meristic Traits of Fish and Their Association with Habitat Water Quality Parameters: A Case Study. Fishes 2025, 10, 561. https://doi.org/10.3390/fishes10110561
Biedunkova O, Kuznietsov P, Korbutiak V, Petruk A, Gabrielyan B, Andreji J, Grokhovska Y, Konontsev S. Dominant Meristic Traits of Fish and Their Association with Habitat Water Quality Parameters: A Case Study. Fishes. 2025; 10(11):561. https://doi.org/10.3390/fishes10110561
Chicago/Turabian StyleBiedunkova, Olha, Pavlo Kuznietsov, Vasyl Korbutiak, Alina Petruk, Bardukh Gabrielyan, Jaroslav Andreji, Yulia Grokhovska, and Serhii Konontsev. 2025. "Dominant Meristic Traits of Fish and Their Association with Habitat Water Quality Parameters: A Case Study" Fishes 10, no. 11: 561. https://doi.org/10.3390/fishes10110561
APA StyleBiedunkova, O., Kuznietsov, P., Korbutiak, V., Petruk, A., Gabrielyan, B., Andreji, J., Grokhovska, Y., & Konontsev, S. (2025). Dominant Meristic Traits of Fish and Their Association with Habitat Water Quality Parameters: A Case Study. Fishes, 10(11), 561. https://doi.org/10.3390/fishes10110561

