Boosting Quantum Key Distribution via the End-to-End Loss Control
Abstract
1. Introduction
2. Eavesdropping of Natural Losses
3. Line Tomography
4. Analysis Scheme
5. The BB84 Protocol
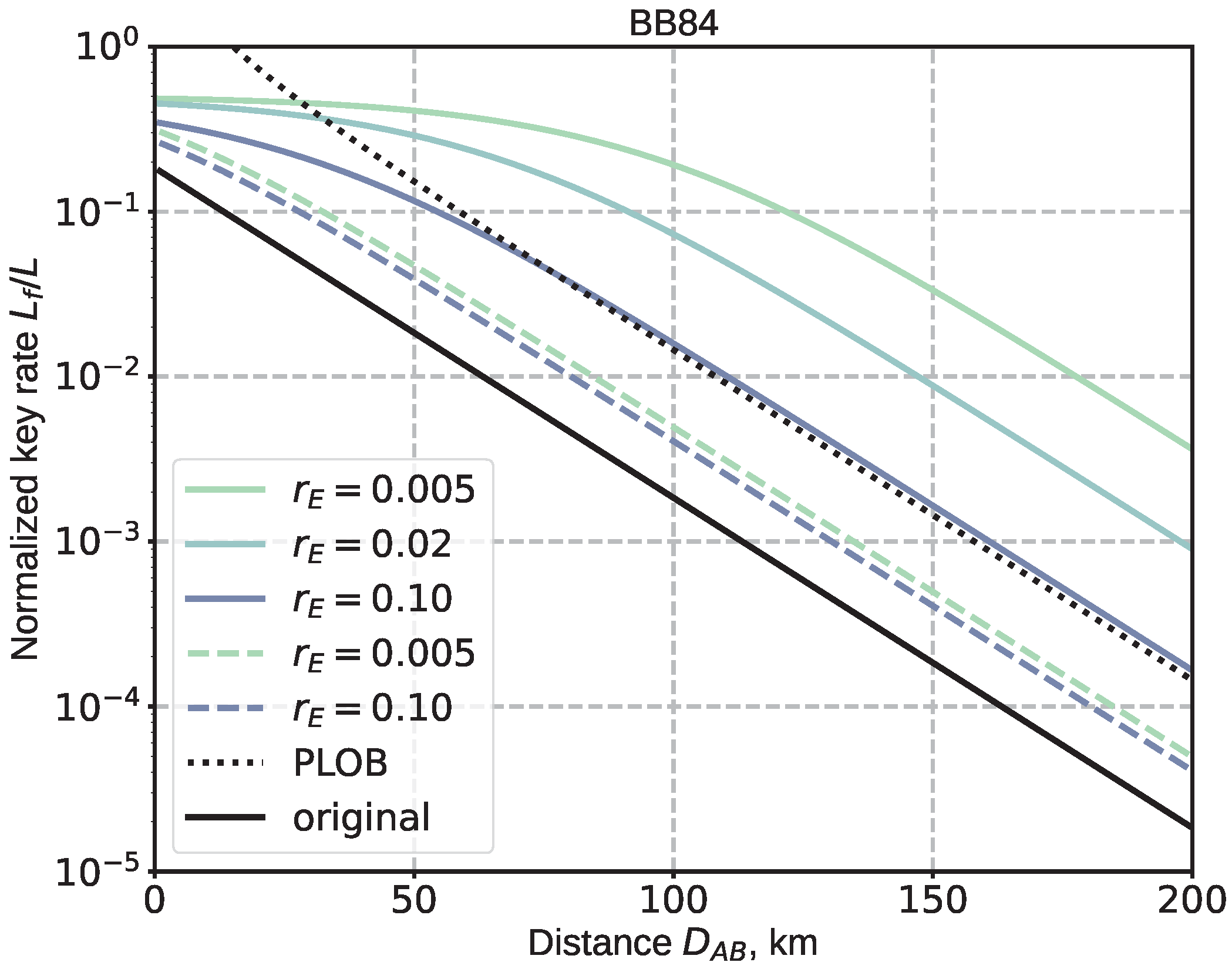
5.1. Secret Key Rate in Modified BB84
5.2. Comparison with Standard Decoy-State BB84
6. Coherent One-Way Protocol
6.1. Secret Key Rate in Modified COW
6.2. Comparison with Original COW
7. Loss Control Compared to the Decoy-State Method
8. Beyond the Prepare-and-Measure QKD
9. Discussion
Author Contributions
Funding
Data Availability Statement
Acknowledgments
Conflicts of Interest
Abbreviations
| AM | Amplitude Modulator |
| B92 | Bennett 1992 |
| BB84 | Bennett-Brassard 1984 |
| BS | Beam Splitter |
| COW | Coherent One-Way |
| DPS | Dfferential Phase-Shift |
| OTDR | Optical Time-Domain Reflectometer (Reflectometry) |
| PBS | Polarization Beam Splitter |
| PLOB | Pirandola-Laurenza-Ottaviani-Banchi |
| PM | Phase Modulator |
| PNS | Photon Number-Splitting |
| PR | Polarization Rotator |
| SARG04 | Scarani-Acin-Ribordy-Gisin 2004 |
| T-12 | Toshiba 2012 |
| TF-QKD | Twin-Field Quantum Key Distribution |
| QKD | Quantum Key Distribution |
| Y-00 | Yuen 2000 |
Appendix A. Optimal Intensities for Modified Versions of BB84 and COW


Appendix B. Upper Bound on Key Rate in Decoy-State BB84
Appendix C. Error Analysis in BB84

References
- Bennett, C.; Brassard, G. Quantum cryptography: Public key distribution and coin tossing. Theor. Comput. Sci. 1984, 560, 175–179. [Google Scholar] [CrossRef]
- Hwang, W.Y. Quantum key distribution with high loss: Toward global secure communication. Phys. Rev. Lett. 2003, 91, 057901. [Google Scholar] [CrossRef] [PubMed]
- Lo, H.K.; Ma, X.; Chen, K. Decoy state quantum key distribution. Phys. Rev. Lett. 2005, 94, 230504. [Google Scholar] [CrossRef]
- Ma, X.; Qi, B.; Zhao, Y.; Lo, H.K. Practical decoy state for quantum key distribution. Phys. Rev. A 2005, 72, 012326. [Google Scholar] [CrossRef]
- Trushechkin, A.S.; Kiktenko, E.O.; Kronberg, D.A.; Fedorov, A.K. Sectionrity of the decoy state method for quantum key distribution. Physics-Uspekhi 2021, 64, 88. [Google Scholar] [CrossRef]
- Stucki, D.; Brunner, N.; Gisin, N.; Scarani, V.; Zbinden, H. Fast and simple one-way quantum key distribution. Appl. Phys. Lett. 2005, 87, 194108. [Google Scholar] [CrossRef]
- Stucki, D.; Walenta, N.; Vannel, F.; Thew, R.T.; Gisin, N.; Zbinden, H.; Gray, S.; Towery, C.; Ten, S. High rate, long-distance quantum key distribution over 250 km of ultra low loss fibres. New J. Phys. 2009, 11, 075003. [Google Scholar] [CrossRef]
- Korzh, B.; Lim, C.C.W.; Houlmann, R.; Gisin, N.; Li, M.J.; Nolan, D.; Sanguinetti, B.; Thew, R.; Zbinden, H. Provably secure and practical quantum key distribution over 307 km of optical fibre. Nat. Photon. 2015, 9, 163–168. [Google Scholar] [CrossRef]
- Pirandola, S.; Laurenza, R.; Ottaviani, C.; Banchi, L. Fundamental limits of repeaterless quantum communications. Nat. Commun. 2017, 8, 15043. [Google Scholar] [CrossRef]
- Kirsanov, N.; Pastushenko, V.; Kodukhov, A.; Yarovikov, M.; Sagingalieva, A.; Kronberg, D.; Pflitsch, M.; Vinokur, V. Forty Thousand Kilometers Under Quantum Protection. Sci. Rep. 2023, 13, 8756. [Google Scholar] [CrossRef]
- Holevo, A. Bounds for the Quantity of Information Transmitted by a Quantum Communication Channel. Probl. Peredachi Informatsii 1973, 9, 3–11. [Google Scholar]
- Lesovik, G.B.; Lebedev, A.V.; Sadovskyy, I.A.; Suslov, M.; Vinokur, V.M. H-theorem in quantum physics. Sci. Rep. 2016, 6, 32815. [Google Scholar] [CrossRef] [PubMed]
- Lesovik, G.B.; Sadovskyy, I.A.; Suslov, M.; Lebedev, A.V.; Vinokur, V.M. Arrow of time and its reversal on the IBM quantum computer. Sci. Rep. 2019, 9, 4396. [Google Scholar] [CrossRef] [PubMed]
- Kirsanov, N.S.; Lebedev, A.V.; Suslov, M.; Vinokur, V.; Blatter, G.; Lesovik, G.B. Entropy dynamics in the system of interacting qubits. J. Rus. Laser Res. 2018, 39, 120–127. [Google Scholar] [CrossRef]
- Kirsanov, N.; Lebedev, A.V.; Sadovskyy, I.; Suslov, M.; Vinokur, V.; Blatter, G.; Lesovik, G. H-theorem and Maxwell demon in quantum physics. AIP Conf. Proc. 2018, 1936, 020026. [Google Scholar]
- Smirnov, A.; Yarovikov, M.; Zhdanova, E.; Gutor, A.; Vyatkin, M. An Optical-Fiber-Based Key for Remote Authentication of Users and Optical Fiber Lines. Sensors 2023, 23, 6390. [Google Scholar] [CrossRef]
- Mølmer, K. Optical coherence: A convenient fiction. Phys. Rev. A 1997, 55, 3195. [Google Scholar] [CrossRef]
- Lütkenhaus, N. Sectionrity against individual attacks for realistic quantum key distribution. Phys. Rev. A 2000, 61, 052304. [Google Scholar] [CrossRef]
- Van Enk, S.; Fuchs, C.A. Quantum state of an ideal propagating laser field. Phys. Rev. Lett. 2001, 88, 027902. [Google Scholar] [CrossRef]
- Zhao, Y.; Qi, B.; Lo, H.K. Experimental quantum key distribution with active phase randomization. Appl. Phys. Lett. 2007, 90, 044106. [Google Scholar] [CrossRef]
- Chaiwongkhot, P.; Hosseini, S.; Ahmadi, A.; Higgins, B.L.; Dalacu, D.; Poole, P.J.; Williams, R.L.; Reimer, M.E.; Jennewein, T. Enhancing secure key rates of satellite QKD using a quantum dot single-photon source. arXiv 2020, arXiv:2009.11818. [Google Scholar]
- Biswas, A.; Banerji, A.; Chandravanshi, P.; Kumar, R.; Singh, R.P. Experimental side channel analysis of BB84 QKD source. IEEE J. Quantum Electron. 2021, 57, 1–7. [Google Scholar] [CrossRef]
- Pereira, M.; Currás-Lorenzo, G.; Navarrete, Á.; Mizutani, A.; Kato, G.; Curty, M.; Tamaki, K. Modified BB84 quantum key distribution protocol robust to source imperfections. Phys. Rev. Res. 2023, 5, 023065. [Google Scholar] [CrossRef]
- Bechmann-Pasquinucci, H.; Gisin, N. Incoherent and coherent eavesdropping in the six-state protocol of quantum cryptography. Phys. Rev. A 1999, 59, 4238–4248. [Google Scholar] [CrossRef]
- Lucamarini, M.; Patel, K.; Dynes, J.; Fröhlich, B.; Sharpe, A.; Dixon, A.; Yuan, Z.; Penty, R.; Shields, A. Efficient decoy-state quantum key distribution with quantified security. Opt. Express 2013, 21, 24550–24565. [Google Scholar] [CrossRef]
- Yuan, Z.; Plews, A.; Takahashi, R.; Doi, K.; Tam, W.; Sharpe, A.W.; Dixon, A.R.; Lavelle, E.; Dynes, J.F.; Murakami, A.; et al. 10-Mb/s quantum key distribution. J. Light. Technol. 2018, 36, 3427–3433. [Google Scholar] [CrossRef]
- Scarani, V.; Acin, A.; Ribordy, G.; Gisin, N. Quantum cryptography protocols robust against photon number splitting attacks for weak laser pulse implementations. Phys. Rev. Lett. 2004, 92, 057901. [Google Scholar] [CrossRef]
- Brassard, G.; Lütkenhaus, N.; Mor, T.; Sanders, B.C. Limitations on Practical Quantum Cryptography. Phys. Rev. Lett. 2000, 85, 1330–1333. [Google Scholar] [CrossRef] [PubMed]
- Acín, A.; Gisin, N.; Scarani, V. Coherent-pulse implementations of quantum cryptography protocols resistant to photon-number-splitting attacks. Phys. Rev. A 2004, 69, 012309. [Google Scholar] [CrossRef]
- Duan, X.; Pearse, J.; Wonfor, A.; White, C.; Bahrami, A.; Straw, A.; Edwards, T.; Penty, R.; Lord, A.; Kumar, R.; et al. Performance analysis on co-existence of COW-QKD and classical DWDM channels transmission in UK national quantum networks. J. Light. Technol. 2023, 41, 4901–4906. [Google Scholar] [CrossRef]
- Inoue, K.; Waks, E.; Yamamoto, Y. Differential-phase-shift quantum key distribution using coherent light. Phys. Rev. A 2003, 68, 022317. [Google Scholar] [CrossRef]
- Takesue, H.; Nam, S.W.; Zhang, Q.; Hadfield, R.H.; Honjo, T.; Tamaki, K.; Yamamoto, Y. Quantum key distribution over a 40-dB channel loss using superconducting single-photon detectors. Nat. Photon. 2007, 1, 343–348. [Google Scholar] [CrossRef]
- Tamaki, K. Unconditionally secure quantum key distribution with relatively strong signal pulse. Phys. Rev. A 2008, 77, 032341. [Google Scholar] [CrossRef]
- Tamaki, K.; Lütkenhaus, N.; Koashi, M.; Batuwantudawe, J. Unconditional security of the Bennett 1992 quantum-key-distribution scheme with a strong reference pulse. Phys. Rev. A 2009, 80, 032302. [Google Scholar] [CrossRef]
- Miroshnichenko, G.; Kozubov, A.; Gaidash, A.; Gleim, A.; Horoshko, D. Sectionrity of subcarrier wave quantum key distribution against the collective beam-splitting attack. Opt. Express 2018, 26, 11292–11308. [Google Scholar] [CrossRef]
- Hirota, O.; Kato, K.; Shoma, M.; Usuda, T.S. Quantum key distribution with unconditional security for all optical fiber network. In Quantum Communications and Quantum Imaging, Proceedings of the Optical Science and Technology, SPIE’s 48th Annual Meeting, San Diego, CA, USA, 3–8 August 2003; SPIE: Bellingham, WA, USA, 2004; Volume 5161, pp. 320–331. [Google Scholar]
- Barbosa, G.A. Information theory for key distribution systems secured by mesoscopic coherent states. Phys. Rev. A 2005, 71, 062333. [Google Scholar] [CrossRef]
- Branciard, C.; Gisin, N.; Lütkenhaus, N.; Scarani, V. Zero-error attacks and detection statistics in the coherent one-way protocol for quantum cryptography. Quantum Inf. Comput. 2007, 7, 639–664. [Google Scholar] [CrossRef]
- Kronberg, D.A.; Kiktenko, E.O.; Fedorov, A.K.; Kurochkin, Y.V. Analysis of coherent quantum cryptography protocol vulnerability to an active beam-splitting attack. Quantum Electron. 2017, 47, 163. [Google Scholar] [CrossRef]
- Kronberg, D.; Nikolaeva, A.; Kurochkin, Y.V.; Fedorov, A. Quantum soft filtering for the improved security analysis of the coherent one-way quantum-key-distribution protocol. Phys. Rev. A 2020, 101, 032334. [Google Scholar] [CrossRef]
- Shor, P.W.; Preskill, J. Simple Proof of Sectionrity of the BB84 Quantum Key Distribution Protocol. Phys. Rev. Lett. 2000, 85, 441–444. [Google Scholar] [CrossRef]
- Renner, R. Sectionrity of quantum key distribution. Int. J. Quantum Inf. 2008, 6, 1–127. [Google Scholar] [CrossRef]
- Renner, R.; Gisin, N.; Kraus, B. Information-theoretic security proof for quantum-key-distribution protocols. Phys. Rev. A 2005, 72, 012332. [Google Scholar] [CrossRef]
- Schmitt-Manderbach, T.; Weier, H.; Fürst, M.; Ursin, R.; Tiefenbacher, F.; Scheidl, T.; Perdigues, J.; Sodnik, Z.; Kurtsiefer, C.; Rarity, J.G.; et al. Experimental Demonstration of Free-Space Decoy-State Quantum Key Distribution over 144 km. Phys. Rev. Lett. 2007, 98, 010504. [Google Scholar] [CrossRef] [PubMed]
- Kobayashi, T.; Tomita, A.; Okamoto, A. Evaluation of the phase randomness of a light source in quantum-key-distribution systems with an attenuated laser. Phys. Rev. A 2014, 90, 032320. [Google Scholar] [CrossRef]
- Boaron, A.; Boso, G.; Rusca, D.; Vulliez, C.; Autebert, C.; Caloz, M.; Perrenoud, M.; Gras, G.; Bussières, F.; Li, M.J.; et al. Sectionre quantum key distribution over 421 km of optical fiber. Phys. Rev. Lett. 2018, 121, 190502. [Google Scholar] [CrossRef]
- Devetak, I.; Winter, A. Distillation of secret key and entanglement from quantum states. Proc. R. Soc. Lond. A 2005, 461, 207–235. [Google Scholar] [CrossRef]
- Lucamarini, M.; Yuan, Z.L.; Dynes, J.F.; Shields, A.J. Overcoming the rate–distance limit of quantum key distribution without quantum repeaters. Nature 2018, 557, 400–403. [Google Scholar] [CrossRef]
- Pittaluga, M.; Minder, M.; Lucamarini, M.; Sanzaro, M.; Woodward, R.I.; Li, M.J.; Yuan, Z.; Shields, A.J. 600-km repeater-like quantum communications with dual-band stabilization. Nat. Photon. 2021, 15, 530–535. [Google Scholar] [CrossRef]
- Wang, S.; Yin, Z.Q.; He, D.Y.; Chen, W.; Wang, R.Q.; Ye, P.; Zhou, Y.; Fan-Yuan, G.J.; Wang, F.X.; Chen, W.; et al. Twin-field quantum key distribution over 830-km fibre. Nat. Photon. 2022, 16, 154–161. [Google Scholar] [CrossRef]
- Xie, Y.M.; Weng, C.X.; Lu, Y.S.; Fu, Y.; Wang, Y.; Yin, H.L.; Chen, Z.B. Scalable high-rate twin-field quantum key distribution networks without constraint of probability and intensity. Phys. Rev. A 2023, 107, 042603. [Google Scholar] [CrossRef]
- Ma, X.; Zeng, P.; Zhou, H. Phase-matching quantum key distribution. Phys. Rev. X 2018, 8, 031043. [Google Scholar] [CrossRef]
- Lin, J.; Lütkenhaus, N. Simple security analysis of phase-matching measurement-device-independent quantum key distribution. Phys. Rev. A 2018, 98, 042332. [Google Scholar] [CrossRef]
- Lu, F.Y.; Yin, Z.Q.; Cui, C.H.; Fan-Yuan, G.J.; Wang, R.; Wang, S.; Chen, W.; He, D.Y.; Huang, W.; Xu, B.J.; et al. Improving the performance of twin-field quantum key distribution. Phys. Rev. A 2019, 100, 022306. [Google Scholar] [CrossRef]
- Curty, M.; Azuma, K.; Lo, H.K. Simple security proof of twin-field type quantum key distribution protocol. Npj Quantum Inf. 2019, 5, 64. [Google Scholar] [CrossRef]
- Gu, J.; Cao, X.Y.; Fu, Y.; He, Z.W.; Yin, Z.J.; Yin, H.L.; Chen, Z.B. Experimental measurement-device-independent type quantum key distribution with flawed and correlated sources. Sci. Bull. 2022, 67, 2167–2175. [Google Scholar] [CrossRef]
- Renner, R.; Wolf, R. Quantum advantage in cryptography. AIAA J. 2023, 61, 1895–1910. [Google Scholar] [CrossRef]
- Lo, H.K.; Curty, M.; Qi, B. Measurement-device-independent quantum key distribution. Phys. Rev. Lett. 2012, 108, 130503. [Google Scholar] [CrossRef]
- Braunstein, S.L.; Pirandola, S. Side-channel-free quantum key distribution. Phys. Rev. Lett. 2012, 108, 130502. [Google Scholar] [CrossRef]
- Xie, Y.M.; Lu, Y.S.; Weng, C.X.; Cao, X.Y.; Jia, Z.Y.; Bao, Y.; Wang, Y.; Fu, Y.; Yin, H.L.; Chen, Z.B. Breaking the rate-loss bound of quantum key distribution with asynchronous two-photon interference. PRX Quantum 2022, 3, 020315. [Google Scholar] [CrossRef]
- Zeng, P.; Zhou, H.; Wu, W.; Ma, X. Mode-pairing quantum key distribution. Nat. Commun. 2022, 13, 3903. [Google Scholar] [CrossRef]
- Xie, Y.M.; Bai, J.L.; Lu, Y.S.; Weng, C.X.; Yin, H.L.; Chen, Z.B. Advantages of Asynchronous Measurement-Device-Independent Quantum Key Distribution in Intercity Networks. Phys. Rev. Appl. 2023, 19, 054070. [Google Scholar] [CrossRef]
- Yin, H.L.; Fu, Y. Measurement-device-independent twin-field quantum key distribution. Sci. Rep. 2019, 9, 3045. [Google Scholar] [CrossRef] [PubMed]
- Portmann, C.; Renner, R. Sectionrity in quantum cryptography. Rev. Mod. Phys. 2022, 94, 025008. [Google Scholar] [CrossRef]
- Unruh, D. Everlasting multi-party computation. In Proceedings of the Advances in Cryptology—CRYPTO 2013: 33rd Annual Cryptology Conference, Santa Barbara, CA, USA, 18–22 August 2013; Proceedings, Part II. Springer: Berlin/Heidelberg, Germany, 2013; pp. 380–397. [Google Scholar]
- Stebila, D.; Mosca, M.; Lütkenhaus, N. The case for quantum key distribution. In Proceedings of the Quantum Communication and Quantum Networking: First International Conference, QuantumComm 2009, Naples, Italy, 26–30 October 2009; Revised Selected Papers 1. Springer: Berlin/Heidelberg, Germany, 2010; pp. 283–296. [Google Scholar]
- Alléaume, R.; Lütkenhaus, N.; Renner, R.; Grangier, P.; Debuisschert, T.; Ribordy, G.; Gisin, N.; Painchault, P.; Pornin, T.; Slavail, L.; et al. Quantum key distribution and cryptography: A survey. In Dagstuhl Seminar Proceedings; Schloss Dagstuhl-Leibniz-Zentrum für Informatik: Wadern, Germany, 2010. [Google Scholar]
- Pastushenko, V.A.; Kronberg, D.A. Improving the Performance of Quantum Cryptography by Using the Encryption of the Error Correction Data. Entropy 2023, 25, 956. [Google Scholar] [CrossRef] [PubMed]






| Secret Key Rate | Everlasting Security | Device Dependency | |
|---|---|---|---|
| Post-quantum cryptography | high | ✗ | — |
| Point-to-point QKD | relatively low | ✓ | relatively high |
| MDI QKD | low | ✓ | medium |
| Point-to-point QKD with loss control | relatively high | ✓ | high |
Disclaimer/Publisher’s Note: The statements, opinions and data contained in all publications are solely those of the individual author(s) and contributor(s) and not of MDPI and/or the editor(s). MDPI and/or the editor(s) disclaim responsibility for any injury to people or property resulting from any ideas, methods, instructions or products referred to in the content. |
© 2023 by the authors. Licensee MDPI, Basel, Switzerland. This article is an open access article distributed under the terms and conditions of the Creative Commons Attribution (CC BY) license (https://creativecommons.org/licenses/by/4.0/).
Share and Cite
Kodukhov, A.D.; Pastushenko, V.A.; Kirsanov, N.S.; Kronberg, D.A.; Pflitsch, M.; Vinokur, V.M. Boosting Quantum Key Distribution via the End-to-End Loss Control. Cryptography 2023, 7, 38. https://doi.org/10.3390/cryptography7030038
Kodukhov AD, Pastushenko VA, Kirsanov NS, Kronberg DA, Pflitsch M, Vinokur VM. Boosting Quantum Key Distribution via the End-to-End Loss Control. Cryptography. 2023; 7(3):38. https://doi.org/10.3390/cryptography7030038
Chicago/Turabian StyleKodukhov, Aleksei D., Valeria A. Pastushenko, Nikita S. Kirsanov, Dmitry A. Kronberg, Markus Pflitsch, and Valerii M. Vinokur. 2023. "Boosting Quantum Key Distribution via the End-to-End Loss Control" Cryptography 7, no. 3: 38. https://doi.org/10.3390/cryptography7030038
APA StyleKodukhov, A. D., Pastushenko, V. A., Kirsanov, N. S., Kronberg, D. A., Pflitsch, M., & Vinokur, V. M. (2023). Boosting Quantum Key Distribution via the End-to-End Loss Control. Cryptography, 7(3), 38. https://doi.org/10.3390/cryptography7030038

