Validity of a New Portable Sensor to Measure Velocity-Based Resistance Training
Abstract
1. Introduction
2. Materials and Methods
2.1. Participants
2.2. Procedures
2.3. Bench Press One Repetition-Maximum Test (1RM)
2.4. Instruments
2.5. Statistical Analysis
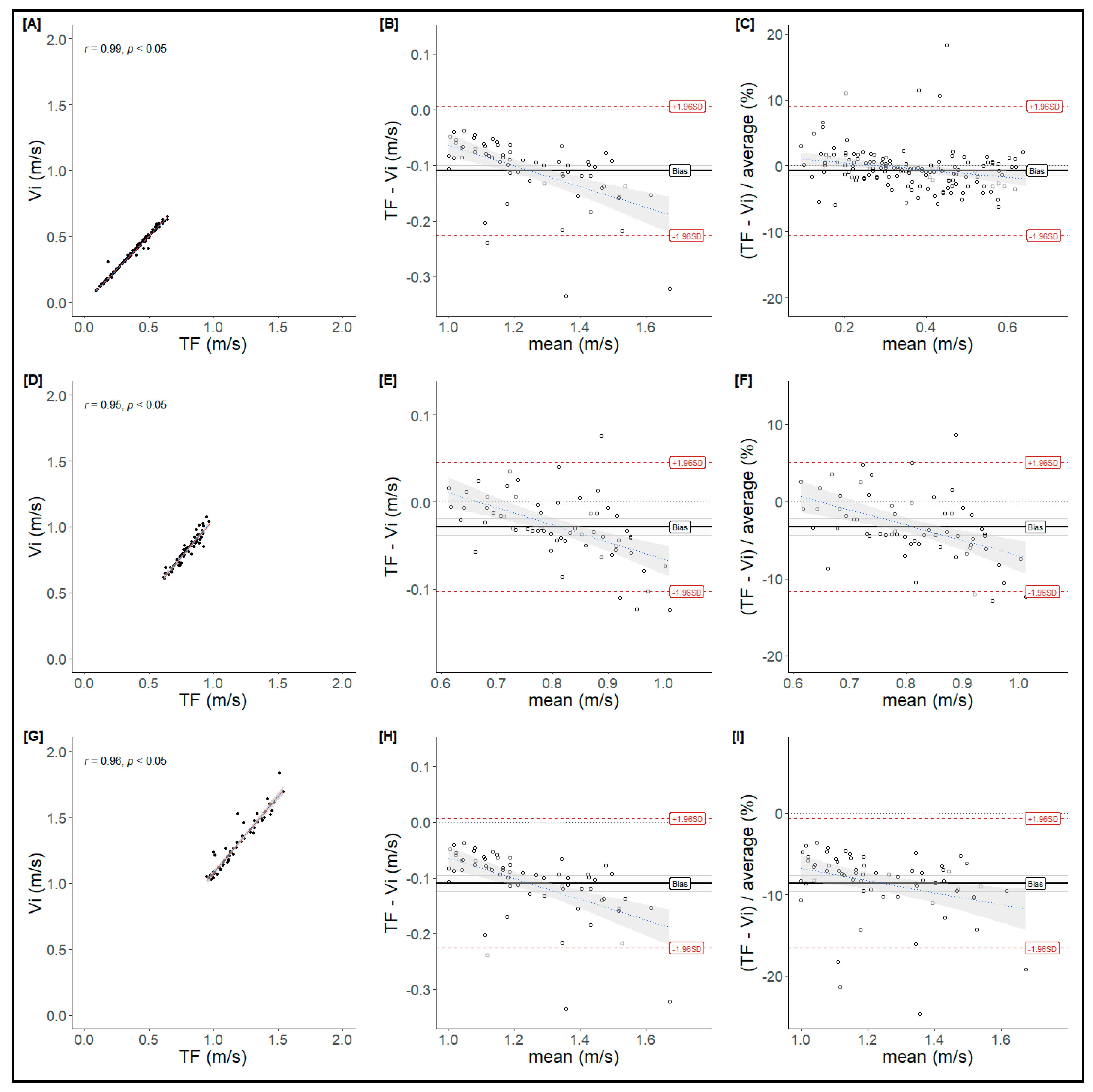
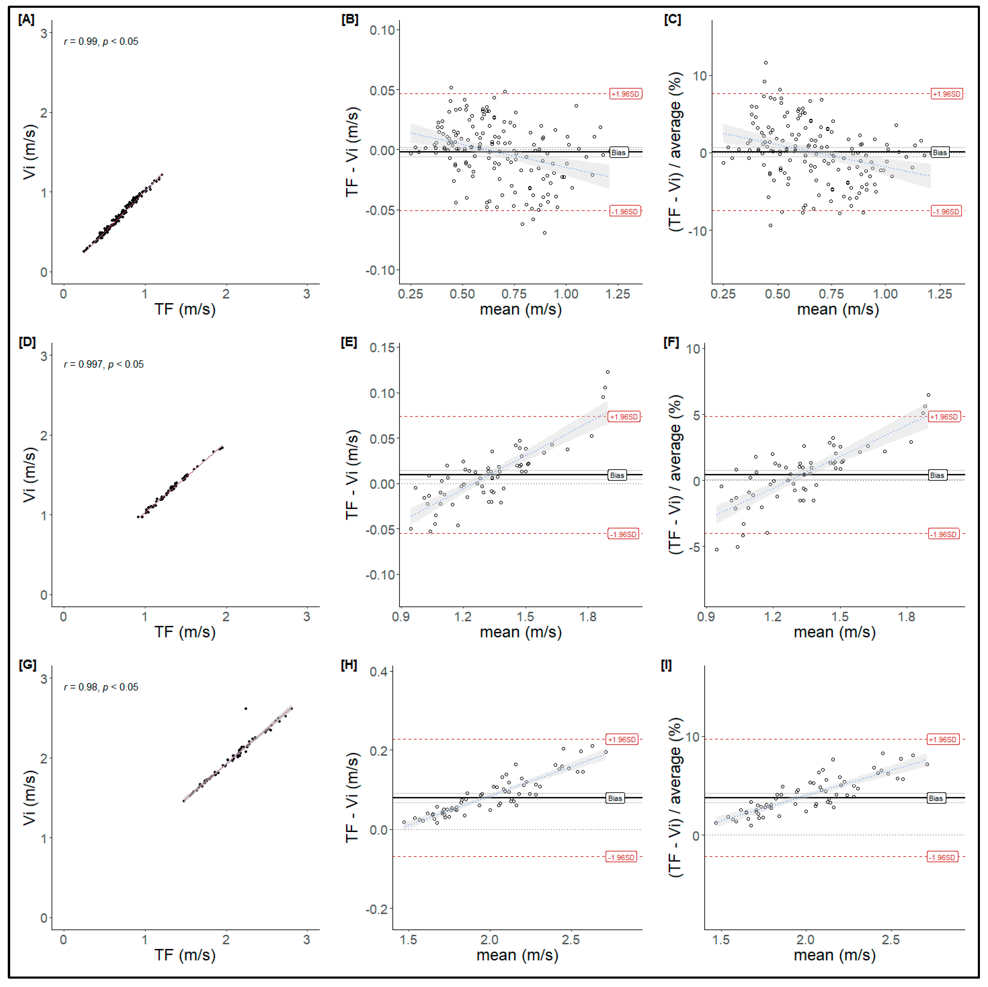
3. Results
3.1. Mean Propulsive Velocity
3.2. Peak Velocity
3.3. Magnitude of Change
4. Discussion
5. Conclusions
Supplementary Materials
Author Contributions
Funding
Institutional Review Board Statement
Informed Consent Statement
Data Availability Statement
Acknowledgments
Conflicts of Interest
References
- Weakley, J.; Mann, B.; Banyard, H.; McLaren, S.; Scott, T.; Garcia-Ramos, A. Velocity-Based Training: From Theory to Application. Strength Cond. J. 2021, 43, 31–49. [Google Scholar] [CrossRef]
- Sánchez-Medina, L.; González-Badillo, J.J. Velocity Loss as an Indicator of Neuromuscular Fatigue during Resistance Training. Med. Sci. Sports Exerc. 2011, 43, 1725–1734. [Google Scholar] [CrossRef] [PubMed]
- Weakley, J.; McLaren, S.; Ramirez-Lopez, C.; García-Ramos, A.; Dalton-Barron, N.; Banyard, H.; Mann, B.; Weaving, D.; Jones, B. Application of Velocity Loss Thresholds during Free-Weight Resistance Training: Responses and Reproducibility of Perceptual, Metabolic, and Neuromuscular Outcomes. J. Sports Sci. 2020, 38, 477–485. [Google Scholar] [CrossRef] [PubMed]
- Sánchez-Medina, L.; González-Badillo, J.J.; Pérez, C.E.; Pallarés, J.G. Velocity- and Power-Load Relationships of the Bench Pull Vs Bench Press Exercises. Int. J. Sports Med. 2014, 35, 209–216. [Google Scholar] [CrossRef]
- Sanchez-Medina, L.; Perez, C.E.; Gonzalez-Badillo, J.J. Importance of the Propulsive Phase in Strength Assessment. Int. J. Sports Med. 2010, 31, 123–129. [Google Scholar] [CrossRef]
- Pérez-Castilla, A.; Piepoli, A.; Garrido-Blanca, G.; Delgado-García, G.; Balsalobre-Fernández, C.; García-Ramos, A. Precision of 7 Commercially Available Devices for Predicting Bench-Press 1-Repetition Maximum from the Individual Load–Velocity Relationship. Int. J. Sports Physiol. Perform. 2019, 14, 1442–1446. [Google Scholar] [CrossRef]
- Held, S.; Rappelt, L.; Deutsch, J.P.; Donath, L. Valid and Reliable Barbell Velocity Estimation Using an Inertial Measurement Unit. Int. J. Environ. Res. Public Health 2021, 18, 9170. [Google Scholar] [CrossRef]
- Pérez-Castilla, A.; Piepoli, A.; Delgado-García, G.; Garrido-Blanca, G.; García-Ramos, A. Reliability and Concurrent Validity of Seven Commercially Available Devices for the Assessment of Movement Velocity at Different Intensities during the Bench Press. J. Strength Cond. Res. 2019, 33, 1258–1265. [Google Scholar] [CrossRef]
- Garnacho-Castaño, M.V.; López-Lastra, S.; Maté-Muñoz, J.L. Reliability and Validity Assessment of a Linear Position Transducer. J. Sports Sci. Med. 2014, 14, 128–136. [Google Scholar]
- Lorenzetti, S.; Lamparter, T.; Lüthy, F. Validity and Reliability of Simple Measurement Device to Assess the Velocity of the Barbell during Squats. BMC Res. Notes 2017, 10, 707. [Google Scholar] [CrossRef]
- Janicijevic, D.; García-Ramos, A.; Lamas-Cepero, J.L.; García-Pinillos, F.; Marcos-Blanco, A.; Rojas, F.J.; Weakley, J.; Pérez-Castilla, A. Comparison of the Two Most Commonly Used Gold-Standard Velocity Monitoring Devices (GymAware and T-Force) to Assess Lifting Velocity during the Free-Weight Barbell Back Squat Exercise. Proc. Inst. Mech. Eng. Part P J. Sports Eng. Technol. 2021, 237, 205–212. [Google Scholar] [CrossRef]
- Martínez-Cava, A.; Hernández-Belmonte, A.; Courel-Ibáñez, J.; Morán-Navarro, R.; González-Badillo, J.J.; Pallarés, J.G. Reliability of Technologies to Measure the Barbell Velocity: Implications for Monitoring Resistance Training. PLoS ONE 2020, 15, e0232465. [Google Scholar]
- Callaghan, D.E.; Guy, J.H.; Elsworthy, N.; Kean, C. Validity of the PUSH Band 2.0 and Speed4lifts to Measure Velocity during Upper and Lower Body Free-Weight Resistance Exercises. J. Sports Sci. 2022, 40, 968–975. [Google Scholar] [CrossRef] [PubMed]
- Courel-Ibáñez, J.; Buendía-Romero, Á.; Pallarés, J.G.; García-Conesa, S.; Martínez-Cava, A.; Izquierdo, M. Impact of Tailored Multicomponent Exercise for Preventing Weakness and Falls on Nursing Home Residents’ Functional Capacity. J. Am. Med. Dir. Assoc. 2022, 23, 98–104.e3. [Google Scholar] [CrossRef]
- Kilgallon, J.; Cushion, E.; Joffe, S.; Tallent, J. Reliability and Validity of Velocity Measures and Regression Methods to Predict Maximal Strength Ability in the Back-Squat Using a Novel Linear Position Transducer. Proc. Inst. Mech. Eng. Part P J. Sports Eng. Technol. 2022, 1, 1–14. [Google Scholar] [CrossRef]
- González-Galán, J.; Herrera-Bermudo, J.C.; González-Badillo, J.J.; Rodríguez-Rosell, D. Validity and Concordance of a Linear Position Transducer (Vitruve) for Measuring Movement Velocity during Resistance Training. Sensors 2024, 24, 6444. [Google Scholar] [CrossRef]
- Loturco, I.; Nakamura, F.Y.; Tricoli, V.; Kobal, R.; Abad, C.C.C.; Kitamura, K.; Ugrinowitsch, C.; Gil, S.; Pereira, L.A.; González-Badillo, J.J. Determining the Optimum Power Load in Jump Squat Using the Mean Propulsive Velocity. PLoS ONE 2015, 10, e0140102. [Google Scholar] [CrossRef]
- Zhang, Z. Statistical Power Analysis for One-Way ANOVA. In Practical Statistical Power Analysis Using WebPower and R; Zhang, Z., Yuan, K.-H., Eds.; ISDSA Press: Granger, IN, USA, 2018. [Google Scholar]
- González-Badillo, J.J.; Rodríguez-Rosell, D.; Sánchez-Medina, L.; Gorostiaga, E.M.; Pareja-Blanco, F. Maximal Intended Velocity Training Induces Greater Gains in Bench Press Performance than Deliberately Slower Half-Velocity Training. Eur. J. Sport Sci. 2014, 14, 772–781. [Google Scholar] [CrossRef]
- Hopkins, W.G.; Marshall, S.W.; Batterham, A.M.; Hanin, J. Progressive Statistics for Studies in Sports Medicine and Exercise Science. Med. Sci. Sports Exerc. 2009, 41, 3–12. [Google Scholar] [CrossRef]
- Martin Bland, J.; Altman, D.G. Statistical Methods for Assessing Agreement Between Two Methods of Clinical Measurement. Lancet 1986, 327, 307–310. [Google Scholar] [CrossRef]
- Kumar, K.; Goyal, D.; Banwait, S.S. Effect of Key Parameters on Fretting Behaviour of Wire Rope: A Review. Arch. Comput. Methods Eng. 2020, 27, 549–561. [Google Scholar] [CrossRef]
- Bland, J.M.; Altman, D.G. Statistics Notes: Correlation, Regression, and Repeated Data. BMJ 1994, 308, 896. [Google Scholar] [CrossRef]



| MPV | PV | |||
|---|---|---|---|---|
| Loads | ES | 95% CI | ES | 95% CI |
| High | −0.02 | −0.24, 0.19 | −0.01 | −0.23, 0.21 |
| Moderate | −0.26 | −0.61, 0.09 | 0.04 | −0.09, 0.60 |
| Low | −0.61 | −0.97, −0.25 | 0.25 | −0.31, 0.39 |
Disclaimer/Publisher’s Note: The statements, opinions and data contained in all publications are solely those of the individual author(s) and contributor(s) and not of MDPI and/or the editor(s). MDPI and/or the editor(s) disclaim responsibility for any injury to people or property resulting from any ideas, methods, instructions or products referred to in the content. |
© 2025 by the authors. Licensee MDPI, Basel, Switzerland. This article is an open access article distributed under the terms and conditions of the Creative Commons Attribution (CC BY) license (https://creativecommons.org/licenses/by/4.0/).
Share and Cite
Justo-Álvarez, A.; García-López, J.; Sabido, R.; García-Valverde, A. Validity of a New Portable Sensor to Measure Velocity-Based Resistance Training. Methods Protoc. 2025, 8, 9. https://doi.org/10.3390/mps8010009
Justo-Álvarez A, García-López J, Sabido R, García-Valverde A. Validity of a New Portable Sensor to Measure Velocity-Based Resistance Training. Methods and Protocols. 2025; 8(1):9. https://doi.org/10.3390/mps8010009
Chicago/Turabian StyleJusto-Álvarez, Alejandro, Juan García-López, Rafael Sabido, and Adrián García-Valverde. 2025. "Validity of a New Portable Sensor to Measure Velocity-Based Resistance Training" Methods and Protocols 8, no. 1: 9. https://doi.org/10.3390/mps8010009
APA StyleJusto-Álvarez, A., García-López, J., Sabido, R., & García-Valverde, A. (2025). Validity of a New Portable Sensor to Measure Velocity-Based Resistance Training. Methods and Protocols, 8(1), 9. https://doi.org/10.3390/mps8010009

