Imaging Intron Evolution
Abstract
1. Introduction
2. Material and Methods
3. Results
3.1. The TEs
3.2. Human/Mouse Alignments
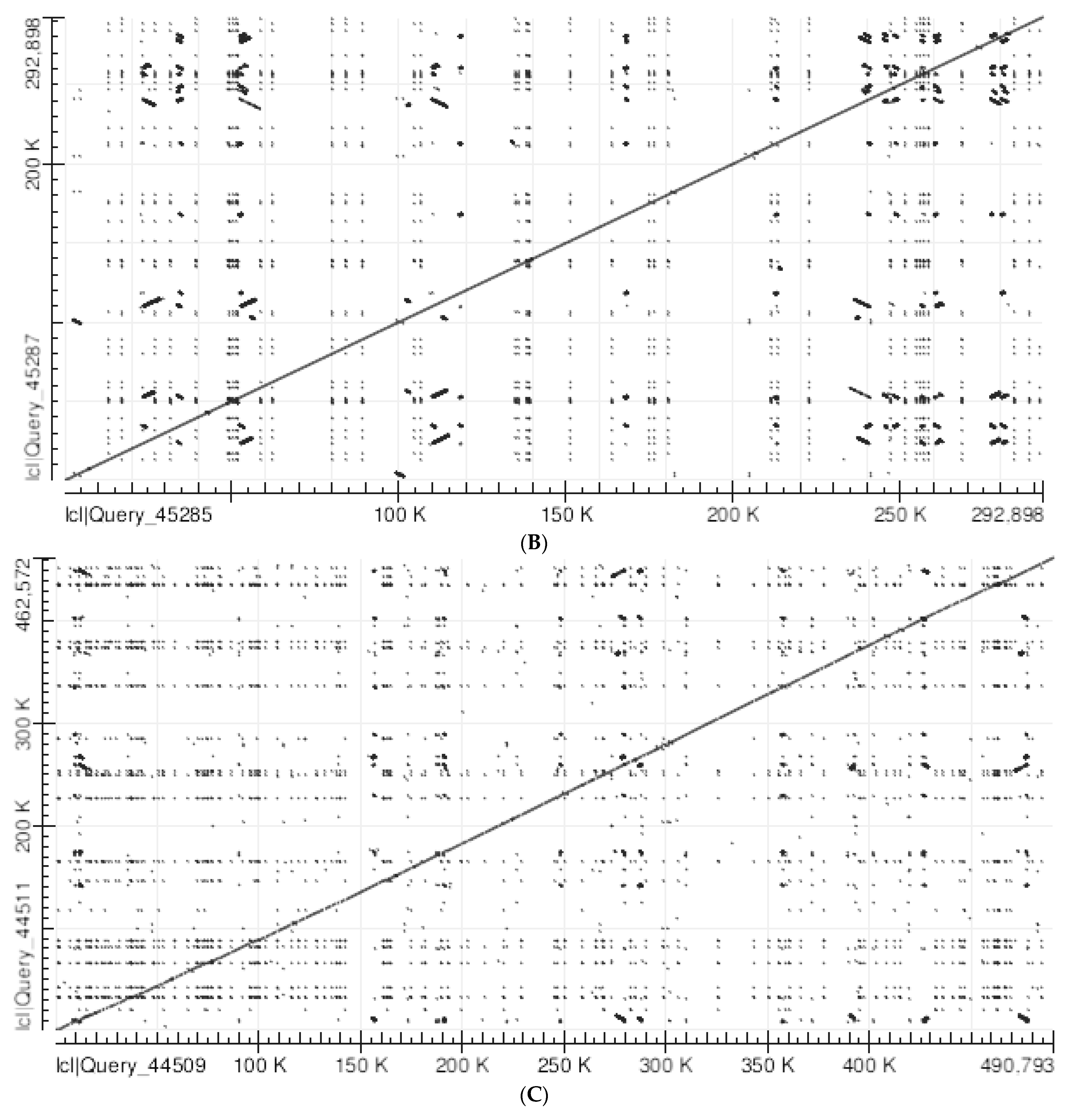
3.3. Human/Chicken Alignments
3.4. Human/Zebrafish Alignments
3.5. Human/Xenopus Alignments
3.6. Zebrafish/Chicken Alignments
3.7. Zebrafish/Xenopus Alignments
3.8. Chicken/Xenopus Alignments
3.9. Global Analysis of the SLC25A21 and GHR Conservation in Vertebrates
3.10. Differences among Species
3.11. Repeats in Introns of Human SLC25A21 and GHR
3.12. Exon Nucleotide and Amino Acid Conservation in SLC25A21 and GHR (Zebrafish/Human)
4. Discussion
5. Conclusions
Author Contributions
Funding
Institutional Review Board Statement
Informed Consent Statement
Data Availability Statement
Acknowledgments
Conflicts of Interest
References
- Rogozin, I.B.; Carmel, L.; Csuros, M.; Koonin, E.V. Origin and evolution of spliceosomal introns. Biol. Direct 2012, 16, 7–11. [Google Scholar] [CrossRef] [PubMed]
- Poverennaya, I.V.; Roytberg, M.A. Spliceosomal Introns: Features, Functions, and Evolution. Biochemistry (Moscow) 2020, 85, 725–734. [Google Scholar] [CrossRef] [PubMed]
- Matlin, A.J.; Moore, M.J. Spliceosome assembly and composition. Adv. Exp. Med. Biol. 2007, 623, 14–35. [Google Scholar]
- Shi, Y. Mechanistic insights into precursor messenger RNA splicing by the spliceosome. Nat. Rev. Mol. Cell. Biol. 2017, 18, 655–670. [Google Scholar] [CrossRef] [PubMed]
- Kastner, B.; Will, C.L.; Stark, H.; Lührmann, R. Structural Insights into Nuclear pre-mRNA Splicing in Higher Eukaryotes. Cold. Spring. Harb. Perspect. Biol. 2019, 11, a032417. [Google Scholar] [CrossRef] [PubMed]
- De Conti, L.; Baralle, M.; Buratti, E. Exon and intron definition in pre-mRNA splicing. Wiley Interdiscip. Rev. RNA 2013, 4, 49–60. [Google Scholar] [CrossRef] [PubMed]
- Panaro, M.A.; Calvello, R.; Mitolo, V.; Cianciulli, A. 5′ and 3′ splicing signals evolution in vertebrates: Analysis in a conserved gene family. Comput. Biol. Chem. 2020, 86, 107251. [Google Scholar] [CrossRef] [PubMed]
- Shaul, O. How introns enhance gene expression. Int. J. Biochem. Cell. Biol. 2017, 91, 145–155. [Google Scholar] [CrossRef]
- Rose, A.B. Introns as Gene Regulators: A Brick on the Accelerator. Front. Genet. 2019, 7, 9–672. [Google Scholar] [CrossRef]
- Schwartz, S.H.; Silva, J.; Burstein, D.; Pupko, T.; Eyras, E.; Ast, G. Large-scale comparative analysis of splicing signals and their corresponding splicing factors in eukaryotes. Genome Res. 2008, 18, 88–103. [Google Scholar] [CrossRef]
- Calvello, R.; Cianciulli, A.; Panaro, M.A. Conservation/Mutation in the splice sites of cytokine receptor genes of mouse and human. Int. J. Evol. Biol. 2013, 2013, 818954. [Google Scholar] [CrossRef]
- Chasin, L.A. Searching for splicing motifs. Adv. Exp. Med. Biol. 2007, 623, 85–106. [Google Scholar]
- Fedorova, L.; Fedorov, A. Introns in gene evolution. Genetica 2003, 118, 123–131. [Google Scholar] [CrossRef]
- Roy, S.W. The origin of recent introns: Transposons? Genome Biol. 2004, 5, 251. [Google Scholar] [CrossRef][Green Version]
- Koonin, E.V. The origin of introns and their role in eukaryogenesis: A compromise solution to the introns-early versus introns-late debate? Biol. Direct 2006, 14, 22. [Google Scholar] [CrossRef]
- Penny, D.; Hoeppner, M.P.; Poole, A.M.; Jeffares, D.C. An overview of the introns-first theory. J. Mol. Evol. 2009, 69, 527–540. [Google Scholar] [CrossRef]
- Irimia, M.; Roy, S.W. Origin of spliceosomal introns and alternative splicing. Cold. Spring. Harb. Perspect. Biol. 2014, 6, a016071. [Google Scholar] [CrossRef]
- Fiermonte, G.; Dolce, V.; Palmieri, L.; Ventura, M.; Runswick, M.J.; Palmieri, F.; Walker, J.E. Identification of the human mitochondrial oxodicarboxylate carrier. Bacterial expression, reconstitution, functional characterization, tissue distribution, and chromosomal location. J. Biol. Chem. 2001, 276, 8225–8230. [Google Scholar] [CrossRef]
- Lin, S.; Li, C.; Li, C.; Zhang, X. Growth Hormone Receptor Mutations Related to Individual Dwarfism. Int. J. Mol. Sci. 2018, 19, 1433. [Google Scholar] [CrossRef]
- Palmieri, F. The mitochondrial transporter family SLC25: Identification, properties and physiopathology. Mol. Aspects Med. 2013, 34, 465–484. [Google Scholar] [CrossRef]
- Palmieri, F.; Scarcia, P.; Monné, M. Diseases Caused by Mutations in Mitochondrial Carrier Genes SLC25: A Review. Biomolecules 2020, 10, 655. [Google Scholar] [CrossRef] [PubMed]
- Abril, J.F.; Castelo, R.; Guigó, R. Comparison of splice sites in mammals and chicken. Genome Res. 2005, 15, 111–119. [Google Scholar] [CrossRef]
- Sievers, A.; Sauer, L.; Hausmann, M.; Hildenbrand, G. Eukaryotic Genomes Show Strong Evolutionary Conservation of k-mer Composition and Correlation Contributions between Introns and Intergenic Regions. Genes 2021, 12, 1571. [Google Scholar] [CrossRef] [PubMed]
- Bourgeois, Y.; Boissinot, S. On the Population Dynamics of Junk: A Review on the Population Genomics of Transposable Elements. Genes 2019, 10, 419. [Google Scholar] [CrossRef] [PubMed]
- Kohany, O.; Gentles, A.J.; Hankus, L.; Jurka, J. Annotation, submission and screening of repetitive elements in Repbase: RepbaseSubmitter and Censor. BMC Bioinform. 2006, 7, 474. [Google Scholar] [CrossRef]
- Altschul, S.F.; Gish, W.; Miller, W.; Myers, E.W.; Lipman, D.J. Basic local alignment search tool. J. Mol. Biol. 1990, 215, 403–410. [Google Scholar] [CrossRef]
- Foote, M.; Hunter, J.P.; Janis, C.M.; Sepkoski, J.J., Jr. Evolutionary and preservational constraints on origins of biologic groups: Divergence times of eutherian mammals. Science 1999, 283, 1310–1314. [Google Scholar] [CrossRef]
- Lee, M.S. Molecular clock calibrations and metazoan divergence dates. J. Mol. Evol. 1999, 49, 385–391. [Google Scholar] [CrossRef]
- Nei, M.; Xu, P.; Glazko, G. Estimation of divergence times from multiprotein sequences for a few mammalian species and several distantly related organisms. Proc. Natl. Acad. Sci. USA 2001, 98, 2497–2502. [Google Scholar] [CrossRef]
- Nobrega, M.A.; Pennacchio, L.A. Comparative genomic analysis as a tool for biological discovery. J. Physiol. 2004, 554, 31–39. [Google Scholar] [CrossRef]
- Broughton, R.E.; Betancur-R, R.; Li, C.; Arratia, G.; Ortí, G. Multi-locus phylogenetic analysis reveals the pattern and tempo of bony fish evolution. PLoS Curr. 2013, 5. [Google Scholar] [CrossRef]
- Betancur-R, R.; Broughton, R.E.; Wiley, E.O.; Carpenter, K.; López, J.A.; Li, C.; Holcroft, N.I.; Arcila, D.; Sanciangco, M.; Cureton, J.C., II; et al. The tree of life and a new classification of bony fishes. PLoS Curr. 2013, 5. [Google Scholar] [CrossRef]
- Zhang, Q.; Li, H.; Zhao, X.Q.; Xue, H.; Zheng, Y.; Meng, H.; Jia, Y.; Bo, S.L. The evolution mechanism of intron length. Genomics 2016, 108, 47–55. [Google Scholar] [CrossRef]
- Koszul, R.; Caburet, S.; Dujon, B.; Fischer, G. Eucaryotic genome evolution through the spontaneous duplication of large chromosomal segments. EMBO J. 2004, 23, 234–243. [Google Scholar] [CrossRef]
- Dolce, V.; Iacobazzi, V.; Palmieri, F.; Walker, J.E. The sequences of human and bovine genes of the phosphate carrier from mitochondria contain evidence of alternatively spliced forms. J. Biol. Chem. 1994, 269, 10451–11060. [Google Scholar] [CrossRef]
- Fiermonte, G.; Dolce, V.; Palmieri, F. Expression in Escherichia coli, functional characterization, and tissue distribution of isoforms A and B of the phosphate carrier from bovine mitochondria. J. Biol. Chem. 1998, 273, 22782–22787. [Google Scholar] [CrossRef]
- Calvello, R.; Cianciulli, A.; Panaro, M.A. Unusual structure and splicing pattern of the vertebrate mitochondrial solute carrier SLC25A3 gene. J. Genet. 2018, 97, 225–233. [Google Scholar] [CrossRef]
- Krayev, A.S.; Markusheva, T.V.; Kramerov, D.A.; Ryskov, A.P.; Skryabin, K.G.; Bayev, A.A.; Georgiev, G.P. Ubiquitous transposon-like repeats B1 and B2 of the mouse genome: B2 sequencing. Nucleic Acids Res. 1982, 10, 7461–7475. [Google Scholar] [CrossRef]











| Transcript | Exons | Sequence ID | mRNA | ||
|---|---|---|---|---|---|
| mRNA | Nucleotides | ||||
| SLC25A21 | Human | Variant 1 | 10 | NM_030631.4 | 900 |
| SLC25A21 | Mouse | Variant 2 | 10 | NM_001167976.1 | 918 |
| SLC25A21 | Chicken | Variant X2 | 11 | XM_025150918.1 | 1002 |
| SLC25A21 | Zebrafish | ----------- | 10 | NM_001076632.1 | 897 |
| SLC25A21 | Xenopus | ----------- | 10 | NM_001017069.2 | 900 |
| GHR | Human | Variant 2 | 9 | NC_000005.10 | 1938 |
| GHR | Mouse | Variant 4 | 10 | NM_001286370.1 | 1953 |
| GHR | Chicken | ----------- | 8 | NM_001001293.1 | 1827 |
| GHR | Zebrafish | ----------- | 8 | NM_001083578.1 | 1713 |
| GHR | Xenopus | ----------- | 9 | XM_002933047.4 | 1866 |
| Chromosome | Sequence ID | FROM | TO | ||
|---|---|---|---|---|---|
| Genomic | |||||
| SLC25A21 | Human | 14 | NC_000014.9 | 36,680,658 | 37,172,350 |
| SLC25A21 | Mouse | 12 | NC_000078.7 | 56,760,598 | 57,206,029 |
| SLC25A21 | Chicken | 5 | NC_006092.5 | 36,947,211 | 37,178,401 |
| SLC25A21 | Zebrafish | 17 | NC_007128.7 | 38,030,627 | 38,232,040 |
| SLC25A21 | Xenopus | 8 | NC_030684.2 | 108,640,883 | 108,828,890 |
| GHR | Human | 5 | NC_000005.10 | 42,424,589 | 42,719,424 |
| GHR | Mouse | 15 | NC_000081.7 | 3,349,224 | 3,487,481 |
| GHR | Chicken | Z | NC_006127.5 | 13,495,919 | 13,558,411 |
| GHR | Zebrafish | 8 | NC_007119.7 | 31,465,534 | 31,571,560 |
| GHR | Xenopus | 1 | NC_030677.2 | 195,152,927 | 195,320,257 |
| Total | Intronic | Transposable | Intronic | ||
|---|---|---|---|---|---|
| nt | nt | Elements % | Non-TE nt | ||
| SLC25A21 | Human | 491,693 | 490,793 | 39.24 | 298,209 |
| SLC25A21 | Mouse | 445,432 | 444,514 | 33.33 | 296,350 |
| SLC25A21 | Chicken | 231,191 | 230,189 | 12.97 | 200,341 |
| SLC25A21 | Zebrafish | 201,414 | 200,517 | 49.02 | 102,233 |
| SLC25A21 | Xenopus | 188,008 | 187,108 | 41.23 | 109,972 |
| GHR | Human | 294,836 | 292,898 | 44.09 | 163,758 |
| GHR | Mouse | 138,258 | 136,305 | 34.14 | 89,777 |
| GHR | Chicken | 62,493 | 60,666 | 15.05 | 51,537 |
| GHR | Zebrafish | 106,027 | 104,314 | 74.84 | 26,244 |
| GHR | Xenopus | 167,331 | 165,465 | 43.06 | 94,223 |
| 2,312,769 | 1,432,644 |
Publisher’s Note: MDPI stays neutral with regard to jurisdictional claims in published maps and institutional affiliations. |
© 2022 by the authors. Licensee MDPI, Basel, Switzerland. This article is an open access article distributed under the terms and conditions of the Creative Commons Attribution (CC BY) license (https://creativecommons.org/licenses/by/4.0/).
Share and Cite
Panaro, M.A.; Calvello, R.; Miniero, D.V.; Mitolo, V.; Cianciulli, A. Imaging Intron Evolution. Methods Protoc. 2022, 5, 53. https://doi.org/10.3390/mps5040053
Panaro MA, Calvello R, Miniero DV, Mitolo V, Cianciulli A. Imaging Intron Evolution. Methods and Protocols. 2022; 5(4):53. https://doi.org/10.3390/mps5040053
Chicago/Turabian StylePanaro, Maria Antonietta, Rosa Calvello, Daniela Valeria Miniero, Vincenzo Mitolo, and Antonia Cianciulli. 2022. "Imaging Intron Evolution" Methods and Protocols 5, no. 4: 53. https://doi.org/10.3390/mps5040053
APA StylePanaro, M. A., Calvello, R., Miniero, D. V., Mitolo, V., & Cianciulli, A. (2022). Imaging Intron Evolution. Methods and Protocols, 5(4), 53. https://doi.org/10.3390/mps5040053

