Single-Grain Quartz OSL Characteristics: Testing for Correlations within and between Sites in Asia, Europe and Africa
Abstract
1. Introduction
2. Sample Description, Preparation, and Measurements
3. Comparing OSL Characteristics
3.1. OSL Decay Curves and Signal Intensities
3.2. Dose Response Curves
3.3. Sensitivity Change
4. Grouping of Grains According to the Shape of Their DRCs
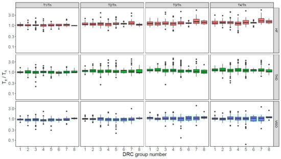
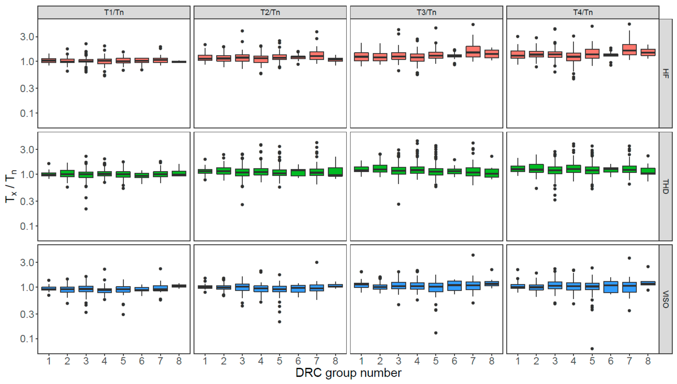
5. Comparison of OSL Characteristics between Different DRC Groups
6. Discussions and Conclusions
Supplementary Materials
Author Contributions
Funding
Acknowledgments
Conflicts of Interest
References
- Jacobs, Z.; Duller, G.A.T.; Wintle, A.G. Interpretation of single grain De distributions and calculation of De. Radiat. Meas. 2006, 41, 264–277. [Google Scholar] [CrossRef]
- Roberts, R.G.; Jacobs, Z.; Li, B.; Jankowski, N.R.; Cunningham, A.C.; Rosenfeld, A.B. Optical dating in archaeology: Thirty years in retrospect and grand challenges for the future. J. Archaeol. Sci. 2015, 56, 41–60. [Google Scholar] [CrossRef]
- Arnold, L.J.; Demuro, M.; Pares, J.M.; Arsuage, J.L.; Aranburu, A.; Bermudez de Castro, J.M.; Carbonell, E. Luminescence dating and palaeomagnetic age constraint on hominins from Sima de los Huesos, Atapuerca, Spain. J. Hum. Evolut. 2014, 67, 85–107. [Google Scholar] [CrossRef] [PubMed]
- Duller, G.A.T. Single grain optical dating of glacigenic deposits. Quat. Geochronol. 2006, 1, 296–304. [Google Scholar] [CrossRef]
- Feathers, J.K. Single-grain OSL dating of sediments from the Southern High Plains, USA. Quat. Sci. Rev. 2003, 22, 1035–1042. [Google Scholar] [CrossRef]
- Adamiec, G. Variations in luminescence properties of single quartz grains and their consequences for equivalent dose estimation. Radiat. Meas. 2000, 32, 427–432. [Google Scholar] [CrossRef]
- Duller, G.A.T.; Bøtter-Jensen, L.; Murray, A.S. Optical dating of single sand-sized grains of quartz: Sources of variability. Radiat. Meas. 2000, 32, 453–457. [Google Scholar] [CrossRef]
- Fan, C.A.; Li, S.H.; Li, B. Observation of unstable fast component in OSL of quartz. Radiat. Meas. 2011, 46, 21–28. [Google Scholar] [CrossRef]
- Gliganic, A.L.; Jacobs, Z.; Roberts, R.G. Luminescence characteristics and dose distributions for quartz and feldspar grains from Mumba rockshelter, Tanzania. Archaeol. Anthropol. Sci. 2012, 4, 115–135. [Google Scholar] [CrossRef]
- Duller, G.A.T. Improving the accuracy and precision of equivalent doses determined using the optically stimulated luminescence signal from single grains of quartz. Radiat. Meas. 2012, 47, 770–777. [Google Scholar] [CrossRef]
- Thomsen, K.J.; Murray, A.S.; Buylaert, J.P.; Jain, M.; Hansen, J.H.; Aubry, T. Testing single-grain quartz OSL methods using sediment samples with independent age control from the Bordes-Fitte rockshelter (Roches d’Abilly site, Central France). Quat. Geochronol. 2016, 31, 77–96. [Google Scholar] [CrossRef]
- Guo, Y.-J.; Li, B.; Zhang, J.-F.; Yuan, B.-Y.; Xie, F.; Roberts, R.G. New ages for the Upper Palaeolithic site of Xibaimaying in the Nihewan Basin, northern China: Implications for small-tool and microblade industries in north-east Asia during Marine Isotope Stages 2 and 3. J. Quat. Sci. 2017, 32, 540–552. [Google Scholar] [CrossRef]
- Li, B.; Jacobs, Z.; Roberts, R.G. Investigation of the applicability of standardised growth curves for OSL dating of quartz from Haua Fteah cave, Libya. Quat. Geochronol. 2016, 35, 1–15. [Google Scholar] [CrossRef]
- Jacobs, Z.; Li, B.; Farr, L.; Hill, E.; Hunt, C.; Jones, S.; Rabett, R.; Reynolds, T.; Roberts, R.G.; Simpson, D.; et al. The chronostratigraphy of the Haua Fteah cave (Cyrenaica, northeast Libya)—Optical dating of early human occupation during Marine Isotope Stages 4, 5 and 6. J. Hum. Evol. 2017, 105, 69–88. [Google Scholar] [CrossRef]
- Jacobs, Z.; Duller, G.A.T.; Wintle, A.G. Optical dating of dune sand from Blombos Cave, South Africa: II—Single grain data. J. Hum. Evol. 2003, 44, 613–625. [Google Scholar] [CrossRef]
- Anechitei-Deacu, V.; Timar-Gabor, A.; Thomsen, K.J.; Buylaert, J.-P.; Jain, M.; Bailey, M.; Murray, A.S. Single and multi-grain OSL investigations in the high dose range using coarse quartz. Radiat. Meas. 2018, 117, 1–86. [Google Scholar] [CrossRef]
- Jain, M.; Choi, J.H.; Thomas, J.P. The ultrafast OSL component in quartz: Origins and implications. Radiat. Meas. 2008, 43, 709–714. [Google Scholar] [CrossRef]
- Arnold, L.J.; Roberts, R.G.; MacPhee, R.D.E.; Willerslev, E.; Tikhonov, A.A.; Brock, F. Optical dating of perennially frozen deposits associated with preserved ancient plant and animal DNA in north-central Siberia. Quat. Geochronol. 2008, 3, 114–136. [Google Scholar] [CrossRef]
- Thomsen, K.J.; Kook, M.; Murrary, A.S.; Jain, M.; Lapp, T. Single-grain results from an EMCCD-based imaging system. Radiat. Meas. 2015, 81, 185–191. [Google Scholar] [CrossRef]
- Roberts, R.G.; Galbraith, R.; Olley, J.M.; Yoshida, H. Optical dating of single and multiple grains of quartz from jinmium rock shelter, northern Australia, part 2, Results and implications. Archaeometry 1999, 41, 365–395. [Google Scholar] [CrossRef]
- Li, B.; Jacobs, Z.; Roberts, R.G.; Galbraith, R.; Peng, J. Variability in quartz OSL signals caused by measurement uncertainties: Problems and solutions. Quat. Geochronol. 2017, 41, 11–25. [Google Scholar] [CrossRef]
- Ruan, Q.J.; Liu, J.H.; Hu, Y.; Li, B.; Yang, C.C.; Luo, X.R. A study of stone artifacts found in the Tianhuadong Paleolithic site, Heqing, Yunnan. Acta Anthropol. Sin. 2017, 36, 1–16. [Google Scholar]
- Falguères, C.; Bahain, J.-J.; Tozzi, C.; Boschian, G.; Dolo, J.-M.; Mercier, N.; Vallabdas, H.; Yokoyama, Y. ESR/U-series chronology of the Lower Palaeolithic palaeoanthropological site of Visogliano, Trieste, Italy. Quat. Geochronol. 2008, 3, 390–398. [Google Scholar] [CrossRef]
- Douka, K.; Jacobs, Z.; Lane, C.; Grun, R.; Farr, L.; Hunt, C.; Inglis, R.H.; Reynolds, T.; Albert, P.; Aubert, M.; et al. The chronostratigraphy of the Haua Fteah cave (Cyrenaica, northeast Libya). J. Hum. Evol. 2014, 66, 39–63. [Google Scholar] [CrossRef]
- Hu, Y.; Ruan, Q.; Liu, J.; Marwick, B.; Li, B. Luminescence chronology and lithic technology of Tianhuadong Cave, an early Upper Pleistocene Paleolithic site in southwest China. Quat. Res. 2019, 1–16. [Google Scholar] [CrossRef]
- Wintle, A.G. Luminescence dating: Laboratory procedures and protocols. Radiat. Meas. 1997, 27, 769–817. [Google Scholar] [CrossRef]
- Aitken, M.J. Thermoluminescence Datin; Academic Press: London, UK, 1985. [Google Scholar]
- Bøtter-Jensen, L.; Andersen, C.E.; Duller, G.A.T.; Murray, A.S. Developments in radiation, stimulation and observation facilities in luminescence measurements. Radiat. Meas. 2003, 37, 535–541. [Google Scholar] [CrossRef]
- Bøtter-Jensen, L.; Bulur, E.; Duller, G.A.T.; Murray, A.S. Advances in luminescence instrument systems. Radiat. Meas. 2000, 32, 523–528. [Google Scholar] [CrossRef]
- Galbraith, R.F.; Roberts, R.G.; Laslett, G.M.; Yoshida, H.; Olley, J.M. Optical dating of single and multiple grains of quartz from Jinmium rock shelter, northern Australia, part 1, Experimental design and statistical models. Archaeometry 1999, 41, 339–364. [Google Scholar] [CrossRef]
- Murray, A.S.; Wintle, A.G. Luminescence dating of quartz using an improved single-aliquot regenerative-dose protocol. Radiat. Meas. 2000, 32, 57–73. [Google Scholar] [CrossRef]
- Duller, G.A.T. Distinguishing quartz and feldspar in single grain luminescence measurements. Radiat. Meas. 2003, 37, 161–165. [Google Scholar] [CrossRef]
- Madsen, A.T.; Duller, G.A.T.; Donnelly, J.P.; Roberts, H.M.; Wintle, A.G. A chronology of hurricane landfalls at Little Sippewissett Marsh, Massachusetts, USA, using optical dating. Geomorphology 2009, 109, 36–45. [Google Scholar] [CrossRef]
- Durcan, J.A.; Duller, G.A.T. The fast ratio: A rapid measure for testing the dominance of the fast component in the initial OSL signal from quartz. Radiat. Meas. 2011, 46, 1065–1072. [Google Scholar] [CrossRef]
- Guralnik, B.; Li, B.; Jain, M.; Chen, R.; Paris, R.B.; Murray, A.S.; Li, S.-H.; Pagonis, V.; Valla, P.G.; Herman, F. Radiation-induced growth and isothermal decay of infrared-stimulated luminescence from feldspar. Radiat. Meas. 2015, 81, 224–231. [Google Scholar] [CrossRef]
- Peng, J.; Li, B. Single-aliquot regenerative-dose (SAR) and standardised growth curve (SGC) equivalent dose determination in a batch model using the R Package ‘numOSL’. Ancient TL 2017, 35, 32–53. [Google Scholar]
- Murray, A.S.; Wintle, A.G. Sensitisation and stability of quartz OSL: Implications for interpretation of dose-response curves. Radiat. Prot. Dosim. 1999, 84, 427–432. [Google Scholar] [CrossRef]
- Singhvi, A.K.; Stokes, S.C.; Chauhan, N.; Nagar, Y.C.; Jaiswal, M.K. Changes in natural OSL sensitivity during single aliquot regeneration procedure and their implications for equivalent dose determination. Geochronometria 2011, 38, 231–241. [Google Scholar] [CrossRef]
- Bailey, R.M. Towards a general kinetic model for optically and thermally stimulated luminescence of quartz. Radiat. Meas. 2001, 33, 17–45. [Google Scholar] [CrossRef]
- Galbraith, R.F.; Green, P.F. Estimating the component ages in a finite mixture. Nucl. Tracks Radiat. Meas. 1990, 17, 197–206. [Google Scholar] [CrossRef]
- Galbraith, R.F.; Roberts, R.G. Statistical aspects of equivalent dose and error calculation and display in OSL dating: An overview and some recommendations. Quat. Geochronol. 2012, 11, 1–27. [Google Scholar] [CrossRef]
- Roberts, R.G.; Galbraith, R.F.; Yoshida, H.; Laslett, G.M.; Olley, J.M. Distinguishing dose populations in sediment mixtures: A test of single-grain optical dating procedures using mixtures of laboratory-dosed quartz. Radiat. Meas. 2000, 32, 459–465. [Google Scholar] [CrossRef]
- Kreutzer, S.; Schmidt, C.; Fuchs, M.C.; Dietze, M. Introducing an R package for luminescence dating analysis. Ancient TL 2012, 30, 1–8. [Google Scholar]
- Feathers, J.K.; Pagonis, V. Dating quartz near saturation—Simulations and application at archaeological sites in South Africa and South Carolina. Quat. Geochronol. 2015, 30, 416–421. [Google Scholar] [CrossRef]
- Wintle, A.G.; Murray, A.S. A review of quartz optically stimulated luminescence characteristics and their relevance in single-aliquot regeneration dating protocols. Radiat. Meas. 2006, 41, 369–391. [Google Scholar] [CrossRef]
- Singh, A.; Singh, A.; Thomsen, K.J.; Sinha, R.; Buylaert, J.-P.; Carter, A.; Mark, D.F.; Mason, P.J.; Densmore, A.L.; Murrary, A.S.; et al. Counter-intuitive influence of Himalayan river morphodynamics on Indus Civilisation urban settlements. Nat. Commun. 2017, 8, 1617. [Google Scholar] [CrossRef]
- Gliganic, L.A.; Jacobs, Z.; Roberts, R.G.; Domínguez, R.M.; Mabulla, A.Z. New ages for Middle and Later Stone Age deposits at Mumba rockshelter, Tanzania: Optically stimulated luminescence dating of quartz and feldspar grains. J. Hum. Evol. 2012, 62, 533–547. [Google Scholar] [CrossRef]
- Hu, Y.; Li, B.; Marwick, B.; Zhang, J.-F.; Hou, Y.-M.; Huang, W.-W. Late Middle Pleistocene Levallois stone-tool technology in southwest China. Nature 2019, 565, 82–85. [Google Scholar] [CrossRef]
- Jacobs, Z.; Li, B.; Shunkov, M.V.; Kozlikin, M.B.; Bolikhovskaya, N.S.; Agadjanian, A.K.; Uliyanov, V.A.; Vasiliev, S.K.; O’Gorman, K.; Derevianko, A.P.; et al. Timing of archaic hominin occupation of Denisova Cave in southern Siberia. Nature 2019, 565, 594–599. [Google Scholar] [CrossRef]
- Derevianko, A.P.; Markin, S.V.; Rudaya, N.A.; Viola, B.; Zykin, V.S.; Zykina, V.S.; Chabay, V.P.; Kolobova, K.A.; Vasiliev, S.K.; Roberts, R.G.; et al. (Eds.) Interdisciplinary Studies of Chagyrskaya Cave—Middle Paleolithic Site of Altai; Institute of Archaeology and Ethnography, Siberian Branch of the Russian Academy of Sciences: Novosibirsk, Russia, 2018. [Google Scholar]








| Description | HF6008 | HF6023 | HF6031 | THD-OSL2 | THD-OSL4 | THD-OSL6 | VISO-OSL1 | |
|---|---|---|---|---|---|---|---|---|
| Total Measured | 300 | 200 | 500 | 300 | 3000 | 300 | 2500 | |
| 1. Weak signal | Tn < 3xBG | 32 (11%) | 17 (9%) | 68 (14%) | 59 (20%) | 1031 (34%) | 81 (27%) | 870 (35%) |
| RSE of Tn > 20% | 36 (12%) | 27 (14%) | 55 (11%) | 59 (20%) | 715 (24%) | 61 (20%) | 673 (27%) | |
| 2. Recuperation | >5% | 8 (3%) | 7 (4%) | 26 (5%) | 2 (1%) | 15 (1%) | 2 (1%) | 56 (2%) |
| 3. Poor DRC | FOM > 10% | 89 (30%) | 26 (13%) | 117 (23%) | 42 (14%) | 374 (12%) | 29 (10%) | 426 (17%) |
| RCS > 5 | 51 (17%) | 45 (23%) | 114 (23%) | 12 (4%) | 520 (17%) | 2 (1%) | 115 (5%) | |
| Total rejected | 216 (%) | 122 (61%) | 380 (76%) | 174 (58%) | 2655 (89%) | 175 (58%) | 2140 (86%) | |
| Total accepted | 84 (%) | 78 (39%) | 120 (24%) | 126 (42%) | 345 (12%) | 125 (42%) | 268 (11%) | |
© 2019 by the authors. Licensee MDPI, Basel, Switzerland. This article is an open access article distributed under the terms and conditions of the Creative Commons Attribution (CC BY) license (http://creativecommons.org/licenses/by/4.0/).
Share and Cite
Hu, Y.; Li, B.; Jacobs, Z. Single-Grain Quartz OSL Characteristics: Testing for Correlations within and between Sites in Asia, Europe and Africa. Methods Protoc. 2020, 3, 2. https://doi.org/10.3390/mps3010002
Hu Y, Li B, Jacobs Z. Single-Grain Quartz OSL Characteristics: Testing for Correlations within and between Sites in Asia, Europe and Africa. Methods and Protocols. 2020; 3(1):2. https://doi.org/10.3390/mps3010002
Chicago/Turabian StyleHu, Yue, Bo Li, and Zenobia Jacobs. 2020. "Single-Grain Quartz OSL Characteristics: Testing for Correlations within and between Sites in Asia, Europe and Africa" Methods and Protocols 3, no. 1: 2. https://doi.org/10.3390/mps3010002
APA StyleHu, Y., Li, B., & Jacobs, Z. (2020). Single-Grain Quartz OSL Characteristics: Testing for Correlations within and between Sites in Asia, Europe and Africa. Methods and Protocols, 3(1), 2. https://doi.org/10.3390/mps3010002
