MRI Quantification of Liver Fibrosis Using Diamagnetic Susceptibility: An Ex Vivo Validation Study
Simple Summary
Abstract
1. Introduction
2. Materials and Methods
2.1. Liver Samples
2.2. MRI Acquisition
2.3. MRI Analysis—R2, R2*, and Fat–Water Separation
2.4. MRI Analysis—Susceptibility Source Separation
2.5. Relaxometry Estimation—Learning from Histology with Leave-One-Out Cross-Validation
2.6. Histopathological Analysis
2.7. Statistical Analysis
3. Results
3.1. Demographics and Histopathological Characteristics
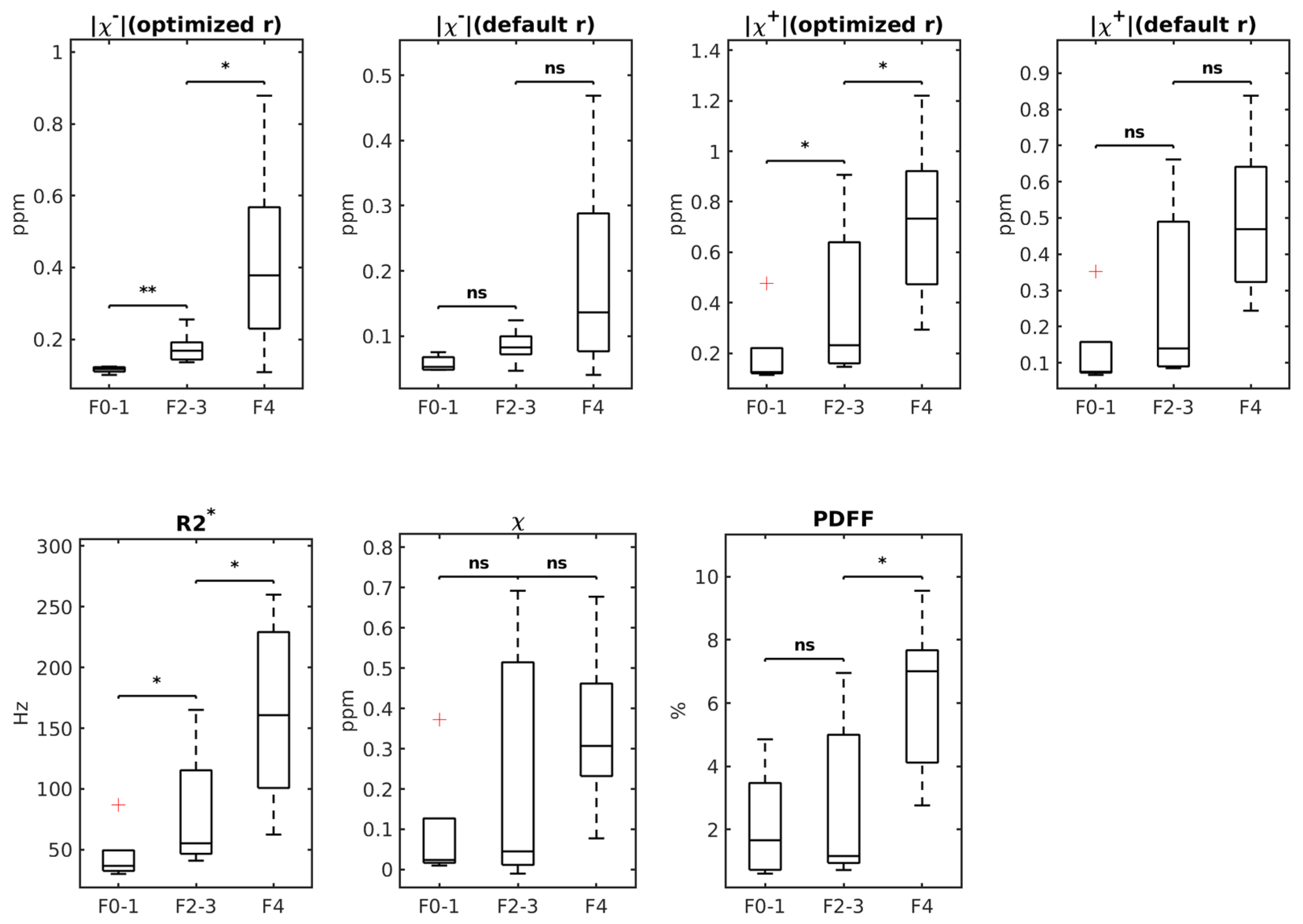
3.2. , , R2*, PDFF, and QSM Measurements
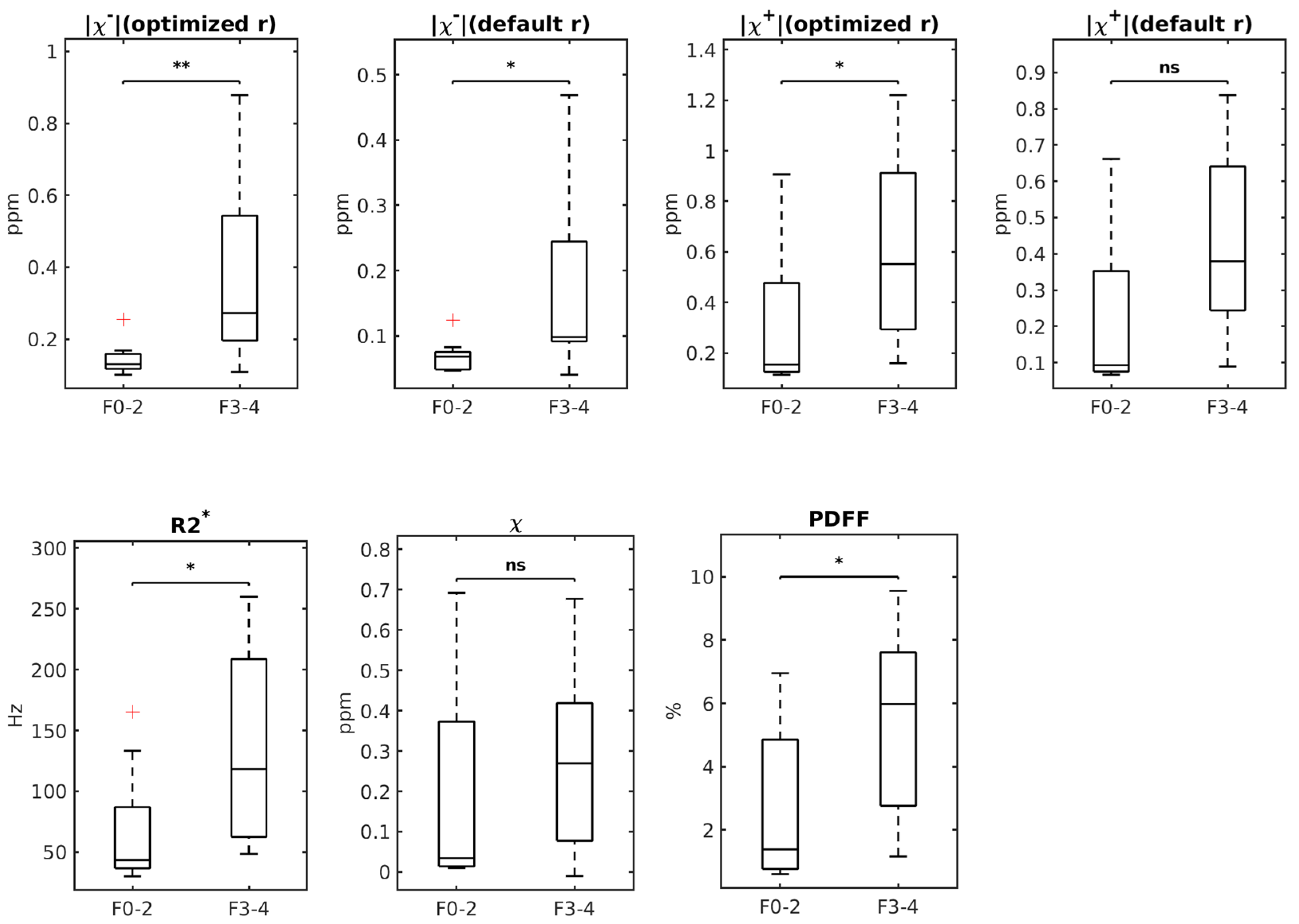
3.3. ROC Analysis for Differentiating Two Fibrosis Subgroups
3.4. Correlation with Histology Grades
3.5. Measurement for Iron
4. Discussion
5. Conclusions
Author Contributions
Funding
Institutional Review Board Statement
Informed Consent Statement
Data Availability Statement
Acknowledgments
Conflicts of Interest
References
- Parola, M.; Pinzani, M. Liver fibrosis in NAFLD/NASH: From pathophysiology towards diagnostic and therapeutic strategies. Mol. Aspects Med. 2024, 95, 101231. [Google Scholar] [CrossRef]
- Stål, P. Liver fibrosis in non-alcoholic fatty liver disease—diagnostic challenge with prognostic significance. World J. Gastroenterol. 2015, 21, 11077–11087. [Google Scholar] [CrossRef]
- Fowler, K.J.; Bashir, M.R. The current status of imaging in liver fibrosis. Nat. Rev. Gastroenterol. Hepatol. 2023, 20, 628–629. [Google Scholar] [CrossRef] [PubMed]
- FDA. FDA Approves First Treatment for Patients with Liver Scarring Due to Fatty Liver Disease; FDA: Silver Spring, MD, USA, 2024. [Google Scholar]
- Harrison, S.A.; Bedossa, P.; Guy, C.D.; Schattenberg, J.M.; Loomba, R.; Taub, R.; Labriola, D.; Moussa, S.E.; Neff, G.W.; Rinella, M.E.; et al. A Phase 3, Randomized, Controlled Trial of Resmetirom in NASH with Liver Fibrosis. N. Engl. J. Med. 2024, 390, 497–509. [Google Scholar] [CrossRef] [PubMed]
- Yoshioka, K.; Hashimoto, S. Can non-invasive assessment of liver fibrosis replace liver biopsy? Hepatol. Res. 2012, 42, 233–240. [Google Scholar] [CrossRef]
- Muthupillai, R.; Lomas, D.J.; Rossman, P.J.; Greenleaf, J.F.; Manduca, A.; Ehman, R.L. Magnetic resonance elastography by direct visualization of propagating acoustic strain waves. Science 1995, 269, 1854–1857. [Google Scholar] [CrossRef]
- Huwart, L.; Sempoux, C.; Vicaut, E.; Salameh, N.; Annet, L.; Danse, E.; Peeters, F.; ter Beek, L.C.; Rahier, J.; Sinkus, R.; et al. Magnetic resonance elastography for the noninvasive staging of liver fibrosis. Gastroenterology 2008, 135, 32–40. [Google Scholar] [CrossRef]
- Yin, M.; Talwalkar, J.A.; Glaser, K.J.; Manduca, A.; Grimm, R.C.; Rossman, P.J.; Fidler, J.L.; Ehman, R.L. Assessment of hepatic fibrosis with magnetic resonance elastography. Clin. Gastroenterol. Hepatol. 2007, 5, 1207–1213 e1202. [Google Scholar] [CrossRef]
- Taouli, B.; Tolia, A.J.; Losada, M.; Babb, J.S.; Chan, E.S.; Bannan, M.A.; Tobias, H. Diffusion-weighted MRI for quantification of liver fibrosis: Preliminary experience. AJR Am. J. Roentgenol. 2007, 189, 799–806. [Google Scholar] [CrossRef]
- Heye, T.; Yang, S.R.; Bock, M.; Brost, S.; Weigand, K.; Longerich, T.; Kauczor, H.U.; Hosch, W. MR relaxometry of the liver: Significant elevation of T1 relaxation time in patients with liver cirrhosis. Eur. Radiol. 2012, 22, 1224–1232. [Google Scholar] [CrossRef]
- Kumagai, E.; Korenaga, K.; Korenaga, M.; Imamura, M.; Ueyama, M.; Aoki, Y.; Sugiyama, M.; Murata, K.; Masaki, N.; Kanto, T.; et al. Appropriate use of virtual touch quantification and FibroScan M and XL probes according to the skin capsular distance. J. Gastroenterol. 2016, 51, 496–505. [Google Scholar] [CrossRef] [PubMed]
- Lee, M.J.; Kim, M.J.; Yoon, C.S.; Han, S.J.; Park, Y.N. Evaluation of liver fibrosis with T2 relaxation time in infants with cholestasis: Comparison with normal controls. Pediatr. Radiol. 2011, 41, 350–354. [Google Scholar] [CrossRef] [PubMed]
- de Rochefort, L.; Liu, T.; Kressler, B.; Liu, J.; Spincemaille, P.; Lebon, V.; Wu, J.; Wang, Y. Quantitative susceptibility map reconstruction from MR phase data using bayesian regularization: Validation and application to brain imaging. Magn. Reson. Med. 2010, 63, 194–206. [Google Scholar] [CrossRef] [PubMed]
- Jafari, R.; Hectors, S.J.; Koehne de Gonzalez, A.K.; Spincemaille, P.; Prince, M.R.; Brittenham, G.M.; Wang, Y. Integrated quantitative susceptibility and R(2) * mapping for evaluation of liver fibrosis: An ex vivo feasibility study. NMR Biomed. 2021, 34, e4412. [Google Scholar] [CrossRef]
- Dimov, A.V.; Gillen, K.M.; Nguyen, T.D.; Kang, J.; Sharma, R.; Pitt, D.; Gauthier, S.A.; Wang, Y. Magnetic Susceptibility Source Separation Solely from Gradient Echo Data: Histological Validation. Tomography 2022, 8, 1544–1551. [Google Scholar] [CrossRef]
- Dimov, A.V.; Nguyen, T.D.; Gillen, K.M.; Marcille, M.; Spincemaille, P.; Pitt, D.; Gauthier, S.A.; Wang, Y. Susceptibility source separation from gradient echo data using magnitude decay modeling. J. Neuroimaging 2022, 32, 852–859. [Google Scholar] [CrossRef]
- Shin, H.G.; Lee, J.; Yun, Y.H.; Yoo, S.H.; Jang, J.; Oh, S.H.; Nam, Y.; Jung, S.; Kim, S.; Fukunaga, M.; et al. chi-separation: Magnetic susceptibility source separation toward iron and myelin mapping in the brain. Neuroimage 2021, 240, 118371. [Google Scholar] [CrossRef]
- Pei, M.; Nguyen, T.D.; Thimmappa, N.D.; Salustri, C.; Dong, F.; Cooper, M.A.; Li, J.; Prince, M.R.; Wang, Y. Algorithm for fast monoexponential fitting based on Auto-Regression on Linear Operations (ARLO) of data. Magn. Reson. Med. 2015, 73, 843–850. [Google Scholar] [CrossRef]
- Dong, J.; Liu, T.; Chen, F.; Zhou, D.; Dimov, A.; Raj, A.; Cheng, Q.; Spincemaille, P.; Wang, Y. Simultaneous phase unwrapping and removal of chemical shift (SPURS) using graph cuts: Application in quantitative susceptibility mapping. IEEE Trans. Med. Imaging 2015, 34, 531–540. [Google Scholar] [CrossRef]
- Reeder, S.B.; McKenzie, C.A.; Pineda, A.R.; Yu, H.; Shimakawa, A.; Brau, A.C.; Hargreaves, B.A.; Gold, G.E.; Brittain, J.H. Water-fat separation with IDEAL gradient-echo imaging. J. Magn. Reson. Imaging 2007, 25, 644–652. [Google Scholar] [CrossRef]
- Liu, T.; Khalidov, I.; de Rochefort, L.; Spincemaille, P.; Liu, J.; Tsiouris, A.J.; Wang, Y. A novel background field removal method for MRI using projection onto dipole fields (PDF). Nmr Biomed. 2011, 24, 1129–1136. [Google Scholar] [CrossRef] [PubMed]
- Liu, J.; Liu, T.; de Rochefort, L.; Ledoux, J.; Khalidov, I.; Chen, W.W.; Tsiouris, A.J.; Wisnieff, C.; Spincemaille, P.; Prince, M.R.; et al. Morphology enabled dipole inversion for quantitative susceptibility mapping using structural consistency between the magnitude image and the susceptibility map. Neuroimage 2012, 59, 2560–2568. [Google Scholar] [CrossRef] [PubMed]
- Liu, Z.; Spincemaille, P.; Yao, Y.; Zhang, Y.; Wang, Y. MEDI+0: Morphology enabled dipole inversion with automatic uniform cerebrospinal fluid zero reference for quantitative susceptibility mapping. Magn. Reson. Med. 2018, 79, 2795–2803. [Google Scholar] [CrossRef]
- Liu, Z.; Kee, Y.; Zhou, D.; Wang, Y.; Spincemaille, P. Preconditioned total field inversion (TFI) method for quantitative susceptibility mapping. Magn. Reson. Med. 2017, 78, 303–315. [Google Scholar] [CrossRef]
- Reeder, S.B.; Cruite, I.; Hamilton, G.; Sirlin, C.B. Quantitative Assessment of Liver Fat with Magnetic Resonance Imaging and Spectroscopy. J. Magn. Reson. Imaging 2011, 34, 729–749. [Google Scholar] [CrossRef]
- Kee, Y.; Liu, Z.; Zhou, L.; Dimov, A.; Cho, J.; de Rochefort, L.; Seo, J.K.; Wang, Y. Quantitative Susceptibility Mapping (QSM) Algorithms: Mathematical Rationale and Computational Implementations. IEEE Trans. Biomed. Eng. 2017, 64, 2531–2545. [Google Scholar] [CrossRef]
- Batts, K.P.; Ludwig, J. Chronic hepatitis. An update on terminology and reporting. Am. J. Surg. Pathol. 1995, 19, 1409–1417. [Google Scholar] [CrossRef]
- Puri, P.; Sanyal, A.J. Nonalcoholic fatty liver disease: Definitions, risk factors, and workup. Clin. Liver Dis. 2012, 1, 99–103. [Google Scholar] [CrossRef]
- Turlin, B.; Deugnier, Y. Evaluation and interpretation of iron in the liver. Semin. Diagn. Pathol. 1998, 15, 237–245. [Google Scholar]
- Heyens, L.J.M.; Busschots, D.; Koek, G.H.; Robaeys, G.; Francque, S. Liver Fibrosis in Non-alcoholic Fatty Liver Disease: From Liver Biopsy to Non-invasive Biomarkers in Diagnosis and Treatment. Front. Med. 2021, 8, 615978. [Google Scholar] [CrossRef]
- Wei, H.J.; Decker, K.; Nguyen, H.; Cao, S.; Tsai, T.Y.; Guy, C.D.; Bashir, M.; Liu, C.L. Imaging diamagnetic susceptibility of collagen in hepatic fibrosis using susceptibility tensor imaging. Magn. Reson. Med. 2020, 83, 1322–1330. [Google Scholar] [CrossRef]
- Friedman, S.L. Liver fibrosis -- from bench to bedside. J. Hepatol. 2003, 38, S38–S53. [Google Scholar] [CrossRef]
- Moon, A.M.; Singal, A.G.; Tapper, E.B. Contemporary Epidemiology of Chronic Liver Disease and Cirrhosis. Clin. Gastroenterol. Hepatol. 2020, 18, 2650–2666. [Google Scholar] [CrossRef] [PubMed]
- Younossi, Z.M.; Wong, G.; Anstee, Q.M.; Henry, L. The Global Burden of Liver Disease. Clin. Gastroenterol. Hepatol. 2023, 21, 1978–1991. [Google Scholar] [CrossRef] [PubMed]
- Rinella, M.E.; Lazarus, J.V.; Ratziu, V.; Francque, S.M.; Sanyal, A.J.; Kanwal, F.; Romero, D.; Abdelmalek, M.F.; Anstee, Q.M.; Arab, J.P.; et al. A multisociety Delphi consensus statement on new fatty liver disease nomenclature. Ann. Hepatol. 2024, 29, 101133. [Google Scholar] [CrossRef] [PubMed]
- Adams, P.C.; Jeffrey, G.; Ryan, J. Haemochromatosis. Lancet 2023, 401, 1811–1821. [Google Scholar] [CrossRef]
- Corradini, E.; Pietrangelo, A. Iron and steatohepatitis. J. Gastroenterol. Hepatol. 2012, 27, 42–46. [Google Scholar] [CrossRef]
- Hilton, C.; Sabaratnam, R.; Drakesmith, H.; Karpe, F. Iron, glucose and fat metabolism and obesity: An intertwined relationship. Int. J. Obes. 2023, 47, 554–563. [Google Scholar] [CrossRef]
- Kouroumalis, E.; Tsomidis, I.; Voumvouraki, A. Iron as a therapeutic target in chronic liver disease. World J. Gastroenterol. 2023, 29, 616–655. [Google Scholar] [CrossRef]
- Berumen, J.; Baglieri, J.; Kisseleva, T.; Mekeel, K. Liver fibrosis: Pathophysiology and clinical implications. WIREs Mech. Dis. 2021, 13, e1499. [Google Scholar] [CrossRef]
- Dhar, D.; Baglieri, J.; Kisseleva, T.; Brenner, D.A. Mechanisms of liver fibrosis and its role in liver cancer. Exp. Biol. Med. 2020, 245, 96–108. [Google Scholar] [CrossRef]
- Kisseleva, T.; Brenner, D. Molecular and cellular mechanisms of liver fibrosis and its regression. Nat. Rev. Gastroenterol. Hepatol. 2021, 18, 151–166. [Google Scholar] [CrossRef] [PubMed]
- Guglielmo, F.F.; Barr, R.G.; Yokoo, T.; Ferraioli, G.; Lee, J.T.; Dillman, J.R.; Horowitz, J.M.; Jhaveri, K.S.; Miller, F.H.; Modi, R.Y.; et al. Liver Fibrosis, Fat, and Iron Evaluation with MRI and Fibrosis and Fat Evaluation with US: A Practical Guide for Radiologists. Radiographics 2023, 43, e220181. [Google Scholar] [CrossRef]
- Wagner, M.; Corcuera-Solano, I.; Lo, G.; Esses, S.; Liao, J.; Besa, C.; Chen, N.; Abraham, G.; Fung, M.; Babb, J.S.; et al. Technical Failure of MR Elastography Examinations of the Liver: Experience from a Large Single-Center Study. Radiology 2017, 284, 401–412. [Google Scholar] [CrossRef]
- Zhang, S.; Nguyen, T.D.; Hurtado Rua, S.M.; Kaunzner, U.W.; Pandya, S.; Kovanlikaya, I.; Spincemaille, P.; Wang, Y.; Gauthier, S.A. Quantitative Susceptibility Mapping of Time-Dependent Susceptibility Changes in Multiple Sclerosis Lesions. AJNR Am. J. Neuroradiol. 2019, 40, 987–993. [Google Scholar] [CrossRef]
- Li, J.; Lin, H.; Liu, T.; Zhang, Z.; Prince, M.R.; Gillen, K.; Yan, X.; Song, Q.; Hua, T.; Zhao, X.; et al. Quantitative susceptibility mapping (QSM) minimizes interference from cellular pathology in R2* estimation of liver iron concentration. J. Magn. Reson. Imaging 2018, 48, 1069–1079. [Google Scholar] [CrossRef]
- Zhou, D.; Cho, J.; Zhang, J.; Spincemaille, P.; Wang, Y. Susceptibility underestimation in a high-susceptibility phantom: Dependence on imaging resolution, magnitude contrast, and other parameters. Magn. Reson. Med. 2017, 78, 1080–1086. [Google Scholar] [CrossRef]
- Dickson, J.D.; Ash, T.W.; Williams, G.B.; Sukstanskii, A.L.; Ansorge, R.E.; Yablonskiy, D.A. Quantitative phenomenological model of the BOLD contrast mechanism. J. Magn. Reson. 2011, 212, 17–25. [Google Scholar] [CrossRef]
- Zhang, J.; Zhou, D.; Nguyen, T.D.; Spincemaille, P.; Gupta, A.; Wang, Y. Cerebral metabolic rate of oxygen (CMRO(2)) mapping with hyperventilation challenge using quantitative susceptibility mapping (QSM). Magn. Reson. Med. 2017, 77, 1762–1773. [Google Scholar] [CrossRef]
- Liu, T.; Spincemaille, P.; de Rochefort, L.; Wong, R.; Prince, M.; Wang, Y. Unambiguous identification of superparamagnetic iron oxide particles through quantitative susceptibility mapping of the nonlinear response to magnetic fields. Magn. Reson. Imaging 2010, 28, 1383–1389. [Google Scholar] [CrossRef]
- Dusek, P.; Madai, V.I.; Huelnhagen, T.; Bahn, E.; Matej, R.; Sobesky, J.; Niendorf, T.; Acosta-Cabronero, J.; Wuerfel, J. The choice of embedding media affects image quality, tissue R(2)(*), and susceptibility behaviors in post-mortem brain MR microscopy at 7.0T. Magn. Reson. Med. 2019, 81, 2688–2701. [Google Scholar] [CrossRef]
- Lohr, D.; Terekhov, M.; Veit, F.; Schreiber, L.M. Longitudinal assessment of tissue properties and cardiac diffusion metrics of the ex vivo porcine heart at 7 T: Impact of continuous tissue fixation using formalin. NMR Biomed. 2020, 33, e4298. [Google Scholar] [CrossRef]






| All (n = 20) | F0–1 (n = 5) | F2–3 (n = 7) | F4 (n = 8) | |
|---|---|---|---|---|
| Age (y) | 45 (0–80) | 26 (0–80) | 45 (24–61) | 57 (49–66) |
| Sex | ||||
| -Male | 13 | 4 | 4 | 5 |
| -Female | 7 | 1 | 3 | 3 |
| Iron deposition | ||||
| -None | 10 | 4 | 5 | 1 |
| -Grade 0 | 1 | 0 | 1 * | 0 |
| -Grade 0–1 | 1 | 0 | 1 | 0 |
| -Grade 1 | 1 | 1 | 0 | 2 |
| -Grade 2 | 1 | 0 | 0 | 1 |
| -Grade 2–3 | 3 | 0 | 0 | 3 |
| -Grade 3 | 1 | 0 | 0 | 1 |
| Steatosis | ||||
| -None | 9 | 2 | 6 | 1 |
| -Grade 0 (<5%) | 5 | 1 | 0 | 4 |
| -Grade 1 (5–33%) | 4 | 1 | 1 | 2 |
| -Grade 2 (34–66%) | 1 | 1 | 0 | 0 |
| -Grade 3 (>66%) | 1 | 0 | 0 | 1 |
| Parameters | AUC | p-Value | Cut-Off | Sensitivity (%) | Specificity (%) |
|---|---|---|---|---|---|
| () (ppm) | 0.88 | 0.0046 | 0.17 | 90 | 90 |
| R2* (s−1) | 0.83 | 0.014 | 87.02 | 90 | 70 |
| (optimized) (ppm) | 0.81 | 0.021 | 0.39 | 80 | 70 |
| ) (ppm) | 0.80 | 0.026 | 0.074 | 90 | 80 |
| PDFF (%) | 0.80 | 0.026 | 6.79 | 100 | 50 |
| ) (ppm) | 0.76 | 0.053 | 0.27 | 80 | 70 |
| (ppm) | 0.65 | 0.27 | 0.29 | 90 | 60 |
Disclaimer/Publisher’s Note: The statements, opinions and data contained in all publications are solely those of the individual author(s) and contributor(s) and not of MDPI and/or the editor(s). MDPI and/or the editor(s) disclaim responsibility for any injury to people or property resulting from any ideas, methods, instructions or products referred to in the content. |
© 2026 by the authors. Licensee MDPI, Basel, Switzerland. This article is an open access article distributed under the terms and conditions of the Creative Commons Attribution (CC BY) license.
Share and Cite
Li, C.; Zhang, J.; Dimov, A.V.; Koehne de González, A.K.; Prince, M.R.; Li, J.; Romano, D.; Spincemaille, P.; Nguyen, T.D.; Brittenham, G.M.; et al. MRI Quantification of Liver Fibrosis Using Diamagnetic Susceptibility: An Ex Vivo Validation Study. Tomography 2026, 12, 46. https://doi.org/10.3390/tomography12040046
Li C, Zhang J, Dimov AV, Koehne de González AK, Prince MR, Li J, Romano D, Spincemaille P, Nguyen TD, Brittenham GM, et al. MRI Quantification of Liver Fibrosis Using Diamagnetic Susceptibility: An Ex Vivo Validation Study. Tomography. 2026; 12(4):46. https://doi.org/10.3390/tomography12040046
Chicago/Turabian StyleLi, Chao, Jinwei Zhang, Alexey V. Dimov, Anne K. Koehne de González, Martin R. Prince, Jiahao Li, Dominick Romano, Pascal Spincemaille, Thanh D. Nguyen, Gary M. Brittenham, and et al. 2026. "MRI Quantification of Liver Fibrosis Using Diamagnetic Susceptibility: An Ex Vivo Validation Study" Tomography 12, no. 4: 46. https://doi.org/10.3390/tomography12040046
APA StyleLi, C., Zhang, J., Dimov, A. V., Koehne de González, A. K., Prince, M. R., Li, J., Romano, D., Spincemaille, P., Nguyen, T. D., Brittenham, G. M., & Wang, Y. (2026). MRI Quantification of Liver Fibrosis Using Diamagnetic Susceptibility: An Ex Vivo Validation Study. Tomography, 12(4), 46. https://doi.org/10.3390/tomography12040046

