Abstract
In order to further improve performance of the Slime Mould Algorithm, the Enhanced Multi-Strategy Slime Mould Algorithm (EMSMA) is proposed in this paper. There are three main modifications to SMA. Firstly, a leader covariance learning strategy is proposed to replace the anisotropic search operator in SMA to ensure that the agents can evolve in a better direction during the optimization process. Secondly, the best agent is further modified with an improved non-monopoly search mechanism to boost the algorithm’s exploitation and exploration capabilities. Finally, a random differential restart mechanism is developed to assist SMA in escaping from local optimality and increasing population diversity when it is stalled. The impacts of three strategies are discussed, and the performance of EMSMA is evaluated on the CEC2017 suite and CEC2022 test suite. The numerical and statistical results show that EMSMA has excellent performance on both test suites and is superior to the SMA variants such as DTSMA, ISMA, AOSMA, LSMA, ESMA, and MSMA in terms of convergence accuracy, convergence speed, and stability.
1. Introduction
In the present era of rapidly changing technology, numerous complex engineering optimization problems have emerged in many fields, such as social life and scientific research [1]. The emergence of these problems has undoubtedly increased the importance of optimization algorithms and artificial intelligence technology [2]. The central goal of optimization is to find an optimal solution to the objective function while adhering to a set of constraints [3]. Previously, the optimal solution has often been searched for by relying on information about the gradient of the function involved [4]. Although this approach has shown its effectiveness in some specific cases, as a variety of real-world optimization problems become nonconvex, discontinuous, nonlinear, and multimodal, traditional gradient-based optimization methods are far from being able to meet the growing practical demands [5,6]. In these cases, it may not be possible to achieve satisfactory results using traditional methods, and therefore, it becomes particularly necessary to discover alternative methods. Faced with the challenge of traditional optimization methods that are difficult to cope with due to the enormity of the problem size or the complexity of the solution space, metaheuristic algorithms have emerged as an effective alternative with their unique search strategies and high adaptability [7]. Metaheuristic algorithms are algorithms that mimic natural or biological evolutionary mechanisms, and they are gaining popularity among researchers. A significant advantage of these algorithms is that they do not rely on explicit problem formulations or mathematical equations and can cope with challenging problems even in the absence of gradient information, offering the possibility of finding near-optimal solutions [8]. In addition, metaheuristics are known for their simplicity, adaptability, lack of need for a derivation framework, and ability to overcome local optima [9]. These properties empower them to solve complex mathematical problems and provide valuable approximate solutions even when the optimal solution is difficult to achieve. In the last few years, there has been an explosion in the research and application of metaheuristic algorithms. In addition to classical numerical optimization, metaheuristic algorithms have demonstrated their effectiveness in a wide range of optimization tasks including, but not limited to, feature selection [10,11,12], traveling sales problems [13,14], image segmentation problems [15,16,17,18], wireless sensor coverage problems [19,20,21], and mission planning [22,23,24]. Depending on their source of inspiration, these algorithms can be broadly categorized into four main groups: evolution-based, physical-based, human-based, and swarm-based. Each category provides a unique perspective and approach to solving optimization problems. The different kinds of algorithms that will be presented below are given in Figure 1.
Figure 1.
Summary of some metaheuristic algorithms.
Evolution-based algorithms are a class of metaheuristics inspired by evolutionary mechanisms. These algorithms are based on Darwin’s theory of natural selection, which leads to a gradual solution through superiority and inferiority. Genetic algorithms (GA) mimic the natural evolutionary process through mutation, recombination and natural selection [25]. In addition, the differential evolution (DE) proposed by Price et al. optimizes the solution by simulating natural selection and genetic mechanisms using the differences between individuals in a population [26]. These two algorithms are the most well-known evolutionary algorithms. Other evolution-based algorithms include Biogeography-Based Optimizer (BBO) [27], Genetic Programming (GP) [28], Evolutionary Strategies (ES) [29], etc.
Physics-based algorithms draw from the laws of physics or mathematical methods to mimic natural physical phenomena. These algorithms use physical concepts such as energy, force, and temperature to guide the search process. Simulated annealing (SA) [30] simulates the slow cooling process of the metal to minimize defects. The Gravity Search Algorithm (GSA) is inspired by the law of gravity in physics [31]. Other popular physics-based algorithms are Multi-Verse Optimization (MVO) [32], the Sine Cosine Algorithm (SCA) [33], and the Arithmetic Optimization Algorithm (AOA) [34].
Human-based algorithms are usually inspired by human social behavior and interaction styles. These algorithms mimic the characteristics of human social and personal behavior and aim to explore and develop the problem space efficiently through this approach. Brainstorming optimization (BSO) is inspired by the process of generating and developing ideas in collective discussions [35]. Rao et al. proposed teaching–learning-based Optimization (TLBO) by simulating the teaching and learning process between teachers and students [36]. Other human-inspired algorithms include the Group Teaching Optimization Algorithm (GTOA) [37], Social Network Search (SNS) [38], Soccer League Competition Algorithm (SLC) [39], and Social Evolution and Learning Optimization (SELO) [40], among others.
Swarm-based algorithms are inspired by the group behavior of organisms such as ants, bees, birds, and fish. The field of swarm-based algorithms is very active, and many experts and scholars have proposed various algorithms inspired by the behavior of living creatures. Particle Swarm Optimization (PSO) is one of the most classical algorithms inspired by the behavior of flocks of birds [41]. Ant Colony Optimization (ACO) is inspired by the foraging behavior of ants [42]. Other swarm-based algorithms include Firefly Algorithm (FA) [43], Grey Wolf Optimizer (GWO) [44], Whale Optimization Algorithm (WOA) [45], Harris Hawk Optimization (HHO) [46], Reptile Search Algorithm (RSA) [47], Dwarf Mongoose Optimization (DMO) [48], Tuna Swarm Optimization (TSO) [49], Remora Optimization Algorithm (ROA) [50], and Crayfish Optimization Algorithm (COA) [51]. In conclusion, swarm-based algorithms provide an effective method for finding optimal or near-optimal solutions to complex optimization problems, and their rapid development has had a profound impact on modern human life.
The basic framework of metaheuristic algorithms consists of two phases: the exploration phase and the development phase [46]. Metaheuristic algorithms need to strike a balance between these two phases so as to ensure optimal results in one or more specific applications. In the exploration phase, the algorithm focuses primarily on searching the solution space extensively to discover potential solutions. In the exploitation phase, the algorithm concentrates on further improving and optimizing the discovered solutions to enhance their quality and performance. Although there is a wide variety of optimization algorithms, according to the “no free lunch” theorem [52], it is almost impossible for one optimization algorithm to solve all optimization problems well. Different algorithms have different effects in solving different problems. Therefore, new optimization methods or improved versions of existing techniques must be proposed to solve tasks in different domains. Recently, inspired by the central concept of slime mold model, Li et al. proposed a new technique to mimic the behavior of slime mold swarms, namely the Slime Mould Algorithm (SMA) [53]. The algorithm was evaluated on several benchmark functions and compared with other well-known metaheuristics on four engineering design algorithms, thus affirming its superiority and efficiency. Due to its simple structure and clear principles, SMA has attracted much attention since its introduction in 2020 and has been used to solve a large number of real-world optimization problems [54,55,56,57].
Although SMA has been successfully applied in several fields, SMA still has some drawbacks, such as imbalance between exploration and exploitation, and the tendency to fall into local optimization at the late stage of iteration. Considering these limitations, the Enhanced Multi-Strategy Slime Mould Algorithm (EMSMA) is proposed in this study. The main contributions of this research are summarized as follows:
- The leader covariance learning strategy is used as an alternative to the anisotropic search operator to utilize the information of the dominant population to make the search toward more promising regions, thus enhancing the quality of candidate solutions and improving the search performance of SMA.
- An improved non-monopoly search mechanism is designed to execute further search on the optimal agent so as to refine the quality of the optimal individual and help the SMA to avoid local optimal traps.
- A random differential restart mechanism is developed. Perturbation is applied to the agents when the search becomes stagnant, thus enhancing the population diversity and avoiding premature convergence of SMA.
- The effects of parameter selection and strategy on SMA are discussed on the CEC2017 and CEC2022 test suites, and the performance of EMSMA is evaluated by comparison with several SMA variants. The superior performance of EMSMA is demonstrated using mean, standard deviation, convergence curves, box plots, the Wilcoxon rank sum test, and the Friedman test.
The rest of the paper is organized as follows: Section 2 introduces the basic principles of SMA. Section 3 presents the details of EMSMA, followed by time complexity analysis. Section 4 is the experimental part, where the performance of the proposed EMSMA is evaluated by means of the CEC2017 and CEC2022 test suites and compared to other SMA variants. We summarize the study and provide an outlook for the future in Section 5.
2. Overview of Slime Mould Algorithm
In the initialization phase, the initial candidate solutions are randomly generated throughout the search region. The initial candidate solution can be calculated as follows.
where indicates the position of the ith initial individual and and are the upper and lower bounds of the optimization problem. represents the number of agents. The solution matrix X is described as follows.
where D denotes the dimension of the optimization problem.
In this section the mathematical model of SMA will be presented. SMA is able to approach the food according to the level of odor concentration and mainly simulates the different morphological variations of slime moulds. These morphologies are calculated by the following three equations.
where denotes the current number of iterations. represents a random number randomly generated between 0 and 1. is a constant that takes the value of 0.03 in SMA. denotes the global best agent. are random numbers in the range . denotes the fitness weight of the candidate agents, which is obtained from Equation (8). and are two different agents randomly selected from the population. is a number that decreases linearly from 1 to 0.
where denotes the fitness of agents. is the current best fitness. stands for the maximum number of iterations. denotes the top half of the agents with better fitness. and denote the best fitness and the worst fitness of current population, respectively.
3. Proposed EMSMA
The modifications to SMA mainly contain three parts. Firstly, the leader covariance learning strategy is adopted in the anisotropy search stage to fully utilize effective information of the excellent population and correctly guide the direction of population evolution. Then, an improved non-monopoly search mechanism is adopted for the best agent to further enhance the quality of best agent. Finally, the random differential restart mechanism is employed to help SMA jump out of the local optimum and enhance the population diversity when the agents become stagnant. The details are shown below.
3.1. Leader Covariance Learning Strategy (LCLS)
In the basic SMA, when , the population can explore any region of the problem space through a stochastic search method (Equation (1)), but this equation is rarely used. In addition, Equation (1) has very powerful exploration capability, but the search efficiency is low, so it is necessary to use other methods instead. This paper proposes a leader covariance learning strategy (LCLS) based on Gaussian distribution estimation methods [58]. The Gaussian estimated distribution method is an algorithm that relies on sampling probability distributions, where the Gaussian distribution model is more effective in guiding the algorithm to explore more promising regions. In addition, to further decentralize the search, the strategy is modified with regards to the location of the best agent. The formulas for the leader covariance learning strategy are expressed as follows:
where is the set consisting of the better performing half of the individuals in the population. denotes the cardinality of the set . denotes the covariance of each agent. is an individual randomly selected from the best three agents. is the weight of each agent. In SMA, a discussion on the value of z is necessary after LCLS replaces Equation (1). The magnitude of the z value determines how often LCLS is used. In this paper, the value of z is set to 0.3 after experiments. Details are listed in the experimental section.
3.2. Improved Non-Monopoly Search Mechanism (INSM)
The quality of the optimal agent affects the search direction of the whole population. When the optimal agent search becomes stagnant, there is a possibility that the whole population cannot carry out the search, so it is necessary to make further amendments to the optimal agent. To enhance the quality of optimal individual, this paper proposes an improved non-monopoly search mechanism (INSM). The non-monopoly search mechanism is a novel local search method [59] proposed by Abualigah in 2024. The mechanism controls exploitation and exploration according to the iterative process and has the ability to escape from local optimality by relying on stochastic operators. Specifically, the optimal individual will be explored in the first half of iterations as in Equation (14) and exploited in the second half of iterations as in Equation (15).
where is a randomly selected dimension from the best agent. The marine predator algorithm utilizes Levy flight and Brownian motion to construct foraging strategies with better results [60]. Among them, Levy flights are mainly small-scale movements and occasional large step-length movements. Brownian motion, on the other hand, can be used to track and explore various areas of the domain by virtue of uniform and controllable step lengths. Considering the characteristics of the two approaches, this paper combines Brownian motion into Equation (15) and Levy flight into Equation (16) for a more comprehensive exploration and more refined exploitation of the problem space. The improved non-monopolized search mechanism is represented as follows:
where and are random numbers obeying Brownian and Levy distributions, respectively. is a small value and takes the value .
3.3. Random Differential Restart Mechanism (RDRM)
To facilitate the algorithm to jump out of the local optimum, this paper develops a random differential restart mechanism. Specifically, RDRM is applied to an individual when the stagnation count of an agent accumulates to the restart threshold. The stagnation count is calculated by adding 1 to the count when the children of this agent are inferior to the parent and vice versa with no change. When RDRM is used, if the child individual is superior to the parent, the count is reset to 0 and vice versa plus 1. The RDRM is represented as follows:
where and are two different candidates randomly selected from the population. The pseudo code and flowchart of the EMSMA are shown in Algorithm 1 and Figure 2.
| Algorithm 1 Pseudo code of the EMSMA |
| Begin: |
| //Initialization |
| Initialize z, N, T, L; |
| Initialize the the positions of agent X |
| //Main loop |
| While (t < T) do |
| Calculate the fitness of X and obtain |
| Construct by Equation (10) |
| Calculate the W by Equation (8) |
| Update , by Equations (12) and (13) |
| For i = 1: N do |
| Update p,a by Equations (4) and (7) |
| If rand < z then |
| Update positions by Equation (9) //Leader covariance learning strategy |
| else |
| Update positions by Equations (4) and (5) |
| End if |
| End For |
| Update by Equations (17) and (18) //Improved non-monopoly search mechanism |
| For i = 1: N do |
| Update positions by Equation (19) //Random differential restart mechanism |
| End for |
| t = t + 1 |
| End While |
| Return: the best fitness and |
Figure 2.
The flow chart of the EMSMA.
3.4. Time Complexity Analysis
Time complexity analysis is also an important part of evaluating the performance of an algorithm. The time complexity depends on the following three parameters: the number of populations , the problem dimension , and the number of iterations . The specific analysis is described below:
For SMA, the initialization phase time is . The time complexity of position updating is . In general, the total time complexity of SMA is .
For EMSMA, the initialization phase time is . The time complexity of the improved non-monopoly search mechanism is .The time complexity of the leader covariance learning strategy is . The time complexity of position updating using Equations (2) and (3) is . For the random differential restart mechanism, we assume each agent is reinitialized by the restart mechanism every Limit time, so the time complexity is . Therefore, the complexity of the EMSMA can be expressed as below:
To summarize, the time complexity of EMSMA is higher than SMA, but the performance of EMSMA is significantly improved compared to SMA, so this is acceptable.
4. Experimental Results and Discussion
In this section, comparative experiments are performed on the CEC2017 and CEC2022 test suites, where the competitors contain several SMA variants. Through these experiments, the performance of EMSMA is evaluated from different perspectives, including convergence accuracy analysis, stability analysis, Friedman test analysis, and Wilcoxon rank sum test analysis. In addition, this section discusses the effects of z-values and different improvement strategies on EMSMA.
4.1. Experimental Environment and Parameter Settings
All the experiments in this paper were performed on MATLAB R2020a and Windows 10 operating system. The hardware is as follows: AMD R9 7950X CPU (4.5 Ghz) and 32 GB RAM. To evaluate the performance of EMSMA, six SMA variants participated in the test as competitors. The performance of the algorithms was evaluated using the mean (Mean), standard deviation (STD), and minimum (Best), and Friedman scores were calculated for each algorithm. The Wilcoxon rank sum test was then used to assess whether there were significant differences between the EMSMA algorithm and the competitors. For fair comparison and to reduce randomness, all algorithms use the same common parameters, and each algorithm is run independently 51 times with a population size of 50 and an iteration number of 1000. The parameter settings for the competitors are referenced from the original literature and are shown in Table 1. In addition, Table 1 presents the improvement strategies for each SMA variant.
Table 1.
Parameter settings of eight algorithms.
4.2. Benchmark Test Functions
The CEC2017 and CEC2022 test suites were used to evaluate the performance of EMSMA and competitors. The CEC2017 test suite has 29 functions, including 2 unimodal, 7 multimodal, 10 hybrid, and 10 composite functions [66]. The CEC2022 test suite has 12 functions, including 1 unimodal, 3 basic, 3 hybrid, and 4 composite functions [67]. The details of the two test suites are presented in Table 2 and Table 3.
Table 2.
Descriptions of CEC-2017 benchmark test functions.
Table 3.
Descriptions of CEC-2022 benchmark test functions.
4.3. Sensitivity of EMSMA to Parameter z
In order to fully utilize the leader covariance learning strategy, the parameter z in EMSMA needs to be discussed for optimal settings. In this subsection, the z values are set to 0.1, 0.2, 0.3, 0.4, 0.5, 0.6 and 0.7. To demonstrate the effect of the best parameter setting, we evaluate the performance of the EMSMA under different z values by using the test functions under different dimensions of the CEC2017 and CEC2022 test suites. Table 4 presents the Friedman scores and p-values of EMSMA at different z-values, and Figure 3 visualizes the results. The p-values in Table 4 are all less than 0.05, indicating that there is a significant difference between EMSMA and SMA regardless of the parameter z setting. As can be seen in Figure 3, EMSMA has an overall mean score of 3.86 when z is set to 0.3. Although EMSMA has the highest score in the CEC 2017 (CEC 2022) test suite when z = 0.6 (0.1), EMSMA also ranks in the top three for the separate mean scores of the two test suites and first for the overall mean scores when z = 0.3. Therefore, in this paper, the value of parameter z is set to 0.3 to fully demonstrate the performance of EMSMA.
Table 4.
Performance comparison of EMSMA with different parameter z.
Figure 3.
Rankings of EMSMA with different z settings obtained from the Friedman test.
4.4. Strategies Effectiveness Analysis
Similarly, we evaluate the effectiveness of strategies proposed in this paper in CEC2017 and CEC2022 test suites. In this subsection, three EMSMA variants are set up, namely EMSMA-1, EMSMA-2, and EMSMA-3. The three EMSMA variants are obtained by EMSMA with LCLS, INSM and RDRM removed, respectively. Specific numerical results are shown in Table A1, Table A2, Table A3, Table A4, Table A5 and Table A6 in Appendix A. The results of the Friedman test for EMSMA and the three EMSMA-derived algorithms are given in Table 5. As can be seen from Table 5, the p-value is less than 0.05 in all cases, which indicates that there is a significant difference between the algorithms experimented in this section. Figure 4 visualizes the ranking of EMSMA and its derived algorithms.
Table 5.
The rankings of EMSMA and its variants.
Figure 4.
Rankings of EMSMA and its variants.
As can be seen in Figure 4, EMSMA has the best ranking in the average rank of total column, which means that the overall performance of EMSMA is better than the comparison algorithms. It is noteworthy that EMSMA and its variants are ranked higher than SMA in all cases, which reflects the significant effect of the improvement strategy in this paper. The specific analysis is as follows. EMSMA-2 with RDRM removed ranked last among the three variants, suggesting that RDRM is effective in improving the performance of SMA. EMSMA-1 and EMSMA-3 ranked similarly, indicating that the two strategies, LCLS and INSM, have similar levels of effectiveness for SMA. Although EMSMA is worse than EMSMA-1 in CEC2022 Dim = 10, the overall performance is still the best. In summary, through the experiments in this subsection, it can be concluded that LCLS, INSM, and RDRM are all effective in boosting SMA.
4.5. Comparison with SMA Variants
Six SMA variants are used in this subsection for comparison with EMSMA. These SMA variants include DTSMA, ISMA, AOSMA, LSMA, ESMA, and MSMA. The parameter settings for the competitors are consistent with those suggested in the original literature, and the specific parameter settings are listed in Table 1. Detailed results for the EMSMA and the competitors for the CEC2017 and CEC2022 test sets are summarized in Table A7, Table A8, Table A9, Table A10, Table A11 and Table A12 in Appendix A. The rankings are based on the average values obtained for each algorithm in Table A7, Table A8, Table A9, Table A10, Table A11 and Table A12 in Appendix A. The rankings were used to draw spider plots to visualize the performance of EMSMA and the competitors on the benchmark function, as shown in Figure 5. The smaller the area enclosed by each curve in the graph, the better the performance of the algorithm represented by that curve. From Figure 5, it can be roughly concluded that EMSMA outperforms SMA and SMA variants in all cases. In the next few subsections, the results obtained will be further analyzed using statistical tests.

Figure 5.
Rankings based on “Mean” of EMSMA and SMA variants on benchmark function. (a) Ranking of EMSMA and SMA variants (CEC2017 10D). (b) Ranking of EMSMA and SMA variants (CEC2017 30D). (c) Ranking of EMSMA and SMA variants (CEC2017 50D). (d) Ranking of EMSMA and SMA variants (CEC2017 100D). (e) Ranking of EMSMA and SMA variants (CEC2012 10D). (f) Ranking of EMSMA and SMA variants (CEC2017 20D).
4.5.1. Analysis Using the Wilcoxon Rank Sum Test
Wilcoxon rank sum test was used to check if there is a significant difference between two algorithms. In this paper, Wilcoxon rank sum test is applied to judge the difference between EMSMA and the competitor on each function. The results of the Wilcoxon rank sum test at the significance level a = 0.05, with respect to the CEC2017 and CEC2022 test suites, are recorded in Table A7, Table A8, Table A9, Table A10, Table A11 and Table A12 in Appendix A. Table 6 summarizes the number of EMSMA outperforms, resembles, and underperforms the competitors. EMSMA achieved the best scores of 1.47 and 1.67 on the CEC2017 and CEC2022 test sets, respectively, which is consistent with the analysis of the Wilcoxon rank sum test in Section 4.5.1.
Table 6.
The results of Wilcoxon rank sum test between EMSMA and competitors (a = 0.05).
From the results summarized in Table 6, it can be seen that the number of “+” is more than the number of “−” in all cases, which means that EMSMA significantly outperforms all competitors. It is worth noting that the gap between EMSMA and other competitors becomes larger as the dimensionality increases, which demonstrates the excellent performance of EMSMA under complex multi-dimensional problems. The test results are summarized below.
- (a)
- For CEC2017 Dim = 10, EMSMA is superior (inferior) to SMA on 26(2) benchmark functions, DTSMA on 23(3) benchmark functions, ISMA on 26(2) benchmark functions, AOSMA on 29(0) benchmark functions, LSMA on 27(2) benchmark functions, ESMA on 27(2) benchmark functions, and MSMA on 28(1) benchmark functions.
- (b)
- For CEC2017 Dim = 30, EMSMA is superior (inferior) to SMA on 23(2) benchmark functions, DTSMA on 18(4) benchmark functions, ISMA on 27(0) benchmark functions, AOSMA on 29(0) benchmark functions, LSMA on 22(0) benchmark functions, ESMA on 24(1) benchmark functions, and MSMA on 26(0) benchmark functions.
- (c)
- For CEC2017 Dim = 50, EMSMA is superior (inferior) to SMA on 22(1) benchmark functions, DTSMA on 20(4) benchmark functions, ISMA on 29(0) benchmark functions, AOSMA on 29(0) benchmark functions, LSMA on 25(0) benchmark functions, ESMA on 21(1) benchmark functions, and MSMA on 28(0) benchmark functions.
- (d)
- For CEC2017 Dim = 100, EMSMA is superior (inferior) to SMA on 27(0) benchmark functions, DTSMA on 24(1) benchmark functions, ISMA on 29(0) benchmark functions, AOSMA on 29(0) benchmark functions, LSMA on 28(0) benchmark functions, ESMA on 22(1) benchmark functions, and MSMA on 28(0) benchmark functions.
- (e)
- For CEC2022 Dim = 10, EMSMA is superior (inferior) to SMA on 10(1) benchmark functions, DTSMA on 8(0) benchmark functions, ISMA on 10(2) benchmark functions, AOSMA on 10(1) benchmark functions, LSMA on 9(1) benchmark functions, ESMA on 11(0) benchmark functions, and MSMA on 11(0) benchmark functions.
- (f)
- For CEC2022 Dim = 20, EMSMA is superior (inferior) to SMA on 10(0) benchmark functions, DTSMA on 10(0) benchmark functions, ISMA on 12(0) benchmark functions, AOSMA on 12(0) benchmark functions, LSMA on 10(0) benchmark functions, ESMA on 11(0) benchmark functions, and MSMA on 12(0) benchmark functions.
In conclusion, based on the Wilcoxon rank sum test results, it can be concluded that EMSMA has superior performance to DTSMA, ISMA, AOSMA, LSMA, ESMA, MSMA, and SMA.
4.5.2. Analysis Using the Friedman Test
The Friedman test was also used to perform statistical analyses of the data in Table A7, Table A8, Table A9, Table A10, Table A11 and Table A12 for overall comparisons between EMSMA and competitors in addition to the two-by-two paired Wilcoxon test. Table 7 illustrates the Friedman scores as well as p-values for the EMSMA and SMA variants. It can be seen that the p-value of all Friedman tests is not greater than 0.05, which indicates that there is a significant difference in performance between EMSMA and competitors. Figure 6 visualizes the Friedman ranking of each algorithm.
Table 7.
The results of Friedman test between EMSMA and competitors (a = 0.05).
Figure 6.
Rankings of EMSMA and SMA variants.
As can be seen in Figure 6, EMSMA consistently achieves the best rankings in different scenarios, and the corresponding curves fluctuate very little, which indicates that EMSMA has good scalability and is able to show excellent performance in various scenarios. In addition, to further analyze the magnitude of differences between EMSMA and competitors. The Iman–Davenport test and the Nemenyi test are employed as post hoc tests based on the Friedman test [68]. Figure 7 presents the differences magnitude between EMSMA and the competitors, and there is no significant difference between the algorithms for CDV connection. As shown in Figure 7, EMSMA is not remarkably different from DTSMA and significantly outperforms the rest of the competitors on CEC2017 (Dim = 10/30) and CEC2022 (Dim = 10/20). EMSMA is superior to all SMA variants except ESMA on CEC2017 (Dim = 50/100). In conclusion, EMSMA further improves the performance of SMA and is significantly different from most SMA variants.
Figure 7.
Differences between EMSMA and SMA variants. (a) CEC2017 10D. (b) CEC2017 30D. (c) CEC2017 50D. (d) CEC2017 100D. (e) CEC2022 10D. (f) CEC2022 20D.
4.5.3. Analysis Using the Convergence Curves
In this subsection, the mean fitness convergence curves of 51 independent runs obtained by EMSMA and SMA variants are used to analyze the convergence performance of EMSMA. Since there are a total of 29 × 4 + 12 × 2 = 140 results for the two test suites, for simplicity, the convergence curves of the eight algorithms on the four functions of CEC2017 and the two functions of CEC2022 are shown in Figure 8. The rest of the convergence graphs can be obtained in Figure A1, Figure A2, Figure A3, Figure A4, Figure A5 and Figure A6 in Appendix B. As can be seen by analyzing Figure 8, EMSMA has the fastest convergence rate and the best convergence accuracy on the six functions. Therefore, it can be concluded that EMSMA has better convergence performance on the CEC2017 and CEC2022 test sets.

Figure 8.
Convergence curves of EMSMA and SMA variants.
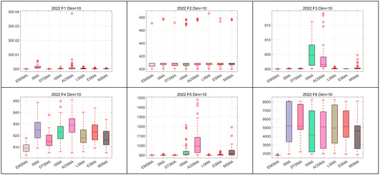
4.5.4. Analysis Using the Box Plots
In addition to convergence analysis, robustness is also an important metric for algorithms. Box plots are often used to show how centralized the results are. Narrow box plots indicate that the results are more concentrated, and box plots with lower positions indicate that the algorithms achieve better quality solutions. Figure 9 illustrates the distribution of solutions for the eight algorithms when solving CEC2017 and CEC2022. Similar to Section 4.5.3, some of the functions are selected for display and the remaining graphs can be found in Figure A7, Figure A8, Figure A9, Figure A10, Figure A11 and Figure A12 in Appendix B. As can be seen in Figure 9, EMSMA provides higher-quality solutions with denser distributions, reflecting the robustness of EMSMA.

Figure 9.
Boxplots of EMSMA and SMA variants.
5. Conclusions
In this paper, we propose a variant of SMA called EMSMA with significant performance in different scenarios. Performance evaluation of the proposed EMSMA is carried out in this paper using the CEC2017 and CEC2022 test sets, and the effects of parameter selection and improvement strategies on the SMA are discussed. Comparison results with other SMA variants show that EMSMA has better convergence performance and robustness than DTSMA, ISMA, AOSMA, LSMA, ESMA, and MSMA. The leader covariance learning strategy, improved non-monopoly search mechanism, and random differential restart mechanism can significantly boost the SMA performance. In addition, the Wilcoxon rank sum test and Friedman test were utilized to confirm the significant difference between EMSMA and competitors.
In future work, more complex optimization problems will be applied to test the efficacy of EMSMA. For example, task planning, image segmentation, wireless sensor network coverage problems, feature selection, etc.
Author Contributions
Conceptualization, Y.D. and X.C.; methodology, Y.D. and R.T.; software, Y.D. and R.T.; validation, Y.D. and X.C.; formal analysis, Y.D.; investigation, Y.D.; resources, Y.D.; data curation, Y.D. and R.T.; writing—original draft preparation, Y.D. and R.T.; writing—review and editing, Y.D., X.C., and R.T.; visualization, X.C.; supervision, X.C.; project administration, X.C.; funding acquisition, X.C. All authors have read and agreed to the published version of the manuscript.
Funding
This research was funded by the Ministry of Education’s Industry–University Cooperative Education Project, grant number 231104213285004 and the Zhejiang Higher Education Society’s Annual General Project, grant number KT2024355.
Institutional Review Board Statement
Not applicable.
Data Availability Statement
The datasets generated during and/or analyzed during the current study are available from the corresponding author upon reasonable request.
Acknowledgments
The authors would like to thank their anonymous reviewers for helping them improve this paper’s quality.
Conflicts of Interest
The authors declare that they have no known competing financial interests or personal relationships that could have appeared to influence the work reported in this paper.
Appendix A
Table A1.
Statistical results obtained from EMSMA and EMSMA variants for CEC 2017 (Dim = 10).
Table A1.
Statistical results obtained from EMSMA and EMSMA variants for CEC 2017 (Dim = 10).
| Function | Index | SMA | EMSMA-1 | EMSMA-2 | EMSMA-3 | EMSMA |
|---|---|---|---|---|---|---|
| F1 | Best | 1.55E+03 | 1.00E+02 | 1.00E+02 | 1.00E+02 | 1.00E+02 |
| Mean | 8.60E+03 | 6.53E+02 | 1.56E+03 | 2.18E+03 | 2.13E+03 | |
| Std | 3.92E+03 | 2.44E+03 | 1.77E+03 | 2.87E+03 | 2.56E+03 | |
| F2 | Best | 3.00E+02 | 3.00E+02 | 3.00E+02 | 3.00E+02 | 3.00E+02 |
| Mean | 3.00E+02 | 3.00E+02 | 3.00E+02 | 3.00E+02 | 3.00E+02 | |
| Std | 3.36E-03 | 2.64E-06 | 8.75E-02 | 1.03E-02 | 3.92E-07 | |
| F3 | Best | 4.01E+02 | 4.00E+02 | 4.00E+02 | 4.00E+02 | 4.00E+02 |
| Mean | 4.19E+02 | 4.00E+02 | 4.06E+02 | 4.05E+02 | 4.00E+02 | |
| Std | 2.75E+01 | 1.14E-01 | 1.08E+01 | 1.54E+00 | 8.39E-02 | |
| F4 | Best | 5.05E+02 | 5.04E+02 | 5.06E+02 | 5.01E+02 | 5.01E+02 |
| Mean | 5.16E+02 | 5.11E+02 | 5.15E+02 | 5.06E+02 | 5.08E+02 | |
| Std | 7.28E+00 | 4.09E+00 | 6.76E+00 | 2.45E+00 | 3.25E+00 | |
| F5 | Best | 6.00E+02 | 6.00E+02 | 6.00E+02 | 6.00E+02 | 6.00E+02 |
| Mean | 6.00E+02 | 6.00E+02 | 6.00E+02 | 6.00E+02 | 6.00E+02 | |
| Std | 4.45E-02 | 6.48E-03 | 7.43E-03 | 1.41E-02 | 1.04E-03 | |
| F6 | Best | 7.11E+02 | 7.12E+02 | 7.11E+02 | 7.10E+02 | 7.11E+02 |
| Mean | 7.24E+02 | 7.21E+02 | 7.26E+02 | 7.16E+02 | 7.20E+02 | |
| Std | 6.18E+00 | 5.17E+00 | 9.17E+00 | 2.18E+00 | 4.57E+00 | |
| F7 | Best | 8.07E+02 | 8.03E+02 | 8.06E+02 | 8.02E+02 | 8.03E+02 |
| Mean | 8.16E+02 | 8.11E+02 | 8.17E+02 | 8.06E+02 | 8.09E+02 | |
| Std | 6.80E+00 | 4.98E+00 | 6.33E+00 | 2.69E+00 | 3.07E+00 | |
| F8 | Best | 9.00E+02 | 9.00E+02 | 9.00E+02 | 9.00E+02 | 9.00E+02 |
| Mean | 9.00E+02 | 9.00E+02 | 9.00E+02 | 9.00E+02 | 9.00E+02 | |
| Std | 2.43E-02 | 4.37E-06 | 2.76E-01 | 8.11E-02 | 1.09E-01 | |
| F9 | Best | 1.16E+03 | 1.02E+03 | 1.14E+03 | 1.02E+03 | 1.02E+03 |
| Mean | 1.60E+03 | 1.36E+03 | 1.58E+03 | 1.33E+03 | 1.37E+03 | |
| Std | 2.49E+02 | 1.64E+02 | 2.15E+02 | 1.22E+02 | 1.55E+02 | |
| F10 | Best | 1.10E+03 | 1.10E+03 | 1.10E+03 | 1.10E+03 | 1.10E+03 |
| Mean | 1.17E+03 | 1.10E+03 | 1.11E+03 | 1.10E+03 | 1.10E+03 | |
| Std | 7.47E+01 | 1.67E+00 | 3.58E+00 | 1.92E+00 | 1.91E+00 | |
| F11 | Best | 2.79E+03 | 1.20E+03 | 1.82E+03 | 1.21E+03 | 1.20E+03 |
| Mean | 4.00E+04 | 1.27E+03 | 2.23E+04 | 3.50E+03 | 2.40E+03 | |
| Std | 2.64E+04 | 5.65E+01 | 2.32E+04 | 5.01E+03 | 2.33E+03 | |
| F12 | Best | 1.39E+03 | 1.30E+03 | 1.30E+03 | 1.30E+03 | 1.30E+03 |
| Mean | 1.21E+04 | 1.31E+03 | 2.14E+03 | 1.31E+03 | 1.31E+03 | |
| Std | 1.28E+04 | 3.07E+00 | 3.45E+03 | 3.27E+00 | 3.48E+00 | |
| F13 | Best | 1.43E+03 | 1.40E+03 | 1.40E+03 | 1.40E+03 | 1.40E+03 |
| Mean | 1.46E+03 | 1.40E+03 | 1.41E+03 | 1.40E+03 | 1.40E+03 | |
| Std | 8.22E+01 | 2.44E+00 | 5.39E+00 | 2.23E+00 | 1.30E+00 | |
| F14 | Best | 1.51E+03 | 1.50E+03 | 1.50E+03 | 1.50E+03 | 1.50E+03 |
| Mean | 2.11E+03 | 1.50E+03 | 1.57E+03 | 1.50E+03 | 1.50E+03 | |
| Std | 1.06E+03 | 4.71E-01 | 4.44E+02 | 2.04E+00 | 8.30E-01 | |
| F15 | Best | 1.60E+03 | 1.60E+03 | 1.60E+03 | 1.60E+03 | 1.60E+03 |
| Mean | 1.69E+03 | 1.62E+03 | 1.67E+03 | 1.61E+03 | 1.62E+03 | |
| Std | 8.85E+01 | 3.93E+01 | 9.20E+01 | 2.18E+01 | 3.84E+01 | |
| F16 | Best | 1.70E+03 | 1.70E+03 | 1.70E+03 | 1.70E+03 | 1.70E+03 |
| Mean | 1.75E+03 | 1.72E+03 | 1.72E+03 | 1.71E+03 | 1.71E+03 | |
| Std | 3.81E+01 | 7.84E+00 | 1.93E+01 | 8.46E+00 | 8.05E+00 | |
| F17 | Best | 2.50E+03 | 1.80E+03 | 1.80E+03 | 1.80E+03 | 1.80E+03 |
| Mean | 2.60E+04 | 1.80E+03 | 4.17E+03 | 1.80E+03 | 1.80E+03 | |
| Std | 1.39E+04 | 2.92E+00 | 4.66E+03 | 6.71E+00 | 1.03E+00 | |
| F18 | Best | 1.91E+03 | 1.90E+03 | 1.90E+03 | 1.90E+03 | 1.90E+03 |
| Mean | 5.16E+03 | 1.90E+03 | 1.90E+03 | 1.90E+03 | 1.90E+03 | |
| Std | 5.11E+03 | 6.56E-01 | 4.29E+00 | 7.95E-01 | 5.99E-01 | |
| F19 | Best | 2.00E+03 | 2.00E+03 | 2.00E+03 | 2.00E+03 | 2.00E+03 |
| Mean | 2.03E+03 | 2.00E+03 | 2.00E+03 | 2.01E+03 | 2.00E+03 | |
| Std | 1.25E+01 | 2.43E+00 | 5.57E+00 | 8.12E+00 | 2.27E+00 | |
| F20 | Best | 2.20E+03 | 2.20E+03 | 2.20E+03 | 2.20E+03 | 2.20E+03 |
| Mean | 2.29E+03 | 2.28E+03 | 2.29E+03 | 2.28E+03 | 2.29E+03 | |
| Std | 5.20E+01 | 5.03E+01 | 4.68E+01 | 4.76E+01 | 4.37E+01 | |
| F21 | Best | 2.21E+03 | 2.20E+03 | 2.22E+03 | 2.20E+03 | 2.22E+03 |
| Mean | 2.29E+03 | 2.29E+03 | 2.30E+03 | 2.29E+03 | 2.30E+03 | |
| Std | 2.75E+01 | 2.83E+01 | 1.41E+01 | 2.20E+01 | 1.51E+01 | |
| F22 | Best | 2.61E+03 | 2.60E+03 | 2.61E+03 | 2.30E+03 | 2.60E+03 |
| Mean | 2.62E+03 | 2.61E+03 | 2.62E+03 | 2.60E+03 | 2.61E+03 | |
| Std | 5.96E+00 | 3.60E+00 | 7.70E+00 | 4.35E+01 | 3.01E+00 | |
| F23 | Best | 2.50E+03 | 2.50E+03 | 2.50E+03 | 2.50E+03 | 2.50E+03 |
| Mean | 2.75E+03 | 2.73E+03 | 2.64E+03 | 2.70E+03 | 2.69E+03 | |
| Std | 3.75E+01 | 5.75E+01 | 1.21E+02 | 8.69E+01 | 9.53E+01 | |
| F24 | Best | 2.90E+03 | 2.90E+03 | 2.90E+03 | 2.90E+03 | 2.90E+03 |
| Mean | 2.93E+03 | 2.92E+03 | 2.93E+03 | 2.93E+03 | 2.92E+03 | |
| Std | 2.93E+01 | 2.28E+01 | 2.33E+01 | 2.11E+01 | 2.28E+01 | |
| F25 | Best | 2.90E+03 | 2.80E+03 | 2.60E+03 | 2.90E+03 | 2.60E+03 |
| Mean | 3.12E+03 | 2.92E+03 | 2.96E+03 | 2.91E+03 | 2.92E+03 | |
| Std | 3.74E+02 | 1.28E+02 | 2.33E+02 | 2.38E+01 | 1.42E+02 | |
| F26 | Best | 3.09E+03 | 3.09E+03 | 3.09E+03 | 3.09E+03 | 3.09E+03 |
| Mean | 3.09E+03 | 3.09E+03 | 3.09E+03 | 3.09E+03 | 3.09E+03 | |
| Std | 1.31E+00 | 3.32E-01 | 1.03E+01 | 1.66E+00 | 1.38E+00 | |
| F27 | Best | 3.16E+03 | 3.10E+03 | 3.10E+03 | 3.10E+03 | 3.10E+03 |
| Mean | 3.32E+03 | 3.30E+03 | 3.32E+03 | 3.29E+03 | 3.25E+03 | |
| Std | 1.44E+02 | 1.82E+02 | 1.50E+02 | 1.27E+02 | 1.50E+02 | |
| F28 | Best | 3.13E+03 | 3.13E+03 | 3.13E+03 | 3.13E+03 | 3.13E+03 |
| Mean | 3.20E+03 | 3.13E+03 | 3.18E+03 | 3.13E+03 | 3.13E+03 | |
| Std | 6.40E+01 | 4.34E+00 | 4.14E+01 | 4.39E+00 | 5.32E+00 | |
| F29 | Best | 6.14E+03 | 3.40E+03 | 3.57E+03 | 3.46E+03 | 3.42E+03 |
| Mean | 1.71E+05 | 3.55E+04 | 1.63E+05 | 2.29E+05 | 1.32E+05 | |
| Std | 3.28E+05 | 1.60E+05 | 3.37E+05 | 3.96E+05 | 3.00E+05 |
Table A2.
Statistical results obtained from EMSMA and EMSMA variants for CEC 2017 (Dim = 30).
Table A2.
Statistical results obtained from EMSMA and EMSMA variants for CEC 2017 (Dim = 30).
| Function | Index | SMA | EMSMA-1 | EMSMA-2 | EMSMA-3 | EMSMA |
|---|---|---|---|---|---|---|
| F1 | Best | 1.04E+03 | 1.03E+02 | 1.10E+02 | 5.43E+02 | 1.09E+02 |
| Mean | 8.18E+03 | 3.28E+03 | 3.37E+03 | 1.38E+04 | 3.60E+03 | |
| Std | 6.79E+03 | 3.94E+03 | 3.60E+03 | 1.22E+04 | 4.28E+03 | |
| F2 | Best | 3.81E+02 | 3.00E+02 | 3.01E+02 | 3.11E+02 | 3.01E+02 |
| Mean | 1.11E+03 | 3.02E+02 | 3.10E+02 | 3.59E+02 | 3.05E+02 | |
| Std | 9.08E+02 | 7.49E-01 | 6.13E+00 | 5.79E+01 | 3.07E+00 | |
| F3 | Best | 4.59E+02 | 4.04E+02 | 4.00E+02 | 4.71E+02 | 4.00E+02 |
| Mean | 4.98E+02 | 4.70E+02 | 4.19E+02 | 5.03E+02 | 4.12E+02 | |
| Std | 1.87E+01 | 3.84E+01 | 2.60E+01 | 1.99E+01 | 2.13E+01 | |
| F4 | Best | 5.56E+02 | 5.30E+02 | 5.43E+02 | 5.24E+02 | 5.62E+02 |
| Mean | 6.05E+02 | 5.97E+02 | 6.23E+02 | 5.42E+02 | 6.14E+02 | |
| Std | 2.91E+01 | 3.63E+01 | 3.30E+01 | 1.01E+01 | 2.64E+01 | |
| F5 | Best | 6.01E+02 | 6.00E+02 | 6.00E+02 | 6.01E+02 | 6.00E+02 |
| Mean | 6.05E+02 | 6.00E+02 | 6.00E+02 | 6.03E+02 | 6.00E+02 | |
| Std | 3.48E+00 | 2.28E-02 | 4.66E-03 | 7.16E-01 | 3.60E-03 | |
| F6 | Best | 8.05E+02 | 7.74E+02 | 7.83E+02 | 7.51E+02 | 7.77E+02 |
| Mean | 8.48E+02 | 8.53E+02 | 8.65E+02 | 7.77E+02 | 8.64E+02 | |
| Std | 2.84E+01 | 3.18E+01 | 3.72E+01 | 1.31E+01 | 3.78E+01 | |
| F7 | Best | 8.62E+02 | 8.39E+02 | 8.59E+02 | 8.24E+02 | 8.59E+02 |
| Mean | 9.08E+02 | 9.05E+02 | 9.05E+02 | 8.46E+02 | 9.04E+02 | |
| Std | 2.83E+01 | 3.22E+01 | 2.35E+01 | 1.24E+01 | 2.27E+01 | |
| F8 | Best | 1.26E+03 | 9.08E+02 | 1.01E+03 | 9.03E+02 | 9.02E+02 |
| Mean | 3.56E+03 | 9.86E+02 | 1.90E+03 | 9.17E+02 | 1.05E+03 | |
| Std | 1.46E+03 | 7.90E+01 | 6.19E+02 | 1.37E+01 | 1.53E+02 | |
| F9 | Best | 3.23E+03 | 2.53E+03 | 2.86E+03 | 2.57E+03 | 2.30E+03 |
| Mean | 4.59E+03 | 4.05E+03 | 4.02E+03 | 4.15E+03 | 3.99E+03 | |
| Std | 6.33E+02 | 5.97E+02 | 5.20E+02 | 6.24E+02 | 5.70E+02 | |
| F10 | Best | 1.15E+03 | 1.12E+03 | 1.12E+03 | 1.15E+03 | 1.12E+03 |
| Mean | 1.26E+03 | 1.16E+03 | 1.16E+03 | 1.23E+03 | 1.16E+03 | |
| Std | 5.43E+01 | 3.11E+01 | 2.34E+01 | 4.26E+01 | 3.07E+01 | |
| F11 | Best | 3.92E+05 | 6.06E+03 | 1.47E+04 | 1.11E+04 | 7.96E+03 |
| Mean | 2.28E+06 | 9.58E+04 | 6.95E+04 | 2.47E+05 | 6.62E+04 | |
| Std | 1.68E+06 | 1.54E+05 | 3.70E+04 | 2.12E+05 | 5.04E+04 | |
| F12 | Best | 7.65E+03 | 1.49E+03 | 1.35E+03 | 1.45E+03 | 1.33E+03 |
| Mean | 3.24E+04 | 8.56E+03 | 7.93E+03 | 4.71E+03 | 1.45E+03 | |
| Std | 2.51E+04 | 1.77E+04 | 1.07E+04 | 9.70E+03 | 1.30E+02 | |
| F13 | Best | 1.85E+03 | 1.43E+03 | 1.44E+03 | 1.44E+03 | 1.42E+03 |
| Mean | 7.55E+04 | 1.46E+03 | 1.48E+03 | 1.47E+03 | 1.44E+03 | |
| Std | 4.72E+04 | 1.67E+01 | 3.30E+01 | 2.01E+01 | 1.20E+01 | |
| F14 | Best | 1.87E+03 | 1.53E+03 | 1.51E+03 | 1.55E+03 | 1.51E+03 |
| Mean | 2.71E+04 | 3.56E+03 | 1.60E+03 | 1.65E+03 | 1.54E+03 | |
| Std | 1.51E+04 | 8.00E+03 | 1.84E+02 | 5.22E+01 | 2.47E+01 | |
| F15 | Best | 1.86E+03 | 1.96E+03 | 1.92E+03 | 1.63E+03 | 1.61E+03 |
| Mean | 2.56E+03 | 2.33E+03 | 2.43E+03 | 1.99E+03 | 2.25E+03 | |
| Std | 2.94E+02 | 2.32E+02 | 3.06E+02 | 2.16E+02 | 3.03E+02 | |
| F16 | Best | 1.92E+03 | 1.75E+03 | 1.74E+03 | 1.74E+03 | 1.72E+03 |
| Mean | 2.29E+03 | 1.95E+03 | 1.99E+03 | 1.82E+03 | 1.83E+03 | |
| Std | 2.08E+02 | 1.86E+02 | 2.00E+02 | 8.91E+01 | 8.18E+01 | |
| F17 | Best | 1.21E+05 | 1.85E+03 | 2.73E+03 | 1.89E+03 | 1.83E+03 |
| Mean | 1.08E+06 | 1.91E+03 | 2.59E+04 | 4.92E+03 | 6.42E+03 | |
| Std | 9.27E+05 | 3.13E+01 | 1.78E+04 | 4.34E+03 | 5.52E+03 | |
| F18 | Best | 2.08E+03 | 1.91E+03 | 1.91E+03 | 1.92E+03 | 1.91E+03 |
| Mean | 3.26E+04 | 3.93E+03 | 2.09E+03 | 1.95E+03 | 1.92E+03 | |
| Std | 2.20E+04 | 8.36E+03 | 6.14E+02 | 1.93E+01 | 7.12E+00 | |
| F19 | Best | 2.08E+03 | 2.04E+03 | 2.04E+03 | 2.03E+03 | 2.03E+03 |
| Mean | 2.52E+03 | 2.32E+03 | 2.35E+03 | 2.17E+03 | 2.20E+03 | |
| Std | 1.86E+02 | 1.82E+02 | 2.07E+02 | 1.48E+02 | 1.37E+02 | |
| F20 | Best | 2.35E+03 | 2.32E+03 | 2.35E+03 | 2.33E+03 | 2.35E+03 |
| Mean | 2.41E+03 | 2.40E+03 | 2.41E+03 | 2.34E+03 | 2.40E+03 | |
| Std | 2.82E+01 | 3.40E+01 | 3.19E+01 | 9.61E+00 | 2.36E+01 | |
| F21 | Best | 2.30E+03 | 2.30E+03 | 2.30E+03 | 2.30E+03 | 2.30E+03 |
| Mean | 5.78E+03 | 3.21E+03 | 4.76E+03 | 3.42E+03 | 3.95E+03 | |
| Std | 8.18E+02 | 1.50E+03 | 1.61E+03 | 1.57E+03 | 1.80E+03 | |
| F22 | Best | 2.71E+03 | 2.68E+03 | 2.72E+03 | 2.67E+03 | 2.69E+03 |
| Mean | 2.76E+03 | 2.77E+03 | 2.78E+03 | 2.69E+03 | 2.76E+03 | |
| Std | 2.81E+01 | 2.87E+01 | 3.31E+01 | 1.25E+01 | 3.27E+01 | |
| F23 | Best | 2.87E+03 | 2.86E+03 | 2.87E+03 | 2.83E+03 | 2.86E+03 |
| Mean | 2.93E+03 | 2.93E+03 | 2.97E+03 | 2.86E+03 | 2.91E+03 | |
| Std | 3.12E+01 | 3.81E+01 | 5.07E+01 | 1.26E+01 | 3.23E+01 | |
| F24 | Best | 2.88E+03 | 2.88E+03 | 2.88E+03 | 2.88E+03 | 2.88E+03 |
| Mean | 2.89E+03 | 2.89E+03 | 2.90E+03 | 2.90E+03 | 2.89E+03 | |
| Std | 1.75E+01 | 3.54E+00 | 1.67E+01 | 1.88E+01 | 9.62E+00 | |
| F25 | Best | 4.23E+03 | 2.80E+03 | 2.80E+03 | 2.81E+03 | 2.80E+03 |
| Mean | 4.82E+03 | 4.62E+03 | 4.41E+03 | 4.03E+03 | 4.28E+03 | |
| Std | 2.95E+02 | 6.27E+02 | 1.21E+03 | 2.21E+02 | 8.81E+02 | |
| F26 | Best | 3.20E+03 | 3.18E+03 | 3.20E+03 | 3.18E+03 | 3.19E+03 |
| Mean | 3.22E+03 | 3.21E+03 | 3.23E+03 | 3.22E+03 | 3.22E+03 | |
| Std | 1.63E+01 | 1.25E+01 | 1.68E+01 | 1.21E+01 | 1.33E+01 | |
| F27 | Best | 3.20E+03 | 3.10E+03 | 3.10E+03 | 3.20E+03 | 3.10E+03 |
| Mean | 3.25E+03 | 3.15E+03 | 3.13E+03 | 3.24E+03 | 3.13E+03 | |
| Std | 4.23E+01 | 5.09E+01 | 5.09E+01 | 2.45E+01 | 5.31E+01 | |
| F28 | Best | 3.45E+03 | 3.32E+03 | 3.37E+03 | 3.35E+03 | 3.28E+03 |
| Mean | 3.83E+03 | 3.59E+03 | 3.63E+03 | 3.50E+03 | 3.47E+03 | |
| Std | 2.07E+02 | 1.70E+02 | 1.55E+02 | 9.03E+01 | 1.19E+02 | |
| F29 | Best | 9.77E+03 | 5.72E+03 | 5.36E+03 | 5.69E+03 | 5.03E+03 |
| Mean | 2.75E+04 | 1.06E+04 | 9.35E+03 | 1.05E+04 | 7.46E+03 | |
| Std | 1.13E+04 | 5.60E+03 | 4.16E+03 | 4.42E+03 | 5.81E+03 |
Table A3.
Statistical results obtained from EMSMA and EMSMA variants for CEC 2017 (Dim = 50).
Table A3.
Statistical results obtained from EMSMA and EMSMA variants for CEC 2017 (Dim = 50).
| Function | Index | SMA | EMSMA-1 | EMSMA-2 | EMSMA-3 | EMSMA |
|---|---|---|---|---|---|---|
| F1 | Best | 6.43E+04 | 1.33E+02 | 1.48E+02 | 2.38E+05 | 1.08E+02 |
| Mean | 1.65E+05 | 4.32E+03 | 3.90E+03 | 1.05E+06 | 3.37E+03 | |
| Std | 5.83E+04 | 5.43E+03 | 3.95E+03 | 6.08E+05 | 3.52E+03 | |
| F2 | Best | 1.20E+04 | 4.43E+02 | 4.71E+02 | 4.22E+02 | 3.66E+02 |
| Mean | 3.23E+04 | 1.26E+03 | 1.89E+03 | 1.61E+03 | 7.04E+02 | |
| Std | 1.33E+04 | 5.72E+02 | 1.10E+03 | 1.21E+03 | 4.08E+02 | |
| F3 | Best | 4.72E+02 | 4.00E+02 | 4.00E+02 | 4.70E+02 | 4.00E+02 |
| Mean | 5.89E+02 | 4.95E+02 | 4.50E+02 | 5.90E+02 | 4.55E+02 | |
| Std | 3.83E+01 | 4.92E+01 | 3.78E+01 | 4.98E+01 | 4.50E+01 | |
| F4 | Best | 6.76E+02 | 5.95E+02 | 6.62E+02 | 5.79E+02 | 6.67E+02 |
| Mean | 7.59E+02 | 7.56E+02 | 7.30E+02 | 6.13E+02 | 7.42E+02 | |
| Std | 4.52E+01 | 7.02E+01 | 4.24E+01 | 2.04E+01 | 3.96E+01 | |
| F5 | Best | 6.12E+02 | 6.00E+02 | 6.00E+02 | 6.04E+02 | 6.00E+02 |
| Mean | 6.33E+02 | 6.00E+02 | 6.00E+02 | 6.06E+02 | 6.00E+02 | |
| Std | 1.27E+01 | 5.98E-03 | 5.82E-03 | 1.19E+00 | 5.58E-03 | |
| F6 | Best | 9.59E+02 | 8.90E+02 | 8.98E+02 | 8.30E+02 | 8.92E+02 |
| Mean | 1.03E+03 | 1.02E+03 | 1.00E+03 | 8.76E+02 | 1.01E+03 | |
| Std | 4.49E+01 | 5.99E+01 | 5.92E+01 | 2.72E+01 | 5.16E+01 | |
| F7 | Best | 9.43E+02 | 8.84E+02 | 9.37E+02 | 8.78E+02 | 9.50E+02 |
| Mean | 1.04E+03 | 1.03E+03 | 1.04E+03 | 9.14E+02 | 1.03E+03 | |
| Std | 4.82E+01 | 6.68E+01 | 4.80E+01 | 2.53E+01 | 4.43E+01 | |
| F8 | Best | 4.96E+03 | 1.05E+03 | 2.07E+03 | 9.52E+02 | 1.45E+03 |
| Mean | 1.20E+04 | 2.06E+03 | 5.72E+03 | 1.24E+03 | 3.71E+03 | |
| Std | 3.71E+03 | 6.47E+02 | 2.14E+03 | 2.88E+02 | 1.67E+03 | |
| F9 | Best | 5.31E+03 | 4.32E+03 | 4.75E+03 | 4.95E+03 | 4.45E+03 |
| Mean | 7.08E+03 | 6.12E+03 | 6.13E+03 | 7.45E+03 | 5.99E+03 | |
| Std | 8.11E+02 | 7.22E+02 | 5.25E+02 | 1.03E+03 | 7.57E+02 | |
| F10 | Best | 1.23E+03 | 1.16E+03 | 1.17E+03 | 1.29E+03 | 1.17E+03 |
| Mean | 1.40E+03 | 1.23E+03 | 1.21E+03 | 1.42E+03 | 1.21E+03 | |
| Std | 8.34E+01 | 3.25E+01 | 2.98E+01 | 8.33E+01 | 2.97E+01 | |
| F11 | Best | 2.17E+06 | 3.76E+05 | 7.99E+04 | 6.85E+05 | 1.32E+05 |
| Mean | 1.73E+07 | 2.26E+06 | 9.85E+05 | 6.49E+06 | 8.01E+05 | |
| Std | 8.46E+06 | 1.39E+06 | 7.05E+05 | 4.31E+06 | 5.51E+05 | |
| F12 | Best | 4.28E+04 | 1.44E+03 | 1.44E+03 | 3.58E+03 | 1.45E+03 |
| Mean | 7.08E+04 | 1.47E+04 | 8.45E+03 | 1.15E+04 | 5.50E+03 | |
| Std | 1.78E+04 | 1.25E+04 | 8.18E+03 | 7.48E+03 | 4.82E+03 | |
| F13 | Best | 9.21E+04 | 1.48E+03 | 1.54E+03 | 1.51E+03 | 1.46E+03 |
| Mean | 4.00E+05 | 1.57E+03 | 3.82E+03 | 1.63E+03 | 1.52E+03 | |
| Std | 2.12E+05 | 4.21E+01 | 5.22E+03 | 7.13E+01 | 3.11E+01 | |
| F14 | Best | 4.62E+03 | 1.83E+03 | 1.55E+03 | 1.91E+03 | 1.54E+03 |
| Mean | 2.71E+04 | 7.90E+03 | 3.44E+03 | 2.65E+03 | 1.63E+03 | |
| Std | 1.12E+04 | 8.50E+03 | 4.29E+03 | 1.37E+03 | 1.07E+02 | |
| F15 | Best | 2.58E+03 | 2.38E+03 | 2.54E+03 | 1.94E+03 | 2.08E+03 |
| Mean | 3.40E+03 | 3.40E+03 | 3.41E+03 | 2.56E+03 | 2.99E+03 | |
| Std | 3.44E+02 | 4.64E+02 | 4.49E+02 | 3.03E+02 | 4.76E+02 | |
| F16 | Best | 2.41E+03 | 2.14E+03 | 2.15E+03 | 1.91E+03 | 2.03E+03 |
| Mean | 3.31E+03 | 2.79E+03 | 2.90E+03 | 2.46E+03 | 2.60E+03 | |
| Std | 3.30E+02 | 3.38E+02 | 3.25E+02 | 2.39E+02 | 3.09E+02 | |
| F17 | Best | 3.30E+05 | 2.60E+03 | 2.60E+04 | 9.67E+03 | 6.42E+03 |
| Mean | 3.24E+06 | 5.28E+03 | 8.02E+04 | 4.46E+04 | 3.14E+04 | |
| Std | 2.11E+06 | 2.50E+03 | 4.28E+04 | 4.38E+04 | 1.87E+04 | |
| F18 | Best | 2.14E+03 | 1.99E+03 | 1.93E+03 | 2.00E+03 | 1.92E+03 |
| Mean | 1.61E+04 | 1.70E+04 | 2.96E+03 | 2.48E+03 | 1.95E+03 | |
| Std | 1.74E+04 | 1.56E+04 | 4.92E+03 | 1.27E+03 | 2.36E+01 | |
| F19 | Best | 2.58E+03 | 2.15E+03 | 2.25E+03 | 2.16E+03 | 2.25E+03 |
| Mean | 3.25E+03 | 2.96E+03 | 3.05E+03 | 2.58E+03 | 2.77E+03 | |
| Std | 2.96E+02 | 2.96E+02 | 3.26E+02 | 2.16E+02 | 2.48E+02 | |
| F20 | Best | 2.46E+03 | 2.37E+03 | 2.46E+03 | 2.37E+03 | 2.45E+03 |
| Mean | 2.53E+03 | 2.52E+03 | 2.54E+03 | 2.41E+03 | 2.52E+03 | |
| Std | 4.69E+01 | 4.62E+01 | 4.93E+01 | 1.90E+01 | 3.79E+01 | |
| F21 | Best | 7.18E+03 | 6.59E+03 | 6.55E+03 | 6.93E+03 | 6.46E+03 |
| Mean | 9.05E+03 | 8.13E+03 | 8.03E+03 | 8.95E+03 | 8.34E+03 | |
| Std | 9.69E+02 | 7.82E+02 | 7.57E+02 | 9.99E+02 | 7.90E+02 | |
| F22 | Best | 2.87E+03 | 2.85E+03 | 2.88E+03 | 2.77E+03 | 2.90E+03 |
| Mean | 2.97E+03 | 2.99E+03 | 2.99E+03 | 2.82E+03 | 3.00E+03 | |
| Std | 4.62E+01 | 5.45E+01 | 5.35E+01 | 2.25E+01 | 4.69E+01 | |
| F23 | Best | 3.06E+03 | 2.96E+03 | 3.15E+03 | 2.95E+03 | 2.99E+03 |
| Mean | 3.15E+03 | 3.07E+03 | 3.30E+03 | 2.98E+03 | 3.13E+03 | |
| Std | 5.73E+01 | 8.89E+01 | 1.16E+02 | 2.22E+01 | 8.68E+01 | |
| F24 | Best | 2.96E+03 | 2.96E+03 | 2.96E+03 | 2.99E+03 | 2.93E+03 |
| Mean | 3.06E+03 | 3.06E+03 | 3.04E+03 | 3.09E+03 | 3.03E+03 | |
| Std | 3.26E+01 | 3.60E+01 | 4.44E+01 | 3.08E+01 | 4.08E+01 | |
| F25 | Best | 2.90E+03 | 2.90E+03 | 2.90E+03 | 2.92E+03 | 2.90E+03 |
| Mean | 5.68E+03 | 5.02E+03 | 6.68E+03 | 4.83E+03 | 5.79E+03 | |
| Std | 1.76E+03 | 1.56E+03 | 1.93E+03 | 4.49E+02 | 1.95E+03 | |
| F26 | Best | 3.30E+03 | 3.24E+03 | 3.29E+03 | 3.25E+03 | 3.25E+03 |
| Mean | 3.44E+03 | 3.36E+03 | 3.47E+03 | 3.40E+03 | 3.40E+03 | |
| Std | 8.23E+01 | 7.93E+01 | 8.47E+01 | 8.47E+01 | 7.71E+01 | |
| F27 | Best | 3.28E+03 | 3.26E+03 | 3.25E+03 | 3.28E+03 | 3.26E+03 |
| Mean | 3.35E+03 | 3.30E+03 | 3.30E+03 | 3.35E+03 | 3.29E+03 | |
| Std | 3.55E+01 | 2.50E+01 | 4.42E+01 | 3.41E+01 | 3.41E+01 | |
| F28 | Best | 3.94E+03 | 3.35E+03 | 3.55E+03 | 3.42E+03 | 3.34E+03 |
| Mean | 4.69E+03 | 4.02E+03 | 4.13E+03 | 3.85E+03 | 3.82E+03 | |
| Std | 3.38E+02 | 3.69E+02 | 3.75E+02 | 2.19E+02 | 2.67E+02 | |
| F29 | Best | 1.73E+06 | 5.93E+05 | 5.83E+05 | 9.65E+05 | 5.82E+05 |
| Mean | 3.05E+06 | 8.88E+05 | 6.89E+05 | 1.69E+06 | 6.25E+05 | |
| Std | 6.71E+05 | 2.64E+05 | 1.09E+05 | 4.32E+05 | 5.84E+04 |
Table A4.
Statistical results obtained from EMSMA and EMSMA variants for CEC 2017 (Dim = 100).
Table A4.
Statistical results obtained from EMSMA and EMSMA variants for CEC 2017 (Dim = 100).
| Function | Index | SMA | EMSMA-1 | EMSMA-2 | EMSMA-3 | EMSMA |
|---|---|---|---|---|---|---|
| F1 | Best | 9.78E+06 | 1.56E+02 | 1.95E+03 | 1.42E+07 | 1.51E+03 |
| Mean | 1.86E+07 | 7.31E+03 | 8.09E+03 | 3.47E+07 | 7.32E+03 | |
| Std | 4.56E+06 | 5.72E+03 | 5.88E+03 | 1.32E+07 | 5.98E+03 | |
| F2 | Best | 1.87E+05 | 4.39E+04 | 3.48E+04 | 5.21E+04 | 2.75E+04 |
| Mean | 4.03E+05 | 7.73E+04 | 6.56E+04 | 7.24E+04 | 4.54E+04 | |
| Std | 1.39E+05 | 1.49E+04 | 1.25E+04 | 1.32E+04 | 9.35E+03 | |
| F3 | Best | 6.73E+02 | 5.02E+02 | 4.12E+02 | 7.03E+02 | 4.73E+02 |
| Mean | 7.72E+02 | 6.27E+02 | 5.71E+02 | 8.15E+02 | 5.55E+02 | |
| Std | 6.34E+01 | 4.61E+01 | 6.22E+01 | 5.31E+01 | 5.89E+01 | |
| F4 | Best | 1.01E+03 | 1.04E+03 | 9.43E+02 | 7.78E+02 | 9.63E+02 |
| Mean | 1.21E+03 | 1.23E+03 | 1.11E+03 | 8.97E+02 | 1.12E+03 | |
| Std | 8.82E+01 | 9.93E+01 | 7.69E+01 | 5.23E+01 | 8.96E+01 | |
| F5 | Best | 6.32E+02 | 6.00E+02 | 6.00E+02 | 6.09E+02 | 6.00E+02 |
| Mean | 6.49E+02 | 6.00E+02 | 6.00E+02 | 6.14E+02 | 6.00E+02 | |
| Std | 8.37E+00 | 4.13E-03 | 3.50E-03 | 2.97E+00 | 4.38E-03 | |
| F6 | Best | 1.63E+03 | 1.25E+03 | 1.39E+03 | 1.15E+03 | 1.25E+03 |
| Mean | 1.91E+03 | 1.68E+03 | 1.60E+03 | 1.28E+03 | 1.59E+03 | |
| Std | 1.63E+02 | 1.88E+02 | 1.11E+02 | 5.97E+01 | 1.53E+02 | |
| F7 | Best | 1.29E+03 | 1.04E+03 | 1.29E+03 | 1.07E+03 | 1.28E+03 |
| Mean | 1.52E+03 | 1.45E+03 | 1.44E+03 | 1.18E+03 | 1.44E+03 | |
| Std | 1.20E+02 | 1.76E+02 | 6.64E+01 | 5.46E+01 | 9.06E+01 | |
| F8 | Best | 1.94E+04 | 6.67E+03 | 1.12E+04 | 5.02E+03 | 1.23E+04 |
| Mean | 3.00E+04 | 1.97E+04 | 1.85E+04 | 1.06E+04 | 1.81E+04 | |
| Std | 4.33E+03 | 5.15E+03 | 3.40E+03 | 3.30E+03 | 3.08E+03 | |
| F9 | Best | 1.28E+04 | 1.06E+04 | 1.08E+04 | 1.40E+04 | 1.02E+04 |
| Mean | 1.61E+04 | 1.32E+04 | 1.32E+04 | 1.86E+04 | 1.29E+04 | |
| Std | 1.47E+03 | 1.17E+03 | 1.12E+03 | 2.33E+03 | 1.11E+03 | |
| F10 | Best | 2.30E+03 | 1.31E+03 | 1.37E+03 | 2.36E+03 | 1.29E+03 |
| Mean | 3.23E+03 | 1.53E+03 | 1.50E+03 | 2.88E+03 | 1.49E+03 | |
| Std | 7.22E+02 | 9.51E+01 | 6.64E+01 | 3.10E+02 | 9.14E+01 | |
| F11 | Best | 3.52E+07 | 9.23E+05 | 7.44E+05 | 1.60E+07 | 8.56E+05 |
| Mean | 1.35E+08 | 3.97E+06 | 1.99E+06 | 5.53E+07 | 1.97E+06 | |
| Std | 5.93E+07 | 2.04E+06 | 8.44E+05 | 2.82E+07 | 8.77E+05 | |
| F12 | Best | 4.78E+04 | 1.64E+03 | 1.68E+03 | 2.19E+04 | 1.67E+03 |
| Mean | 4.91E+05 | 6.65E+03 | 5.61E+03 | 6.43E+04 | 5.15E+03 | |
| Std | 8.28E+05 | 7.07E+03 | 4.39E+03 | 2.56E+04 | 4.31E+03 | |
| F13 | Best | 4.03E+05 | 3.56E+03 | 1.26E+04 | 4.38E+03 | 3.39E+03 |
| Mean | 2.60E+06 | 9.02E+03 | 1.14E+05 | 5.82E+04 | 4.03E+04 | |
| Std | 1.44E+06 | 4.50E+03 | 8.17E+04 | 6.53E+04 | 3.50E+04 | |
| F14 | Best | 2.45E+04 | 1.70E+03 | 1.70E+03 | 4.49E+03 | 1.62E+03 |
| Mean | 1.70E+05 | 4.61E+03 | 3.55E+03 | 1.27E+04 | 4.04E+03 | |
| Std | 1.86E+05 | 4.87E+03 | 2.09E+03 | 6.21E+03 | 3.44E+03 | |
| F15 | Best | 4.98E+03 | 4.30E+03 | 3.53E+03 | 3.34E+03 | 3.75E+03 |
| Mean | 5.99E+03 | 6.05E+03 | 6.01E+03 | 4.68E+03 | 5.84E+03 | |
| Std | 5.41E+02 | 7.88E+02 | 7.20E+02 | 7.09E+02 | 8.07E+02 | |
| F16 | Best | 4.66E+03 | 3.68E+03 | 3.39E+03 | 3.35E+03 | 3.53E+03 |
| Mean | 5.67E+03 | 4.96E+03 | 4.89E+03 | 4.17E+03 | 4.78E+03 | |
| Std | 5.50E+02 | 5.92E+02 | 5.24E+02 | 3.70E+02 | 6.67E+02 | |
| F17 | Best | 2.09E+06 | 5.26E+04 | 3.86E+04 | 6.80E+04 | 4.63E+04 |
| Mean | 5.76E+06 | 1.09E+05 | 2.54E+05 | 2.24E+05 | 1.32E+05 | |
| Std | 2.74E+06 | 3.37E+04 | 1.06E+05 | 1.21E+05 | 5.26E+04 | |
| F18 | Best | 9.42E+03 | 2.02E+03 | 2.02E+03 | 2.66E+03 | 1.98E+03 |
| Mean | 7.10E+04 | 5.47E+03 | 5.62E+03 | 4.43E+04 | 4.24E+03 | |
| Std | 6.04E+04 | 5.72E+03 | 5.81E+03 | 5.42E+04 | 3.19E+03 | |
| F19 | Best | 4.53E+03 | 3.72E+03 | 3.78E+03 | 3.16E+03 | 3.93E+03 |
| Mean | 5.36E+03 | 5.02E+03 | 5.12E+03 | 4.17E+03 | 5.05E+03 | |
| Std | 4.59E+02 | 5.08E+02 | 5.60E+02 | 4.86E+02 | 5.74E+02 | |
| F20 | Best | 2.81E+03 | 2.76E+03 | 2.72E+03 | 2.57E+03 | 2.75E+03 |
| Mean | 3.01E+03 | 2.92E+03 | 2.90E+03 | 2.66E+03 | 2.89E+03 | |
| Std | 9.17E+01 | 8.10E+01 | 8.59E+01 | 4.21E+01 | 7.39E+01 | |
| F21 | Best | 1.50E+04 | 1.20E+04 | 1.35E+04 | 1.42E+04 | 1.32E+04 |
| Mean | 1.86E+04 | 1.60E+04 | 1.59E+04 | 2.03E+04 | 1.60E+04 | |
| Std | 1.44E+03 | 1.54E+03 | 1.37E+03 | 2.37E+03 | 1.31E+03 | |
| F22 | Best | 3.20E+03 | 3.07E+03 | 3.06E+03 | 3.04E+03 | 3.05E+03 |
| Mean | 3.36E+03 | 3.18E+03 | 3.18E+03 | 3.12E+03 | 3.18E+03 | |
| Std | 7.62E+01 | 4.96E+01 | 5.78E+01 | 4.46E+01 | 5.73E+01 | |
| F23 | Best | 3.78E+03 | 3.59E+03 | 3.68E+03 | 3.50E+03 | 3.67E+03 |
| Mean | 3.97E+03 | 3.83E+03 | 3.86E+03 | 3.59E+03 | 3.85E+03 | |
| Std | 1.09E+02 | 8.38E+01 | 9.54E+01 | 4.96E+01 | 8.22E+01 | |
| F24 | Best | 3.35E+03 | 3.18E+03 | 3.11E+03 | 3.31E+03 | 3.13E+03 |
| Mean | 3.45E+03 | 3.30E+03 | 3.27E+03 | 3.47E+03 | 3.26E+03 | |
| Std | 5.35E+01 | 5.03E+01 | 6.10E+01 | 7.43E+01 | 6.02E+01 | |
| F25 | Best | 3.13E+03 | 2.90E+03 | 2.90E+03 | 3.92E+03 | 2.90E+03 |
| Mean | 1.31E+04 | 1.13E+04 | 1.47E+04 | 9.21E+03 | 1.37E+04 | |
| Std | 1.76E+03 | 2.95E+03 | 4.04E+03 | 9.90E+02 | 3.97E+03 | |
| F26 | Best | 3.45E+03 | 3.44E+03 | 3.44E+03 | 3.41E+03 | 3.41E+03 |
| Mean | 3.62E+03 | 3.56E+03 | 3.56E+03 | 3.58E+03 | 3.54E+03 | |
| Std | 9.14E+01 | 7.41E+01 | 7.65E+01 | 9.78E+01 | 8.50E+01 | |
| F27 | Best | 3.46E+03 | 3.33E+03 | 3.27E+03 | 3.43E+03 | 3.30E+03 |
| Mean | 3.53E+03 | 3.39E+03 | 3.35E+03 | 3.57E+03 | 3.36E+03 | |
| Std | 3.99E+01 | 3.09E+01 | 3.78E+01 | 5.83E+01 | 2.81E+01 | |
| F28 | Best | 5.95E+03 | 5.79E+03 | 5.80E+03 | 5.35E+03 | 5.68E+03 |
| Mean | 7.33E+03 | 7.17E+03 | 6.93E+03 | 6.21E+03 | 6.85E+03 | |
| Std | 5.68E+02 | 6.20E+02 | 5.71E+02 | 5.30E+02 | 5.23E+02 | |
| F29 | Best | 4.15E+05 | 6.74E+03 | 6.36E+03 | 8.42E+05 | 6.23E+03 |
| Mean | 1.58E+06 | 1.63E+04 | 1.36E+04 | 2.73E+06 | 1.30E+04 | |
| Std | 9.09E+05 | 5.55E+03 | 5.52E+03 | 1.63E+06 | 5.24E+03 |
Table A5.
Statistical results obtained from EMSMA and EMSMA variants for CEC 2022 (Dim = 10).
Table A5.
Statistical results obtained from EMSMA and EMSMA variants for CEC 2022 (Dim = 10).
| Function | Index | SMA | EMSMA-1 | EMSMA-2 | EMSMA-3 | EMSMA |
|---|---|---|---|---|---|---|
| F1 | Best | 3.00E+02 | 3.00E+02 | 3.00E+02 | 3.00E+02 | 3.00E+02 |
| Mean | 3.00E+02 | 3.00E+02 | 3.00E+02 | 3.00E+02 | 3.00E+02 | |
| Std | 1.14E-03 | 1.99E-06 | 1.58E-01 | 6.20E-02 | 4.09E-07 | |
| F2 | Best | 4.01E+02 | 4.00E+02 | 4.00E+02 | 4.00E+02 | 4.00E+02 |
| Mean | 4.12E+02 | 4.06E+02 | 4.05E+02 | 4.05E+02 | 4.07E+02 | |
| Std | 1.66E+01 | 2.99E+00 | 3.60E+00 | 3.35E+00 | 9.70E+00 | |
| F3 | Best | 6.00E+02 | 6.00E+02 | 6.00E+02 | 6.00E+02 | 6.00E+02 |
| Mean | 6.00E+02 | 6.00E+02 | 6.00E+02 | 6.00E+02 | 6.00E+02 | |
| Std | 3.76E-02 | 6.03E-03 | 8.39E-03 | 1.72E-02 | 2.82E-03 | |
| F4 | Best | 8.09E+02 | 8.04E+02 | 8.06E+02 | 8.03E+02 | 8.03E+02 |
| Mean | 8.25E+02 | 8.13E+02 | 8.16E+02 | 8.07E+02 | 8.09E+02 | |
| Std | 9.75E+00 | 5.88E+00 | 7.06E+00 | 2.53E+00 | 3.86E+00 | |
| F5 | Best | 9.00E+02 | 9.00E+02 | 9.00E+02 | 9.00E+02 | 9.00E+02 |
| Mean | 9.01E+02 | 9.00E+02 | 9.00E+02 | 9.00E+02 | 9.00E+02 | |
| Std | 1.99E+00 | 5.01E-06 | 3.50E-01 | 2.18E-01 | 1.36E-01 | |
| F6 | Best | 1.92E+03 | 1.80E+03 | 1.80E+03 | 1.80E+03 | 1.80E+03 |
| Mean | 5.50E+03 | 1.80E+03 | 2.24E+03 | 1.80E+03 | 1.80E+03 | |
| Std | 2.35E+03 | 3.88E-01 | 8.38E+02 | 4.51E+00 | 1.24E+01 | |
| F7 | Best | 2.02E+03 | 2.00E+03 | 2.00E+03 | 2.00E+03 | 2.00E+03 |
| Mean | 2.02E+03 | 2.00E+03 | 2.01E+03 | 2.01E+03 | 2.00E+03 | |
| Std | 7.79E-01 | 7.88E+00 | 9.53E+00 | 8.52E+00 | 8.16E+00 | |
| F8 | Best | 2.20E+03 | 2.20E+03 | 2.20E+03 | 2.20E+03 | 2.20E+03 |
| Mean | 2.22E+03 | 2.21E+03 | 2.22E+03 | 2.20E+03 | 2.21E+03 | |
| Std | 2.79E+00 | 1.00E+01 | 7.54E+00 | 8.13E+00 | 8.79E+00 | |
| F9 | Best | 2.53E+03 | 2.53E+03 | 2.53E+03 | 2.53E+03 | 2.53E+03 |
| Mean | 2.53E+03 | 2.53E+03 | 2.53E+03 | 2.53E+03 | 2.53E+03 | |
| Std | 3.28E-04 | 3.39E-08 | 2.06E+01 | 2.41E-05 | 1.71E-11 | |
| F10 | Best | 2.50E+03 | 2.50E+03 | 2.50E+03 | 2.50E+03 | 2.50E+03 |
| Mean | 2.52E+03 | 2.51E+03 | 2.53E+03 | 2.50E+03 | 2.52E+03 | |
| Std | 4.24E+01 | 2.74E+01 | 5.17E+01 | 2.23E+01 | 4.23E+01 | |
| F11 | Best | 2.60E+03 | 2.60E+03 | 2.60E+03 | 2.60E+03 | 2.60E+03 |
| Mean | 2.79E+03 | 2.65E+03 | 2.83E+03 | 2.67E+03 | 2.79E+03 | |
| Std | 1.84E+02 | 1.10E+02 | 1.26E+02 | 1.23E+02 | 1.46E+02 | |
| F12 | Best | 2.86E+03 | 2.86E+03 | 2.86E+03 | 2.86E+03 | 2.86E+03 |
| Mean | 2.86E+03 | 2.86E+03 | 2.86E+03 | 2.86E+03 | 2.86E+03 | |
| Std | 1.50E+00 | 1.23E+00 | 1.38E+00 | 1.63E+00 | 1.69E+00 |
Table A6.
Statistical results obtained from EMSMA and EMSMA variants for CEC 2022 (Dim = 20).
Table A6.
Statistical results obtained from EMSMA and EMSMA variants for CEC 2022 (Dim = 20).
| Function | Index | SMA | EMSMA-1 | EMSMA-2 | EMSMA-3 | EMSMA |
|---|---|---|---|---|---|---|
| F1 | Best | 3.00E+02 | 3.00E+02 | 3.00E+02 | 3.01E+02 | 3.00E+02 |
| Mean | 3.00E+02 | 3.00E+02 | 3.02E+02 | 3.04E+02 | 3.00E+02 | |
| Std | 2.71E-01 | 3.45E-02 | 1.75E+00 | 3.04E+00 | 6.50E-01 | |
| F2 | Best | 4.05E+02 | 4.00E+02 | 4.00E+02 | 4.05E+02 | 4.00E+02 |
| Mean | 4.48E+02 | 4.44E+02 | 4.39E+02 | 4.54E+02 | 4.36E+02 | |
| Std | 1.60E+01 | 1.70E+01 | 2.11E+01 | 1.33E+01 | 2.19E+01 | |
| F3 | Best | 6.00E+02 | 6.00E+02 | 6.00E+02 | 6.00E+02 | 6.00E+02 |
| Mean | 6.01E+02 | 6.00E+02 | 6.00E+02 | 6.01E+02 | 6.00E+02 | |
| Std | 1.14E+00 | 8.39E-03 | 5.71E-03 | 3.34E-01 | 3.99E-03 | |
| F4 | Best | 8.21E+02 | 8.09E+02 | 8.33E+02 | 8.07E+02 | 8.16E+02 |
| Mean | 8.67E+02 | 8.46E+02 | 8.72E+02 | 8.20E+02 | 8.48E+02 | |
| Std | 2.38E+01 | 2.48E+01 | 1.90E+01 | 6.15E+00 | 1.87E+01 | |
| F5 | Best | 9.11E+02 | 9.00E+02 | 9.00E+02 | 9.00E+02 | 9.00E+02 |
| Mean | 1.53E+03 | 9.03E+02 | 1.26E+03 | 9.03E+02 | 9.04E+02 | |
| Std | 6.49E+02 | 5.05E+00 | 4.99E+02 | 2.73E+00 | 4.16E+00 | |
| F6 | Best | 2.02E+03 | 1.83E+03 | 1.83E+03 | 1.81E+03 | 1.81E+03 |
| Mean | 2.02E+04 | 1.86E+03 | 5.38E+03 | 2.20E+03 | 1.90E+03 | |
| Std | 6.72E+03 | 2.76E+01 | 5.04E+03 | 1.00E+03 | 1.32E+02 | |
| F7 | Best | 2.03E+03 | 2.01E+03 | 2.02E+03 | 2.02E+03 | 2.01E+03 |
| Mean | 2.07E+03 | 2.04E+03 | 2.06E+03 | 2.03E+03 | 2.03E+03 | |
| Std | 4.02E+01 | 3.28E+01 | 3.03E+01 | 5.15E+00 | 1.85E+01 | |
| F8 | Best | 2.22E+03 | 2.22E+03 | 2.22E+03 | 2.20E+03 | 2.21E+03 |
| Mean | 2.25E+03 | 2.22E+03 | 2.23E+03 | 2.22E+03 | 2.22E+03 | |
| Std | 4.95E+01 | 5.28E-01 | 2.88E+01 | 4.65E+00 | 1.86E+00 | |
| F9 | Best | 2.48E+03 | 2.48E+03 | 2.48E+03 | 2.48E+03 | 2.48E+03 |
| Mean | 2.48E+03 | 2.48E+03 | 2.48E+03 | 2.48E+03 | 2.48E+03 | |
| Std | 1.06E-01 | 9.19E-04 | 2.13E-02 | 1.76E-01 | 9.87E-04 | |
| F10 | Best | 2.50E+03 | 2.40E+03 | 2.40E+03 | 2.50E+03 | 2.40E+03 |
| Mean | 2.88E+03 | 2.46E+03 | 2.45E+03 | 2.61E+03 | 2.47E+03 | |
| Std | 2.79E+02 | 4.98E+01 | 4.97E+01 | 2.32E+02 | 5.87E+01 | |
| F11 | Best | 2.60E+03 | 2.60E+03 | 2.60E+03 | 2.90E+03 | 2.90E+03 |
| Mean | 2.95E+03 | 2.92E+03 | 2.89E+03 | 2.93E+03 | 2.90E+03 | |
| Std | 1.46E+02 | 6.11E+01 | 4.20E+01 | 7.64E+01 | 5.39E+00 | |
| F12 | Best | 2.93E+03 | 2.93E+03 | 2.93E+03 | 2.93E+03 | 2.93E+03 |
| Mean | 2.95E+03 | 2.94E+03 | 2.95E+03 | 2.94E+03 | 2.95E+03 | |
| Std | 1.01E+01 | 9.30E+00 | 1.59E+01 | 6.11E+00 | 1.11E+01 |
Table A7.
Statistical results derived from EMSMA and SMA variants for CEC 2017 (Dim = 10).
Table A7.
Statistical results derived from EMSMA and SMA variants for CEC 2017 (Dim = 10).
| Function | Index | EMSMA | SMA | DTSMA | ISMA | AOSMA | LSMA | ESMA | MSMA |
|---|---|---|---|---|---|---|---|---|---|
| F1 | Best | 1.00E+02 | 1.55E+03 | 1.15E+02 | 1.02E+02 | 1.01E+02 | 1.07E+02 | 1.04E+02 | 1.00E+02 |
| Mean | 2.13E+03 | 8.60E+03 | 6.19E+03 | 3.90E+03 | 7.35E+03 | 7.46E+03 | 6.96E+03 | 6.59E+03 | |
| Std | 2.56E+03 | 3.92E+03 | 4.12E+03 | 3.23E+03 | 4.56E+03 | 4.37E+03 | 4.22E+03 | 4.60E+03 | |
| F2 | Best | 3.00E+02 | 3.00E+02 | 3.00E+02 | 3.00E+02 | 3.00E+02 | 3.00E+02 | 3.00E+02 | 3.00E+02 |
| Mean | 3.00E+02 | 3.00E+02 | 3.00E+02 | 3.00E+02 | 3.00E+02 | 3.00E+02 | 3.00E+02 | 3.00E+02 | |
| Std | 3.92E-07 | 3.36E-03 | 2.88E-05 | 8.70E-02 | 2.15E-01 | 8.60E-04 | 8.20E-04 | 2.38E-04 | |
| F3 | Best | 4.00E+02 | 4.01E+02 | 4.00E+02 | 4.00E+02 | 4.01E+02 | 4.00E+02 | 4.01E+02 | 4.00E+02 |
| Mean | 4.00E+02 | 4.19E+02 | 4.03E+02 | 4.07E+02 | 4.14E+02 | 4.19E+02 | 4.16E+02 | 4.11E+02 | |
| Std | 8.39E-02 | 2.75E+01 | 7.55E-01 | 1.17E+01 | 2.28E+01 | 2.67E+01 | 2.55E+01 | 1.72E+01 | |
| F4 | Best | 5.01E+02 | 5.05E+02 | 5.02E+02 | 5.11E+02 | 5.11E+02 | 5.08E+02 | 5.04E+02 | 5.05E+02 |
| Mean | 5.08E+02 | 5.16E+02 | 5.13E+02 | 5.31E+02 | 5.28E+02 | 5.21E+02 | 5.17E+02 | 5.18E+02 | |
| Std | 3.25E+00 | 7.28E+00 | 5.89E+00 | 1.06E+01 | 1.10E+01 | 5.47E+00 | 5.90E+00 | 7.37E+00 | |
| F5 | Best | 6.00E+02 | 6.00E+02 | 6.00E+02 | 6.00E+02 | 6.00E+02 | 6.00E+02 | 6.00E+02 | 6.00E+02 |
| Mean | 6.00E+02 | 6.00E+02 | 6.00E+02 | 6.05E+02 | 6.03E+02 | 6.00E+02 | 6.00E+02 | 6.00E+02 | |
| Std | 1.04E-03 | 4.45E-02 | 5.36E-02 | 4.64E+00 | 4.37E+00 | 4.18E-01 | 2.01E-02 | 5.71E-01 | |
| F6 | Best | 7.11E+02 | 7.11E+02 | 7.10E+02 | 7.19E+02 | 7.17E+02 | 7.11E+02 | 7.12E+02 | 7.16E+02 |
| Mean | 7.20E+02 | 7.24E+02 | 7.24E+02 | 7.53E+02 | 7.44E+02 | 7.26E+02 | 7.24E+02 | 7.37E+02 | |
| Std | 4.57E+00 | 6.18E+00 | 6.42E+00 | 2.00E+01 | 1.48E+01 | 6.64E+00 | 5.83E+00 | 1.16E+01 | |
| F7 | Best | 8.03E+02 | 8.07E+02 | 8.03E+02 | 8.08E+02 | 8.08E+02 | 8.07E+02 | 8.05E+02 | 8.05E+02 |
| Mean | 8.09E+02 | 8.16E+02 | 8.15E+02 | 8.26E+02 | 8.25E+02 | 8.19E+02 | 8.15E+02 | 8.20E+02 | |
| Std | 3.07E+00 | 6.80E+00 | 6.77E+00 | 8.49E+00 | 8.70E+00 | 8.23E+00 | 5.46E+00 | 7.96E+00 | |
| F8 | Best | 9.00E+02 | 9.00E+02 | 9.00E+02 | 9.00E+02 | 9.00E+02 | 9.00E+02 | 9.00E+02 | 9.00E+02 |
| Mean | 9.00E+02 | 9.00E+02 | 9.00E+02 | 9.59E+02 | 9.84E+02 | 9.00E+02 | 9.00E+02 | 9.04E+02 | |
| Std | 1.09E-01 | 2.43E-02 | 1.23E-01 | 8.95E+01 | 1.49E+02 | 1.30E-01 | 2.67E-04 | 1.14E+01 | |
| F9 | Best | 1.02E+03 | 1.16E+03 | 1.15E+03 | 1.26E+03 | 1.19E+03 | 1.15E+03 | 1.14E+03 | 1.01E+03 |
| Mean | 1.37E+03 | 1.60E+03 | 1.40E+03 | 1.75E+03 | 1.68E+03 | 1.64E+03 | 1.56E+03 | 1.50E+03 | |
| Std | 1.55E+02 | 2.49E+02 | 1.13E+02 | 2.73E+02 | 2.92E+02 | 2.29E+02 | 2.42E+02 | 2.18E+02 | |
| F10 | Best | 1.10E+03 | 1.10E+03 | 1.10E+03 | 1.11E+03 | 1.10E+03 | 1.11E+03 | 1.10E+03 | 1.10E+03 |
| Mean | 1.10E+03 | 1.17E+03 | 1.11E+03 | 1.15E+03 | 1.19E+03 | 1.22E+03 | 1.11E+03 | 1.11E+03 | |
| Std | 1.91E+00 | 7.47E+01 | 6.32E+00 | 4.69E+01 | 7.92E+01 | 7.59E+01 | 1.92E+01 | 5.37E+00 | |
| F11 | Best | 1.20E+03 | 2.79E+03 | 1.72E+03 | 5.27E+03 | 5.65E+03 | 6.95E+03 | 2.39E+03 | 2.18E+03 |
| Mean | 2.40E+03 | 4.00E+04 | 2.19E+04 | 4.59E+05 | 4.41E+05 | 2.68E+05 | 4.37E+04 | 5.71E+04 | |
| Std | 2.33E+03 | 2.64E+04 | 2.05E+04 | 6.70E+05 | 5.56E+05 | 3.37E+05 | 5.09E+04 | 6.29E+04 | |
| F12 | Best | 1.30E+03 | 1.39E+03 | 1.33E+03 | 1.56E+03 | 2.07E+03 | 1.73E+03 | 1.33E+03 | 1.32E+03 |
| Mean | 1.31E+03 | 1.21E+04 | 1.08E+04 | 1.58E+04 | 1.42E+04 | 1.21E+04 | 1.10E+04 | 6.58E+03 | |
| Std | 3.48E+00 | 1.28E+04 | 1.11E+04 | 1.02E+04 | 1.22E+04 | 1.17E+04 | 1.21E+04 | 4.39E+03 | |
| F13 | Best | 1.40E+03 | 1.43E+03 | 1.40E+03 | 1.43E+03 | 1.47E+03 | 1.43E+03 | 1.41E+03 | 1.41E+03 |
| Mean | 1.40E+03 | 1.46E+03 | 1.44E+03 | 1.49E+03 | 1.72E+03 | 1.50E+03 | 1.91E+03 | 1.43E+03 | |
| Std | 1.30E+00 | 8.22E+01 | 1.13E+02 | 3.36E+01 | 7.08E+02 | 4.33E+01 | 1.41E+03 | 1.65E+01 | |
| F14 | Best | 1.50E+03 | 1.51E+03 | 1.50E+03 | 1.54E+03 | 1.59E+03 | 1.56E+03 | 1.52E+03 | 1.50E+03 |
| Mean | 1.50E+03 | 2.11E+03 | 1.55E+03 | 1.79E+03 | 2.86E+03 | 1.96E+03 | 4.82E+03 | 1.78E+03 | |
| Std | 8.30E-01 | 1.06E+03 | 9.07E+01 | 4.66E+02 | 1.60E+03 | 7.65E+02 | 2.93E+03 | 7.02E+02 | |
| F15 | Best | 1.60E+03 | 1.60E+03 | 1.60E+03 | 1.60E+03 | 1.61E+03 | 1.60E+03 | 1.60E+03 | 1.60E+03 |
| Mean | 1.62E+03 | 1.69E+03 | 1.65E+03 | 1.72E+03 | 1.73E+03 | 1.67E+03 | 1.72E+03 | 1.73E+03 | |
| Std | 3.84E+01 | 8.85E+01 | 5.11E+01 | 1.03E+02 | 1.10E+02 | 8.12E+01 | 9.74E+01 | 1.30E+02 | |
| F16 | Best | 1.70E+03 | 1.70E+03 | 1.70E+03 | 1.72E+03 | 1.72E+03 | 1.71E+03 | 1.70E+03 | 1.71E+03 |
| Mean | 1.71E+03 | 1.75E+03 | 1.73E+03 | 1.75E+03 | 1.76E+03 | 1.75E+03 | 1.74E+03 | 1.74E+03 | |
| Std | 8.05E+00 | 3.81E+01 | 1.15E+01 | 1.67E+01 | 3.07E+01 | 3.16E+01 | 1.97E+01 | 3.25E+01 | |
| F17 | Best | 1.80E+03 | 2.50E+03 | 2.09E+03 | 2.02E+03 | 6.55E+03 | 2.87E+03 | 2.02E+03 | 1.98E+03 |
| Mean | 1.80E+03 | 2.60E+04 | 2.23E+04 | 1.94E+04 | 2.81E+04 | 2.80E+04 | 2.27E+04 | 2.54E+04 | |
| Std | 1.03E+00 | 1.39E+04 | 1.37E+04 | 1.37E+04 | 1.47E+04 | 1.42E+04 | 1.26E+04 | 1.49E+04 | |
| F18 | Best | 1.90E+03 | 1.91E+03 | 1.90E+03 | 1.91E+03 | 1.92E+03 | 1.91E+03 | 1.91E+03 | 1.90E+03 |
| Mean | 1.90E+03 | 5.16E+03 | 1.96E+03 | 4.07E+03 | 8.63E+03 | 8.00E+03 | 1.30E+04 | 2.53E+03 | |
| Std | 5.99E-01 | 5.11E+03 | 1.17E+02 | 4.65E+03 | 6.86E+03 | 6.39E+03 | 1.01E+04 | 2.45E+03 | |
| F19 | Best | 2.00E+03 | 2.00E+03 | 2.00E+03 | 2.01E+03 | 2.02E+03 | 2.02E+03 | 2.00E+03 | 2.00E+03 |
| Mean | 2.00E+03 | 2.03E+03 | 2.01E+03 | 2.07E+03 | 2.08E+03 | 2.04E+03 | 2.02E+03 | 2.04E+03 | |
| Std | 2.27E+00 | 1.25E+01 | 9.95E+00 | 4.27E+01 | 5.48E+01 | 3.57E+01 | 2.84E+01 | 4.04E+01 | |
| F20 | Best | 2.20E+03 | 2.20E+03 | 2.20E+03 | 2.20E+03 | 2.20E+03 | 2.20E+03 | 2.20E+03 | 2.20E+03 |
| Mean | 2.29E+03 | 2.29E+03 | 2.22E+03 | 2.20E+03 | 2.29E+03 | 2.30E+03 | 2.30E+03 | 2.31E+03 | |
| Std | 4.37E+01 | 5.20E+01 | 4.60E+01 | 1.39E+00 | 6.04E+01 | 5.07E+01 | 4.97E+01 | 4.62E+01 | |
| F21 | Best | 2.22E+03 | 2.21E+03 | 2.21E+03 | 2.22E+03 | 2.20E+03 | 2.21E+03 | 2.20E+03 | 2.20E+03 |
| Mean | 2.30E+03 | 2.29E+03 | 2.30E+03 | 2.30E+03 | 2.34E+03 | 2.30E+03 | 2.29E+03 | 2.29E+03 | |
| Std | 1.51E+01 | 2.75E+01 | 2.32E+01 | 1.58E+01 | 2.21E+02 | 4.73E+01 | 2.53E+01 | 2.34E+01 | |
| F22 | Best | 2.60E+03 | 2.61E+03 | 2.61E+03 | 2.61E+03 | 2.61E+03 | 2.61E+03 | 2.61E+03 | 2.61E+03 |
| Mean | 2.61E+03 | 2.62E+03 | 2.62E+03 | 2.63E+03 | 2.62E+03 | 2.62E+03 | 2.62E+03 | 2.62E+03 | |
| Std | 3.01E+00 | 5.96E+00 | 5.83E+00 | 1.05E+01 | 8.03E+00 | 8.52E+00 | 6.95E+00 | 8.29E+00 | |
| F23 | Best | 2.50E+03 | 2.50E+03 | 2.50E+03 | 2.50E+03 | 2.50E+03 | 2.50E+03 | 2.50E+03 | 2.50E+03 |
| Mean | 2.69E+03 | 2.75E+03 | 2.72E+03 | 2.65E+03 | 2.70E+03 | 2.75E+03 | 2.76E+03 | 2.75E+03 | |
| Std | 9.53E+01 | 3.75E+01 | 8.71E+01 | 1.24E+02 | 1.13E+02 | 5.10E+01 | 3.76E+01 | 5.27E+01 | |
| F24 | Best | 2.90E+03 | 2.90E+03 | 2.90E+03 | 2.90E+03 | 2.90E+03 | 2.90E+03 | 2.90E+03 | 2.90E+03 |
| Mean | 2.92E+03 | 2.93E+03 | 2.92E+03 | 2.93E+03 | 2.94E+03 | 2.93E+03 | 2.93E+03 | 2.93E+03 | |
| Std | 2.28E+01 | 2.93E+01 | 2.61E+01 | 2.71E+01 | 3.16E+01 | 2.57E+01 | 3.29E+01 | 3.09E+01 | |
| F25 | Best | 2.60E+03 | 2.90E+03 | 2.90E+03 | 2.60E+03 | 2.80E+03 | 2.80E+03 | 2.90E+03 | 2.80E+03 |
| Mean | 2.92E+03 | 3.12E+03 | 2.93E+03 | 2.95E+03 | 3.05E+03 | 3.13E+03 | 3.07E+03 | 3.05E+03 | |
| Std | 1.42E+02 | 3.74E+02 | 3.78E+01 | 1.08E+02 | 2.94E+02 | 3.92E+02 | 3.15E+02 | 2.56E+02 | |
| F26 | Best | 3.09E+03 | 3.09E+03 | 3.09E+03 | 3.09E+03 | 3.09E+03 | 3.09E+03 | 3.09E+03 | 3.09E+03 |
| Mean | 3.09E+03 | 3.09E+03 | 3.09E+03 | 3.09E+03 | 3.09E+03 | 3.09E+03 | 3.09E+03 | 3.09E+03 | |
| Std | 1.38E+00 | 1.31E+00 | 2.12E+00 | 2.44E+00 | 2.39E+00 | 1.73E+00 | 1.18E+01 | 8.31E+00 | |
| F27 | Best | 3.10E+03 | 3.16E+03 | 3.10E+03 | 3.10E+03 | 3.17E+03 | 3.10E+03 | 3.10E+03 | 3.10E+03 |
| Mean | 3.25E+03 | 3.32E+03 | 3.23E+03 | 3.24E+03 | 3.41E+03 | 3.30E+03 | 3.35E+03 | 3.38E+03 | |
| Std | 1.50E+02 | 1.44E+02 | 1.46E+02 | 1.27E+02 | 1.46E+02 | 1.32E+02 | 1.56E+02 | 1.48E+02 | |
| F28 | Best | 3.13E+03 | 3.13E+03 | 3.13E+03 | 3.14E+03 | 3.14E+03 | 3.14E+03 | 3.13E+03 | 3.13E+03 |
| Mean | 3.13E+03 | 3.20E+03 | 3.16E+03 | 3.21E+03 | 3.23E+03 | 3.18E+03 | 3.19E+03 | 3.19E+03 | |
| Std | 5.32E+00 | 6.40E+01 | 2.51E+01 | 5.09E+01 | 7.13E+01 | 4.00E+01 | 5.72E+01 | 4.99E+01 | |
| F29 | Best | 3.42E+03 | 6.14E+03 | 3.94E+03 | 4.83E+03 | 4.34E+03 | 5.11E+03 | 5.34E+03 | 4.38E+03 |
| Mean | 1.32E+05 | 1.71E+05 | 1.33E+05 | 2.44E+05 | 3.79E+05 | 2.59E+04 | 1.56E+05 | 2.44E+05 | |
| Std | 3.00E+05 | 3.28E+05 | 3.10E+05 | 3.97E+05 | 5.90E+05 | 1.14E+05 | 3.44E+05 | 4.36E+05 |
Table A8.
Statistical results derived from EMSMA and SMA variants for CEC 2017 (Dim = 30).
Table A8.
Statistical results derived from EMSMA and SMA variants for CEC 2017 (Dim = 30).
| Function | Index | EMSMA | SMA | DTSMA | ISMA | AOSMA | LSMA | ESMA | MSMA |
|---|---|---|---|---|---|---|---|---|---|
| F1 | Best | 1.09E+02 | 1.04E+03 | 1.03E+02 | 1.27E+02 | 2.07E+02 | 1.46E+02 | 2.22E+02 | 1.48E+02 |
| Mean | 3.60E+03 | 8.18E+03 | 6.58E+03 | 5.08E+03 | 8.53E+03 | 6.39E+03 | 7.43E+03 | 1.23E+04 | |
| Std | 4.28E+03 | 6.79E+03 | 7.41E+03 | 5.94E+03 | 7.92E+03 | 5.94E+03 | 6.60E+03 | 2.49E+04 | |
| F2 | Best | 3.01E+02 | 3.81E+02 | 5.08E+02 | 9.51E+03 | 3.96E+03 | 6.65E+02 | 5.83E+02 | 2.65E+03 |
| Mean | 3.05E+02 | 1.11E+03 | 4.74E+03 | 1.69E+04 | 1.71E+04 | 2.81E+03 | 5.33E+03 | 1.11E+04 | |
| Std | 3.07E+00 | 9.08E+02 | 4.20E+03 | 4.79E+03 | 7.86E+03 | 1.53E+03 | 3.89E+03 | 6.96E+03 | |
| F3 | Best | 4.00E+02 | 4.59E+02 | 4.24E+02 | 4.73E+02 | 4.46E+02 | 4.36E+02 | 4.64E+02 | 4.59E+02 |
| Mean | 4.12E+02 | 4.98E+02 | 4.96E+02 | 5.11E+02 | 5.18E+02 | 4.98E+02 | 4.94E+02 | 4.94E+02 | |
| Std | 2.13E+01 | 1.87E+01 | 1.92E+01 | 2.45E+01 | 3.29E+01 | 1.78E+01 | 1.45E+01 | 1.80E+01 | |
| F4 | Best | 5.62E+02 | 5.56E+02 | 5.45E+02 | 6.21E+02 | 5.99E+02 | 5.47E+02 | 5.58E+02 | 5.67E+02 |
| Mean | 6.14E+02 | 6.05E+02 | 5.93E+02 | 7.04E+02 | 6.71E+02 | 6.07E+02 | 6.06E+02 | 6.40E+02 | |
| Std | 2.64E+01 | 2.91E+01 | 2.38E+01 | 4.53E+01 | 4.11E+01 | 2.77E+01 | 2.69E+01 | 3.18E+01 | |
| F5 | Best | 6.00E+02 | 6.01E+02 | 6.01E+02 | 6.37E+02 | 6.18E+02 | 6.01E+02 | 6.00E+02 | 6.04E+02 |
| Mean | 6.00E+02 | 6.05E+02 | 6.05E+02 | 6.53E+02 | 6.40E+02 | 6.16E+02 | 6.02E+02 | 6.14E+02 | |
| Std | 3.60E-03 | 3.48E+00 | 2.50E+00 | 7.86E+00 | 1.23E+01 | 1.14E+01 | 1.69E+00 | 6.90E+00 | |
| F6 | Best | 7.77E+02 | 8.05E+02 | 7.85E+02 | 8.65E+02 | 8.42E+02 | 7.88E+02 | 7.72E+02 | 8.08E+02 |
| Mean | 8.64E+02 | 8.48E+02 | 8.38E+02 | 1.05E+03 | 1.00E+03 | 8.58E+02 | 8.37E+02 | 9.07E+02 | |
| Std | 3.78E+01 | 2.84E+01 | 3.04E+01 | 9.57E+01 | 9.33E+01 | 4.22E+01 | 3.02E+01 | 5.16E+01 | |
| F7 | Best | 8.59E+02 | 8.62E+02 | 8.55E+02 | 8.99E+02 | 8.82E+02 | 8.58E+02 | 8.44E+02 | 8.71E+02 |
| Mean | 9.04E+02 | 9.08E+02 | 8.90E+02 | 9.57E+02 | 9.44E+02 | 9.12E+02 | 8.97E+02 | 9.26E+02 | |
| Std | 2.27E+01 | 2.83E+01 | 2.48E+01 | 2.54E+01 | 3.09E+01 | 3.10E+01 | 2.38E+01 | 2.96E+01 | |
| F8 | Best | 9.02E+02 | 1.26E+03 | 1.00E+03 | 2.79E+03 | 2.97E+03 | 1.02E+03 | 1.02E+03 | 1.90E+03 |
| Mean | 1.05E+03 | 3.56E+03 | 2.20E+03 | 4.29E+03 | 5.01E+03 | 3.12E+03 | 2.74E+03 | 3.47E+03 | |
| Std | 1.53E+02 | 1.46E+03 | 8.99E+02 | 8.20E+02 | 1.14E+03 | 1.59E+03 | 1.51E+03 | 8.89E+02 | |
| F9 | Best | 2.30E+03 | 3.23E+03 | 3.50E+03 | 3.89E+03 | 3.27E+03 | 3.58E+03 | 2.96E+03 | 3.15E+03 |
| Mean | 3.99E+03 | 4.59E+03 | 4.86E+03 | 5.20E+03 | 4.85E+03 | 4.97E+03 | 4.48E+03 | 4.53E+03 | |
| Std | 5.70E+02 | 6.33E+02 | 6.22E+02 | 6.36E+02 | 7.26E+02 | 7.51E+02 | 6.50E+02 | 6.58E+02 | |
| F10 | Best | 1.12E+03 | 1.15E+03 | 1.14E+03 | 1.16E+03 | 1.23E+03 | 1.20E+03 | 1.13E+03 | 1.14E+03 |
| Mean | 1.16E+03 | 1.26E+03 | 1.25E+03 | 1.28E+03 | 1.39E+03 | 1.37E+03 | 1.21E+03 | 1.24E+03 | |
| Std | 3.07E+01 | 5.43E+01 | 5.45E+01 | 5.36E+01 | 8.76E+01 | 6.60E+01 | 4.11E+01 | 5.12E+01 | |
| F11 | Best | 7.96E+03 | 3.92E+05 | 5.09E+04 | 3.06E+05 | 5.45E+05 | 1.77E+05 | 2.37E+05 | 1.62E+05 |
| Mean | 6.62E+04 | 2.28E+06 | 1.19E+06 | 7.52E+06 | 5.60E+06 | 5.57E+06 | 2.08E+06 | 1.95E+06 | |
| Std | 5.04E+04 | 1.68E+06 | 9.36E+05 | 6.22E+06 | 3.83E+06 | 4.08E+06 | 1.66E+06 | 1.28E+06 | |
| F12 | Best | 1.33E+03 | 7.65E+03 | 1.46E+03 | 1.26E+04 | 2.54E+04 | 4.26E+04 | 1.56E+03 | 1.92E+03 |
| Mean | 1.45E+03 | 3.24E+04 | 2.06E+04 | 1.35E+05 | 2.22E+05 | 2.50E+05 | 2.71E+04 | 2.70E+04 | |
| Std | 1.30E+02 | 2.51E+04 | 2.26E+04 | 9.82E+04 | 1.44E+05 | 1.60E+05 | 2.42E+04 | 2.55E+04 | |
| F13 | Best | 1.42E+03 | 1.85E+03 | 2.82E+03 | 1.74E+03 | 1.06E+04 | 6.58E+03 | 4.67E+03 | 2.28E+03 |
| Mean | 1.44E+03 | 7.55E+04 | 4.28E+04 | 3.73E+04 | 1.04E+05 | 6.02E+04 | 1.02E+05 | 9.13E+04 | |
| Std | 1.20E+01 | 4.72E+04 | 3.20E+04 | 3.60E+04 | 7.60E+04 | 4.33E+04 | 7.86E+04 | 7.47E+04 | |
| F14 | Best | 1.51E+03 | 1.87E+03 | 1.56E+03 | 6.98E+03 | 1.07E+04 | 4.36E+04 | 1.69E+03 | 1.68E+03 |
| Mean | 1.54E+03 | 2.71E+04 | 2.14E+04 | 4.58E+04 | 6.18E+04 | 1.40E+05 | 2.24E+04 | 1.33E+04 | |
| Std | 2.47E+01 | 1.51E+04 | 1.44E+04 | 3.27E+04 | 5.33E+04 | 7.92E+04 | 1.40E+04 | 1.36E+04 | |
| F15 | Best | 1.61E+03 | 1.86E+03 | 1.78E+03 | 2.19E+03 | 2.13E+03 | 2.02E+03 | 1.98E+03 | 1.88E+03 |
| Mean | 2.25E+03 | 2.56E+03 | 2.35E+03 | 3.06E+03 | 2.97E+03 | 2.67E+03 | 2.63E+03 | 2.66E+03 | |
| Std | 3.03E+02 | 2.94E+02 | 3.25E+02 | 3.88E+02 | 3.62E+02 | 3.45E+02 | 2.72E+02 | 3.66E+02 | |
| F16 | Best | 1.72E+03 | 1.92E+03 | 1.80E+03 | 1.96E+03 | 2.07E+03 | 1.97E+03 | 1.83E+03 | 1.91E+03 |
| Mean | 1.83E+03 | 2.29E+03 | 2.15E+03 | 2.37E+03 | 2.58E+03 | 2.32E+03 | 2.37E+03 | 2.36E+03 | |
| Std | 8.18E+01 | 2.08E+02 | 2.03E+02 | 2.18E+02 | 2.52E+02 | 2.06E+02 | 2.54E+02 | 2.23E+02 | |
| F17 | Best | 1.83E+03 | 1.21E+05 | 3.31E+04 | 1.32E+05 | 2.21E+05 | 1.01E+05 | 7.61E+04 | 1.10E+05 |
| Mean | 6.42E+03 | 1.08E+06 | 5.02E+05 | 9.43E+05 | 1.52E+06 | 8.58E+05 | 1.03E+06 | 1.41E+06 | |
| Std | 5.52E+03 | 9.27E+05 | 4.57E+05 | 9.77E+05 | 1.16E+06 | 9.82E+05 | 1.18E+06 | 1.21E+06 | |
| F18 | Best | 1.91E+03 | 2.08E+03 | 1.93E+03 | 6.26E+03 | 2.94E+03 | 9.55E+03 | 2.05E+03 | 2.00E+03 |
| Mean | 1.92E+03 | 3.26E+04 | 2.46E+04 | 1.41E+05 | 2.49E+04 | 9.23E+04 | 2.60E+04 | 1.39E+04 | |
| Std | 7.12E+00 | 2.20E+04 | 2.00E+04 | 9.74E+04 | 2.24E+04 | 4.92E+04 | 2.22E+04 | 1.90E+04 | |
| F19 | Best | 2.03E+03 | 2.08E+03 | 2.06E+03 | 2.18E+03 | 2.32E+03 | 2.28E+03 | 2.10E+03 | 2.09E+03 |
| Mean | 2.20E+03 | 2.52E+03 | 2.41E+03 | 2.53E+03 | 2.67E+03 | 2.62E+03 | 2.52E+03 | 2.41E+03 | |
| Std | 1.37E+02 | 1.86E+02 | 1.81E+02 | 1.49E+02 | 1.71E+02 | 1.53E+02 | 1.82E+02 | 1.81E+02 | |
| F20 | Best | 2.35E+03 | 2.35E+03 | 2.34E+03 | 2.22E+03 | 2.38E+03 | 2.35E+03 | 2.34E+03 | 2.37E+03 |
| Mean | 2.40E+03 | 2.41E+03 | 2.39E+03 | 2.49E+03 | 2.46E+03 | 2.42E+03 | 2.41E+03 | 2.41E+03 | |
| Std | 2.36E+01 | 2.82E+01 | 2.86E+01 | 7.29E+01 | 3.58E+01 | 3.04E+01 | 2.56E+01 | 2.64E+01 | |
| F21 | Best | 2.30E+03 | 2.30E+03 | 2.30E+03 | 2.30E+03 | 2.30E+03 | 2.30E+03 | 2.30E+03 | 2.30E+03 |
| Mean | 3.95E+03 | 5.78E+03 | 5.31E+03 | 2.30E+03 | 6.25E+03 | 6.06E+03 | 5.75E+03 | 5.25E+03 | |
| Std | 1.80E+03 | 8.18E+02 | 1.63E+03 | 2.04E+00 | 1.55E+03 | 1.18E+03 | 9.56E+02 | 1.67E+03 | |
| F22 | Best | 2.69E+03 | 2.71E+03 | 2.70E+03 | 2.78E+03 | 2.73E+03 | 2.70E+03 | 2.70E+03 | 2.70E+03 |
| Mean | 2.76E+03 | 2.76E+03 | 2.74E+03 | 2.89E+03 | 2.83E+03 | 2.76E+03 | 2.76E+03 | 2.76E+03 | |
| Std | 3.27E+01 | 2.81E+01 | 2.16E+01 | 6.02E+01 | 4.50E+01 | 2.84E+01 | 2.35E+01 | 2.53E+01 | |
| F23 | Best | 2.86E+03 | 2.87E+03 | 2.87E+03 | 2.89E+03 | 2.89E+03 | 2.87E+03 | 2.88E+03 | 2.87E+03 |
| Mean | 2.91E+03 | 2.93E+03 | 2.91E+03 | 3.01E+03 | 2.99E+03 | 2.92E+03 | 2.94E+03 | 2.93E+03 | |
| Std | 3.23E+01 | 3.12E+01 | 2.50E+01 | 4.71E+01 | 4.27E+01 | 2.83E+01 | 3.19E+01 | 2.94E+01 | |
| F24 | Best | 2.88E+03 | 2.88E+03 | 2.88E+03 | 2.89E+03 | 2.88E+03 | 2.88E+03 | 2.88E+03 | 2.88E+03 |
| Mean | 2.89E+03 | 2.89E+03 | 2.89E+03 | 2.93E+03 | 2.90E+03 | 2.89E+03 | 2.89E+03 | 2.89E+03 | |
| Std | 9.62E+00 | 1.75E+01 | 7.44E+00 | 2.42E+01 | 1.63E+01 | 1.11E+01 | 1.44E+01 | 1.59E+01 | |
| F25 | Best | 2.80E+03 | 4.23E+03 | 2.90E+03 | 2.80E+03 | 4.65E+03 | 4.11E+03 | 4.16E+03 | 2.90E+03 |
| Mean | 4.28E+03 | 4.82E+03 | 4.63E+03 | 5.15E+03 | 5.70E+03 | 4.86E+03 | 4.77E+03 | 4.82E+03 | |
| Std | 8.81E+02 | 2.95E+02 | 3.60E+02 | 1.84E+03 | 5.30E+02 | 3.36E+02 | 2.99E+02 | 4.18E+02 | |
| F26 | Best | 3.19E+03 | 3.20E+03 | 3.20E+03 | 3.22E+03 | 3.21E+03 | 3.18E+03 | 3.20E+03 | 3.21E+03 |
| Mean | 3.22E+03 | 3.22E+03 | 3.22E+03 | 3.26E+03 | 3.24E+03 | 3.23E+03 | 3.22E+03 | 3.23E+03 | |
| Std | 1.33E+01 | 1.63E+01 | 1.19E+01 | 3.09E+01 | 2.02E+01 | 1.96E+01 | 1.57E+01 | 1.70E+01 | |
| F27 | Best | 3.10E+03 | 3.20E+03 | 3.21E+03 | 3.21E+03 | 3.21E+03 | 3.21E+03 | 3.20E+03 | 3.12E+03 |
| Mean | 3.13E+03 | 3.25E+03 | 3.25E+03 | 3.26E+03 | 3.28E+03 | 3.26E+03 | 3.25E+03 | 3.25E+03 | |
| Std | 5.31E+01 | 4.23E+01 | 3.54E+01 | 2.98E+01 | 5.12E+01 | 4.30E+01 | 3.64E+01 | 4.17E+01 | |
| F28 | Best | 3.28E+03 | 3.45E+03 | 3.46E+03 | 3.73E+03 | 3.64E+03 | 3.60E+03 | 3.49E+03 | 3.48E+03 |
| Mean | 3.47E+03 | 3.83E+03 | 3.77E+03 | 4.34E+03 | 4.36E+03 | 4.02E+03 | 3.89E+03 | 4.01E+03 | |
| Std | 1.19E+02 | 2.07E+02 | 1.61E+02 | 3.46E+02 | 3.66E+02 | 2.34E+02 | 2.19E+02 | 2.34E+02 | |
| F29 | Best | 5.03E+03 | 9.77E+03 | 5.28E+03 | 2.40E+05 | 4.75E+04 | 1.02E+05 | 7.47E+03 | 5.94E+03 |
| Mean | 7.46E+03 | 2.75E+04 | 1.45E+04 | 1.95E+06 | 4.91E+05 | 7.72E+05 | 1.66E+04 | 1.61E+04 | |
| Std | 5.81E+03 | 1.13E+04 | 6.75E+03 | 1.22E+06 | 3.55E+05 | 6.67E+05 | 6.46E+03 | 5.45E+03 |
Table A9.
Statistical results derived from EMSMA and SMA variants for CEC 2017 (Dim = 50).
Table A9.
Statistical results derived from EMSMA and SMA variants for CEC 2017 (Dim = 50).
| Function | Index | EMSMA | SMA | DTSMA | ISMA | AOSMA | LSMA | ESMA | MSMA |
|---|---|---|---|---|---|---|---|---|---|
| F1 | Best | 1.08E+02 | 6.43E+04 | 2.26E+02 | 4.08E+03 | 1.46E+03 | 4.09E+02 | 3.46E+03 | 1.25E+02 |
| Mean | 3.37E+03 | 1.65E+05 | 2.91E+06 | 5.03E+04 | 1.26E+05 | 9.78E+03 | 1.50E+04 | 7.82E+03 | |
| Std | 3.52E+03 | 5.83E+04 | 8.83E+06 | 2.99E+04 | 2.17E+05 | 1.03E+04 | 9.00E+03 | 7.99E+03 | |
| F2 | Best | 3.66E+02 | 1.20E+04 | 3.23E+04 | 3.78E+04 | 6.54E+04 | 3.62E+04 | 2.01E+04 | 2.10E+04 |
| Mean | 7.04E+02 | 3.23E+04 | 7.50E+04 | 6.86E+04 | 1.07E+05 | 6.08E+04 | 5.38E+04 | 3.68E+04 | |
| Std | 4.08E+02 | 1.33E+04 | 2.01E+04 | 1.13E+04 | 2.93E+04 | 1.69E+04 | 2.42E+04 | 8.43E+03 | |
| F3 | Best | 4.00E+02 | 4.72E+02 | 4.44E+02 | 4.84E+02 | 4.86E+02 | 5.06E+02 | 4.31E+02 | 4.33E+02 |
| Mean | 4.55E+02 | 5.89E+02 | 5.90E+02 | 6.19E+02 | 5.85E+02 | 6.03E+02 | 5.71E+02 | 5.72E+02 | |
| Std | 4.50E+01 | 3.83E+01 | 4.40E+01 | 5.58E+01 | 5.92E+01 | 4.42E+01 | 5.77E+01 | 5.56E+01 | |
| F4 | Best | 6.67E+02 | 6.76E+02 | 6.53E+02 | 7.07E+02 | 7.53E+02 | 6.61E+02 | 6.42E+02 | 6.76E+02 |
| Mean | 7.42E+02 | 7.59E+02 | 7.22E+02 | 8.45E+02 | 8.40E+02 | 7.66E+02 | 7.36E+02 | 7.89E+02 | |
| Std | 3.96E+01 | 4.52E+01 | 4.47E+01 | 4.48E+01 | 5.22E+01 | 5.64E+01 | 5.02E+01 | 4.22E+01 | |
| F5 | Best | 6.00E+02 | 6.12E+02 | 6.08E+02 | 6.50E+02 | 6.43E+02 | 6.17E+02 | 6.03E+02 | 6.26E+02 |
| Mean | 6.00E+02 | 6.33E+02 | 6.19E+02 | 6.64E+02 | 6.62E+02 | 6.56E+02 | 6.15E+02 | 6.44E+02 | |
| Std | 5.58E-03 | 1.27E+01 | 6.40E+00 | 5.59E+00 | 7.19E+00 | 1.50E+01 | 1.01E+01 | 8.49E+00 | |
| F6 | Best | 8.92E+02 | 9.59E+02 | 9.42E+02 | 1.20E+03 | 1.13E+03 | 9.39E+02 | 8.84E+02 | 1.00E+03 |
| Mean | 1.01E+03 | 1.03E+03 | 1.03E+03 | 1.49E+03 | 1.41E+03 | 1.06E+03 | 1.01E+03 | 1.29E+03 | |
| Std | 5.16E+01 | 4.49E+01 | 5.04E+01 | 1.37E+02 | 1.40E+02 | 6.23E+01 | 4.55E+01 | 1.40E+02 | |
| F7 | Best | 9.50E+02 | 9.43E+02 | 9.42E+02 | 1.05E+03 | 9.87E+02 | 9.66E+02 | 9.05E+02 | 9.74E+02 |
| Mean | 1.03E+03 | 1.04E+03 | 1.03E+03 | 1.17E+03 | 1.13E+03 | 1.06E+03 | 1.02E+03 | 1.06E+03 | |
| Std | 4.43E+01 | 4.82E+01 | 4.50E+01 | 4.99E+01 | 5.78E+01 | 5.02E+01 | 4.85E+01 | 4.35E+01 | |
| F8 | Best | 1.45E+03 | 4.96E+03 | 2.98E+03 | 6.55E+03 | 7.78E+03 | 5.63E+03 | 4.45E+03 | 5.81E+03 |
| Mean | 3.71E+03 | 1.20E+04 | 9.30E+03 | 1.22E+04 | 1.45E+04 | 1.22E+04 | 1.17E+04 | 1.09E+04 | |
| Std | 1.67E+03 | 3.71E+03 | 4.63E+03 | 1.87E+03 | 2.90E+03 | 4.02E+03 | 3.77E+03 | 2.44E+03 | |
| F9 | Best | 4.45E+03 | 5.31E+03 | 5.96E+03 | 6.48E+03 | 6.24E+03 | 6.92E+03 | 5.58E+03 | 5.58E+03 |
| Mean | 5.99E+03 | 7.08E+03 | 8.57E+03 | 8.05E+03 | 8.46E+03 | 8.18E+03 | 7.51E+03 | 7.32E+03 | |
| Std | 7.57E+02 | 8.11E+02 | 1.25E+03 | 8.59E+02 | 1.05E+03 | 8.43E+02 | 9.35E+02 | 8.62E+02 | |
| F10 | Best | 1.17E+03 | 1.23E+03 | 1.29E+03 | 1.40E+03 | 1.35E+03 | 1.35E+03 | 1.22E+03 | 1.20E+03 |
| Mean | 1.21E+03 | 1.40E+03 | 1.47E+03 | 1.56E+03 | 1.59E+03 | 1.56E+03 | 1.35E+03 | 1.37E+03 | |
| Std | 2.97E+01 | 8.34E+01 | 8.45E+01 | 1.12E+02 | 1.31E+02 | 9.14E+01 | 7.54E+01 | 7.32E+01 | |
| F11 | Best | 1.32E+05 | 2.17E+06 | 1.60E+06 | 1.01E+07 | 2.94E+06 | 9.52E+06 | 1.13E+06 | 9.46E+05 |
| Mean | 8.01E+05 | 1.73E+07 | 8.80E+06 | 6.42E+07 | 4.15E+07 | 4.89E+07 | 1.49E+07 | 9.31E+06 | |
| Std | 5.51E+05 | 8.46E+06 | 4.67E+06 | 3.22E+07 | 2.48E+07 | 2.96E+07 | 7.58E+06 | 5.19E+06 | |
| F12 | Best | 1.45E+03 | 4.28E+04 | 2.48E+03 | 3.58E+04 | 9.54E+04 | 7.46E+04 | 5.70E+03 | 3.80E+03 |
| Mean | 5.50E+03 | 7.08E+04 | 2.34E+04 | 1.54E+05 | 3.17E+05 | 3.36E+05 | 2.82E+04 | 2.56E+04 | |
| Std | 4.82E+03 | 1.78E+04 | 1.25E+04 | 9.58E+04 | 1.72E+05 | 2.38E+05 | 1.16E+04 | 1.27E+04 | |
| F13 | Best | 1.46E+03 | 9.21E+04 | 4.42E+04 | 4.63E+04 | 3.20E+04 | 3.80E+04 | 5.98E+04 | 6.92E+04 |
| Mean | 1.52E+03 | 4.00E+05 | 1.85E+05 | 3.55E+05 | 4.29E+05 | 3.11E+05 | 4.39E+05 | 4.75E+05 | |
| Std | 3.11E+01 | 2.12E+05 | 1.20E+05 | 2.37E+05 | 2.86E+05 | 1.93E+05 | 2.57E+05 | 2.66E+05 | |
| F14 | Best | 1.54E+03 | 4.62E+03 | 1.93E+03 | 1.39E+04 | 4.03E+04 | 5.41E+04 | 2.01E+03 | 2.87E+03 |
| Mean | 1.63E+03 | 2.71E+04 | 1.97E+04 | 5.74E+04 | 1.48E+05 | 1.84E+05 | 2.09E+04 | 2.17E+04 | |
| Std | 1.07E+02 | 1.12E+04 | 1.05E+04 | 3.51E+04 | 9.18E+04 | 9.42E+04 | 9.63E+03 | 1.00E+04 | |
| F15 | Best | 2.08E+03 | 2.58E+03 | 2.36E+03 | 3.11E+03 | 3.02E+03 | 2.83E+03 | 2.73E+03 | 2.45E+03 |
| Mean | 2.99E+03 | 3.40E+03 | 3.19E+03 | 4.10E+03 | 4.07E+03 | 3.65E+03 | 3.50E+03 | 3.48E+03 | |
| Std | 4.76E+02 | 3.44E+02 | 5.08E+02 | 4.10E+02 | 5.59E+02 | 3.30E+02 | 4.45E+02 | 3.91E+02 | |
| F16 | Best | 2.03E+03 | 2.41E+03 | 2.37E+03 | 2.73E+03 | 3.00E+03 | 2.76E+03 | 2.30E+03 | 2.69E+03 |
| Mean | 2.60E+03 | 3.31E+03 | 3.01E+03 | 3.57E+03 | 3.88E+03 | 3.66E+03 | 3.20E+03 | 3.49E+03 | |
| Std | 3.09E+02 | 3.30E+02 | 2.54E+02 | 4.22E+02 | 4.34E+02 | 3.93E+02 | 4.04E+02 | 3.52E+02 | |
| F17 | Best | 6.42E+03 | 3.30E+05 | 2.79E+05 | 3.13E+05 | 4.05E+05 | 5.59E+05 | 5.14E+05 | 4.05E+05 |
| Mean | 3.14E+04 | 3.24E+06 | 2.26E+06 | 2.49E+06 | 4.10E+06 | 3.48E+06 | 2.65E+06 | 2.52E+06 | |
| Std | 1.87E+04 | 2.11E+06 | 1.38E+06 | 2.00E+06 | 2.87E+06 | 2.23E+06 | 1.66E+06 | 1.81E+06 | |
| F18 | Best | 1.92E+03 | 2.14E+03 | 2.15E+03 | 2.54E+05 | 4.06E+04 | 1.29E+05 | 2.02E+03 | 2.05E+03 |
| Mean | 1.95E+03 | 1.61E+04 | 1.94E+04 | 8.11E+05 | 1.50E+05 | 6.23E+05 | 1.55E+04 | 2.57E+04 | |
| Std | 2.36E+01 | 1.74E+04 | 1.69E+04 | 3.16E+05 | 1.13E+05 | 3.89E+05 | 1.66E+04 | 1.75E+04 | |
| F19 | Best | 2.25E+03 | 2.58E+03 | 2.44E+03 | 2.60E+03 | 2.71E+03 | 2.80E+03 | 2.51E+03 | 2.57E+03 |
| Mean | 2.77E+03 | 3.25E+03 | 3.11E+03 | 3.25E+03 | 3.49E+03 | 3.34E+03 | 3.13E+03 | 3.12E+03 | |
| Std | 2.48E+02 | 2.96E+02 | 3.65E+02 | 3.10E+02 | 3.32E+02 | 2.95E+02 | 3.10E+02 | 2.49E+02 | |
| F20 | Best | 2.45E+03 | 2.46E+03 | 2.42E+03 | 2.50E+03 | 2.54E+03 | 2.45E+03 | 2.44E+03 | 2.43E+03 |
| Mean | 2.52E+03 | 2.53E+03 | 2.50E+03 | 2.71E+03 | 2.67E+03 | 2.53E+03 | 2.52E+03 | 2.54E+03 | |
| Std | 3.79E+01 | 4.69E+01 | 4.82E+01 | 7.74E+01 | 6.91E+01 | 3.75E+01 | 4.43E+01 | 4.97E+01 | |
| F21 | Best | 6.46E+03 | 7.18E+03 | 7.41E+03 | 2.32E+03 | 7.47E+03 | 7.71E+03 | 7.05E+03 | 7.35E+03 |
| Mean | 8.34E+03 | 9.05E+03 | 9.85E+03 | 1.03E+04 | 1.00E+04 | 9.79E+03 | 9.08E+03 | 9.22E+03 | |
| Std | 7.90E+02 | 9.69E+02 | 1.07E+03 | 2.22E+03 | 8.97E+02 | 1.27E+03 | 8.76E+02 | 7.49E+02 | |
| F22 | Best | 2.90E+03 | 2.87E+03 | 2.86E+03 | 3.06E+03 | 2.98E+03 | 2.84E+03 | 2.85E+03 | 2.91E+03 |
| Mean | 3.00E+03 | 2.97E+03 | 2.93E+03 | 3.25E+03 | 3.15E+03 | 2.98E+03 | 2.96E+03 | 3.01E+03 | |
| Std | 4.69E+01 | 4.62E+01 | 3.71E+01 | 1.19E+02 | 7.35E+01 | 5.73E+01 | 5.25E+01 | 6.25E+01 | |
| F23 | Best | 2.99E+03 | 3.06E+03 | 3.01E+03 | 3.16E+03 | 3.09E+03 | 3.02E+03 | 3.02E+03 | 3.03E+03 |
| Mean | 3.13E+03 | 3.15E+03 | 3.08E+03 | 3.34E+03 | 3.25E+03 | 3.12E+03 | 3.15E+03 | 3.16E+03 | |
| Std | 8.68E+01 | 5.73E+01 | 3.72E+01 | 9.56E+01 | 7.89E+01 | 4.88E+01 | 4.69E+01 | 5.15E+01 | |
| F24 | Best | 2.93E+03 | 2.96E+03 | 2.98E+03 | 3.03E+03 | 3.03E+03 | 3.00E+03 | 2.96E+03 | 2.98E+03 |
| Mean | 3.03E+03 | 3.06E+03 | 3.07E+03 | 3.12E+03 | 3.12E+03 | 3.07E+03 | 3.05E+03 | 3.08E+03 | |
| Std | 4.08E+01 | 3.26E+01 | 3.81E+01 | 3.38E+01 | 3.23E+01 | 3.12E+01 | 2.79E+01 | 4.67E+01 | |
| F25 | Best | 2.90E+03 | 2.90E+03 | 5.11E+03 | 2.92E+03 | 2.91E+03 | 2.90E+03 | 2.90E+03 | 2.90E+03 |
| Mean | 5.79E+03 | 5.68E+03 | 5.96E+03 | 6.89E+03 | 7.11E+03 | 5.72E+03 | 5.66E+03 | 6.37E+03 | |
| Std | 1.95E+03 | 1.76E+03 | 4.52E+02 | 3.68E+03 | 2.67E+03 | 1.74E+03 | 1.35E+03 | 2.18E+03 | |
| F26 | Best | 3.25E+03 | 3.30E+03 | 3.26E+03 | 3.43E+03 | 3.33E+03 | 3.31E+03 | 3.28E+03 | 3.34E+03 |
| Mean | 3.40E+03 | 3.44E+03 | 3.43E+03 | 3.66E+03 | 3.59E+03 | 3.45E+03 | 3.43E+03 | 3.55E+03 | |
| Std | 7.71E+01 | 8.23E+01 | 8.81E+01 | 1.14E+02 | 1.22E+02 | 7.73E+01 | 9.10E+01 | 1.07E+02 | |
| F27 | Best | 3.26E+03 | 3.28E+03 | 3.32E+03 | 3.29E+03 | 3.32E+03 | 3.27E+03 | 3.26E+03 | 3.30E+03 |
| Mean | 3.29E+03 | 3.35E+03 | 3.54E+03 | 3.39E+03 | 3.61E+03 | 3.54E+03 | 3.32E+03 | 3.35E+03 | |
| Std | 3.41E+01 | 3.55E+01 | 4.28E+02 | 6.01E+01 | 9.65E+02 | 9.64E+02 | 2.34E+01 | 3.76E+01 | |
| F28 | Best | 3.34E+03 | 3.94E+03 | 3.72E+03 | 5.10E+03 | 4.58E+03 | 4.24E+03 | 3.97E+03 | 4.20E+03 |
| Mean | 3.82E+03 | 4.69E+03 | 4.32E+03 | 6.03E+03 | 5.64E+03 | 5.10E+03 | 4.51E+03 | 4.74E+03 | |
| Std | 2.67E+02 | 3.38E+02 | 3.28E+02 | 4.29E+02 | 5.16E+02 | 4.32E+02 | 3.01E+02 | 3.87E+02 | |
| F29 | Best | 5.82E+05 | 1.73E+06 | 7.60E+05 | 2.50E+07 | 9.45E+06 | 1.35E+07 | 7.23E+05 | 6.72E+05 |
| Mean | 6.25E+05 | 3.05E+06 | 2.10E+06 | 5.37E+07 | 2.23E+07 | 2.78E+07 | 1.77E+06 | 1.72E+06 | |
| Std | 5.84E+04 | 6.71E+05 | 8.83E+05 | 1.25E+07 | 7.12E+06 | 7.72E+06 | 4.84E+05 | 4.84E+05 |
Table A10.
Statistical results derived from EMSMA and SMA variants for CEC 2017 (Dim = 100).
Table A10.
Statistical results derived from EMSMA and SMA variants for CEC 2017 (Dim = 100).
| Function | Index | EMSMA | SMA | DTSMA | ISMA | AOSMA | LSMA | ESMA | MSMA |
|---|---|---|---|---|---|---|---|---|---|
| F1 | Best | 1.51E+03 | 9.78E+06 | 5.02E+08 | 1.43E+07 | 1.06E+07 | 9.29E+05 | 1.73E+06 | 1.89E+05 |
| Mean | 7.32E+03 | 1.86E+07 | 4.24E+09 | 3.98E+07 | 6.83E+07 | 2.74E+06 | 3.03E+06 | 1.24E+08 | |
| Std | 5.98E+03 | 4.56E+06 | 2.17E+09 | 1.69E+07 | 5.54E+07 | 1.70E+06 | 7.64E+05 | 1.64E+08 | |
| F2 | Best | 2.75E+04 | 1.87E+05 | 2.87E+05 | 2.36E+05 | 2.72E+05 | 2.32E+05 | 1.59E+05 | 1.61E+05 |
| Mean | 4.54E+04 | 4.03E+05 | 4.73E+05 | 2.67E+05 | 3.34E+05 | 4.15E+05 | 4.07E+05 | 2.19E+05 | |
| Std | 9.35E+03 | 1.39E+05 | 8.58E+04 | 1.80E+04 | 2.97E+04 | 1.38E+05 | 1.89E+05 | 2.19E+04 | |
| F3 | Best | 4.73E+02 | 6.73E+02 | 7.61E+02 | 7.80E+02 | 7.96E+02 | 6.49E+02 | 6.32E+02 | 7.19E+02 |
| Mean | 5.55E+02 | 7.72E+02 | 9.60E+02 | 9.48E+02 | 1.01E+03 | 8.29E+02 | 7.30E+02 | 9.04E+02 | |
| Std | 5.89E+01 | 6.34E+01 | 1.08E+02 | 7.83E+01 | 1.11E+02 | 7.69E+01 | 4.67E+01 | 1.03E+02 | |
| F4 | Best | 9.63E+02 | 1.01E+03 | 9.46E+02 | 1.26E+03 | 1.15E+03 | 1.02E+03 | 9.87E+02 | 1.04E+03 |
| Mean | 1.12E+03 | 1.21E+03 | 1.17E+03 | 1.35E+03 | 1.36E+03 | 1.22E+03 | 1.18E+03 | 1.26E+03 | |
| Std | 8.96E+01 | 8.82E+01 | 9.10E+01 | 5.43E+01 | 8.67E+01 | 1.07E+02 | 8.48E+01 | 8.99E+01 | |
| F5 | Best | 6.00E+02 | 6.32E+02 | 6.31E+02 | 6.62E+02 | 6.60E+02 | 6.42E+02 | 6.23E+02 | 6.41E+02 |
| Mean | 6.00E+02 | 6.49E+02 | 6.49E+02 | 6.72E+02 | 6.70E+02 | 6.66E+02 | 6.37E+02 | 6.58E+02 | |
| Std | 4.38E-03 | 8.37E+00 | 8.01E+00 | 3.66E+00 | 4.83E+00 | 6.77E+00 | 6.70E+00 | 5.27E+00 | |
| F6 | Best | 1.25E+03 | 1.63E+03 | 1.66E+03 | 2.46E+03 | 2.45E+03 | 1.61E+03 | 1.47E+03 | 2.13E+03 |
| Mean | 1.59E+03 | 1.91E+03 | 1.92E+03 | 3.05E+03 | 2.91E+03 | 1.96E+03 | 1.74E+03 | 2.43E+03 | |
| Std | 1.53E+02 | 1.63E+02 | 1.81E+02 | 1.85E+02 | 2.28E+02 | 1.85E+02 | 1.36E+02 | 1.72E+02 | |
| F7 | Best | 1.28E+03 | 1.29E+03 | 1.23E+03 | 1.61E+03 | 1.52E+03 | 1.27E+03 | 1.30E+03 | 1.39E+03 |
| Mean | 1.44E+03 | 1.52E+03 | 1.46E+03 | 1.78E+03 | 1.76E+03 | 1.54E+03 | 1.44E+03 | 1.59E+03 | |
| Std | 9.06E+01 | 1.20E+02 | 1.05E+02 | 7.28E+01 | 9.46E+01 | 1.31E+02 | 9.25E+01 | 1.06E+02 | |
| F8 | Best | 1.23E+04 | 1.94E+04 | 1.98E+04 | 2.35E+04 | 2.40E+04 | 1.94E+04 | 1.86E+04 | 1.94E+04 |
| Mean | 1.81E+04 | 3.00E+04 | 3.66E+04 | 2.78E+04 | 3.00E+04 | 3.04E+04 | 2.77E+04 | 2.39E+04 | |
| Std | 3.08E+03 | 4.33E+03 | 1.12E+04 | 2.30E+03 | 3.93E+03 | 4.93E+03 | 4.31E+03 | 1.97E+03 | |
| F9 | Best | 1.02E+04 | 1.28E+04 | 1.50E+04 | 1.42E+04 | 1.56E+04 | 1.37E+04 | 1.16E+04 | 1.25E+04 |
| Mean | 1.29E+04 | 1.61E+04 | 1.96E+04 | 1.73E+04 | 1.81E+04 | 1.81E+04 | 1.55E+04 | 1.57E+04 | |
| Std | 1.11E+03 | 1.47E+03 | 1.79E+03 | 1.63E+03 | 1.65E+03 | 1.69E+03 | 1.52E+03 | 1.39E+03 | |
| F10 | Best | 1.29E+03 | 2.30E+03 | 3.84E+03 | 6.27E+03 | 5.42E+03 | 3.43E+03 | 2.72E+03 | 3.51E+03 |
| Mean | 1.49E+03 | 3.23E+03 | 7.34E+03 | 1.17E+04 | 1.74E+04 | 6.17E+03 | 7.24E+03 | 1.12E+04 | |
| Std | 9.14E+01 | 7.22E+02 | 2.95E+03 | 3.61E+03 | 6.15E+03 | 1.91E+03 | 3.52E+03 | 5.43E+03 | |
| F11 | Best | 8.56E+05 | 3.52E+07 | 2.03E+07 | 1.82E+08 | 1.05E+08 | 1.50E+08 | 2.51E+07 | 1.30E+07 |
| Mean | 1.97E+06 | 1.35E+08 | 2.26E+08 | 4.67E+08 | 3.14E+08 | 3.89E+08 | 7.45E+07 | 5.23E+07 | |
| Std | 8.77E+05 | 5.93E+07 | 1.93E+08 | 1.77E+08 | 1.43E+08 | 1.55E+08 | 3.18E+07 | 2.25E+07 | |
| F12 | Best | 1.67E+03 | 4.78E+04 | 1.21E+04 | 1.99E+04 | 2.96E+04 | 7.25E+04 | 1.95E+04 | 1.05E+04 |
| Mean | 5.15E+03 | 4.91E+05 | 3.30E+05 | 7.79E+04 | 2.60E+05 | 3.31E+05 | 1.37E+05 | 3.43E+04 | |
| Std | 4.31E+03 | 8.28E+05 | 1.02E+06 | 2.93E+04 | 4.16E+05 | 3.61E+05 | 1.69E+05 | 2.40E+04 | |
| F13 | Best | 3.39E+03 | 4.03E+05 | 8.18E+05 | 9.02E+05 | 6.06E+05 | 2.96E+05 | 5.58E+05 | 3.53E+05 |
| Mean | 4.03E+04 | 2.60E+06 | 2.57E+06 | 2.14E+06 | 2.75E+06 | 2.49E+06 | 2.36E+06 | 1.79E+06 | |
| Std | 3.50E+04 | 1.44E+06 | 1.36E+06 | 1.11E+06 | 1.72E+06 | 1.25E+06 | 1.46E+06 | 1.18E+06 | |
| F14 | Best | 1.62E+03 | 2.45E+04 | 2.74E+03 | 2.37E+04 | 3.27E+04 | 5.96E+04 | 3.60E+03 | 4.26E+03 |
| Mean | 4.04E+03 | 1.70E+05 | 4.70E+04 | 6.43E+04 | 1.78E+05 | 1.78E+05 | 2.69E+04 | 1.84E+04 | |
| Std | 3.44E+03 | 1.86E+05 | 6.59E+04 | 3.15E+04 | 1.39E+05 | 1.00E+05 | 3.23E+04 | 1.35E+04 | |
| F15 | Best | 3.75E+03 | 4.98E+03 | 3.62E+03 | 5.65E+03 | 5.80E+03 | 5.03E+03 | 4.03E+03 | 3.75E+03 |
| Mean | 5.84E+03 | 5.99E+03 | 5.56E+03 | 7.69E+03 | 7.46E+03 | 6.75E+03 | 5.98E+03 | 5.94E+03 | |
| Std | 8.07E+02 | 5.41E+02 | 7.97E+02 | 8.71E+02 | 8.40E+02 | 7.20E+02 | 7.38E+02 | 8.19E+02 | |
| F16 | Best | 3.53E+03 | 4.66E+03 | 4.36E+03 | 4.19E+03 | 5.68E+03 | 4.99E+03 | 4.08E+03 | 4.20E+03 |
| Mean | 4.78E+03 | 5.67E+03 | 5.49E+03 | 6.09E+03 | 7.01E+03 | 6.19E+03 | 5.38E+03 | 6.11E+03 | |
| Std | 6.67E+02 | 5.50E+02 | 5.26E+02 | 8.31E+02 | 6.52E+02 | 6.41E+02 | 5.78E+02 | 6.71E+02 | |
| F17 | Best | 4.63E+04 | 2.09E+06 | 1.28E+06 | 8.97E+05 | 1.55E+06 | 1.56E+06 | 1.18E+06 | 1.18E+06 |
| Mean | 1.32E+05 | 5.76E+06 | 4.59E+06 | 3.05E+06 | 5.44E+06 | 5.91E+06 | 5.52E+06 | 4.18E+06 | |
| Std | 5.26E+04 | 2.74E+06 | 2.50E+06 | 1.48E+06 | 2.69E+06 | 3.33E+06 | 2.71E+06 | 2.20E+06 | |
| F18 | Best | 1.98E+03 | 9.42E+03 | 2.68E+03 | 4.02E+05 | 4.61E+05 | 1.35E+06 | 2.30E+03 | 2.87E+03 |
| Mean | 4.24E+03 | 7.10E+04 | 1.56E+04 | 6.10E+06 | 2.13E+06 | 5.27E+06 | 2.14E+04 | 1.63E+04 | |
| Std | 3.19E+03 | 6.04E+04 | 1.08E+04 | 2.98E+06 | 1.01E+06 | 1.78E+06 | 1.94E+04 | 1.38E+04 | |
| F19 | Best | 3.93E+03 | 4.53E+03 | 4.14E+03 | 4.36E+03 | 4.08E+03 | 4.39E+03 | 4.06E+03 | 4.06E+03 |
| Mean | 5.05E+03 | 5.36E+03 | 5.38E+03 | 5.43E+03 | 5.86E+03 | 5.77E+03 | 5.18E+03 | 5.20E+03 | |
| Std | 5.74E+02 | 4.59E+02 | 5.97E+02 | 5.02E+02 | 6.14E+02 | 6.01E+02 | 5.76E+02 | 4.81E+02 | |
| F20 | Best | 2.75E+03 | 2.81E+03 | 2.78E+03 | 3.12E+03 | 3.05E+03 | 2.86E+03 | 2.80E+03 | 2.83E+03 |
| Mean | 2.89E+03 | 3.01E+03 | 2.95E+03 | 3.53E+03 | 3.43E+03 | 3.04E+03 | 2.98E+03 | 3.03E+03 | |
| Std | 7.39E+01 | 9.17E+01 | 9.94E+01 | 2.05E+02 | 1.57E+02 | 1.04E+02 | 8.42E+01 | 1.18E+02 | |
| F21 | Best | 1.32E+04 | 1.50E+04 | 1.79E+04 | 1.74E+04 | 1.48E+04 | 1.63E+04 | 1.39E+04 | 1.57E+04 |
| Mean | 1.60E+04 | 1.86E+04 | 2.24E+04 | 2.16E+04 | 2.02E+04 | 2.02E+04 | 1.75E+04 | 1.83E+04 | |
| Std | 1.31E+03 | 1.44E+03 | 2.12E+03 | 1.81E+03 | 2.00E+03 | 1.58E+03 | 1.28E+03 | 1.32E+03 | |
| F22 | Best | 3.05E+03 | 3.20E+03 | 3.25E+03 | 3.68E+03 | 3.50E+03 | 3.33E+03 | 3.15E+03 | 3.19E+03 |
| Mean | 3.18E+03 | 3.36E+03 | 3.36E+03 | 4.06E+03 | 3.79E+03 | 3.48E+03 | 3.28E+03 | 3.36E+03 | |
| Std | 5.73E+01 | 7.62E+01 | 5.14E+01 | 1.74E+02 | 1.30E+02 | 8.37E+01 | 6.43E+01 | 7.03E+01 | |
| F23 | Best | 3.67E+03 | 3.78E+03 | 3.67E+03 | 4.41E+03 | 3.91E+03 | 3.77E+03 | 3.66E+03 | 3.89E+03 |
| Mean | 3.85E+03 | 3.97E+03 | 3.85E+03 | 4.80E+03 | 4.40E+03 | 4.00E+03 | 3.89E+03 | 4.09E+03 | |
| Std | 8.22E+01 | 1.09E+02 | 7.37E+01 | 2.51E+02 | 2.07E+02 | 1.23E+02 | 9.59E+01 | 1.32E+02 | |
| F24 | Best | 3.13E+03 | 3.35E+03 | 3.60E+03 | 3.57E+03 | 3.54E+03 | 3.38E+03 | 3.22E+03 | 3.35E+03 |
| Mean | 3.26E+03 | 3.45E+03 | 3.97E+03 | 3.68E+03 | 3.69E+03 | 3.54E+03 | 3.39E+03 | 3.59E+03 | |
| Std | 6.02E+01 | 5.35E+01 | 2.56E+02 | 6.64E+01 | 7.28E+01 | 7.32E+01 | 6.39E+01 | 8.00E+01 | |
| F25 | Best | 2.90E+03 | 3.13E+03 | 1.03E+04 | 5.55E+03 | 7.52E+03 | 1.12E+04 | 1.06E+04 | 1.19E+04 |
| Mean | 1.37E+04 | 1.31E+04 | 1.19E+04 | 1.99E+04 | 1.89E+04 | 1.34E+04 | 1.24E+04 | 1.58E+04 | |
| Std | 3.97E+03 | 1.76E+03 | 9.59E+02 | 7.96E+03 | 3.62E+03 | 1.05E+03 | 7.77E+02 | 1.87E+03 | |
| F26 | Best | 3.41E+03 | 3.45E+03 | 3.42E+03 | 3.61E+03 | 3.63E+03 | 3.44E+03 | 3.43E+03 | 3.50E+03 |
| Mean | 3.54E+03 | 3.62E+03 | 3.55E+03 | 3.97E+03 | 3.82E+03 | 3.61E+03 | 3.52E+03 | 3.66E+03 | |
| Std | 8.50E+01 | 9.14E+01 | 6.14E+01 | 2.45E+02 | 1.28E+02 | 8.48E+01 | 5.67E+01 | 1.05E+02 | |
| F27 | Best | 3.30E+03 | 3.46E+03 | 3.73E+03 | 3.56E+03 | 3.62E+03 | 3.47E+03 | 3.41E+03 | 3.47E+03 |
| Mean | 3.36E+03 | 3.53E+03 | 6.87E+03 | 3.71E+03 | 3.76E+03 | 3.61E+03 | 3.50E+03 | 3.60E+03 | |
| Std | 2.81E+01 | 3.99E+01 | 3.43E+03 | 5.63E+01 | 6.92E+01 | 5.32E+01 | 3.61E+01 | 5.34E+01 | |
| F28 | Best | 5.68E+03 | 5.95E+03 | 5.95E+03 | 9.02E+03 | 7.62E+03 | 7.42E+03 | 5.79E+03 | 6.09E+03 |
| Mean | 6.85E+03 | 7.33E+03 | 7.25E+03 | 1.04E+04 | 9.43E+03 | 8.86E+03 | 6.89E+03 | 7.52E+03 | |
| Std | 5.23E+02 | 5.68E+02 | 7.61E+02 | 9.65E+02 | 1.13E+03 | 7.55E+02 | 5.57E+02 | 6.27E+02 | |
| F29 | Best | 6.23E+03 | 4.15E+05 | 3.19E+04 | 3.22E+07 | 4.95E+06 | 1.68E+07 | 5.95E+04 | 5.22E+04 |
| Mean | 1.30E+04 | 1.58E+06 | 4.65E+05 | 1.00E+08 | 4.01E+07 | 6.34E+07 | 1.78E+05 | 2.52E+05 | |
| Std | 5.24E+03 | 9.09E+05 | 4.98E+05 | 4.14E+07 | 2.16E+07 | 3.15E+07 | 1.10E+05 | 1.97E+05 |
Table A11.
Statistical results derived from EMSMA and SMA variants for CEC 2022 (Dim = 10).
Table A11.
Statistical results derived from EMSMA and SMA variants for CEC 2022 (Dim = 10).
| Function | Index | EMSMA | SMA | DTSMA | ISMA | AOSMA | LSMA | ESMA | MSMA |
|---|---|---|---|---|---|---|---|---|---|
| F1 | Best | 3.00E+02 | 3.00E+02 | 3.00E+02 | 3.00E+02 | 3.00E+02 | 3.00E+02 | 3.00E+02 | 3.00E+02 |
| Mean | 3.00E+02 | 3.00E+02 | 3.00E+02 | 3.00E+02 | 3.00E+02 | 3.00E+02 | 3.00E+02 | 3.00E+02 | |
| Std | 4.09E-07 | 1.14E-03 | 1.70E-05 | 2.04E-04 | 5.46E-03 | 3.20E-04 | 2.11E-04 | 1.18E-04 | |
| F2 | Best | 4.00E+02 | 4.01E+02 | 4.00E+02 | 4.00E+02 | 4.00E+02 | 4.00E+02 | 4.00E+02 | 4.00E+02 |
| Mean | 4.07E+02 | 4.12E+02 | 4.09E+02 | 4.17E+02 | 4.14E+02 | 4.09E+02 | 4.10E+02 | 4.12E+02 | |
| Std | 9.70E+00 | 1.66E+01 | 9.35E+00 | 2.45E+01 | 2.12E+01 | 1.11E+01 | 1.35E+01 | 1.65E+01 | |
| F3 | Best | 6.00E+02 | 6.00E+02 | 6.00E+02 | 6.00E+02 | 6.00E+02 | 6.00E+02 | 6.00E+02 | 6.00E+02 |
| Mean | 6.00E+02 | 6.00E+02 | 6.00E+02 | 6.05E+02 | 6.03E+02 | 6.00E+02 | 6.00E+02 | 6.00E+02 | |
| Std | 2.82E-03 | 3.76E-02 | 5.31E-02 | 4.22E+00 | 4.56E+00 | 1.78E-01 | 2.44E-02 | 8.88E-01 | |
| F4 | Best | 8.03E+02 | 8.09E+02 | 8.05E+02 | 8.06E+02 | 8.05E+02 | 8.06E+02 | 8.09E+02 | 8.05E+02 |
| Mean | 8.09E+02 | 8.25E+02 | 8.16E+02 | 8.24E+02 | 8.28E+02 | 8.20E+02 | 8.24E+02 | 8.17E+02 | |
| Std | 3.86E+00 | 9.75E+00 | 6.31E+00 | 9.14E+00 | 9.48E+00 | 8.58E+00 | 9.17E+00 | 7.17E+00 | |
| F5 | Best | 9.00E+02 | 9.00E+02 | 9.00E+02 | 9.00E+02 | 9.01E+02 | 9.00E+02 | 9.00E+02 | 9.00E+02 |
| Mean | 9.00E+02 | 9.01E+02 | 9.00E+02 | 9.42E+02 | 1.04E+03 | 9.01E+02 | 9.05E+02 | 9.35E+02 | |
| Std | 1.36E-01 | 1.99E+00 | 5.54E-01 | 7.46E+01 | 1.53E+02 | 1.52E+00 | 9.55E+00 | 5.38E+01 | |
| F6 | Best | 1.80E+03 | 1.92E+03 | 2.18E+03 | 1.88E+03 | 1.97E+03 | 2.00E+03 | 1.90E+03 | 1.84E+03 |
| Mean | 1.80E+03 | 5.50E+03 | 5.63E+03 | 4.50E+03 | 4.95E+03 | 5.19E+03 | 5.15E+03 | 4.49E+03 | |
| Std | 1.24E+01 | 2.35E+03 | 1.79E+03 | 2.35E+03 | 2.17E+03 | 2.07E+03 | 1.91E+03 | 2.06E+03 | |
| F7 | Best | 2.00E+03 | 2.02E+03 | 2.00E+03 | 2.02E+03 | 2.00E+03 | 2.02E+03 | 2.00E+03 | 2.00E+03 |
| Mean | 2.00E+03 | 2.02E+03 | 2.02E+03 | 2.03E+03 | 2.03E+03 | 2.02E+03 | 2.02E+03 | 2.02E+03 | |
| Std | 8.16E+00 | 7.79E-01 | 5.01E+00 | 7.78E+00 | 7.61E+00 | 2.87E+00 | 4.07E+00 | 4.83E+00 | |
| F8 | Best | 2.20E+03 | 2.20E+03 | 2.20E+03 | 2.20E+03 | 2.20E+03 | 2.20E+03 | 2.20E+03 | 2.20E+03 |
| Mean | 2.21E+03 | 2.22E+03 | 2.22E+03 | 2.23E+03 | 2.22E+03 | 2.22E+03 | 2.22E+03 | 2.22E+03 | |
| Std | 8.79E+00 | 2.79E+00 | 5.02E+00 | 4.70E+00 | 5.45E+00 | 3.98E+00 | 2.84E+00 | 2.82E+00 | |
| F9 | Best | 2.53E+03 | 2.53E+03 | 2.53E+03 | 2.53E+03 | 2.53E+03 | 2.53E+03 | 2.53E+03 | 2.53E+03 |
| Mean | 2.53E+03 | 2.53E+03 | 2.53E+03 | 2.53E+03 | 2.53E+03 | 2.53E+03 | 2.53E+03 | 2.53E+03 | |
| Std | 1.71E-11 | 3.28E-04 | 7.65E-10 | 3.29E-11 | 5.59E-05 | 2.84E-04 | 6.80E-05 | 1.05E-04 | |
| F10 | Best | 2.50E+03 | 2.50E+03 | 2.50E+03 | 2.50E+03 | 2.50E+03 | 2.50E+03 | 2.50E+03 | 2.41E+03 |
| Mean | 2.52E+03 | 2.52E+03 | 2.50E+03 | 2.50E+03 | 2.53E+03 | 2.51E+03 | 2.54E+03 | 2.54E+03 | |
| Std | 4.23E+01 | 4.24E+01 | 1.57E+01 | 1.45E-01 | 5.67E+01 | 2.91E+01 | 5.49E+01 | 6.12E+01 | |
| F11 | Best | 2.60E+03 | 2.60E+03 | 2.60E+03 | 2.60E+03 | 2.60E+03 | 2.60E+03 | 2.60E+03 | 2.60E+03 |
| Mean | 2.79E+03 | 2.79E+03 | 2.66E+03 | 2.66E+03 | 2.75E+03 | 2.72E+03 | 2.79E+03 | 2.73E+03 | |
| Std | 1.46E+02 | 1.84E+02 | 1.35E+02 | 1.16E+02 | 1.56E+02 | 1.63E+02 | 1.72E+02 | 1.46E+02 | |
| F12 | Best | 2.86E+03 | 2.86E+03 | 2.86E+03 | 2.86E+03 | 2.86E+03 | 2.86E+03 | 2.86E+03 | 2.86E+03 |
| Mean | 2.86E+03 | 2.86E+03 | 2.86E+03 | 2.86E+03 | 2.86E+03 | 2.86E+03 | 2.86E+03 | 2.86E+03 | |
| Std | 1.69E+00 | 1.50E+00 | 1.48E+00 | 1.53E+00 | 1.66E+00 | 1.64E+00 | 1.20E+00 | 1.19E+00 |
Table A12.
Statistical results derived from EMSMA and SMA variants for CEC 2022 (Dim = 20).
Table A12.
Statistical results derived from EMSMA and SMA variants for CEC 2022 (Dim = 20).
| Function | Index | EMSMA | SMA | DTSMA | ISMA | AOSMA | LSMA | ESMA | MSMA |
|---|---|---|---|---|---|---|---|---|---|
| F1 | Best | 3.00E+02 | 3.00E+02 | 3.00E+02 | 3.00E+02 | 3.04E+02 | 3.00E+02 | 3.00E+02 | 3.00E+02 |
| Mean | 3.00E+02 | 3.00E+02 | 3.03E+02 | 3.18E+02 | 4.47E+02 | 3.00E+02 | 3.07E+02 | 3.13E+02 | |
| Std | 6.50E-01 | 2.71E-01 | 6.62E+00 | 3.42E+01 | 1.81E+02 | 3.86E-01 | 3.43E+01 | 5.66E+01 | |
| F2 | Best | 4.00E+02 | 4.05E+02 | 4.04E+02 | 4.05E+02 | 4.09E+02 | 4.06E+02 | 4.04E+02 | 4.07E+02 |
| Mean | 4.36E+02 | 4.48E+02 | 4.50E+02 | 4.56E+02 | 4.62E+02 | 4.50E+02 | 4.51E+02 | 4.56E+02 | |
| Std | 2.19E+01 | 1.60E+01 | 1.21E+01 | 1.91E+01 | 3.17E+01 | 1.97E+01 | 2.50E+01 | 2.81E+01 | |
| F3 | Best | 6.00E+02 | 6.00E+02 | 6.00E+02 | 6.06E+02 | 6.04E+02 | 6.01E+02 | 6.00E+02 | 6.00E+02 |
| Mean | 6.00E+02 | 6.01E+02 | 6.01E+02 | 6.38E+02 | 6.24E+02 | 6.04E+02 | 6.00E+02 | 6.03E+02 | |
| Std | 3.99E-03 | 1.14E+00 | 4.50E-01 | 1.28E+01 | 1.14E+01 | 2.47E+00 | 2.07E-01 | 2.49E+00 | |
| F4 | Best | 8.16E+02 | 8.21E+02 | 8.27E+02 | 8.51E+02 | 8.34E+02 | 8.37E+02 | 8.31E+02 | 8.34E+02 |
| Mean | 8.48E+02 | 8.67E+02 | 8.50E+02 | 8.76E+02 | 8.87E+02 | 8.66E+02 | 8.64E+02 | 8.65E+02 | |
| Std | 1.87E+01 | 2.38E+01 | 1.36E+01 | 1.54E+01 | 2.46E+01 | 1.77E+01 | 1.92E+01 | 1.69E+01 | |
| F5 | Best | 9.00E+02 | 9.11E+02 | 9.06E+02 | 1.26E+03 | 1.22E+03 | 9.19E+02 | 9.10E+02 | 1.00E+03 |
| Mean | 9.04E+02 | 1.53E+03 | 1.11E+03 | 1.94E+03 | 2.07E+03 | 1.23E+03 | 1.37E+03 | 1.57E+03 | |
| Std | 4.16E+00 | 6.49E+02 | 2.68E+02 | 3.37E+02 | 3.34E+02 | 4.36E+02 | 4.49E+02 | 3.08E+02 | |
| F6 | Best | 1.81E+03 | 2.02E+03 | 1.96E+03 | 2.07E+03 | 2.01E+03 | 2.05E+03 | 1.97E+03 | 1.91E+03 |
| Mean | 1.90E+03 | 2.02E+04 | 1.71E+04 | 6.02E+03 | 1.36E+04 | 2.06E+04 | 1.82E+04 | 1.34E+04 | |
| Std | 1.32E+02 | 6.72E+03 | 8.55E+03 | 5.70E+03 | 9.42E+03 | 7.26E+03 | 8.41E+03 | 9.67E+03 | |
| F7 | Best | 2.01E+03 | 2.03E+03 | 2.02E+03 | 2.06E+03 | 2.05E+03 | 2.03E+03 | 2.02E+03 | 2.02E+03 |
| Mean | 2.03E+03 | 2.07E+03 | 2.05E+03 | 2.11E+03 | 2.13E+03 | 2.08E+03 | 2.09E+03 | 2.07E+03 | |
| Std | 1.85E+01 | 4.02E+01 | 2.42E+01 | 2.95E+01 | 4.69E+01 | 4.38E+01 | 5.50E+01 | 2.94E+01 | |
| F8 | Best | 2.21E+03 | 2.22E+03 | 2.22E+03 | 2.23E+03 | 2.22E+03 | 2.22E+03 | 2.22E+03 | 2.22E+03 |
| Mean | 2.22E+03 | 2.25E+03 | 2.23E+03 | 2.26E+03 | 2.28E+03 | 2.25E+03 | 2.24E+03 | 2.23E+03 | |
| Std | 1.86E+00 | 4.95E+01 | 8.57E+00 | 4.63E+01 | 6.04E+01 | 3.48E+01 | 3.67E+01 | 1.76E+01 | |
| F9 | Best | 2.48E+03 | 2.48E+03 | 2.48E+03 | 2.48E+03 | 2.48E+03 | 2.48E+03 | 2.48E+03 | 2.48E+03 |
| Mean | 2.48E+03 | 2.48E+03 | 2.48E+03 | 2.48E+03 | 2.48E+03 | 2.48E+03 | 2.48E+03 | 2.48E+03 | |
| Std | 9.87E-04 | 1.06E-01 | 3.27E-02 | 1.02E-01 | 1.82E-01 | 1.24E-01 | 9.74E-02 | 1.55E-01 | |
| F10 | Best | 2.40E+03 | 2.50E+03 | 2.50E+03 | 2.50E+03 | 2.50E+03 | 2.50E+03 | 2.43E+03 | 2.42E+03 |
| Mean | 2.47E+03 | 2.88E+03 | 2.60E+03 | 2.52E+03 | 3.93E+03 | 3.71E+03 | 2.76E+03 | 2.74E+03 | |
| Std | 5.87E+01 | 2.79E+02 | 3.40E+02 | 5.11E+01 | 8.09E+02 | 8.00E+02 | 2.19E+02 | 2.19E+02 | |
| F11 | Best | 2.90E+03 | 2.60E+03 | 2.60E+03 | 2.60E+03 | 2.60E+03 | 2.60E+03 | 2.60E+03 | 2.60E+03 |
| Mean | 2.90E+03 | 2.95E+03 | 2.91E+03 | 2.95E+03 | 2.91E+03 | 2.93E+03 | 2.93E+03 | 2.91E+03 | |
| Std | 5.39E+00 | 1.46E+02 | 8.97E+01 | 9.86E+01 | 1.02E+02 | 1.06E+02 | 8.25E+01 | 1.01E+02 | |
| F12 | Best | 2.93E+03 | 2.93E+03 | 2.94E+03 | 2.94E+03 | 2.94E+03 | 2.93E+03 | 2.94E+03 | 2.94E+03 |
| Mean | 2.95E+03 | 2.95E+03 | 2.95E+03 | 2.96E+03 | 2.96E+03 | 2.94E+03 | 2.95E+03 | 2.95E+03 | |
| Std | 1.11E+01 | 1.01E+01 | 8.31E+00 | 1.63E+01 | 1.64E+01 | 5.05E+00 | 8.94E+00 | 8.87E+00 |
Appendix B


Figure A1.
Convergence curves of EMSMA and SMA variants for CEC 2017 (Dim = 10).


Figure A2.
Convergence curves of EMSMA and SMA variants for CEC 2017 (Dim = 30).


Figure A3.
Convergence curves of EMSMA and SMA variants for CEC 2017 (Dim = 50).


Figure A4.
Convergence curves of EMSMA and SMA variants for CEC 2017 (Dim = 100).

Figure A5.
Convergence curves of EMSMA and SMA variants for CEC 2022 (Dim = 10).

Figure A6.
Convergence curves of EMSMA and SMA variants for CEC 2022 (Dim = 20).


Figure A7.
Boxplots of EMSMA and SMA variants for CEC 2017 (Dim = 10).


Figure A8.
Boxplots of EMSMA and SMA variants for CEC 2017 (Dim = 30).


Figure A9.
Boxplots of EMSMA and SMA variants for CEC 2017 (Dim = 50).


Figure A10.
Boxplots of EMSMA and SMA variants for CEC 2017 (Dim = 100).

Figure A11.
Boxplots of EMSMA and SMA variants for CEC 2022 (Dim = 10).

Figure A12.
Boxplots of EMSMA and SMA variants for CEC 2022 (Dim = 20).
References
- Jin, B.; Vai, M.I. An adaptive ultrasonic backscattered signal processing technique for accurate object localization based on the instantaneous energy density level. J. Med. Imaging Health Inform. 2015, 5, 1059–1064. [Google Scholar] [CrossRef]
- Jin, B.; Cruz, L.; Goncalves, N. Pseudo RGB-D Face Recognition. IEEE Sens. J. 2022, 22, 21780–21794. [Google Scholar] [CrossRef]
- Zhao, S.; Zhang, T.; Ma, S.; Chen, M. Dandelion Optimizer: A nature-inspired metaheuristic algorithm for engineering applications. Eng. Appl. Artif. Intell. 2022, 114, 105075. [Google Scholar] [CrossRef]
- Sulaiman, M.H.; Mustaffa, Z.; Saari, M.M.; Daniyal, H. Barnacles Mating Optimizer: A new bio-inspired algorithm for solving engineering optimization problems. Eng. Appl. Artif. Intell. 2020, 87, 103330. [Google Scholar] [CrossRef]
- Tang, A.D.; Han, T.; Zhou, H.; Xie, L. An improved equilibrium optimizer with application in unmanned aerial vehicle path planning. Sensors 2021, 21, 1814. [Google Scholar] [CrossRef]
- Zhao, F.; Wang, Q.; Wang, L. An inverse reinforcement learning framework with the Q-learning mechanism for the metaheuristic algorithm. Knowl.-Based Syst. 2023, 265, 110368. [Google Scholar] [CrossRef]
- López, A.; Ogayar, C.J.; Jurado, J.M.; Feito, F.R. Metaheuristics for the optimization of Terrestrial LiDAR set-up. Autom. Constr. 2023, 146, 104675. [Google Scholar] [CrossRef]
- Hashim, F.A.; Mostafa, R.R.; Khurma, R.A.; Qaddoura, R.; Castillo, P.A. A new approach for solving global optimization and engineering problems based on modified sea horse optimizer. J. Comput. Des. Eng. 2024, 11, 73–98. [Google Scholar] [CrossRef]
- Kwa, H.L.; Leong Kit, J.; Bouffanais, R. Balancing Collective Exploration and Exploitation in Multi-Agent and Multi-Robot Systems: A Review. Front. Robot. AI 2022, 8, 771520. [Google Scholar] [CrossRef] [PubMed]
- Mamoudan, M.M.; Jafari, A.; Mohammadnazari, Z.; Nasiri, M.M.; Yazdani, M. Hybrid machine learning-metaheuristic model for sustainable agri-food production and supply chain planning under water scarcity. Resour. Environ. Sustain. 2023, 14, 100133. [Google Scholar] [CrossRef]
- Khalili-Fard, A.; Parsaee, S.; Bakhshi, A.; Yazdani, M.; Aghsami, A.; Rabbani, M. Multi-objective optimization of closed-loop supply chains to achieve sustainable development goals in uncertain environments. Eng. Appl. Artif. Intell. 2024, 133, 108052. [Google Scholar] [CrossRef]
- Abualigah, L.; Diabat, A. Chaotic binary Group Search Optimizer for feature selection. Expert Syst. Appl. 2022, 192, 116368. [Google Scholar] [CrossRef]
- Linganathan, S.; Singamsetty, P. Genetic algorithm to the bi-objective multiple travelling salesman problem. Alexandria Eng. J. 2024, 90, 98–111. [Google Scholar] [CrossRef]
- Li, X.; Zhang, S.; Shao, P. Discrete artificial bee colony algorithm with fixed neighborhood search for traveling salesman problem. Eng. Appl. Artif. Intell. 2024, 131, 107816. [Google Scholar] [CrossRef]
- Gupta, S.; Deep, K. Improved sine cosine algorithm with crossover scheme for global optimization. Knowl.-Based Syst. 2019, 165, 374–406. [Google Scholar] [CrossRef]
- Abualigah, L.; Habash, M.; Hanandeh, E.S.; Hussein, A.M.A.; Shinwan, M.A.; Zitar, R.A.; Jia, H. Improved Reptile Search Algorithm by Salp Swarm Algorithm for Medical Image Segmentation. J. Bionic Eng. 2023, 20, 1766–1790. [Google Scholar] [CrossRef] [PubMed]
- Abualigah, L.; Al-Okbi, N.K.; Elaziz, M.A.; Houssein, E.H. Boosting Marine Predators Algorithm by Salp Swarm Algorithm for Multilevel Thresholding Image Segmentation. Multimed. Tools Appl. 2022, 81, 16707–16742. [Google Scholar] [CrossRef]
- Jin, B.; Gonçalves, N.; Cruz, L.; Medvedev, I.; Yu, Y.; Wang, J. Simulated multimodal deep facial diagnosis. Expert Syst. Appl. 2024, 252, 123881. [Google Scholar] [CrossRef]
- Abualigah, L.; Almotairi, K.H.; Elaziz, M.A. Multilevel thresholding image segmentation using meta-heuristic optimization algorithms: Comparative analysis, open challenges and new trends. Appl. Intell. 2023, 53, 11654–11704. [Google Scholar] [CrossRef]
- Zhao, Q.; Li, C.; Zhu, D.; Xie, C. Coverage Optimization of Wireless Sensor Networks Using Combinations of PSO and Chaos Optimization. Electronics 2022, 11, 853. [Google Scholar] [CrossRef]
- Ou, Y.; Qin, F.; Zhou, K.-Q.; Yin, P.-F.; Mo, L.-P.; Mohd Zain, A. An Improved Grey Wolf Optimizer with Multi-Strategies Coverage in Wireless Sensor Networks. Symmetry 2024, 16, 286. [Google Scholar] [CrossRef]
- Yu, X.; Li, C.; Zhou, J.F. A constrained differential evolution algorithm to solve UAV path planning in disaster scenarios. Knowl.-Based Syst. 2020, 204, 106209. [Google Scholar] [CrossRef]
- Qu, C.; Gai, W.; Zhang, J.; Zhong, M. A novel hybrid grey wolf optimizer algorithm for unmanned aerial vehicle (UAV) path planning. Knowl.-Based Syst. 2020, 194, 105530. [Google Scholar] [CrossRef]
- Abualigah, L.; Alkhrabsheh, M. Amended hybrid multi-verse optimizer with genetic algorithm for solving task scheduling problem in cloud computing. J. Supercomput. 2022, 78, 740–765. [Google Scholar] [CrossRef]
- John, H.H. Adaptation in Natural and Artificial Systems; University of Michigan Press: Ann Arbor, MI, USA, 1992. [Google Scholar]
- Sarker, R.A.; Elsayed, S.M.; Ray, T. Differential evolution with dynamic parameters selection for optimization problems. IEEE Trans. Evol. Comput. 2014, 18, 689–707. [Google Scholar] [CrossRef]
- Simon, D. Biogeography-based optimization. IEEE Trans. Evol. Comput. 2008, 12, 702–713. [Google Scholar] [CrossRef]
- Fogel, D.B. Applying evolutionary programming to selected traveling salesman problems. Cybern. Syst. 1993, 24, 27–36. [Google Scholar] [CrossRef]
- Beyer, H.-G.; Schwefel, H.-P. Evolution strategies—A comprehensive introduction. Nat. Comput. 2002, 1, 3–52. [Google Scholar] [CrossRef]
- Yang, X. Nature-Inspired Metaheuristic Algorithms; Luniver Press: London, UK, 2010; ISBN 9781905986286. [Google Scholar]
- Rashedi, E.; Nezamabadi-pour, H.; Saryazdi, S. GSA: A Gravitational Search Algorithm. Inf. Sci. 2009, 179, 2232–2248. [Google Scholar] [CrossRef]
- Mirjalili, S.; Mirjalili, S.M.; Hatamlou, A. Multi-Verse Optimizer: A nature-inspired algorithm for global optimization. Neural Comput. Appl. 2016, 27, 495–513. [Google Scholar] [CrossRef]
- Mirjalili, S. SCA: A Sine Cosine Algorithm for solving optimization problems. Knowl.-Based Syst. 2016, 96, 120–133. [Google Scholar] [CrossRef]
- Abualigah, L.; Diabat, A.; Mirjalili, S.; Abd Elaziz, M.; Gandomi, A.H. The Arithmetic Optimization Algorithm. Comput. Methods Appl. Mech. Eng. 2021, 376, 113609. [Google Scholar] [CrossRef]
- Cheng, S.; Qin, Q.; Chen, J.; Shi, Y. Brain storm optimization algorithm: A review. Artif. Intell. Rev. 2016, 46, 445–458. [Google Scholar] [CrossRef]
- Rao, R.V.; Savsani, V.J.; Vakharia, D.P. Teaching-learning-based optimization: A novel method for constrained mechanical design optimization problems. CAD Comput. Aided Des. 2011, 43, 303–315. [Google Scholar] [CrossRef]
- Zhang, Y.; Jin, Z. Group teaching optimization algorithm: A novel metaheuristic method for solving global optimization problems. Expert Syst. Appl. 2020, 148, 113246. [Google Scholar] [CrossRef]
- Bayzidi, H.; Talatahari, S.; Saraee, M.; Lamarche, C.P. Social Network Search for Solving Engineering Optimization Problems. Comput. Intell. Neurosci. 2021, 2021, 8548639. [Google Scholar] [CrossRef]
- Moosavian, N.; Kasaee Roodsari, B. Soccer league competition algorithm: A novel meta-heuristic algorithm for optimal design of water distribution networks. Swarm Evol. Comput. 2014, 7, 14–24. [Google Scholar] [CrossRef]
- Kumar, M.; Kulkarni, A.J.; Satapathy, S.C. Socio evolution & learning optimization algorithm: A socio-inspired optimization methodology. Futur. Gener. Comput. Syst. 2018, 81, 252–272. [Google Scholar] [CrossRef]
- Kennedy, J.; Eberhart, R. Particle swarm optimization. In Proceedings of the IEEE International Conference on Neural Networks—Conference Proceedings, Perth, WA, Australia, 27 November–1 December 1995. [Google Scholar]
- Dorigo, M.; Di Caro, G. Ant colony optimization: A new meta-heuristic. In Proceedings of the 1999 Congress on Evolutionary Computation, CEC, Washington, DC, USA, 6–9 July 1999. [Google Scholar]
- Fister, I.; Yang, X.S.; Brest, J. A comprehensive review of firefly algorithms. Swarm Evol. Comput. 2013, 13, 34–46. [Google Scholar] [CrossRef]
- Mirjalili, S.; Mirjalili, S.M.; Lewis, A. Grey Wolf Optimizer. Adv. Eng. Softw. 2014, 69, 46–61. [Google Scholar] [CrossRef]
- Mirjalili, S.; Lewis, A. The Whale Optimization Algorithm. Adv. Eng. Softw. 2016, 95, 51–67. [Google Scholar] [CrossRef]
- Heidari, A.A.; Mirjalili, S.; Faris, H.; Aljarah, I.; Mafarja, M.; Chen, H. Harris hawks optimization: Algorithm and applications. Futur. Gener. Comput. Syst. 2019, 97, 849–872. [Google Scholar] [CrossRef]
- Abualigah, L.; Elaziz, M.A.; Sumari, P.; Geem, Z.W.; Gandomi, A.H. Reptile Search Algorithm (RSA): A nature-inspired meta-heuristic optimizer. Expert Syst. Appl. 2022, 191, 116158. [Google Scholar] [CrossRef]
- Agushaka, J.O.; Ezugwu, A.E.; Abualigah, L. Dwarf Mongoose Optimization Algorithm. Comput. Methods Appl. Mech. Eng. 2022, 391, 114570. [Google Scholar] [CrossRef]
- Xie, L.; Han, T.; Zhou, H.; Zhang, Z.-R.; Han, B.; Tang, A. Tuna Swarm Optimization: A Novel Swarm-Based Metaheuristic Algorithm for Global Optimization. Comput. Intell. Neurosci. 2021, 2021, 9210050. [Google Scholar] [CrossRef] [PubMed]
- Jia, H.; Peng, X.; Lang, C. Remora optimization algorithm. Expert Syst. Appl. 2021, 185, 115665. [Google Scholar] [CrossRef]
- Jia, H.; Rao, H.; Wen, C.; Mirjalili, S. Crayfish optimization algorithm. Artif. Intell. Rev. 2023, 56, 1919–1979. [Google Scholar] [CrossRef]
- Wolpert, D.H.; Macready, W.G. No free lunch theorems for optimization. IEEE Trans. Evol. Comput. 1997, 1, 67–82. [Google Scholar] [CrossRef]
- Li, S.; Chen, H.; Wang, M.; Heidari, A.A.; Mirjalili, S. Slime mould algorithm: A new method for stochastic optimization. Futur. Gener. Comput. Syst. 2020, 111, 300–323. [Google Scholar] [CrossRef]
- Naik, M.K.; Panda, R.; Abraham, A. Normalized square difference based multilevel thresholding technique for multispectral images using leader slime mould algorithm. J. King Saud Univ. Comput. Inf. Sci. 2022, 34, 4524–4536. [Google Scholar] [CrossRef]
- Yousri, D.; Fathy, A.; Rezk, H.; Babu, T.S.; Berber, M.R. A reliable approach for modeling the photovoltaic system under partial shading conditions using three diode model and hybrid marine predators-slime mould algorithm. Energy Convers. Manag. 2021, 243, 114269. [Google Scholar] [CrossRef]
- Abdel-Basset, M.; Mohamed, R.; Chakrabortty, R.K.; Ryan, M.J.; Mirjalili, S. An efficient binary slime mould algorithm integrated with a novel attacking-feeding strategy for feature selection. Comput. Ind. Eng. 2021, 153, 107078. [Google Scholar] [CrossRef]
- Hassan, M.H.; Kamel, S.; Abualigah, L.; Eid, A. Development and application of slime mould algorithm for optimal economic emission dispatch. Expert Syst. Appl. 2021, 182, 115205. [Google Scholar] [CrossRef]
- Wang, X.; Zhao, H.; Han, T.; Zhou, H.; Li, C. A grey wolf optimizer using Gaussian estimation of distribution and its application in the multi-UAV multi-target urban tracking problem. Appl. Soft Comput. J. 2019, 78, 240–260. [Google Scholar] [CrossRef]
- Abualigah, L.; Al-qaness, M.A.A.; Abd Elaziz, M.; Ewees, A.A.; Oliva, D.; Cuong-Le, T. The non-monopolize search (NO): A novel single-based local search optimization algorithm. Neural Comput. Appl. 2024, 36, 5305–5332. [Google Scholar] [CrossRef]
- Faramarzi, A.; Heidarinejad, M.; Mirjalili, S.; Gandomi, A.H. Marine Predators Algorithm: A nature-inspired metaheuristic. Expert Syst. Appl. 2020, 152, 113377. [Google Scholar] [CrossRef]
- Yin, S.; Luo, Q.; Du, Y.; Zhou, Y. DTSMA: Dominant Swarm with Adaptive T-distribution Mutation-based Slime Mould Algorithm. Math. Biosci. Eng. 2022, 19, 2240–2285. [Google Scholar] [CrossRef]
- Tang, A.D.; Tang, S.Q.; Han, T.; Zhou, H.; Xie, L. A Modified Slime Mould Algorithm for Global Optimization. Comput. Intell. Neurosci. 2021, 2021, 2298215. [Google Scholar] [CrossRef]
- Naik, M.K.; Panda, R.; Abraham, A. Adaptive opposition slime mould algorithm. Soft Comput. 2021, 25, 14297–14313. [Google Scholar] [CrossRef]
- Naik, M.K.; Panda, R.; Abraham, A. An entropy minimization based multilevel colour thresholding technique for analysis of breast thermograms using equilibrium slime mould algorithm. Appl. Soft Comput. 2021, 113, 107955. [Google Scholar] [CrossRef]
- Deng, L.; Liu, S. A multi-strategy improved slime mould algorithm for global optimization and engineering design problems. Comput. Methods Appl. Mech. Eng. 2023, 404, 115764. [Google Scholar] [CrossRef]
- Awad, N.H.; Ali, M.Z.; Suganthan, P.N.; Liang, J.J.; Qu, B.Y. Problem Definitions and Evaluation Criteria for the CEC2017 Special Session and Competition on Single Objective Real-Parameter Numertical Optimization; Nanyang Technological University: Singapore, 2016. [Google Scholar]
- Warchulski, E.; Arabas, J.; Biedrzycki, R. Improving the differential evolution strategy by coupling it with CMA-ES. In Proceedings of the GECCO 2022 Companion–Proceedings of the 2022 Genetic and Evolutionary Computation Conference, Boston, MA, USA, 9–13 July 2022. [Google Scholar]
- Li, Y.; Han, T.; Zhou, H.; Tang, S.; Zhao, H. A novel adaptive L-SHADE algorithm and its application in UAV swarm resource configuration problem. Inf. Sci. 2022, 606, 350–367. [Google Scholar] [CrossRef]
Disclaimer/Publisher’s Note: The statements, opinions and data contained in all publications are solely those of the individual author(s) and contributor(s) and not of MDPI and/or the editor(s). MDPI and/or the editor(s) disclaim responsibility for any injury to people or property resulting from any ideas, methods, instructions or products referred to in the content. |
© 2024 by the authors. Licensee MDPI, Basel, Switzerland. This article is an open access article distributed under the terms and conditions of the Creative Commons Attribution (CC BY) license (https://creativecommons.org/licenses/by/4.0/).