Research on Friction Performance of Friction Stir Welding Tools Based on Non-Smooth Structure
Abstract
1. Introduction
2. Materials and Methods
2.1. Materials
2.2. Bionic Structural Design
2.3. Experimental Equipment and Methods
3. Results
3.1. Thermal Cycling and Stress Analysis during Welding Process
3.2. Thermal Cycling and Force Analysis of Different Bionic Structures
3.3. Thermal Cycling and Force Analysis of Different Rotational Speed
3.4. Friction and Wear Characteristics of Bionic Structure Welding Tool
4. Conclusions
- (1)
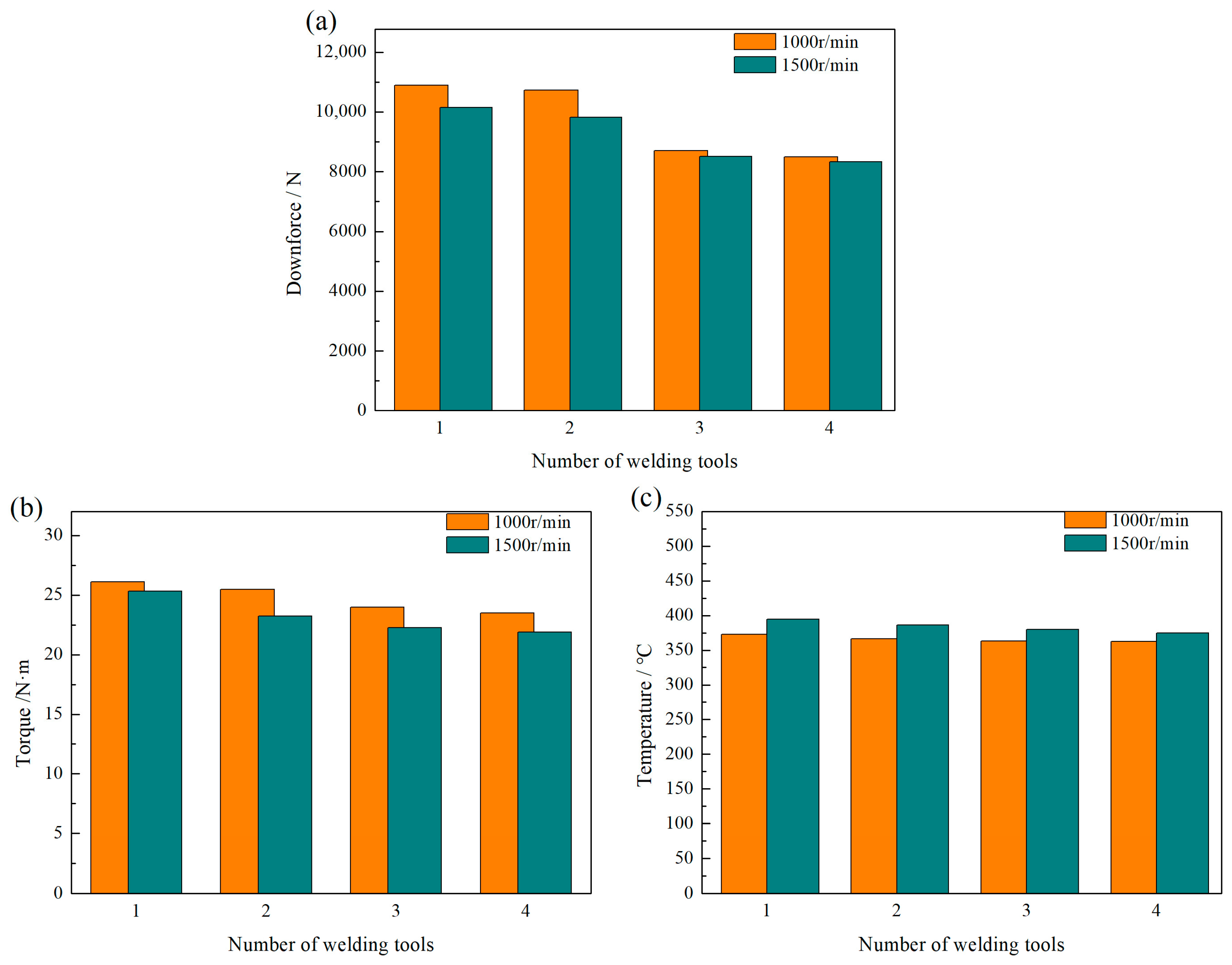
- When comparing the distribution density of non-smooth pits, it was observed that as the spacing between pits decreases and the number of pits increases, the peak downforce, torque, and temperature during the welding process exhibit a decreasing trend. This indicates that the application of non-smooth pit structures on the shoulder of the welding tool can attenuate downforce, reduce friction, and lower torque. When comparing measured values at different speeds, it was found that at 1500 r/min there are similar changes in downforce, torque, and temperature for different non-smooth structure tools compared to those at 1000 r/min. As speed increases, regardless of what tool structure changes occur, there is a decrease in both downforce and torque while an increase in temperature peaks is observed.
- (2)
- The welding experiment results have shown that the wear weight loss of the non-smooth structure tools is significantly reduced, with the lowest weight loss of tool 4# being only 0.1529 g, which is 27% lower than that of tools without this structure.
- (3)
- Observing the surface morphology after welding, it was found that a large amount of sheet-like and granular aluminum adhesive was adhered to the shoulder of the conventional tool. However, as the density of non-smooth pits increased, the amount of aluminum adhesive on the shoulder of the welding tool gradually decreased. There were no large aluminum chips between the pits or the pits and grooves of the 4# tool. Therefore, welding tools with non-smooth concave surfaces have characteristics such as wear resistance, viscosity reduction, and an improved service life.
Author Contributions
Funding
Data Availability Statement
Conflicts of Interest
References
- Thomas, W.M. Friction Stir Butt Welding: International Patent Application. Patent No. PCT/GB92/0220, 1 December 1991. [Google Scholar]
- Mishtra, R.S.; De, P.S.; Kumar, N. Friction Stir Welding and Processing; Springer International Publishing: Cham, Switzerland, 2014; p. 109. [Google Scholar]
- Hovanski, Y.; Carsley, J.E.; Clarke, K.D.; Krajewski, P.E. Friction-stir welding and processing. JOM 2015, 67, 996. [Google Scholar] [CrossRef][Green Version]
- Rai, R.; De, A.; Bhadeshia, H.K.D.H.; DebRoy, T. Review: Friction stir welding tools. Sci. Technol. Weld. Join. 2011, 16, 325–342. [Google Scholar] [CrossRef]
- Naveen Kumar, P.; Jayakumar, K. Influence of tool pin profiles in the strength enhancement of friction stir welded AA5083 and AA5754 alloys. Mater. Res. Express 2022, 9, 036505. [Google Scholar] [CrossRef]
- Azmi, M.H.; Hasnol, M.Z.; Zaharuddin, M.F.A.; Sharif, S.; Rhee, S. Effect of tool pin profile on friction stir welding of dissimilar materials aa5083 and aa7075 aluminum alloy. Min. Miner. 2022, 67, 465–470. [Google Scholar]
- Dawood, H.; Mohammed, K.S.; Rahmat, A.; Uday, M. Effect of small tool pin profiles on microstructures and mechanical properties of 6061 aluminum alloy by friction stir welding. Trans. Nonferrous Met. Soc. China 2015, 25, 2856–2865. [Google Scholar] [CrossRef]
- Mehta, M.; De, A.; DebRoy, T. Material adhesion and stresses on friction stir welding tool pins. Sci. Technol. Weld. Join. 2014, 19, 534–540. [Google Scholar] [CrossRef]
- Abdollahzadeh, A.; Bagheri, B.; Abbasi, M.; Sharifi, F.; Mirsalehi, S.E.; Moghaddam, A.O. A modified version of friction stir welding process of aluminum alloys: Analyzing the thermal treatment and wear behavior. Des. Appl. 2021, 235, 2291–2309. [Google Scholar] [CrossRef]
- Ma, Y.; Wang, H.; Xiao, Y.; Fan, X.; Tong, J.; Guo, L.; Tian, L. Friction and wear behavior of steel with bionic non-smooth surfaces during sliding. Mater. Sci. Technol. 2016, 32, 257–265. [Google Scholar] [CrossRef]
- Vijayakumar, S.; Anitha, S.; Arivazhagan, R.; Hailu, A.D.; Rao, T.V.J.; Pydi, H.P. Wear investigation of aluminum alloy surface layers fabricated through friction stir welding method. Adv. Mater. Sci. Eng. 2022, 2022, 4120145. [Google Scholar] [CrossRef]
- Ren, L.Q.; Li, J.Q.; Chen, B.C. Research on biomimetic drag reduction of non-smooth surfaces. Chin. Sci. Bull. 1995, 40, 1812–1814. [Google Scholar]
- Wei, S.; Shang, H.; Liao, C.; Huang, J.; Shi, B. Tribology performance of surface texturing plunger. Biomimetics 2019, 4, 54. [Google Scholar] [CrossRef]
- Neinhuis, C.; Barthlott, W. Characterization and distribution of water-repellent, self-cleaning plant surfaces. Ann. Bot. 1997, 79, 667–677. [Google Scholar] [CrossRef]
- Bechert, D.W.; Bruse, M.; Hage, W. Experiments with three-dimensional riblets as and realized model of shark skin. Exp. Fluids 2000, 28, 403–412. [Google Scholar] [CrossRef]
- Gu, Y.Q.; Fan, T.X.; Mou, J.G.; Liu, F.Q.; Jiang, L.F.; Wu, D.H. Advances in researches on bionics. J. Biomim. Biomater. Biomed. Eng. 2015, 25, 3–11. [Google Scholar] [CrossRef]
- Lu, Y.X. Significance and progress of bionics. J. Bionics Eng. 2004, 1, 1–3. [Google Scholar]
- Oeffner, J.; Lauder, G.V. The hydrodynamic function of shark skin and two biomimetic applications. J. Exp. Biol. 2012, 215, 785–795. [Google Scholar] [CrossRef]
- Kin, J.; Choi, H. Aerodynamics of a golf ball with grooves. Proc. Inst. Mech. Eng. Part P-J. Sports Eng. Technol. 2014, 228, 233–241. [Google Scholar]
- Wang, Z.Q.; Fu, Q.; Wood, R.J.K.; Wu, J.; Wang, S. Influence of bionic non-smooth surface texture on tribological characteristics of carbon-fiber-reinforced polyetheretherketone under seawater lubrication. Tribol. Int. 2020, 144, 106100. [Google Scholar] [CrossRef]
- Zhou, H.; Wang, G.; Ding, Y.; Yang, J.; Zhai, H. Investigation of the effect of dimple bionic non smooth surface on tire ant hydroplaning. Appl. Bionics Biomech. 2015, 10, 694068. [Google Scholar]
- Gu, Y.; Yu, L.; Mou, J.; Shi, Z.; Yan, M.; Wu, D. Influence of circular non-smooth structure on cavitation damage characteristics of centrifugal pump. J. Braz. Soc. Mech. Sci. Eng. 2022, 44, 155. [Google Scholar] [CrossRef]
- Chen, Q.; Shou, D.; Fu, B.; Zheng, R.; Fan, J. Development of moisture management knitted fabrics integrated with non-smooth concave surface and mesh structure. Fibers Polym. 2022, 23, 1142–1149. [Google Scholar] [CrossRef]
- Ma, Z.; Wu, Z.P.; Li, Y.F.; Song, Z.; Yu, J.; Li, Y.; Xu, L. Study of the grain particle-conveying performance of a bionic non-smooth-structure screw conveyor. Biosyst. Eng. 2024, 238, 94–104. [Google Scholar] [CrossRef]
- Wang, D.W.; Chen, C.J.; Deng, C. The use of non-smooth surfaces to control the wake of a high-speed train. Proc. Inst. Mech. Eng. Part F-J. Rail Rapid Transit 2020, 234, 1041–1053. [Google Scholar] [CrossRef]
- Ren, L.Q. Progress in the bionic study on anti-adhesion and resistance reduction of terrain machines. Sci. China Technol. Sci. 2009, 52, 273–284. [Google Scholar] [CrossRef]
- Han, Z.W.; Xu, X.X.; Ren, L.Q. Regression analysis of micro-friction and wear on concave non-smooth surface. Tribology 2005, 25, 578–582. [Google Scholar]











| C | Si | Mn | Cr | Mo | V | P | S | Fe |
|---|---|---|---|---|---|---|---|---|
| 0.32–0.45 | 0.80–1.20 | 0.20–0.50 | 4.75–5.50 | 1.10–1.75 | 0.80–1.20 | ≤0.30 | ≤0.30 | Remainder |
| Si | Fe | Cu | Mn | Mg | Cr | Zn | Ti | Al |
|---|---|---|---|---|---|---|---|---|
| 0.4~0.8 | ≤0.7 | 0.1~0.4 | 0.15 | 0.6~1.2 | 0.04 | 0.25 | 0.15 | Remainder |
Disclaimer/Publisher’s Note: The statements, opinions and data contained in all publications are solely those of the individual author(s) and contributor(s) and not of MDPI and/or the editor(s). MDPI and/or the editor(s) disclaim responsibility for any injury to people or property resulting from any ideas, methods, instructions or products referred to in the content. |
© 2024 by the authors. Licensee MDPI, Basel, Switzerland. This article is an open access article distributed under the terms and conditions of the Creative Commons Attribution (CC BY) license (https://creativecommons.org/licenses/by/4.0/).
Share and Cite
Li, Y.; Huangfu, Y.; Feng, J.; Tian, L.; Ren, L. Research on Friction Performance of Friction Stir Welding Tools Based on Non-Smooth Structure. Biomimetics 2024, 9, 427. https://doi.org/10.3390/biomimetics9070427
Li Y, Huangfu Y, Feng J, Tian L, Ren L. Research on Friction Performance of Friction Stir Welding Tools Based on Non-Smooth Structure. Biomimetics. 2024; 9(7):427. https://doi.org/10.3390/biomimetics9070427
Chicago/Turabian StyleLi, Yupeng, Yu Huangfu, Jiacheng Feng, Limei Tian, and Luquan Ren. 2024. "Research on Friction Performance of Friction Stir Welding Tools Based on Non-Smooth Structure" Biomimetics 9, no. 7: 427. https://doi.org/10.3390/biomimetics9070427
APA StyleLi, Y., Huangfu, Y., Feng, J., Tian, L., & Ren, L. (2024). Research on Friction Performance of Friction Stir Welding Tools Based on Non-Smooth Structure. Biomimetics, 9(7), 427. https://doi.org/10.3390/biomimetics9070427
