Solving UAV 3D Path Planning Based on the Improved Lemur Optimizer Algorithm
Abstract
1. Introduction
2. Lemurs Optimizer (LO)
| Algorithm 1. The LO algorithm’s pseudocode | 
| 
 | 
3. Improved Lemur Optimizer (ILO)
3.1. Introduction of Updated Jump Rates
3.2. Fusion Spider Wasp Optimizer
3.3. Adaptive Nonlinear Decreasing Model
3.3.1. Adaptive Jumping Rate
3.3.2. Adaptive CR
3.3.3. Adaptive TR
3.4. Combining Improved Simulated Annealing Algorithms
3.5. Adding Adaptive Learning Factors
| Algorithm 2. The ILO algorithm’s pseudocode | 
| 
 | 
4. Simulation Test and Result Analysis of Improved Lemur Optimizer
4.1. Comparison of Test Function Results
4.2. Results and Analysis of Cec2017 Benchmark Functions
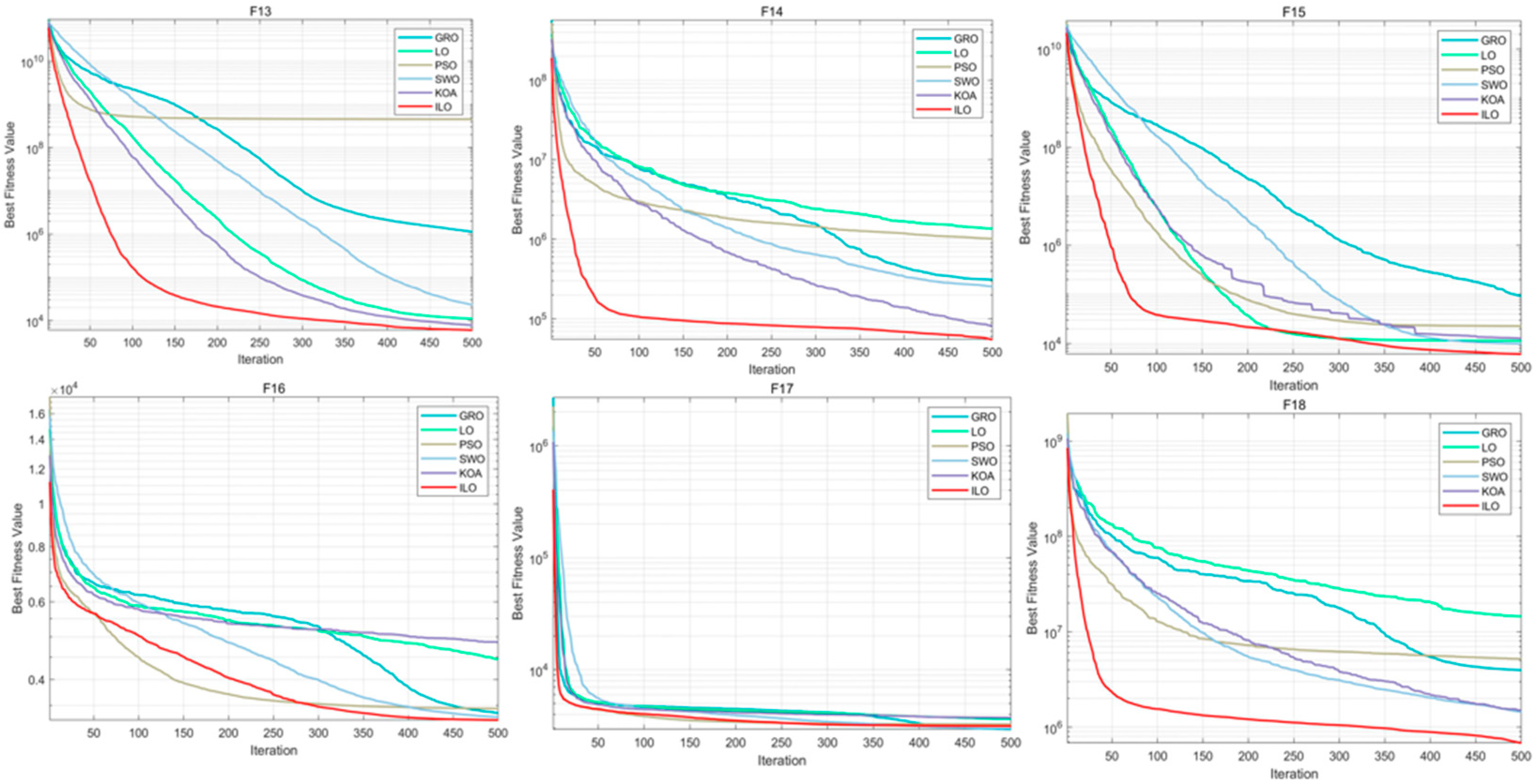
4.3. Comparison of Convergence Curves and Box Plots for 50dimCec2017 Benchmark Functions
4.4. Comparison of Convergence Curves and Box Plots for 100dimCec2017 Benchmark Functions
5. Comparison of UAV Path Planning Applications
5.1. Environmental Modeling
5.2. Flight Path and Smoothing
5.2.1. Cubic Spline Interpolation Path Smoothing Generation Algorithm
5.2.2. Restrictive Condition
5.2.3. Objective Function
6. Analysis of Simulation Results of ILO Algorithm and Other Intelligent Algorithms
7. Concluding Remarks
Author Contributions
Funding
Institutional Review Board Statement
Data Availability Statement
Conflicts of Interest
Appendix A
| Dim = 50 | |||||||
|---|---|---|---|---|---|---|---|
| GRO | LO | PSO | SWO | KOA | ILO | ||
| F1 | Max | 6.95E+09 | 3.08E+08 | 1.61E+10 | 9.78E+08 | 8.25E+07 | 6.32E+04 | 
| Mean | 3.37E+09 | 2.121E+08 | 4.41E+09 | 4.70E+08 | 2.21E+07 | 1.65E+04 | |
| Min | 1.52E+09 | 1.02E+08 | 2.86E+07 | 2.28E+08 | 2.20E+06 | 1.92E+03 | |
| p-value | 3.02E−11 | 3.02E−11 | 3.02E−11 | 3.02E−11 | 3.02E−11 | 1 | |
| Std | 1.36E+09 | 6.25E+07 | 3.80E+09 | 1.95E+08 | 1.82E+07 | 1.46E+04 | |
| F2 | Max | 3.58E+54 | 5.45E+64 | 4.19E+55 | 2.68E+48 | 1.39E+45 | 3.22E+40 | 
| Mean | 1.40E+53 | 2.59E+63 | 1.54E+54 | 1.02E+47 | 9.03E+43 | 1.14E+39 | |
| Min | 4.97E+44 | 8.31E+48 | 4.29E+37 | 1.95E+39 | 1.62E+32 | 3.08E+30 | |
| p-value | 3.02E−11 | 3.02E−11 | 2.61E−10 | 4.50E−11 | 3.32E−06 | 1 | |
| Std | 6.56E+53 | 1.05E+64 | 7.65E+54 | 4.89E+47 | 3.18E+44 | 5.88E+39 | |
| F3 | Max | 2.10E+05 | 4.53E+05 | 4.63E+05 | 1.78E+05 | 2.86E+05 | 1.60E+05 | 
| Mean | 1.64E+05 | 3.21E+05 | 2.19E+05 | 1.17E+05 | 2.02E+05 | 1.03E+05 | |
| Min | 1.15E+05 | 2.40E+05 | 1.23E+05 | 8.02E+04 | 1.29E+05 | 5.18E+04 | |
| p-value | 3.96E−08 | 3.02E−11 | 8.10E−10 | 7.98E−02 | 8.99E−11 | 1 | |
| Std | 2.74E+04 | 5.31E+04 | 7.64E+04 | 2.14E+04 | 3.65E+04 | 3.32E+04 | |
| F4 | Max | 1.66E+03 | 8.44E+02 | 2.80E+04 | 8.47E+02 | 7.71E+02 | 6.60E+02 | 
| Mean | 1.05E+03 | 7.20E+02 | 9.16E+02 | 7.46E+02 | 6.70E+02 | 5.74E+02 | |
| Min | 8.41E+02 | 5.98E+02 | 5.88E+02 | 6.96E+02 | 5.52E+02 | 4.55E+02 | |
| p-value | 3.02E−11 | 1.46E−10 | 3.82E−10 | 3.02E−11 | 2.20E−07 | 1 | |
| Std | 1.73E+02 | 5.70E+01 | 4.74E+02 | 4.13E+01 | 6.30E+01 | 4.60E+01 | |
| F5 | Max | 8.45E+02 | 9.77E+02 | 9.27E+02 | 8.74E+02 | 9.91E+02 | 6.52E+02 | 
| Mean | 7.94E+02 | 8.97E+02 | 7.96E+02 | 7.52E+02 | 9.34E+02 | 5.91E+02 | |
| Min | 7.37E+02 | 7.98E+02 | 6.65E+02 | 6.90E+02 | 8.66E+02 | 5.57E+02 | |
| p-value | 3.02E−11 | 3.02E−11 | 3.02E−11 | 3.02E−11 | 3.02E−11 | 1 | |
| Std | 2.73E+01 | 4.76E+01 | 6.40E+01 | 4.57E+01 | 2.98E+01 | 2.72E+01 | |
| F6 | Max | 6.29E+02 | 6.16E+02 | 6.53E+02 | 6.21E+02 | 6.26E+02 | 6.06E+02 | 
| Mean | 6.20E+02 | 6.09E+02 | 6.35E+02 | 6.16E+02 | 6.12E+02 | 6.04E+02 | |
| Min | 6.14E+02 | 6.05E+02 | 6.14E+02 | 6.11E+02 | 6.06E+02 | 6.01E+02 | |
| p-value | 3.02E−11 | 6.07E−11 | 3.02E−11 | 3.02E−11 | 4.08E−11 | 1 | |
| Std | 4.11E+00 | 2.58E+00 | 8.29E+00 | 2.78E+00 | 4.77E+00 | 1.17E+00 | |
| F7 | Max | 1.23E+03 | 1.34E+03 | 1.51E+03 | 1.29E+03 | 1.41E+03 | 1.01E+03 | 
| Mean | 1.10E+03 | 1.22E+03 | 1.19E+03 | 1.14E+03 | 1.27E+03 | 8.96E+02 | |
| Min | 9.52E+02 | 1.13E+03 | 1.00E+03 | 9.73E+02 | 1.16E+03 | 8.38E+02 | |
| p-value | 5.49E−11 | 3.02E−11 | 3.34E−11 | 3.69E−11 | 3.02E−11 | 1 | |
| Std | 6.11E+01 | 5.23E+01 | 1.10E+02 | 7.63E+01 | 4.85E+01 | 4.53E+01 | |
| F8 | Max | 1.21E+03 | 1.28E+03 | 1.18E+03 | 1.10E+03 | 1.32E+03 | 9.66E+02 | 
| Mean | 1.11E+03 | 1.18E+03 | 1.07E+03 | 1.04E+03 | 1.24E+03 | 8.98E+02 | |
| Min | 1.03E+03 | 1.08E+03 | 9.44E+02 | 9.72E+02 | 1.19E+03 | 8.50E+02 | |
| p-value | 3.02E−11 | 3.02E−11 | 3.34E−11 | 3.02E−11 | 3.02E−11 | 1 | |
| Std | 3.79E+01 | 4.82E+01 | 5.94E+01 | 4.07E+01 | 3.00E+01 | 2.63E+01 | |
| F9 | Max | 6.93E+03 | 1.47E+04 | 3.58E+04 | 1.93E+04 | 1.39E+04 | 3.73E+03 | 
| Mean | 4.75E+03 | 6.71E+03 | 1.87E+04 | 9.60E+03 | 6.86E+03 | 1.99E+03 | |
| Min | 2.66E+03 | 3.12E+03 | 4.85E+03 | 3.64E+03 | 2.80E+03 | 1.15E+03 | |
| p-value | 1.33E−10 | 3.69E−11 | 3.02E−11 | 3.34E−11 | 8.99E−11 | 1 | |
| Std | 1.23E+03 | 2.56E+03 | 7.37E+03 | 3.90E+03 | 2.73E+03 | 6.77E+02 | |
| F10 | Max | 1.23E+04 | 1.54E+04 | 9.65E+03 | 1.28E+04 | 1.48E+04 | 1.07E+04 | 
| Mean | 1.09E+04 | 1.41E+04 | 7.76E+03 | 9.24E+03 | 1.41E+04 | 8.64E+03 | |
| Min | 9.20E+03 | 1.24E+04 | 5.64E+03 | 6.85E+03 | 1.31E+04 | 7.02E+03 | |
| p-value | 1.17E−09 | 3.02E−11 | 3.18E−03 | 7.48E−02 | 3.02E−11 | 1 | |
| Std | 8.34E+02 | 7.24E+02 | 9.76E+02 | 1.36E+03 | 4.32E+02 | 9.89E+02 | |
| F11 | Max | 4.04E+03 | 1.13E+04 | 3.20E+03 | 2.27E+03 | 1.93E+03 | 1.58E+03 | 
| Mean | 3.09E+03 | 5.24E+03 | 1.71E+03 | 1.78E+03 | 1.67E+03 | 1.39E+03 | |
| Min | 2.03E+03 | 2.08E+03 | 1.38E+03 | 1.48E+03 | 1.44E+03 | 1.26E+03 | |
| p-value | 3.02E−11 | 3.02E−11 | 6.12E−10 | 9.92E−11 | 1.33E−10 | 1 | |
| Std | 5.05E+02 | 2.34E+03 | 3.11E+02 | 2.27E+02 | 1.19E+02 | 7.39E+01 | |
| F12 | Max | 2.82E+08 | 1.997E+08 | 4.205E+09 | 7.78E+07 | 6.86E+07 | 9.47E+06 | 
| Mean | 1.32E+08 | 8.32E+07 | 1.23E+09 | 2.66E+07 | 1.17E+07 | 3.88E+06 | |
| Min | 3.67E+07 | 2.09E+07 | 9.76E+06 | 5.26E+06 | 2.74E+06 | 1.57E+06 | |
| p-value | 3.02E−11 | 3.02E−11 | 3.02E−11 | 6.07E−11 | 6.53E−08 | 1 | |
| Std | 5.57E+07 | 4.50E+07 | 1.18E+09 | 1.37E+07 | 1.18E+07 | 1.91E+06 | |
| F13 | Max | 3.81E+06 | 2.99E+04 | 6.11E+09 | 5.58E+04 | 2.81E+04 | 2.00E+04 | 
| Mean | 1.14E+06 | 1.10E+04 | 4.56E+08 | 2.31E+04 | 7.82E+03 | 6.02E+03 | |
| Min | 3.44E+04 | 2.50E+03 | 7.72E+03 | 8.00E+03 | 3.40E+03 | 1.67E+03 | |
| p-value | 3.02E−11 | 1.95E−03 | 1.46E−10 | 1.17E−09 | 1.27E−02 | 1 | |
| Std | 1.07E+06 | 7.89E+03 | 1.17E+09 | 1.09E+04 | 4.96E+03 | 4.92E+03 | |
| F14 | Max | 8.46E+05 | 5.26E+06 | 5.60E+06 | 1.62E+06 | 1.71E+05 | 2.24E+05 | 
| Mean | 3.11E+05 | 1.36E+06 | 1.02E+06 | 2.55E+05 | 8.18E+04 | 5.51E+04 | |
| Min | 7.45E+04 | 1.26E+05 | 1.33E+05 | 1.80E+04 | 2.26E+04 | 2.83E+03 | |
| p-value | 1.17E−09 | 4.50E−11 | 4.50E−11 | 2.88E−06 | 1.08E−02 | 1 | |
| Std | 1.79E+05 | 1.24E+06 | 1.07E+06 | 3.00E+05 | 4.00E+04 | 5.22E+04 | |
| F15 | Max | 7.25E+05 | 2.23E+04 | 1.12E+05 | 2.19E+04 | 1.07E+05 | 1.93E+04 | 
| Mean | 9.23E+04 | 1.13E+04 | 2.26E+04 | 9.91E+03 | 1.27E+04 | 6.08E+03 | |
| Min | 8.98E+03 | 1.84E+03 | 2.46E+03 | 2.83E+03 | 2.31E+03 | 2.02E+03 | |
| p-value | 3.82E−10 | 9.47E−03 | 1.61E−06 | 1.30E−03 | 3.85E−03 | 1 | |
| Std | 1.55E+05 | 6.73E+03 | 2.19E+04 | 5.66E+03 | 1.85E+04 | 4.24E+03 | |
| F16 | Max | 4.41E+03 | 5.28E+03 | 4.70E+03 | 4.29E+03 | 5.46E+03 | 4.22E+03 | 
| Mean | 3.36E+03 | 4.45E+03 | 3.44E+03 | 3.29E+03 | 4.86E+03 | 3.24E+03 | |
| Min | 2.43E+03 | 3.31E+03 | 2.60E+03 | 2.40E+03 | 4.03E+03 | 2.10E+03 | |
| p-value | 4.29E−01 | 8.10E−10 | 2.40E−01 | 8.42E−01 | 3.34E−11 | 1 | |
| Std | 4.18E+02 | 4.63E+02 | 4.74E+02 | 4.55E+02 | 3.43E+02 | 4.83E+02 | |
| F17 | Max | 3.55E+03 | 4.14E+03 | 3.72E+03 | 3.46E+03 | 4.13E+03 | 3.86E+03 | 
| Mean | 2.94E+03 | 3.63E+03 | 3.26E+03 | 2.98E+03 | 3.72E+03 | 3.14E+03 | |
| Min | 2.28E+03 | 3.27E+03 | 2.59E+03 | 2.53E+03 | 2.99E+03 | 2.38E+03 | |
| p-value | 1.56E−02 | 1.16E−07 | 1.71E−01 | 1.12E−02 | 1.85E−08 | 1 | |
| Std | 3.03E+02 | 2.76E+02 | 3.21E+02 | 2.31E+02 | 2.67E+02 | 3.04E+02 | |
| F18 | Max | 1.02E+07 | 7.17E+07 | 1.88E+07 | 8.13E+06 | 5.94E+06 | 2.20E+06 | 
| Mean | 3.96E+06 | 1.45E+07 | 5.20E+06 | 1.44E+06 | 1.51E+06 | 6.83E+05 | |
| Min | 7.45E+05 | 1.77E+06 | 4.23E+05 | 1.61E+05 | 3.20E+05 | 5.64E+04 | |
| p-value | 1.07E−09 | 4.08E−11 | 5.46E−09 | 2.15E−02 | 2.68E−04 | 1 | |
| Std | 2.67E+06 | 1.39E+07 | 4.18E+06 | 1.57E+06 | 1.25E+06 | 5.42E+05 | |
| F19 | Max | 8.01E+05 | 4.43E+04 | 1.89E+06 | 4.01E+04 | 4.11E+04 | 4.03E+04 | 
| Mean | 9.15E+04 | 1.81E+04 | 1.22E+05 | 1.76E+04 | 2.04E+04 | 1.73E+04 | |
| Min | 1.45E+04 | 2.00E+03 | 2.09E+03 | 5.40E+03 | 2.79E+03 | 2.05E+03 | |
| p-value | 2.00E−06 | 9.71E−01 | 1.26E−01 | 9.23E−01 | 2.28E−01 | 1 | |
| Std | 1.54E+05 | 1.28E+04 | 3.51E+05 | 1.02E+04 | 1.02E+04 | 9.92E+03 | |
| F20 | Max | 3.41E+03 | 4.11E+03 | 3.65E+03 | 3.52E+03 | 4.33E+03 | 3.84E+03 | 
| Mean | 2.97E+03 | 3.63E+03 | 3.10E+03 | 2.99E+03 | 4.01E+03 | 3.19E+03 | |
| Min | 2.51E+03 | 2.98E+03 | 2.44E+03 | 2.41E+03 | 3.42E+03 | 2.69E+03 | |
| p-value | 6.97E−03 | 5.09E−06 | 3.40E−01 | 1.44E−02 | 1.09E−10 | 1 | |
| Std | 2.46E+02 | 2.89E+02 | 3.06E+02 | 2.77E+02 | 1.95E+02 | 3.17E+02 | |
| F21 | Max | 2.64E+03 | 2.77E+03 | 2.76E+03 | 2.63E+03 | 2.76E+03 | 2.46E+03 | 
| Mean | 2.57E+03 | 2.69E+03 | 2.60E+03 | 2.55E+03 | 2.71E+03 | 2.40E+03 | |
| Min | 2.51E+03 | 2.61E+03 | 2.51E+03 | 2.48E+03 | 2.67E+03 | 2.36E+03 | |
| p-value | 3.02E−11 | 3.02E−11 | 3.02E−11 | 3.02E−11 | 3.02E−11 | 1 | |
| Std | 3.23E+01 | 3.61E+01 | 6.04E+01 | 4.23E+01 | 2.84E+01 | 2.46E+01 | |
| F22 | Max | 1.37E+04 | 1.66E+04 | 1.18E+04 | 1.38E+04 | 1.70E+04 | 1.16E+04 | 
| Mean | 1.12E+04 | 1.54E+04 | 9.64E+03 | 1.01E+04 | 1.56E+04 | 9.53E+03 | |
| Min | 2.89E+03 | 1.40E+04 | 2.77E+03 | 2.68E+03 | 8.85E+03 | 8.13E+03 | |
| p-value | 1.25E−05 | 3.02E−11 | 2.06E−01 | 4.23E−03 | 2.37E−10 | 1 | |
| Std | 3.22E+03 | 6.46E+02 | 1.66E+03 | 2.64E+03 | 1.35E+03 | 9.73E+02 | |
| F23 | Max | 3.10E+03 | 3.19E+03 | 3.72E+03 | 3.23E+03 | 3.25E+03 | 2.92E+03 | 
| Mean | 3.03E+03 | 3.10E+03 | 3.37E+03 | 3.05E+03 | 3.17E+03 | 2.85E+03 | |
| Min | 2.97E+03 | 3.01E+03 | 3.06E+03 | 2.96E+03 | 3.10E+03 | 2.77E+03 | |
| p-value | 3.02E−11 | 3.02E−11 | 3.02E−11 | 3.02E−11 | 3.02E−11 | 1 | |
| Std | 3.09E+01 | 4.56E+01 | 1.76E+02 | 5.68E+01 | 3.10E+01 | 3.28E+01 | |
| F24 | Max | 3.33E+03 | 3.36E+03 | 3.85E+03 | 3.33E+03 | 3.44E+03 | 3.15E+03 | 
| Mean | 3.21E+03 | 3.29E+03 | 3.54E+03 | 3.22E+03 | 3.33E+03 | 3.01E+03 | |
| Min | 3.14E+03 | 3.21E+03 | 3.31E+03 | 3.11E+03 | 3.28E+03 | 2.95E+03 | |
| p-value | 4.08E−11 | 3.02E−11 | 3.02E−11 | 4.50E−11 | 3.02E−11 | 1 | |
| Std | 3.90E+01 | 3.58E+01 | 1.38E+02 | 5.42E+01 | 4.04E+01 | 4.09E+01 | |
| F25 | Max | 4.48E+03 | 3.41E+03 | 3.41E+03 | 3.39E+03 | 3.26E+03 | 3.12E+03 | 
| Mean | 3.50E+03 | 3.22E+03 | 3.17E+03 | 3.27E+03 | 3.16E+03 | 3.07E+03 | |
| Min | 3.25E+03 | 3.12E+03 | 3.03E+03 | 3.12E+03 | 3.04E+03 | 3.03E+03 | |
| p-value | 3.02E−11 | 3.02E−11 | 1.01E−08 | 3.02E−11 | 2.03E−09 | 1 | |
| Std | 2.23E+02 | 6.41E+01 | 8.28E+01 | 7.65E+01 | 4.66E+01 | 2.29E+01 | |
| F26 | Max | 8.07E+03 | 8.50E+03 | 9.30E+03 | 8.04E+03 | 9.81E+03 | 5.99E+03 | 
| Mean | 6.88E+03 | 7.40E+03 | 7.03E+03 | 7.33E+03 | 8.29E+03 | 5.09E+03 | |
| Min | 5.74E+03 | 6.31E+03 | 3.57E+03 | 6.27E+03 | 7.52E+03 | 4.55E+03 | |
| p-value | 3.69E−11 | 3.02E−11 | 1.43E−05 | 3.02E−11 | 3.02E−11 | 1 | |
| Std | 4.92E+02 | 4.67E+02 | 1.65E+03 | 5.00E+02 | 4.63E+02 | 3.54E+02 | |
| F27 | Max | 3.99E+03 | 3.79E+03 | 4.10E+03 | 3.99E+03 | 3.73E+03 | 3.57E+03 | 
| Mean | 3.81E+03 | 3.49E+03 | 3.70E+03 | 3.71E+03 | 3.50E+03 | 3.40E+03 | |
| Min | 3.63E+03 | 3.37E+03 | 3.39E+03 | 3.50E+03 | 3.33E+03 | 3.28E+03 | |
| p-value | 3.02E−11 | 5.09E−06 | 1.20E−08 | 4.98E−11 | 2.00E−05 | 1 | |
| Std | 8.95E+01 | 7.81E+01 | 2.00E+02 | 1.23E+02 | 9.32E+01 | 6.33E+01 | |
| F28 | Max | 4.32E+03 | 4.52E+03 | 7.06E+03 | 4.75E+03 | 3.72E+03 | 3.45E+03 | 
| Mean | 3.99E+03 | 3.77E+03 | 4.03E+03 | 3.85E+03 | 3.52E+03 | 3.36E+03 | |
| Min | 3.65E+03 | 3.45E+03 | 3.38E+03 | 3.53E+03 | 3.38E+03 | 3.29E+03 | |
| p-value | 3.02E−11 | 3.02E−11 | 1.33E−10 | 3.02E−11 | 1.46E−10 | 1 | |
| Std | 1.62E+02 | 2.88E+02 | 8.93E+02 | 2.48E+02 | 7.53E+01 | 3.53E+01 | |
| F29 | Max | 5.35E+03 | 5.67E+03 | 5.90E+03 | 4.99E+03 | 5.68E+03 | 5.54E+03 | 
| Mean | 4.58E+03 | 4.77E+03 | 4.69E+03 | 4.53E+03 | 5.03E+03 | 4.44E+03 | |
| Min | 4.03E+03 | 4.06E+03 | 3.86E+03 | 3.99E+03 | 4.04E+03 | 3.50E+03 | |
| p-value | 1.30E−01 | 1.60E−03 | 2.71E−02 | 3.18E−01 | 8.29E−06 | 1 | |
| Std | 3.32E+02 | 3.70E+02 | 4.40E+02 | 2.82E+02 | 4.45E+02 | 4.04E+02 | |
| F30 | Max | 6.07E+07 | 2.96E+06 | 2.16E+07 | 1.18E+07 | 9.10E+06 | 2.36E+06 | 
| Mean | 2.39E+07 | 1.48E+06 | 4.45E+06 | 6.84E+06 | 4.21E+06 | 1.19E+06 | |
| Min | 8.69E+06 | 8.82E+05 | 9.03E+05 | 3.15E+06 | 1.49E+06 | 7.53E+05 | |
| p-value | 3.02E−11 | 1.11E−03 | 2.38E−07 | 3.02E−11 | 2.15E−10 | 1 | |
| Std | 1.39E+07 | 4.46E+05 | 4.80E+06 | 2.06E+06 | 2.15E+06 | 4.10E+05 | |
Appendix B
| Dim = 100 | |||||||
|---|---|---|---|---|---|---|---|
| GRO | LO | PSO | SWO | KOA | ILO | ||
| F1 | Max | 7.10E+10 | 2.62E+10 | 5.54E+10 | 2.81E+10 | 8.21E+09 | 3.26E+08 | 
| Mean | 5.33E+10 | 1.72E+10 | 1.89E+10 | 1.92E+10 | 4.12E+09 | 9.10E+07 | |
| Min | 3.67E+10 | 1.25E+10 | 5.88E+09 | 1.14E+10 | 1.83E+09 | 2.40E+07 | |
| p-value | 3.02E−11 | 3.02E−11 | 3.02E−11 | 3.02E−11 | 3.02E−11 | 1 | |
| Std | 8.28E+09 | 3.06E+09 | 1.13E+10 | 4.59E+09 | 1.48E+09 | 6.82E+07 | |
| F2 | Max | 4.97E+134 | 3.31E+154 | 1.97E+151 | 4.75E+128 | 1.47E+126 | 4.76E+116 | 
| Mean | 2.14E+133 | 1.10E+153 | 6.57E+149 | 3.34E+127 | 4.89E+124 | 1.59E+115 | |
| Min | 2.48E+118 | 2.57E+130 | 1.06E+105 | 2.70E+112 | 3.19E+106 | 4.88E+93 | |
| p-value | 3.02E−11 | 3.02E−11 | 8.10E−10 | 3.69E−11 | 3.50E−09 | 1 | |
| Std | 9.21E+133 | Infinity | 3.60E+150 | 1.00E+128 | 2.67E+125 | 8.69E+115 | |
| F3 | Max | 6.03E+05 | 9.52E+05 | 8.15E+05 | 3.86E+05 | 7.48E+05 | 4.24E+05 | 
| Mean | 4.49E+05 | 8.25E+05 | 6.29E+05 | 3.25E+05 | 5.68E+05 | 3.05E+05 | |
| Min | 3.05E+05 | 6.17E+05 | 3.98E+05 | 2.57E+05 | 4.16E+05 | 2.32E+05 | |
| p-value | 2.67E−09 | 3.02E−11 | 4.98E−11 | 1.22E−02 | 3.69E−11 | 1 | |
| Std | 6.84E+04 | 7.93E+04 | 9.60E+04 | 2.79E+04 | 8.58E+04 | 5.85E+04 | |
| F4 | Max | 7.23E+03 | 4.51E+03 | 7.58E+03 | 3.81E+03 | 2.15E+03 | 1.06E+03 | 
| Mean | 5.80E+03 | 2.76E+03 | 2.71E+03 | 2.73E+03 | 1.57E+03 | 9.27E+02 | |
| Min | 4.61E+03 | 1.84E+03 | 1.29E+03 | 1.97E+03 | 1.28E+03 | 8.02E+02 | |
| p-value | 3.02E−11 | 3.02E−11 | 3.02E−11 | 3.02E−11 | 3.02E−11 | 1 | |
| Std | 7.03E+02 | 5.49E+02 | 1.46E+03 | 4.68E+02 | 1.86E+02 | 6.70E+01 | |
| F5 | Max | 1.59E+03 | 1.71E+03 | 1.72E+03 | 1.51E+03 | 1.82E+03 | 9.17E+02 | 
| Mean | 1.40E+03 | 1.59E+03 | 1.41E+03 | 1.33E+03 | 1.66E+03 | 8.37E+02 | |
| Min | 1.26E+03 | 1.46E+03 | 1.17E+03 | 1.14E+03 | 1.56E+03 | 7.26E+02 | |
| p-value | 3.02E−11 | 3.02E−11 | 3.02E−11 | 3.02E−11 | 3.02E−11 | 1 | |
| Std | 7.30E+01 | 7.41E+01 | 1.24E+02 | 9.09E+01 | 6.67E+01 | 5.05E+01 | |
| F6 | Max | 6.65E+02 | 6.47E+02 | 6.81E+02 | 6.55E+02 | 6.63E+02 | 6.29E+02 | 
| Mean | 6.47E+02 | 6.37E+02 | 6.62E+02 | 6.43E+02 | 6.44E+02 | 6.20E+02 | |
| Min | 6.36E+02 | 6.26E+02 | 6.36E+02 | 6.33E+02 | 6.31E+02 | 6.11E+02 | |
| p-value | 3.02E−11 | 4.08E−11 | 3.02E−11 | 3.02E−11 | 3.02E−11 | 1 | |
| Std | 5.64E+00 | 4.96E+00 | 9.89E+00 | 6.26E+00 | 7.43E+00 | 4.39E+00 | |
| F7 | Max | 2.58E+03 | 2.99E+03 | 2.61E+03 | 2.70E+03 | 2.87E+03 | 1.93E+03 | 
| Mean | 2.24E+03 | 2.59E+03 | 2.24E+03 | 2.39E+03 | 2.49E+03 | 1.54E+03 | |
| Min | 1.94E+03 | 2.24E+03 | 1.99E+03 | 2.01E+03 | 2.19E+03 | 1.32E+03 | |
| p-value | 3.02E−11 | 3.02E−11 | 3.02E−11 | 3.02E−11 | 3.02E−11 | 1 | |
| Std | 1.45E+02 | 1.73E+02 | 1.50E+02 | 1.73E+02 | 1.70E+02 | 1.30E+02 | |
| F8 | Max | 1.88E+03 | 2.07E+03 | 2.11E+03 | 1.89E+03 | 2.11E+03 | 1.29E+03 | 
| Mean | 1.74E+03 | 1.88E+03 | 1.77E+03 | 1.67E+03 | 1.95E+03 | 1.16E+03 | |
| Min | 1.62E+03 | 1.69E+03 | 1.58E+03 | 1.46E+03 | 1.83E+03 | 1.05E+03 | |
| p-value | 3.02E−11 | 3.02E−11 | 3.02E−11 | 3.02E−11 | 3.02E−11 | 1 | |
| Std | 7.11E+01 | 6.67E+01 | 1.40E+02 | 1.15E+02 | 6.24E+01 | 5.94E+01 | |
| F9 | Max | 4.28E+04 | 7.08E+04 | 9.86E+04 | 7.32E+04 | 6.66E+04 | 2.10E+04 | 
| Mean | 3.12E+04 | 4.60E+04 | 6.97E+04 | 4.29E+04 | 4.13E+04 | 1.14E+04 | |
| Min | 1.92E+04 | 3.44E+04 | 3.67E+04 | 2.76E+04 | 2.56E+04 | 6.64E+03 | |
| p-value | 4.08E−11 | 3.02E−11 | 3.02E−11 | 3.02E−11 | 3.02E−11 | 1 | |
| Std | 6.51E+03 | 7.79E+03 | 1.55E+04 | 1.15E+04 | 9.65E+03 | 3.57E+03 | |
| F10 | Max | 2.86E+04 | 3.34E+04 | 2.70E+04 | 3.00E+04 | 3.25E+04 | 2.39E+04 | 
| Mean | 2.60E+04 | 3.15E+04 | 2.05E+04 | 2.40E+04 | 3.14E+04 | 1.79E+04 | |
| Min | 2.31E+04 | 2.94E+04 | 1.71E+04 | 2.04E+04 | 3.01E+04 | 1.55E+04 | |
| p-value | 3.69E−11 | 3.02E−11 | 9.51E−06 | 2.15E−10 | 3.02E−11 | 1 | |
| Std | 1.49E+03 | 9.59E+02 | 2.26E+03 | 2.62E+03 | 5.09E+02 | 1.86E+03 | |
| F11 | Max | 1.44E+05 | 3.33E+05 | 1.20E+05 | 8.13E+04 | 1.30E+05 | 8.25E+04 | 
| Mean | 1.03E+05 | 2.22E+05 | 6.96E+04 | 5.74E+04 | 9.35E+04 | 2.36E+04 | |
| Min | 6.48E+04 | 1.38E+05 | 3.29E+04 | 2.10E+04 | 6.16E+04 | 1.16E+04 | |
| p-value | 4.98E−11 | 3.02E−11 | 5.57E−10 | 2.44E−09 | 8.15E−11 | 1 | |
| Std | 1.92E+04 | 5.04E+04 | 2.04E+04 | 1.21E+04 | 1.98E+04 | 1.43E+04 | |
| F12 | Max | 7.23E+09 | 3.39E+09 | 2.44E+10 | 2.40E+09 | 7.37E+08 | 1.37E+08 | 
| Mean | 4.77E+09 | 2.12E+09 | 8.48E+09 | 1.07E+09 | 3.81E+08 | 5.08E+07 | |
| Min | 1.89E+09 | 9.26E+08 | 1.33E+09 | 6.84E+08 | 1.81E+08 | 1.42E+07 | |
| p-value | 3.02E−11 | 3.02E−11 | 3.02E−11 | 3.02E−11 | 3.02E−11 | 1 | |
| Std | 1.48E+09 | 6.10E+08 | 6.55E+09 | 3.55E+08 | 1.31E+08 | 2.63E+07 | |
| F13 | Max | 3.01E+08 | 1.69E+05 | 6.27E+09 | 3.49E+06 | 1.76E+06 | 2.97E+04 | 
| Mean | 7.36E+07 | 8.99E+04 | 1.10E+09 | 1.08E+06 | 9.15E+04 | 8.24E+03 | |
| Min | 1.76E+07 | 4.53E+04 | 9.77E+04 | 2.70E+05 | 1.98E+04 | 3.08E+03 | |
| p-value | 3.02E−11 | 3.02E−11 | 3.02E−11 | 3.02E−11 | 9.92E−11 | 1 | |
| Std | 6.13E+07 | 3.26E+04 | 1.54E+09 | 7.45E+05 | 3.15E+05 | 6.30E+03 | |
| F14 | Max | 1.40E+07 | 6.73E+07 | 2.55E+07 | 4.66E+06 | 8.31E+06 | 3.30E+06 | 
| Mean | 6.79E+06 | 2.51E+07 | 6.51E+06 | 2.43E+06 | 3.35E+06 | 1.32E+06 | |
| Min | 1.65E+06 | 8.63E+06 | 1.03E+06 | 8.69E+05 | 1.41E+06 | 2.39E+05 | |
| p-value | 1.33E−10 | 3.02E−11 | 5.46E−09 | 1.64E−05 | 2.19E−08 | 1 | |
| Std | 3.21E+06 | 1.27E+07 | 5.27E+06 | 9.92E+05 | 1.66E+06 | 7.44E+05 | |
| F15 | Max | 5.52E+06 | 4.41E+05 | 1.38E+09 | 5.11E+04 | 1.72E+04 | 2.31E+04 | 
| Mean | 1.82E+06 | 2.40E+04 | 1.85E+08 | 2.14E+04 | 6.21E+03 | 5.83E+03 | |
| Min | 1.70E+05 | 4.03E+03 | 9.86E+03 | 9.28E+03 | 3.72E+03 | 2.26E+03 | |
| p-value | 3.02E−11 | 1.86E−03 | 7.39E−11 | 1.55E−09 | 3.03E−02 | 1 | |
| Std | 1.42E+06 | 7.92E+04 | 4.25E+08 | 9.76E+03 | 2.92E+03 | 4.86E+03 | |
| F16 | Max | 9.34E+03 | 1.20E+04 | 7.22E+03 | 7.98E+03 | 1.11E+04 | 7.57E+03 | 
| Mean | 7.93E+03 | 1.04E+04 | 6.27E+03 | 7.00E+03 | 1.00E+04 | 5.58E+03 | |
| Min | 6.59E+03 | 8.89E+03 | 5.07E+03 | 5.30E+03 | 8.06E+03 | 4.34E+03 | |
| p-value | 7.39E−11 | 3.02E−11 | 2.68E−04 | 4.69E−08 | 3.02E−11 | 1 | |
| Std | 6.86E+02 | 7.24E+02 | 6.05E+02 | 7.11E+02 | 7.15E+02 | 7.30E+02 | |
| F17 | Max | 6.77E+03 | 8.23E+03 | 2.62E+04 | 6.55E+03 | 8.01E+03 | 6.54E+03 | 
| Mean | 5.49E+03 | 7.39E+03 | 6.73E+03 | 5.39E+03 | 7.21E+03 | 5.19E+03 | |
| Min | 4.74E+03 | 6.35E+03 | 4.30E+03 | 4.47E+03 | 6.18E+03 | 3.63E+03 | |
| p-value | 1.08E−02 | 3.34E−11 | 3.37E−05 | 1.30E−01 | 4.08E−11 | 1 | |
| Std | 4.06E+02 | 4.66E+02 | 3.85E+03 | 4.73E+02 | 4.48E+02 | 5.88E+02 | |
| F18 | Max | 1.95E+07 | 9.43E+07 | 2.11E+07 | 9.63E+06 | 1.90E+07 | 4.54E+06 | 
| Mean | 9.00E+06 | 4.41E+07 | 8.02E+06 | 3.50E+06 | 7.01E+06 | 2.28E+06 | |
| Min | 1.96E+06 | 1.41E+07 | 2.75E+06 | 1.32E+06 | 1.79E+06 | 2.63E+05 | |
| p-value | 1.96E−10 | 3.02E−11 | 1.33E−10 | 9.88E−03 | 1.43E−08 | 1 | |
| Std | 3.73E+06 | 2.17E+07 | 4.07E+06 | 1.88E+06 | 3.82E+06 | 1.10E+06 | |
| F19 | Max | 1.60E+07 | 1.89E+04 | 5.20E+09 | 2.37E+05 | 1.53E+04 | 1.29E+04 | 
| Mean | 2.89E+06 | 1.02E+04 | 3.28E+08 | 6.99E+04 | 5.79E+03 | 4.96E+03 | |
| Min | 4.88E+05 | 3.07E+03 | 1.43E+04 | 7.45E+03 | 2.69E+03 | 2.17E+03 | |
| p-value | 3.02E−11 | 1.02E−05 | 3.02E−11 | 4.50E−11 | 7.48E−02 | 1 | |
| Std | 3.05E+06 | 4.95E+03 | 9.52E+08 | 5.77E+04 | 2.97E+03 | 3.08E+03 | |
| F20 | Max | 6.39E+03 | 8.28E+03 | 6.37E+03 | 6.94E+03 | 8.20E+03 | 6.68E+03 | 
| Mean | 5.70E+03 | 7.30E+03 | 5.45E+03 | 5.32E+03 | 7.72E+03 | 5.62E+03 | |
| Min | 4.35E+03 | 6.11E+03 | 4.29E+03 | 3.87E+03 | 6.85E+03 | 3.40E+03 | |
| p-value | 6.31E−01 | 2.37E−10 | 2.12E−01 | 3.64E−02 | 3.02E−11 | 1 | |
| Std | 4.44E+02 | 5.54E+02 | 6.02E+02 | 6.16E+02 | 3.07E+02 | 7.02E+02 | |
| F21 | Max | 3.36E+03 | 3.71E+03 | 4.11E+03 | 3.35E+03 | 3.56E+03 | 2.82E+03 | 
| Mean | 3.19E+03 | 3.45E+03 | 3.50E+03 | 3.15E+03 | 3.43E+03 | 2.67E+03 | |
| Min | 3.07E+03 | 3.31E+03 | 3.21E+03 | 3.02E+03 | 3.32E+03 | 2.57E+03 | |
| p-value | 3.02E−11 | 3.02E−11 | 3.02E−11 | 3.02E−11 | 3.02E−11 | 1 | |
| Std | 6.64E+01 | 8.73E+01 | 1.94E+02 | 7.59E+01 | 6.36E+01 | 6.41E+01 | |
| F22 | Max | 3.04E+04 | 3.57E+04 | 3.45E+04 | 3.22E+04 | 3.46E+04 | 2.52E+04 | 
| Mean | 2.88E+04 | 3.36E+04 | 2.49E+04 | 2.57E+04 | 3.39E+04 | 2.05E+04 | |
| Min | 2.73E+04 | 3.15E+04 | 1.98E+04 | 2.10E+04 | 3.04E+04 | 1.64E+04 | |
| p-value | 3.02E−11 | 3.02E−11 | 2.57E−07 | 2.23E−09 | 3.02E−11 | 1 | |
| Std | 7.91E+02 | 1.03E+03 | 3.21E+03 | 2.54E+03 | 8.53E+02 | 2.12E+03 | |
| F23 | Max | 4.09E+03 | 3.92E+03 | 5.09E+03 | 3.94E+03 | 4.05E+03 | 3.40E+03 | 
| Mean | 3.86E+03 | 3.76E+03 | 4.74E+03 | 3.78E+03 | 3.92E+03 | 3.24E+03 | |
| Min | 3.74E+03 | 3.63E+03 | 4.19E+03 | 3.57E+03 | 3.72E+03 | 3.11E+03 | |
| p-value | 3.02E−11 | 3.02E−11 | 3.02E−11 | 3.02E−11 | 3.02E−11 | 1 | |
| Std | 7.61E+01 | 7.42E+01 | 2.86E+02 | 9.61E+01 | 7.94E+01 | 7.71E+01 | |
| F24 | Max | 4.81E+03 | 4.52E+03 | 8.21E+03 | 4.73E+03 | 4.70E+03 | 4.14E+03 | 
| Mean | 4.64E+03 | 4.31E+03 | 5.83E+03 | 4.51E+03 | 4.54E+03 | 3.80E+03 | |
| Min | 4.36E+03 | 4.17E+03 | 4.65E+03 | 4.29E+03 | 4.39E+03 | 3.64E+03 | |
| p-value | 3.02E−11 | 3.02E−11 | 3.02E−11 | 3.02E−11 | 3.02E−11 | 1 | |
| Std | 1.14E+02 | 7.48E+01 | 6.72E+02 | 1.19E+02 | 7.63E+01 | 1.13E+02 | |
| F25 | Max | 9.07E+03 | 8.57E+03 | 6.61E+03 | 6.47E+03 | 4.78E+03 | 3.80E+03 | 
| Mean | 7.21E+03 | 6.32E+03 | 4.61E+03 | 5.43E+03 | 4.28E+03 | 3.63E+03 | |
| Min | 5.49E+03 | 5.12E+03 | 3.97E+03 | 4.67E+03 | 3.98E+03 | 3.42E+03 | |
| p-value | 3.02E−11 | 3.02E−11 | 3.02E−11 | 3.02E−11 | 3.02E−11 | 1 | |
| Std | 8.15E+02 | 7.75E+02 | 6.29E+02 | 4.52E+02 | 1.97E+02 | 8.46E+01 | |
| F26 | Max | 2.48E+04 | 1.85E+04 | 3.06E+04 | 2.15E+04 | 2.21E+04 | 1.28E+04 | 
| Mean | 2.03E+04 | 1.68E+04 | 2.06E+04 | 1.93E+04 | 1.90E+04 | 1.06E+04 | |
| Min | 1.50E+04 | 1.52E+04 | 1.57E+04 | 1.69E+04 | 1.68E+04 | 9.25E+03 | |
| p-value | 3.02E−11 | 3.02E−11 | 3.02E−11 | 3.02E−11 | 3.02E−11 | 1 | |
| Std | 2.09E+03 | 8.31E+02 | 3.40E+03 | 1.35E+03 | 1.37E+03 | 8.56E+02 | |
| F27 | Max | 4.99E+03 | 4.15E+03 | 4.76E+03 | 5.00E+03 | 4.13E+03 | 3.87E+03 | 
| Mean | 4.68E+03 | 3.92E+03 | 4.04E+03 | 4.33E+03 | 3.90E+03 | 3.61E+03 | |
| Min | 4.35E+03 | 3.71E+03 | 3.73E+03 | 3.96E+03 | 3.74E+03 | 3.46E+03 | |
| p-value | 3.02E−11 | 1.78E−10 | 2.37E−10 | 3.02E−11 | 5.57E−10 | 1 | |
| Std | 1.78E+02 | 1.02E+02 | 2.48E+02 | 2.08E+02 | 1.15E+02 | 9.25E+01 | |
| F28 | Max | 1.15E+04 | 1.38E+04 | 1.01E+04 | 9.64E+03 | 6.70E+03 | 4.44E+03 | 
| Mean | 9.33E+03 | 1.04E+04 | 6.19E+03 | 7.28E+03 | 5.13E+03 | 3.93E+03 | |
| Min | 7.63E+03 | 6.25E+03 | 3.90E+03 | 4.96E+03 | 4.19E+03 | 3.62E+03 | |
| p-value | 3.02E−11 | 3.02E−11 | 8.10E−10 | 3.02E−11 | 1.21E−10 | 1 | |
| Std | 1.08E+03 | 1.91E+03 | 1.88E+03 | 8.69E+02 | 5.50E+02 | 2.14E+02 | |
| F29 | Max | 9.51E+03 | 1.06E+04 | 9.02E+03 | 1.06E+04 | 1.10E+04 | 8.38E+03 | 
| Mean | 8.81E+03 | 9.44E+03 | 8.03E+03 | 8.73E+03 | 9.95E+03 | 7.16E+03 | |
| Min | 7.23E+03 | 7.62E+03 | 6.43E+03 | 7.65E+03 | 8.36E+03 | 5.48E+03 | |
| p-value | 1.78E−10 | 5.49E−11 | 5.86E−06 | 1.33E−10 | 3.34E−11 | 1 | |
| Std | 5.11E+02 | 6.52E+02 | 6.56E+02 | 6.82E+02 | 7.03E+02 | 5.72E+02 | |
| F30 | Max | 1.04E+08 | 1.83E+07 | 3.46E+09 | 2.73E+07 | 5.67E+06 | 1.25E+05 | 
| Mean | 4.52E+07 | 4.12E+06 | 1.02E+09 | 1.07E+07 | 1.83E+06 | 6.02E+04 | |
| Min | 1.75E+07 | 8.33E+05 | 4.72E+06 | 3.51E+06 | 5.53E+05 | 2.10E+04 | |
| p-value | 3.02E−11 | 3.02E−11 | 3.02E−11 | 3.02E−11 | 3.02E−11 | 1 | |
| Std | 2.30E+07 | 3.66E+06 | 9.97E+08 | 6.24E+06 | 1.22E+06 | 2.12E+04 | 
Appendix C





Appendix D





Appendix E





Appendix F





References
- Tanaka, T.S.T.; Wang, S.; Jørgensen, J.R.; Gentili, M.; Vidal, A.Z.; Mortensen, A.K.; Acharya, B.S.; Beck, B.D.; Gislum, R. Review of Crop Phenotyping in Field Plot Experiments Using UAV-Mounted Sensors and Algorithms. Drones 2024, 8, 212. [Google Scholar] [CrossRef]
- Asadzadeh, S.; de Oliveira, W.J.; de Souza Filho, C.R. UAV-based remote sensing for the petroleum industry and environmental monitoring: State-of-the-art and perspectives. J. Pet. Sci. Eng. 2022, 208, 109633. [Google Scholar] [CrossRef]
- Mohd Noor, N.; Abdullah, A.; Hashim, M. Remote sensing UAV/drones and its applications for urban areas: A review. IOP Conf. Ser. Earth Environ. Sci. 2018, 169, 012003. [Google Scholar] [CrossRef]
- Erdelj, M.; Natalizio, E. UAV-assisted disaster management: Applications and open issues. In Proceedings of the 2016 International Conference on Computing, Networking and Communications (ICNC), Kauai, HI, USA, 15–18 February 2016; pp. 1–5. [Google Scholar]
- Deng, S.Q.; Guo, Z.J.; Li, F. Adaptive simulated annealing particle swarm optimisation based on the Metropolis criterion. Softw. Guide 2022, 21, 85–91. [Google Scholar]
- Abdel-Basset, M.; Reda, M.; Shaimaa, A.; Azeem, A.; Jameel, M.; Abouhawwash, M. Kepler optimization algorithm: A new metaheuristic algorithm inspired by Kepler’s laws of planetary motion. Knowl. Based Syst. 2023, 268, 110454. [Google Scholar] [CrossRef]
- Birbil, S.I.; Fang, S.C. An electromagnetism-like mechanism for global optimization. J. Glob. Optim. 2003, 25, 263–282. [Google Scholar] [CrossRef]
- Mirjalili, S.; Mirjalili, S.M.; Hatamlou, A. Multi-verse optimizer: A nature-inspired algorithm for global optimization. Neural Comput. Appl. 2016, 27, 495–513. [Google Scholar] [CrossRef]
- Mirjalili, S. SCA: A sine cosine algorithm for solving optimization problems. Knowl. Based Syst. 2016, 96, 120–133. [Google Scholar] [CrossRef]
- Wang, H.Q.; Song, G.Z.; Ge, C. UAV 3D Path Planning Based on Improved Dung Beetle Algorithm. Electron. Opt. Control. 2024. Available online: https://link.cnki.net/urlid/41.1227.TN.20240708.1532.008 (accessed on 16 October 2024).
- Kennedy, J.; Eberhart, R. Particle swarm optimization. In Proceedings of the ICNN’95-International Conference on Neural Networks, Perth, WA, Australia, 27 November–1 December 1995; Volume 4, pp. 1942–1948. [Google Scholar]
- Abdel-Basset, M.; Mohamed, R.; Jameel, M.; Abouhawwash, M. Spider wasp optimizer: A novel meta-heuristic optimization algorithm. Artif. Intell. Rev. 2023, 56, 11675–11738. [Google Scholar] [CrossRef]
- Jia, H.; Rao, H.; Wen, C.; Mirjalili, S. Crayfish optimization algorithm. Artif. Intell. Rev. 2023, 56 (Suppl. S2), 1919–1979. [Google Scholar] [CrossRef]
- Mirjalili, S.; Mirjalili, S.M.; Lewis, A. Grey wolf optimizer. Adv. Eng. Softw. 2014, 69, 46–61. [Google Scholar] [CrossRef]
- Krishnanand, K.; Ghose, D. Glowworm swarm optimization for simultaneous capture of multiple local optima of multimodal functions. Swarm Intell. 2009, 3, 87–124. [Google Scholar] [CrossRef]
- Mirjalili, S.; Lewis, A. The whale optimization algorithm. Adv. Eng. Softw. 2016, 95, 51–67. [Google Scholar] [CrossRef]
- Zolf, K. Gold rush optimizer: A new population-based metaheuristic algorithm. Oper. Res. Decis. 2023, 33, 113–150. [Google Scholar] [CrossRef]
- Abasi, A.K.; Makhadmeh, S.N.; Al-Betar, M.A.; Alomari, O.A.; Awadallah, M.A.; Alyasseri, Z.A.A.; Doush, I.A.; Elnagar, A.; Alkhammash, E.H.; Hadjouni, M. Lemurs optimizer: A new metaheuristic algorithm for global optimization. Appl. Sci. 2022, 12, 10057. [Google Scholar] [CrossRef]
- Das, S.; Suganthan, P.N. Problem Definitions and Evaluation Criteria for CEC 2011 Competition on Testing Evolutionary Algorithms on Real World Optimization Problems; Technical Report; Jadavpur University, Nanyang Technological University: Kolkata, India, 2010; pp. 341–359. [Google Scholar]
- Hashim, F.A.; Houssein, E.H.; Mabrouk, M.S.; Al-Atabany, W.; Mirjalili, S. Henry gas solubility optimization: A novel physicsbased algorithm. Future Gener. Comput. Syst. 2019, 101, 646–667. [Google Scholar] [CrossRef]
- Cuina, C.; Songlu, F.; Liping, M. Harmonic Search Algorithm Based on Positive Cosine Optimisation Operators and Levy Flight Mechanisms. J. Data Acquis. Process. 2023, 38, 690–703. [Google Scholar]
- Xing, N.; Di, H.T.; Yin, W.J.; Han, Y.J.; Zhou, Y. Path Planning for Intelligent Bodies Based on Adaptive Multistate Ant Colony Optimisation. J. Beijing Univ. Aeronaut. Astronaut. 2023, 4, 1–12. [Google Scholar]
- Zeng, A.J.; Liu, Y.J.; Meng, X.L.; Wen, H.J.; Shao, Y.J. Parameter optimisation of a genetic algorithm for post-war weaponry workshop scheduling. Fire Control Command Control 2020, 45, 153–159. [Google Scholar]
- Küpper, S. Behavioural Analysis of Systems with Weights and Conditions. Ph.D. Thesis, Universität Duisburg-Essen, Duisburg, Germany, 2017; pp. 1–295. [Google Scholar]
- Zhang, W.C.; Du, Y.Z.; Chen, Z. Robust adaptive learning with Siamese network architecture for visual tracking. Vis. Comput. 2021, 37, 881–894. [Google Scholar] [CrossRef]
- Salgotra, R.; Singh, U.; Saha, S.; Gandomi, A.H. Improving cuckoo search: Incorporating changes for CEC 2017 and CEC 2020 benchmark problems. In Proceedings of the 2020 IEEE Congress on Evolutionary Computation (CEC), Glasgow, UK, 19–24 July 2020; pp. 1–7. [Google Scholar]
- Wang, X.; Zhang, Y.; Zheng, C.; Feng, S.; Yu, H.; Hu, B.; Xie, Z. An Adaptive Spiral Strategy Dung Beetle Optimization Algorithm: Research and Applications. Biomimetics 2024, 9, 519. [Google Scholar] [CrossRef] [PubMed]
- Happ, M.; Bathke, A.C.; Brunner, E. Optimal sample size planning for the Wilcoxon-Mann-Whitney test. Stat. Med. 2019, 38, 363–375. [Google Scholar] [CrossRef]
- Sun, Y.; Genton, M.G. Functional boxplots. J. Comput. Graph. Stat. 2011, 20, 316–334. [Google Scholar] [CrossRef]
- Li, Z.; Wang, F.; Wang, R.J. A particle swarm optimisation algorithm incorporating the grey wolf algorithm. Comput. Meas. Control 2021, 29, 217–222. [Google Scholar]
- Zhu, Z.F.; Hu, J.L.; Wen, J.J. Evaluation of Quantitative Accuracy of Obstacle Status for Substation UAV Inspection. Comput. Simul. 2022, 39, 387–391. [Google Scholar]
- Yu, Y.; Zhou, J.W.; Feng, Y.B.; Tan, Y. Research on unmanned vehicle trajectory optimisation method based on cubic B-spline curve. J. Shenyang Univ. Sci. Technol. 2019, 38, 71–75. [Google Scholar]
- Wang, X.L.; Huang, C.; Yu, Y.H.; Chen, F.H.; Hu, D.; Lu, Q.; Cui, X.Y. Unmanned Aerial Vehicle Path Planning Based on Adaptive Value Superiority Particle Swarm Algorithm. Pract. Electron. 2022, 30, 16–19. [Google Scholar]
- Hu, G.K.; Zhou, J.H.; Li, Y.Z.; Li, W.H. UAV 3D Path Planning Based on IPSO-GA Algorithm. Mod. Electron. Tech. 2023, 46, 115–120. [Google Scholar]
- Yuan, J.H.; Li, S. Three-dimensional path planning and obstacle avoidance methods for UAVs. Inf. Control 2021, 50, 95–101. [Google Scholar]














| No. | Functions | Fi* = Fi(x*) | |
|---|---|---|---|
| Unimodal Functions | 1 | Shifted and Rotated Bent Cigar Function | 100 | 
| 2 | Shifted and Rotated Sum of Different Power Function | 200 | |
| 3 | Shifted and Rotated Zakharov Function | 300 | |
| Simple Multimodal Functions | 4 | Shifted and Rotated Rosenbrock’s Function | 400 | 
| 5 | Shifted and Rotated Rastrigin’s Function | 500 | |
| 6 | Shifted and Rotated Expanded Scaffer’s F6 Function | 600 | |
| 7 | Shifted and Rotated Lunacek Bi_Rastrigin Function | 700 | |
| 8 | Shifted and Rotated Non-Continuous Rastrigin’s Function | 800 | |
| 9 | Shifted and Rotated Levy Function | 900 | |
| 10 | Shifted and Rotated Schwefel’s Function | 1000 | |
| Hybrid Functions | 11 | Hybrid Function 1 (N = 3) | 1100 | 
| 12 | Hybrid Function 2 (N = 3) | 1200 | |
| 13 | Hybrid Function 3 (N = 3) | 1300 | |
| 14 | Hybrid Function 4 (N = 4) | 1400 | |
| 15 | Hybrid Function 5 (N = 4) | 1500 | |
| 16 | Hybrid Function 6 (N = 4) | 1600 | |
| 17 | Hybrid Function 6 (N = 5) | 1700 | |
| 18 | Hybrid Function 6 (N = 5) | 1800 | |
| 19 | Hybrid Function 6 (N = 5) | 1900 | |
| 20 | Hybrid Function 6 (N = 6) | 2000 | |
| Composition Functions | 21 | Composition Function 1 (N = 3) | 2100 | 
| 22 | Composition Function 2 (N = 3) | 2200 | |
| 23 | Composition Function 3 (N = 4) | 2300 | |
| 24 | Composition Function 4 (N = 4) | 2400 | |
| 25 | Composition Function 5 (N = 5) | 2500 | |
| 26 | Composition Function 6 (N = 5) | 2600 | |
| 27 | Composition Function 7 (N = 6) | 2700 | |
| 28 | Composition Function 8 (N = 6) | 2800 | |
| 29 | Composition Function 9 (N = 3) | 2900 | |
| 30 | Composition Function 10 (N = 3) | 3000 | |
| Search Range: | |||
| Algorithm | Population | Size Number of Iterations | Parameters | 
|---|---|---|---|
| GRO | 30 | 500 | = 2 | 
| PSO | 30 | 500 | = 1.5 | 
| SWO | 30 | 500 | = 20, t = 0 | 
| KOA | 30 | 500 | = 0.1, λ= 15 | 
| LO | 30 | 500 | Iter = 0, jumping rate min = 0.1 Jumping rate max = 0.5 | 
| ILO | 30 | 500 | Initial jumping rate = 0.5 Jumping rate min = 0.1 Jumping rate max = 0.5 = 0.95 | 
| Parameters | Notation | Parameter Value | |
|---|---|---|---|
| Map | Execution space (math.) | 100 × 100 × 250 | |
| Starting point | Start | [10,10,10] | |
| Target point | Goal | [80,90,80] | |
| Number of peaks | N | 8 | |
| Population size | SearchAgents_no | 30 | |
| Number of iterations | Iter | 100 | 
| Scales | Algorithms | Average Number of Convergence Iterations | Mean Fitness Value | Percentage of ILO Adaptation Values/% | Percentage of ILO Converged Iterations/% | 
|---|---|---|---|---|---|
| Map | PSO | 56 | 171.2 | 98.3 | 74.4 | 
| LO | 86 | 136.2 | 64.0 | 93.5 | |
| ILO | 55 | 127.4 | 100 | 100 | |
| SWO | 97 | 129.1 | 56.7 | 98.7 | |
| KOA | 70 | 149.0 | 78.6 | 85.5 | |
| GRO | 94 | 129.1 | 58.5 | 98.7 | 
| Disclaimer/Publisher’s Note: The statements, opinions and data contained in all publications are solely those of the individual author(s) and contributor(s) and not of MDPI and/or the editor(s). MDPI and/or the editor(s) disclaim responsibility for any injury to people or property resulting from any ideas, methods, instructions or products referred to in the content. | 
© 2024 by the authors. Licensee MDPI, Basel, Switzerland. This article is an open access article distributed under the terms and conditions of the Creative Commons Attribution (CC BY) license (https://creativecommons.org/licenses/by/4.0/).
Share and Cite
Liang, H.; Hu, W.; Gong, K.; Dai, J.; Wang, L. Solving UAV 3D Path Planning Based on the Improved Lemur Optimizer Algorithm. Biomimetics 2024, 9, 654. https://doi.org/10.3390/biomimetics9110654
Liang H, Hu W, Gong K, Dai J, Wang L. Solving UAV 3D Path Planning Based on the Improved Lemur Optimizer Algorithm. Biomimetics. 2024; 9(11):654. https://doi.org/10.3390/biomimetics9110654
Chicago/Turabian StyleLiang, Haijun, Wenhai Hu, Ke Gong, Jie Dai, and Lifei Wang. 2024. "Solving UAV 3D Path Planning Based on the Improved Lemur Optimizer Algorithm" Biomimetics 9, no. 11: 654. https://doi.org/10.3390/biomimetics9110654
APA StyleLiang, H., Hu, W., Gong, K., Dai, J., & Wang, L. (2024). Solving UAV 3D Path Planning Based on the Improved Lemur Optimizer Algorithm. Biomimetics, 9(11), 654. https://doi.org/10.3390/biomimetics9110654
 
        


 
       