Abstract
Many pivotal and knotty engineering problems in practical applications boil down to optimization problems, which are difficult to resolve using traditional mathematical optimization methods. Metaheuristics are efficient algorithms for solving complex optimization problems while keeping computational costs reasonable. The carnivorous plant algorithm (CPA) is a newly proposed metaheuristic algorithm, inspired by its foraging strategies of attraction, capture, digestion, and reproduction. However, the CPA is not without its shortcomings. In this paper, an enhanced multistrategy carnivorous plant algorithm called the UCDCPA is developed. In the proposed framework, a good point set, Cauchy mutation, and differential evolution are introduced to increase the algorithm’s calculation precision and convergence speed as well as heighten the diversity of the population and avoid becoming trapped in local optima. The superiority and practicability of the UCDCPA are illustrated by comparing its experimental results with several algorithms against the CEC2014 and CEC2017 benchmark functions, and five engineering designs. Additionally, the results of the experiment are analyzed again from a statistical point of view using the Friedman and Wilcoxon rank-sum tests. The findings show that these introduced strategies provide some improvements in the performance of the CPA, and the accuracy and stability of the optimization results provided by the proposed UCDCPA are competitive against all algorithms. To conclude, the proposed UCDCPA offers a good alternative to solving optimization issues.
1. Introduction
Recently, as technologies such as artificial intelligence, engineering design, urban transport planning, complex networks, and data processing have continued to develop, people are being faced with increasingly complex optimization problems [1,2]. It is very difficult and time-consuming to solve these problems with numerous variables and constraints because most optimization problems [3,4,5] in the real world have the following characteristics: large amounts of calculation, nonlinear constraints, nonconvexity, and a large and complex solution space [6]. Traditional optimization methods often struggle to solve these complex optimization problems and metaheuristic optimization algorithms have been introduced to overcome them [7]. These algorithms are capable of solving such complex problems in an iterative process. The low computational cost, flexibility, and simplicity of such algorithms have led to an increased interest among researchers in developing metaheuristic algorithms. Single-solution and population-based algorithms are the two broad groups into which metaheuristic algorithms fall. A single-solution algorithm creates a random solution and refines it until the best outcome is achieved; population-based algorithms produce a random collection of solutions and update those solutions throughout the course of iterations until the optimal answer is discovered. For a given problem, a single-solution-based algorithm may fall into a local optimum and thus fail to find the global optimum because it only generates and updates a random set of solutions. In contrast, population-based algorithms can find the global optimal solution by relying on information sharing because they generate a set of solutions, and they can eliminate local optimization. Therefore, population-based algorithms have become the focus of current research. Population-based algorithms can be divided into four categories [8]. They are based on evolution theory, natural phenomena, human activities, and swarm intelligence.
The evolutionary processes of reproduction, mutation, recombination, and selection serve as the basis for evolutionary algorithms. The genetic algorithm (GA) [9], one of the evolutionary theory-based algorithms, determines the best population by evolving the search space of a candidate population; the differential evolution algorithm (DE) [10] only requires a few simple control variables; and the symbiotic organism search (SOS) algorithm [11] imitates the symbiotic interaction tactics used by organisms in an ecosystem to survive and procreate.
Inspiration from natural phenomena can be divided into physics, chemistry, and biology. Physical laws such as gravity, electromagnetic force, inertia force, the heating and cooling of materials, etc., serve as inspiration for algorithms based on physical laws, such as the water cycle algorithm (WCA) [12], the multiverse optimizer (MVO) [13], and the black hole algorithm (BHO) [14], which simulates the attraction and absorption phenomena of black holes. Thermal diffusion served as an inspiration for simulated annealing (SA) [15]. The gravitational search algorithm (GSA) [16] is a recent algorithm that has been inspired by the Newtonian law of gravity and motion. Inspired by chemical reactions, the chemical reaction optimization algorithm (CRO) [17] recreates the chemical reaction of molecular interactions by reaching a low-energy stable state in the CRO. In terms of biology, based on the growth, division, and competition of bacteria in nature, Yang [18] suggested a network division approach. This method provides a uniform network divided into general processes. It is vital for the workload balance node.
Intelligent algorithms based on human activities include harmony search (HS) [19], teaching–learning-based optimization (TLBO) [20], and imperialist competition algorithm (ICA) [21]. All of these algorithms have their roots in human activities such as guitar tuning, educational practices, and imperial colonialism.
The swarm intelligence (SI) optimization method is a solution algorithm that was developed in accordance with the behavioral norms, survival criteria, and other mechanisms underlying the cooperative behavior of organisms or communities in nature. Because of its great effectiveness, straightforward structure, and straightforward execution, it has drawn the interest and research of many academics. Ant colony optimization (ACO) [22] is the SI optimization technique that best represents the field. There are many other algorithms such as the particle swarm optimization (PSO) [23], the gray wolf optimizer (GWO) [24], the sine cosine algorithm (SCA) [25], the whale optimization algorithm (WOA) [26], the moth–flame optimization algorithm (MFO) [27], hawks optimization (HHO) [28], the carnivorous plant algorithm (CPA) [29], and so on. Through information sharing and population cooperation, these algorithms encourage the evolution of the population toward the overall optimal goal. They simulate the foraging behavior of various populations and update individual behavior in a specific random manner. The application of intelligent algorithms is also extensive [30,31,32].
The CPA is a swarm intelligence optimization algorithm. The design of the CPA is inspired by carnivorous plants in nature. A model of the CPA was constructed by simulating the processes of predation, growth, and reproduction of carnivorous plants. When it comes to addressing frequent and complex optimization problems in a variety of sectors, the CPA algorithm has more clear advantages than other metaheuristic algorithms. However, the CPA method has several drawbacks, as do other optimization techniques. One of the CPA’s biggest drawbacks is that it tends to fall into local optimization and is not very good at exploring the search space.
This research proposes an enhanced CPA named UCDCPA, which enhances the performance and accuracy of the CPA. (1) The initial definition of the algorithm population by using the uniform initialization strategy of a good point set can effectively improve the uniformity of the distribution of the initial population, increase the effective area covered by the initial population in the whole feasible region, and increase the algorithm’s calculation precision and convergence speed. (2) The Cauchy mutation strategy is used for the initial population, which can increase the diversity of the initial population and reduce the probability of the leading offspring of the initial population falling into the local optimal solution. (3) Differential evolution is performed on the mixed population in the CPA algorithm. This enhances population variety, gives the algorithm mutation, crossover, and selection processes, and effectively lowers the likelihood that the algorithm would enter local optimization. The main contributions of this study are as follows:
- An enhanced CPA named UCDCPA is proposed. Three efficient strategies, i.e., good point set, Cauchy mutation, and differential evolution are applied to the UCDCPA to tackle the complex optimization tasks effectively.
- The performance of the UCDCPA is checked against the CEC2014 [33] and CEC2017 [34] test functions. The experimental results are compared with state-of-the-art algorithms, and some statistical analysis is carried out.
- The UCDCPA is applied to five classical engineering design problems. Specifically, pressure vessel design problems, welded beam design problems, tension/compression spring design (TCSD) problems, compound gear design problems, and cantilever structure problems. At the same time, some advanced algorithms are selected to compare their performance with the UCDCPA.
The remainder of the essay is structured as follows: The CPA algorithm is described in Section 2. The UCDCPA method is thoroughly explained in Section 3. In Section 4, real-world engineering optimization issues and numerical tests are used to demonstrate how well the UCDCPA performs in optimization. Finally, a brief summary of the information presented in this article is given and the next line of research is discussed.
2. Overview of the CPA
The CPA [29] simulates the process of predation by carnivorous plants, including the process through which carnivorous plants attract, capture, digest, and reproduce. The CPA starts by randomly initializing a set of solutions and divides the solutions into carnivorous plants and prey, then iterates according to the growth and reproduction process, and updates the fitness value in real time. The algorithm circulates the growth and reproduction process until the criteria for termination are satisfied. Each process is described in the following subsections.
2.1. Initialization
The CPA initializes a population with n individuals divided into carnivorous plants and prey as nCPlant and nPrey, respectively. Each individual is randomly initialized by Equation (1).
where is the upper bound and lower bound of the j-th dimension of the individual, respectively, and rand is a random number in the range of [0,1].
A predetermined fitness function assesses each person’s fitness and the calculated fitness value is saved.
2.2. Classification and Grouping
The individuals are arranged in ascending order according to their fitness values (for the minimization problem). The first nCPlant individuals, after ranking, are carnivorous plant CP, and the remaining nPrey individuals were prey.
The top-ranked carnivorous plant receives the prey with the highest fitness value during the grouping phase. The second and third-ranked carnivorous plants, respectively, are given the second and third-ranked prey. The process is repeated until the carnivorous plant ranked nCPlant is assigned the prey ranked nCPlant. The visualization of the carnivorous plants and the prey is presented in Figure 1. On the left side of the picture, there are three different levels of prey, representing individuals of different qualities. The right side of the figure shows the grouping process of the algorithm.
Figure 1.
The grouping process of the CPA.
2.3. Growth (Exploration)
Because of energy demand, carnivorous plants draw, capture, and consume prey. Prey are attracted by the plant’s aroma, but occasionally succeed in escaping the carnivorous plant’s control. As a result, an attraction rate is offered here.
Prey must be chosen at random by each group. The prey is caught and devoured by the carnivorous plant for growth if the attraction rate surpasses the random number of [0–1]. The model is as the following:
where refers to the carnivorous plant in rank i, and is a randomly selected prey in group i. The attraction rate in the CPA is assigned as 0.8 for most cases.
Otherwise, if the attraction rate is smaller, the prey will be able to avoid the trap and survive.
where is another randomly selected prey in the ith group. The growth process is repeated until it meets termination conditions.
2.4. Reproduction (Exploitation)
Only the best carnivorous plants in the CPA were permitted to procreate. This is to make sure that the CPA algorithm’s exploitation is focused on the best solution. The reproduction is described as follows:
where is the current best solution. During the reproduction process, the v is selected randomly for each dimension j.
2.5. Fitness Update and Combine the Population
A new group with a dimension is created when the newly formed population combines with the previous population. According to fitness values, the members of the new group are sorted in ascending order, and the top n individuals from the sorted group are chosen as new candidate solutions. This elitist selection approach makes sure that better solutions are chosen to be replicated in the following generation.
3. Improved Carnivorous Plant Algorithm
An enhanced carnivorous plant algorithm (UCDCPA) is proposed to enhance the CPA’s performance using three additional strategies: good point set uniform initialization, Cauchy mutation, and differential evolution. Firstly, the introduction of a good point set uniform initialization strategy improves the uniformity of initial population distribution and increases the effective area covered by the initial population in the whole feasible region. Secondly, a Cauchy mutation provides various opportunities for the initial population, increases the diversity of the initial population, and reduces the probability of the leading offspring of the initial population falling into the local optimal solution. Last but not least, the concept of differential evolution primarily addresses the issue that the CPA subgeneration population is prone to local optimization, offers mutation, crossover, and selection operations, and enhances the algorithm’s capacity to exit local optimization.
3.1. Good Point Set Uniform Initialization
The initial population in the CPA is produced at random, which theoretically has a uniform distribution; however, the distribution in the search space cannot be guaranteed to be uniform due to the impact of population size. The point set produced by the good point set method [35] has a greater distribution range and a low individual repetition rate, and it is equally dispersed over the search space. The good point set method can obtain a more stable, uniform, and wide initial population. The specific steps are as follows:
Step 1: Given that the size of the population is n, and d is the dimension of the problem.
Step 2: Based on Step 1, the points generated by the set of good points can be expressed as follows:
Step 3: Introduce the good point set into population initialization, then the position of the individual is:
where 1 ≤ j ≤ d, i = 1, 2, …, n.
Figure 2 depicts the distribution of coordinate points created in two-dimensional space using the random methods and the good point set method, and the number of coordinate points is 1000. Figure 2 shows that the coordinate points created by the good point set are more evenly distributed and there is no repetition, so the quality of the generated coordinate points is better.
Figure 2.
Two kinds of initialization affect expansion: (a) random initialization; and (b) good point set initialization.
3.2. Cauchy Mutation
To extend the diversity of the population, the Cauchy mutation operation is carried out on the initial population so that the initial population can achieve a wider search range and improve the global optimization ability. The specific process of the Cauchy mutation [36] is as follows.
Cauchy mutation is based on the Cauchy probability density function, as described by Equation (11):
where is a positional parameter, is a random variable larger than 0, and x is a real number. In this article, x0 = 0 and = 1. This is the standard Cauchy distribution. By analyzing its probability density function, it can be seen that it has no specific mean and variance, but its mode and median are equal to the position parameter x0. The distribution function is shown in Equation (12):
The Cauchy distribution is more uniform than the normal distribution, and the maximum value of the symmetry axis is gentler than the Gaussian distribution. Such distribution characteristics allow the Cauchy distribution to have great dispersion characteristics. The Cauchy mutation formula added in this paper is shown in Equations (13) and (14):
3.3. Differential Evolution Theory
Differential evolution [10] is added to the CPA because the way that the CPA algorithm updates the population completely relies on the previous generation of individuals, and does not use the location information of the current generation of individuals. The specific steps of differential evolution are as follows:
3.3.1. Operation of Mutation
Randomly select three individuals , and the variation vector is generated by Equation (15)
where is the scale factor.
3.3.2. Cross Operation
The cross vector is generated by Equation (16)
where CR is the cross rate, and randi(n) is a random integer of [1–N].
3.3.3. Survival Criterion (Greedy Choice)
The vector with a better objective function value between the cross vector and will be used as the next-generation objective vector .
3.4. Detailed Description of the UCDCPA
By introducing good point set uniform initialization, Cauchy mutation, and differential evolution strategies into the CPA, the performance can be effectively improved. The following are the specific UCDCPA steps:
Step 1: Define the parameters of the UCDCPA.
Step 2: According to Equation (10), initialize the population.
Step 3: According to Equations (12)–(14), the Cauchy mutation is carried out on the initial population and the best one was selected for replacement.
Step 4: If the stop criteria are not met, loop through the following operations; otherwise, end the program.
Step 5: Classify and group the populations obtained after the Cauchy mutation in Step 3. Rank individuals according to fitness values. The former nCPlant individuals after the arrangement are regarded as carnivorous plants, and the remaining nPrey individuals are regarded as prey. The carnivorous plant ranked first in the grouping process receives the prey with the highest fitness value, and so on.
Step 6: If the attraction rate is greater than the generated random number, a new carnivorous plant individual is obtained according to Equations (2) and (3). On the contrary, new prey are generated according to Equations (4) and (5).
Step 7: The first carnivorous plant propagates its offspring according to Equations (6) and (7).
Step 8: Mix and sort the original population with the new population. Then, select the top n individuals as the new population.
Step 9: Three individuals, , are randomly selected from the new species group, and the variation vector is obtained according to Equation (15).
Step 10: If r is less than the CR, or if j is a random integer equal to 1–n, cross vector , otherwise .
Step 11: Greedy selection of cross vector and current target vector . Then go to Step 4.
The pseudo-code and the flow chart for the UCDCPA are given by Algorithm 1 and Figure 3, respectively.
| Algorithm 1: The Pseudo code of the UCDCPA |
|
Figure 3.
Flow chart of the UCDCPA.
4. Numerical Experiment and Analysis
This section applies the UCDCPA algorithm to a set of test functions and demonstrates its superiority using several assessment indicators to prove the efficacy and stability of the UCDCPA algorithm in solving a variety of problems. The population is limited to 30, and there can be a maximum of 500 iterations. On test functions, each algorithm was executed 30 times. The operating environment is “Matlab 9.3.0.713579 on a 7th Gen Intel(R) Core(TM) i5-7200U CPU @ 2.50 GHz 2.71 GHz with 16 GB of RAM”.
Test functions are employed in this part to assess the UCDCPA’s performance. First, the CEC2014 test function [33] was tested. Second, to make the experimental results more persuasive, a test on the CEC2017 test function [34] is introduced to lessen the experiment’s randomness and contingency.
4.1. Parameter Setting
To assess the benefits and drawbacks of the UCDCPA, it is necessary to compare it with the CPA [29] and other representative algorithms, such as the arithmetic optimization algorithm [35], the coati optimization algorithm (COA) [36], the circle search algorithm (CSA) [37], COOT, the golden jackal optimization (GJO) algorithm [38], the rat swarm optimizer (RSO) [39], and the snake optimizer (SO) [40]. Some of the above algorithms’ parameter settings are presented in Table 1, while others have the same parameters as those found in the relevant literature.
Table 1.
Algorithm parameter setting.
4.2. Comparison of UCDCPA and Other Algorithms
To evaluate the effectiveness of the proposed UCDCPA and study the impact of good point set uniform initialization, Cauchy mutation, and differential evolution strategy on the CPA, UCDCPA, and CPA [29], the arithmetic optimization algorithm [35], the coati optimization algorithm (COA) [36], the circle search algorithm (CSA) [37], COOT, the golden jackal optimization (GJO) algorithm [38], the rat swarm optimizer (RSO) [39], and the snake optimizer (SO) [40] were compared.
Firstly, the performance of the UCDCPA and each algorithm was tested against the CEC2014 benchmark function. All algorithms make use of the same experimental parameters. The population is limited to 30, the problem’s dimension is 30, and there can be a maximum of 500 iterations. On test functions, each algorithm was executed 30 times. The test results for each algorithm based on the CEC2014 test function are shown in Table 2, which includes the best value, mean value, standard deviation (Std), and rank. The rank is given by the mean value and Std. First, the mean value is compared. When the mean value is the same, compare the Std. Items with smaller values have priority. The results are given according to the average rank of each algorithm. The end row of Table 2 displays the statistical outcomes of the Wilcoxon rank-sum test (significance level is 0.05) used to compare the other eight UCDCPA-based algorithms. “+” is the number of comparison algorithms that benefited the UCDCPA in terms of statistics, “=“ denotes the number of comparison algorithms that performed equally well, and “−” denotes other cases.
Table 2.
The results of each algorithm based on the CEC2014 test function set.
It can be seen from the data in Table 2 that our proposed UCDCPA algorithm can obtain the minimum value on 11 test functions, holds second place in the remaining 5 test functions, and there are 20 functions in the top three. The overall ranking is 3.30, which is in first place. On functions F3, F8, F12, and F16, the effect of the UCDCPA is not as good as that of the CPA, except for simple multimodal functions F12, the difference is minute, and the optimal value is very close. Among the eight composition functions of F23–F30, although the results are not as good as other comparison algorithms, they are better than those for the CPA. This shows that our improved algorithm has an obvious improvement effect. From the results of “+/=/−” in the table, compared with the CPA, the UCDCPA has great improvements in stability. Among the 30 functions, 20 are better than ARO, and 7 perform similarly; only 3 are worse than the CPA. In comparison with other algorithms, the UCDCPA also has obvious advantages.
To compare the nine algorithms more intuitively, to simplify the content and shorten the length of the article, Figure 4 and Figure 5 show the convergence curve (Average of 30 operation results) and boxplots of all algorithms on the same CEC2014 test sets. The complete convergence curve and boxplots can be found in Figure A1 and Figure A2. Figure 5 shows that the proposed UCDCPA has the best stability over the majority of the test functions. Combining the information in Table 2, it is clear that the proposed UCDCPA primarily enhances the stability and accuracy of the CPA. Since the original CPA can achieve values that are nearly optimal in some test functions, the proposed UCDCPA essentially accelerates the convergence rate of these test functions. In a comprehensive conclusion, the presented UCDCPA offers clear advantages over the other eight algorithms.

Figure 4.
Convergence curves for all nine algorithms based on the results of the CEC2014 test function (a) F1; (b) F4; (c) F6; (d) F10; (e) F11; (f) F15; (g) F19; (h) F29; and (i) F30.
Figure 5.
Boxplots for the nine algorithms based on the CEC2014 test function (a) F1; (b) F4; (c) F6; (d) F10; (e) F11; (f) F15; (g) F19; (h) F29; and (i) F30.
To observe the ranking of each algorithm more intuitively, Figure 6 shows the ranking of all nine algorithms on 30 test functions. The smaller the area in the radar chart, the better the algorithm. It can be seen that the UCDCPA has the smallest area, so the UCDCPA performed the best against the CEC2014 test set.
Figure 6.
Radar diagrams for the nine algorithms based on the CEC2014 test function: (a) AOA; (b) COA; (c) CSA; (d) COOT; (e) GJO; (f) RSO; (g) SO; (h) CPA; and (i) UCDCPA.
The performance of each algorithm and UCDCPA was then evaluated once again using the CEC2017 benchmark function. The identical settings and experimental parameters as before were used. The test results for the nine algorithms on the CEC2017 test function are shown in Table 3.
Table 3.
The results of each algorithm based on the CEC2017 test function set.
From Table 3, we can see that our proposed UCDCPA can obtain the minimum value on 20 test functions, achieves second place in the remaining 6 test functions, and is in the top three on 28 test functions, with an overall ranking of 1.45, ranking first. In the seventh, simple multimodal test functions F4–F10, only on F9 the UCDCPA was less effective than the CPA and won first place in five test functions. In the hybrid test functions F11–F20, the UCDCPA was superior to the CPA, with an obvious improvement effect. Eight of the ten functions reach first place. In the set of composition functions, the UCDCPA embodies the advantage, with 70% of functions being first, and 100% of functions being in the top two, which fully demonstrates the UCDCPA’s ability in the computational processing of composition functions. Overall, our proposed UCDCPA has advantages over the nine algorithm species and outperforms the comparison algorithms. From the results of “+/=/−” in the table, compared with the CPA, the UCDCPA has great improvements in stability. Among the 29 functions, 15 are better than the CPA, and 13 perform similarly; only one is worse than the CPA. In comparison with other algorithms, the UCDCPA also has obvious advantages.
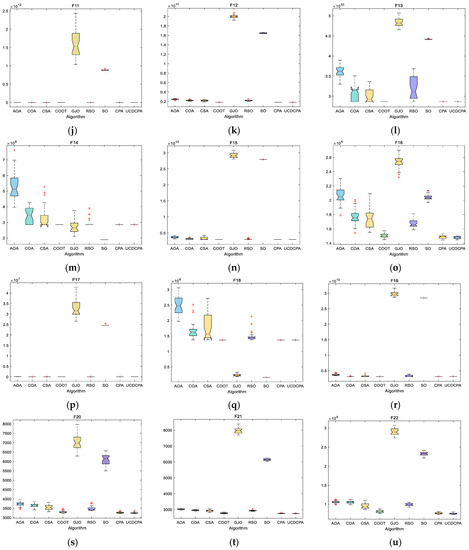
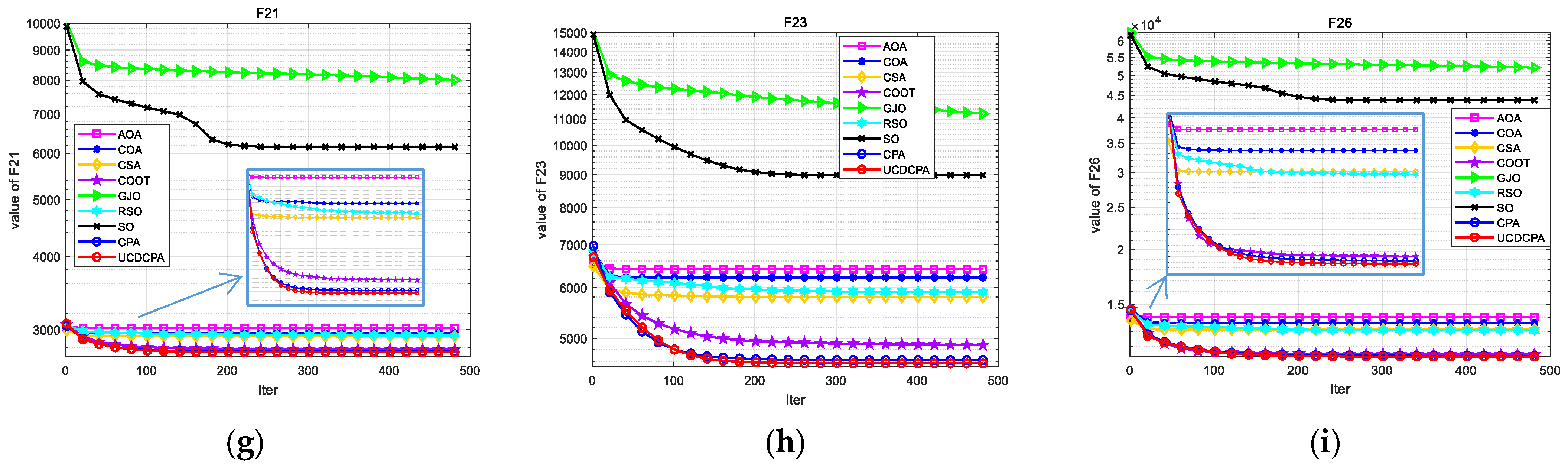
To visually compare the nine algorithms, the convergence curves (average of 30 operation results) of the nine algorithms in the same CEC2017 test functions are given in Figure 7, and the boxplots of each algorithm in the same CEC2017 test functions are given in Figure 8. The complete convergence curve and boxplots can be found in Figure A3 and Figure A4. From Figure 8, we can see that the UCDCPA has a more obvious advantage in stability compared to the CPA and others. Combining Table 3 and Figure 7, it is clear that the proposed UCDCPA primarily enhances computational correctness when compared to the CPA, due to the CPA already achieving high convergence speed on some test functions, such as F6, F16, and F19. A thorough analysis reveals that the suggested UCDCPA algorithm has several benefits over the other eight methods.

Figure 7.
Convergence curves for all nine algorithms based on the CEC2017 test function: (a) F5; (b) F7; (c) F7; (d) F16; (e) F19; (f) F20; (g) F21; (h) F23; and (i) F26.
Figure 8.
Boxplots for the nine algorithms based on the CEC2017 test function: (a) F5; (b) F7; (c) F7; (d) F16; (e) F19; (f) F20; (g) F21; (h) F23; and (i) F26.
Figure 9 shows the ranking of the nine algorithms on 29 test functions of CEC2017. Consistent with the results on the CEC2014 test set, on the CEC2017 test set, the UCDCPA again has the smallest area and the best performance, gaining advantages over all nine algorithms.
Figure 9.
Radar diagram for nine algorithms based on the CEC2017 test function: (a) AOA; (b) COA; (c) CSA; (d) COOT; (e) GJO; (f) RSO; (g) SO; (h) CPA; and (i) UCDCPA.
5. Improved Carnivorous Plant Algorithm (UCDCPA) for Engineering Design
5.1. Pressure Vessel Design Problems
The primary objective of the pressure vessel design [41] is to reduce the cost of the vessel’s materials, forming, and welding. As shown in Figure 10, the four variables in this problem are the inner radius (R), the length of the cylindrical section without taking the head into account (L), the thickness of the head (Th), and the thickness of the shell (Ts). The four constraint functions and the problem’s mathematical formulation are provided in Equation (18).
Figure 10.
Diagram illustrating the pressure vessel issue.
The proposed UCDCPA was used to deal with the pressure vessel design problem, and the results were compared to the CPA and the other 12 algorithms. In Table 4, each algorithm’s minimum cost and related variable values are displayed, and it can be seen that the UCDCPA works better. Table 5 illustrates the statistical findings for each algorithm, with the UCDCPA outperforming the others in terms of the best solution, average solution, worst solution, and standard deviation. A smaller standard deviation suggests that an algorithm is more robust. This leads to the conclusion that, in comparison to competing algorithms, the proposed UCDCPA offers a competitive advantage.
Table 4.
Results for the comparison of algorithm performance in the pressure vessel design issue.
Table 5.
Statistical results for the algorithms in the pressure vessel design problem.
5.2. Welded Beam Design Problem
The welded beam design problem aims to determine the lowest fabrication cost for a welded beam [46]. The length of the clamped bar (l), the height of the bar (t), the thickness of the bar (b), and the thickness of the weld (h) are the four design factors that need to be optimized, as shown in Figure 11. In addition, seven constraints are to be satisfied by applying loads to the top of the bars. The specific design problem is shown in Equation (19).
Figure 11.
Diagram of the welded beam issue.
The welded beam design problem has been solved using the presented UCDCPA, and its performance was evaluated against that of the CPA and the other 12 intelligent algorithms. For each method, the minimum costs and accompanying ideal variable values are listed in Table 6. The GWO, PSO, and CPA algorithms all calculate good results, and the minimum cost of the CPA is consistent with the optimal cost of the UCDCPA, but the proposed UCDCPA is better. Table 7 displays the statistical outcomes for all methods. The standard deviation of the UCDCPA is zero, indicating that the algorithm has strong robustness. The best solution, average solution, worst solution, and standard deviation obtained using the UCDCPA are all better than those obtained using other algorithms. This leads to the conclusion that the proposed UCDCPA has a competitive advantage over existing algorithms in tackling this problem in every scenario.
Table 6.
Results for the comparison of algorithm performance in the welded beam design issue.
Table 7.
Statistical outcomes for the algorithms in the welded beam design problem.
5.3. Tension/Compression Spring Design (TCSD) Problem
Finding the values of the three parameters of the wire diameter (u1), mean coil diameter (u2), and the number of effective coils (u3) is the goal of the TCSD problem [47] (see Figure 12). The TCSD problem is described mathematically in Equation (20).
Figure 12.
Diagram showing the tension/compression spring.
The minimum cost and accompanying ideal variable values for each algorithm used to solve the TCSD issue are shown in Table 8. The ALO, CPA, and the UCDCPA all show good results. Table 9 displays the statistical outcomes for all methods. The UCDCPA’s calculations of the best solution, average solution, worst solution, and standard deviation outperform those of the other methods, and the standard deviation, with a significant advantage, illustrates that the UCDCPA has better robustness. According to the thorough investigation, the proposed UCDCPA has a considerable competitive edge over other algorithms in resolving this problem.
Table 8.
Results for the comparison of algorithm performance in the TCSD problem.
Table 9.
Statistical outcomes for the algorithms in the TCSD problem.
5.4. Compound Gear Design Problem
A mechanical engineering problem, the “gear train design problem” [50], seeks to reduce the ratio of a particular gear set, denoted as (nBnD)/(nCnA). As can be seen from Figure 13, the four parameters of this problem are the number of teeth of the gears, which are integers and range in size from 12 to 60. As a result, the issue of gear train design is discrete. The variables’ ranges are regarded as constraints.
Figure 13.
Compound gear design problem.
To solve the gear train design challenge, the original algorithm and the other 13 clever algorithms are compared to the proposed UCDCPA. The minimum cost and accompanying ideal variable values for each method are displayed in Table 10, and the results obtained using the GSA, AOA, AO, SCA, GWO, PSO, WHO, MVO, CPA, and the UCDCPA algorithms are similar. Table 11 displays all algorithms’ statistical results. The best, mean, worst, and Std. obtained using the UCDCPA algorithm are better than others, and the algorithm’s standard deviation, with considerable advantage, shows that it is more robust than other methods.
Table 10.
Comparison of algorithm performance for the best designs in the gear design problem.
Table 11.
Statistical outcomes for the algorithms in the gear train design problem.
5.5. Cantilever Structure Problem
The cantilever structure problem is a structural engineering design problem [44]. In this application, the goal is to reduce a cantilever’s weight while taking into account load-bearing capacity limits (see Figure 14). The choice variables are the heights of the five hollow squares that make up the beam.
Figure 14.
Structural drawing of the cantilever beam.
Table 12 shows that there is not much difference between the results calculated using the UCDCPA and the CPA, with the UCDCPA slightly outperforming the CPA. Table 13 compares the statistical outcomes of this algorithm with other approaches. As shown in the table, although the solutions obtained using the CPA are highly competitive, the UCDCPA is slightly better than the CPA when the best, mean, worst, and Std. of the results are considered together. The effectiveness of the improved algorithm proposed in this paper is illustrated.
Table 12.
Comparison of algorithm performances for the best designs in the cantilever beam problem.
Table 13.
Statistical results for the algorithms in the cantilever beam design problem.
6. Conclusions
In this paper, an improved carnivorous plant algorithm (UCDCPA) is proposed based on the CPA. After carefully analyzing the process of the CPA, three strategies were introduced to enhance the performance of the CPA. First, the initialization of the population was completed using the good point set. Secondly, the Cauchy mutation method was used to increase the initial population diversity. Finally, a differential evolution strategy with good exploration ability was integrated into the CPA. Numerical tests were conducted on a total of 59 benchmark functions to test the performance of the proposed UCDCPA. The test results show that the UCDCPA outperforms the CPA and seven other novel metaheuristics. To further validate the optimization capability of the UCDCPA, five real engineering problems were tested. The test results further validate the high performance of the UCDCPA in solving real-world problems. The future work direction is to extend the UCDCPA to multiobjective optimization, which can also be applied to training neural networks, computer graphics, or other problem fields [52,53].
Author Contributions
Conceptualization, J.Y. and G.H.; methodology, M.P., W.J., J.Y. and G.H.; software, M.P. and W.J.; validation, W.J. and J.Y.; formal analysis, G.H.; investigation, M.P., W.J., J.Y. and G.H.; resources, G.H.; data curation, M.P. and W.J.; writing—original draft, M.P., W.J., J.Y. and G.H.; writing—review and editing, M.P., W.J., J.Y. and G.H.; visualization, M.P., W.J. and J.Y.; supervision, M.P., J.Y. and G.H.; project administration, M.P. and G.H.; funding acquisition, G.H. All authors have read and agreed to the published version of the manuscript.
Funding
This research was funded by Scientific Research Program Funded by Shaanxi Provincial Education Department, China (Grant No. 19JK0563).
Institutional Review Board Statement
Not applicable.
Informed Consent Statement
Not applicable.
Data Availability Statement
All data generated or analyzed during this study were included in this published article.
Conflicts of Interest
The authors declare no conflict of interest.
Appendix A



Figure A1.
Convergence curves for nine algorithms based on the CEC2014 test function: (a) F1; (b) F2; (c) F3; (d) F4; (e) F5; (f) F6; (g) F7; (h) F8; (i) F9; (j) F10; (k) F11; (l) F12; (m) F13; (n) F14; (o) F15; (p) F16; (q) F17; (r) F18; (s) F19; (t) F20; (u) F21; (v) F22; (w) F23; (x) F24; (y) F25; (z-1) F26; (z-2) F27; (z-3) F28; (z-4) F29; and (z-5) F30.


Figure A2.
Boxplots for the nine algorithms based on the CEC2014 test function: (a) F1; (b) F2; (c) F3; (d) F4; (e) F5; (f) F6; (g) F7; (h) F8; (i) F9; (j) F10; (k) F11; (l) F12; (m) F13; (n) F14; (o) F15; (p) F16; (q) F17; (r) F18; (s) F19; (t) F20; (u) F21; (v) F22; (w) F23; (x) F24; (y) F25; (z-1) F26; (z-2) F27; (z-3) F28; (z-4) F29; and (z-5) F30.



Figure A3.
Convergence curves for nine algorithms based on the CEC2017 test function: (a) F1; (b) F3; (c) F4; (d) F5; (e) F6; (f) F7; (g) F8; (h) F9; (i) F10; (j) F11; (k) F12; (l) F13; (m) F14; (n) F15; (o) F16; (p) F17; (q) F18; (r) F19; (s) F20; (t) F21; (u) F22; (v) F23; (w) F24; (x) F25; (y) F26; (z-1) F27; (z-2) F28; (z-3) F29; and (z-4) F30.


Figure A4.
Boxplots for the nine algorithms based on the CEC2017 test function: (a) F1; (b) F3; (c) F4; (d) F5; (e) F6; (f) F7; (g) F8; (h) F9; (i) F10; (j) F11; (k) F12; (l) F13; (m) F14; (n) F15; (o) F16; (p) F17; (q) F18; (r) F19; (s) F20; (t) F21; (u) F22; (v) F23; (w) F24; (x) F25; (y) F26; (z-1) F27; (z-2) F28; (z-3) F29; and (z-4) F30.
References
- Zhao, S.; Zhang, T.; Ma, S.; Chen, M. Dandelion Optimizer: A nature-inspired metaheuristic algorithm for engineering applications. Eng. Appl. Artif. Intell. 2022, 114, 105075. [Google Scholar] [CrossRef]
- Jahani, E.; Chizari, M. Tackling global optimization problems with a novel algorithm–Mouth Brooding Fish algorithm. Appl. Soft Comput. 2018, 62, 987–1002. [Google Scholar] [CrossRef]
- Sergeyev, Y.D.; Kvasov, D.; Mukhametzhanov, M. On the efficiency of nature-inspired metaheuristics in expensive global optimization with limited budget. Sci. Rep. 2018, 8, 453. [Google Scholar] [CrossRef]
- Liberti, L.; Kucherenko, S. Comparison of deterministic and stochastic approaches to global optimization. Int. Trans. Oper. Res. 2005, 12, 263–285. [Google Scholar] [CrossRef]
- Koc, I.; Atay, Y.; Babaoglu, I. Discrete tree seed algorithm for urban land readjustment. Eng. Appl. Artif. Intell. 2022, 112, 104783. [Google Scholar] [CrossRef]
- Dehghani, M.; Trojovská, E.; Trojovský, P. A new human-based metaheuristic algorithm for solving optimization problems on the base of simulation of driving training process. Sci. Rep. 2022, 12, 9924. [Google Scholar] [CrossRef]
- Zeidabadi, F.-A.; Dehghani, M.; Trojovský, P.; Hubálovský, Š.; Leiva, V.; Dhiman, G. Archery Algorithm: A Novel Stochastic Optimization Algorithm for Solving Optimization Problems. Comput. Mater. Contin. 2022, 72, 399–416. [Google Scholar] [CrossRef]
- Dhiman, G.; Kaur, A. STOA: A bio-inspired based optimization algorithm for industrial engineering problems. Eng. Appl. Artif. Intell. 2019, 82, 148–174. [Google Scholar] [CrossRef]
- Rajeev, S.; Krishnamoorthy, C.S. Discrete optimization of structures using genetic algorithms. J. Struct. Eng. 1992, 118, 1233–1250. [Google Scholar] [CrossRef]
- Storn, R.; Price, K. Differential evolution-a simple and efficient heuristic for global optimization over continuous spaces. J. Glob. Optim. 1997, 11, 341. [Google Scholar] [CrossRef]
- Cheng, M.Y.; Prayogo, D. Symbiotic organisms search: A new metaheuristic optimization algorithm. Comput. Struct. 2014, 139, 98–112. [Google Scholar] [CrossRef]
- Eskandar, H.; Sadollah, A.; Bahreininejad, A.; Hamdi, M. Water cycle algorithm–A novel metaheuristic optimization method for solving constrained engineering optimization problems. Comput. Struct. 2012, 110, 151–166. [Google Scholar] [CrossRef]
- Mirjalili, S.; Mirjalili, S.M.; Hatamlou, A. Multi-verse optimizer: A nature-inspired algorithm for global optimization. Neural Comput. Appl. 2016, 27, 495–513. [Google Scholar] [CrossRef]
- Hatamlou, A. Black hole: A new heuristic optimization approach for data clustering. Inf. Sci. 2013, 222, 175–184. [Google Scholar] [CrossRef]
- Van Laarhoven, P.J.; Aarts, E.H.; van Laarhoven, P.J.; Aarts, E. Simulated Annealing. In Simulated Annealing: Theory and Applications. Mathematics and Its Applications; Springer: Dordrecht, The Netherlands, 1987; pp. 7–15. [Google Scholar] [CrossRef]
- Rashedi, E.; Nezamabadi-Pour, H.; Saryazdi, S. GSA: A gravitational search algorithm. Inf. Sci. 2009, 179, 2232–2248. [Google Scholar] [CrossRef]
- Lam, A.Y.; Xu, J.; Li, V.O. Chemical reaction optimization for population transition in peer-to-peer live streaming. In IEEE Congress on Evolutionary Computation; IEEE: Piscataway, NJ, USA, 2010; pp. 1–8. [Google Scholar] [CrossRef]
- Yang, H.; Wan, Q.; Deng, Y. A bio-inspired optimal network division method. Phys. A Stat. Mech. Its Appl. 2019, 527, 121259. [Google Scholar] [CrossRef]
- Geem, Z.W.; Kim, J.H.; Loganathan, G.V. A new heuristic optimization algorithm: Harmony search. Simulation 2001, 76, 60–68. [Google Scholar] [CrossRef]
- Rao, R.V.; Savsani, V.J.; Vakharia, D.P. Teaching–learning-based optimization: A novel method for constrained mechanical design optimization problems. Comput.-Aided Des. 2011, 43, 303–315. [Google Scholar] [CrossRef]
- Atashpaz-Gargari, E.; Lucas, C. Imperialist competitive algorithm: An algorithm for optimization inspired by imperialistic competition. In 2007 IEEE Congress on Evolutionary Computation; IEEE: Piscataway, NJ, USA, 2007; pp. 4661–4667. [Google Scholar] [CrossRef]
- Dorigo, M.; Blum, C. Ant colony optimization theory: A survey. Theor. Comput. Sci. 2005, 344, 243–278. [Google Scholar] [CrossRef]
- Kennedy, J.; Eberhart, R. Particle swarm optimization. In Proceedings of the ICNN’95-International Conference on Neural Networks, Perth, Australia, 27 November–1 December 1995; pp. 1942–1948. [Google Scholar] [CrossRef]
- Mirjalili, S.; Mirjalili, S.M.; Lewis, A. Grey wolf optimizer. Adv. Eng. Softw. 2014, 69, 46–61. [Google Scholar] [CrossRef]
- Mirjalili, S. SCA: A sine cosine algorithm for solving optimization problems. Knowl. Based Syst. 2016, 96, 120–133. [Google Scholar] [CrossRef]
- Mirjalili, S.; Lewis, A. The whale optimization algorithm. Adv. Eng. Softw. 2016, 95, 51–67. [Google Scholar] [CrossRef]
- Mirjalili, S. Moth-flame optimization algorithm: A novel nature-inspired heuristic paradigm. Knowl. Based Syst. 2015, 89, 228–249. [Google Scholar] [CrossRef]
- Heidari, A.A.; Mirjalili, S.; Faris, H.; Aljarah, I.; Mafarja, M.; Chen, H. Harris hawks optimization: Algorithm and applications. Future Gener. Comput. Syst. 2019, 97, 849–872. [Google Scholar] [CrossRef]
- Ong, K.M.; Ong, P.; Sia, C.K. A carnivorous plant algorithm for solving global optimization problems. Appl. Soft Comput. 2021, 98, 106833. [Google Scholar] [CrossRef]
- Hu, G.; Du, B.; Wang, X.; Wei, G. An enhanced black widow optimization algorithm for feature selection. Knowl. Based Syst. 2022, 235, 107638. [Google Scholar] [CrossRef]
- Hu, G.; Wang, J.; Li, M.; Hussien, A.G.; Abbas, M. EJS: Multi-strategy enhanced jellyfish search algorithm for engineering applications. Mathematics 2023, 11, 851. [Google Scholar] [CrossRef]
- Hu, G.; Yang, R.; Qin, X.; Wei, G. MCSA: Multi-strategy boosted chameleon-inspired optimization algorithm for engineering applications. Comput. Methods Appl. Mech. Eng. 2023, 403, 115676. [Google Scholar] [CrossRef]
- Wang, J.; Li, Y.; Hu, G. Hybrid seagull optimization algorithm and its engineering application integrating Yin–Yang Pair idea. Eng. Comput. 2022, 38, 2821–2857. [Google Scholar] [CrossRef]
- Hu, G.; Zhong, J.; Wei, G.; Chang, C.-T. DTCSMO: An efficient hybrid starling murmuration optimizer for engineering applications. Comput. Methods Appl. Mech. Eng. 2023, 405, 115878. [Google Scholar] [CrossRef]
- Abualigah, L.; Diabat, A.; Mirjalili, S.; Abd Elaziz, M.; Gandomi, A.H. The arithmetic optimization algorithm. Comput. Methods Appl. Mech. Eng. 2021, 376, 113609. [Google Scholar] [CrossRef]
- Dehghani, M.; Montazeri, Z.; Trojovská, E.; Trojovský, P. Coati Optimization Algorithm: A new bio-inspired metaheuristic algorithm for solving optimization problems. Knowl. Based Syst. 2023, 259, 110011. [Google Scholar] [CrossRef]
- Qais, M.H.; Hasanien, H.M.; Turky, R.A.; Alghuwainem, S.; Tostado-Véliz, M.; Jurado, F. Circle search algorithm: A geometry-based metaheuristic optimization algorithm. Mathematics 2022, 10, 1626. [Google Scholar] [CrossRef]
- Chopra, N.; Ansari, M.M. Golden jackal optimization: A novel nature-inspired optimizer for engineering applications. Expert Syst. Appl. 2022, 198, 116924. [Google Scholar] [CrossRef]
- Dhiman, G.; Garg, M.; Nagar, A.; Kumar, V.; Dehghani, M. A novel algorithm for global optimization: Rat swarm optimizer. J. Ambient. Intell. Humaniz. Comput. 2021, 12, 8457–8482. [Google Scholar] [CrossRef]
- Hashim, F.A.; Hussien, A.G. Snake Optimizer: A novel meta-heuristic optimization algorithm. Knowl. Based Syst. 2022, 242, 108320. [Google Scholar] [CrossRef]
- Sandgren, E. Nonlinear integer and discrete programming in mechanical design optimization. J. Mech. Des. 1990, 112, 223–229. [Google Scholar] [CrossRef]
- Hayyolalam, V.; Kazem, A.A.P. Black widow optimization algorithm: A novel meta-heuristic approach for solving engineering optimization problems. Eng. Appl. Artif. Intell. 2020, 87, 103249. [Google Scholar] [CrossRef]
- Hashim, F.A.; Hussain, K.; Houssein, E.H.; Mabrouk, M.S.; Al-Atabany, W. Archimedes optimization algorithm: A new metaheuristic algorithm for solving optimization problems. Appl. Intell. 2021, 51, 1531–1551. [Google Scholar] [CrossRef]
- Abualigah, L.; Yousri, D.; Abd Elaziz, M.; Ewees, A.A.; Al-Qaness, M.A.; Gandomi, A.H. Aquila optimizer: A novel meta-heuristic optimization algorithm. Comput. Ind. Eng. 2021, 157, 107250. [Google Scholar] [CrossRef]
- Dhiman, G.; Kumar, V. Spotted hyena optimizer: A novel bio-inspired based metaheuristic technique for engineering applications. Adv. Eng. Softw. 2017, 114, 48–70. [Google Scholar] [CrossRef]
- Deb, K. Optimal design of a welded beam via genetic algorithms. AIAA J. 1991, 29, 2013–2015. [Google Scholar] [CrossRef]
- Kaveh, A.; Khanzadi, M.; Moghaddam, M.R. Billiards-inspired optimization algorithm; a new meta-heuristic method. Structures 2020, 27, 1722–1739. [Google Scholar] [CrossRef]
- Li, S.; Chen, H.; Wang, M.; Heidari, A.A.; Mirjalili, S. Slime mould algorithm: A new method for stochastic optimization. Future Gener. Comput. Syst. 2020, 111, 300–323. [Google Scholar] [CrossRef]
- Mirjalili, S. The ant lion optimizer. Adv. Eng. Softw. 2015, 83, 80–98. [Google Scholar] [CrossRef]
- Kaveh, A.; Eslamlou, A.D. Water strider algorithm: A new metaheuristic and applications. Structures 2020, 25, 520–541. [Google Scholar] [CrossRef]
- Naruei, I.; Keynia, F. Wild horse optimizer: A new meta-heuristic algorithm for solving engineering optimization problems. Eng. Comput. 2022, 38 (Suppl. S4), 3025–3056. [Google Scholar] [CrossRef]
- Hu, G.; Li, M.; Wang, X.; Wei, G.; Chang, C.T. An enhanced manta ray foraging optimization algorithm for shape optimization of complex CCG-Ball curves. Knowl. Based Syst. 2022, 240, 108071. [Google Scholar] [CrossRef]
- Hu, G.; Zhu, X.; Wei, G.; Chang, C.T. An improved marine predators algorithm for shape optimization of developable Ball surfaces. Eng. Appl. Artif. Intell. 2021, 105, 104417. [Google Scholar] [CrossRef]
Disclaimer/Publisher’s Note: The statements, opinions and data contained in all publications are solely those of the individual author(s) and contributor(s) and not of MDPI and/or the editor(s). MDPI and/or the editor(s) disclaim responsibility for any injury to people or property resulting from any ideas, methods, instructions or products referred to in the content. |
© 2023 by the authors. Licensee MDPI, Basel, Switzerland. This article is an open access article distributed under the terms and conditions of the Creative Commons Attribution (CC BY) license (https://creativecommons.org/licenses/by/4.0/).