Prediction of Three-Dimensional Ground Reaction Forces in the Golf Swing Using Wearable Inertial Measurement Units and Biomimetic Deep Learning Models
Abstract
1. Introduction
2. Materials and Methods
2.1. Participants
2.2. Experimental Protocol and Data Collection
2.3. DL Models
2.3.1. Five DL Models
2.3.2. Model Training
2.3.3. Model Evaluation
3. Results
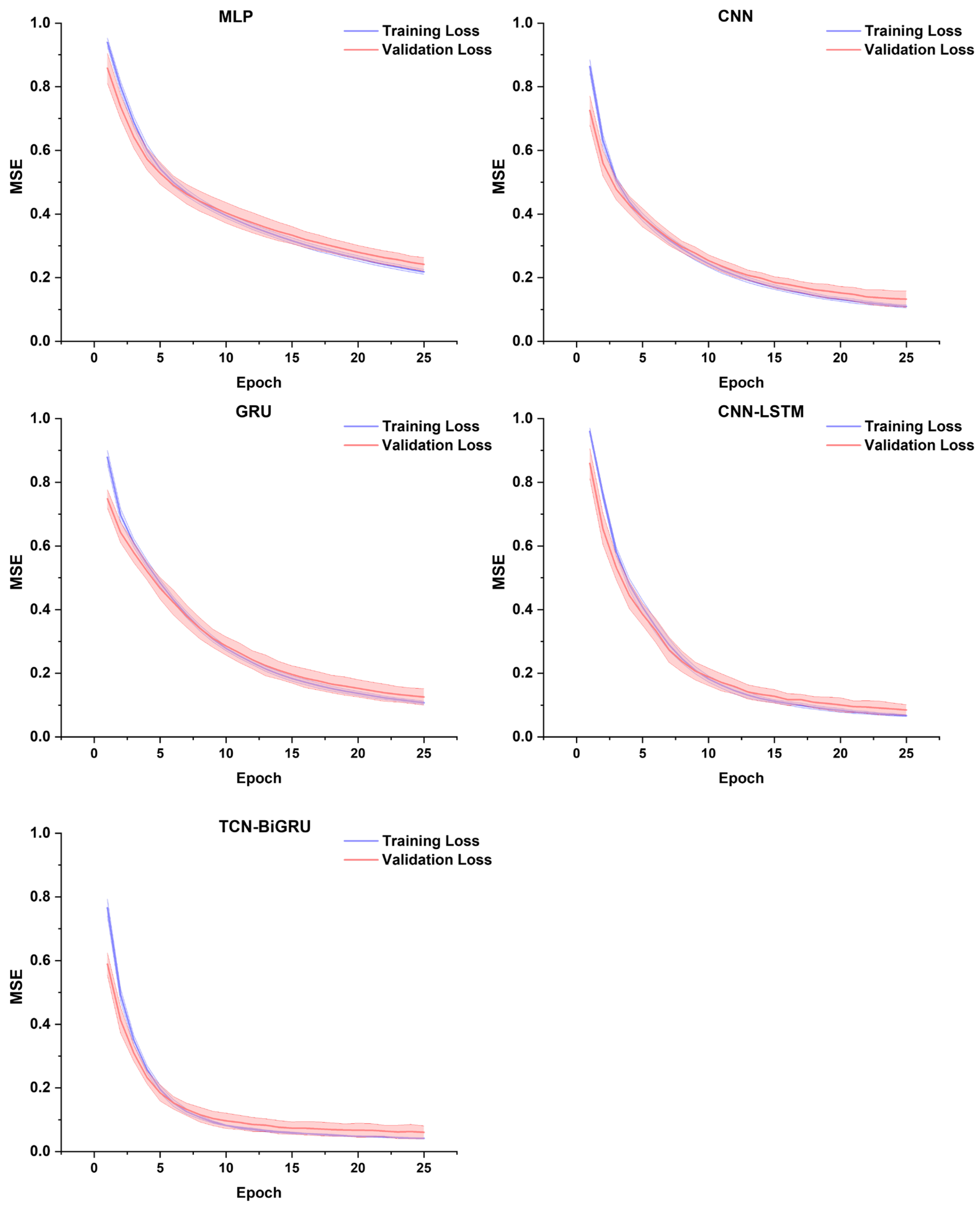
3.1. Training and Validation Loss
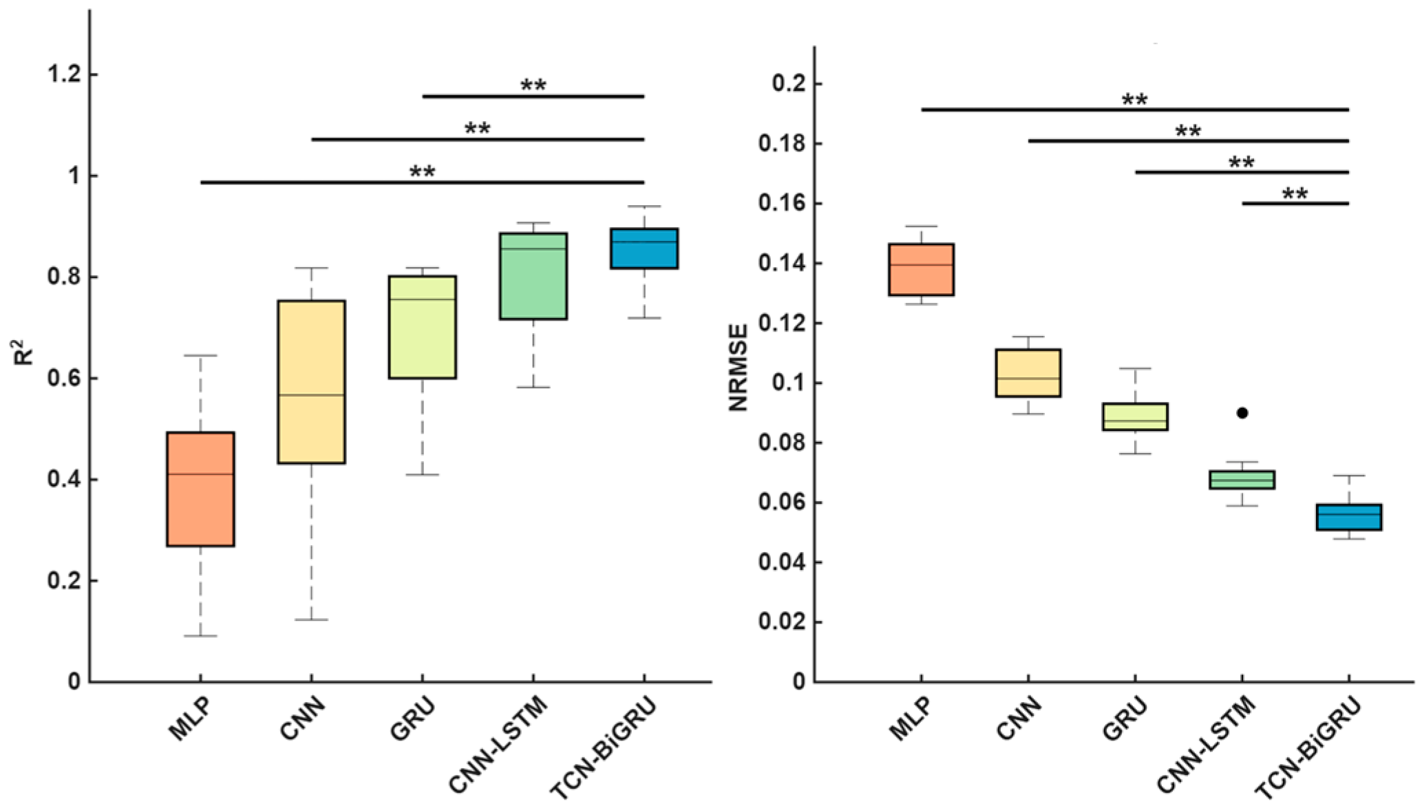
3.2. Comparison of Model Prediction Performance
3.3. Effect of Sensor Placement on Model Performance
3.4. Comparative Evaluation Across GRF Directions
4. Discussion
5. Conclusions
Author Contributions
Funding
Institutional Review Board Statement
Data Availability Statement
Conflicts of Interest
References
- Hume, P.A.; Keogh, J.; Reid, D. The role of biomechanics in maximising distance and accuracy of golf shots. Sports Med. 2005, 35, 429–449. [Google Scholar] [CrossRef]
- McNitt-Gray, J.L.; Munaretto, J.; Zaferiou, A.; Requejo, P.S.; Flashner, H. Regulation of reaction forces during the golf swing. Sports Biomech. 2013, 12, 121–131. [Google Scholar] [CrossRef]
- Ancillao, A.; Tedesco, S.; Barton, J.; O’Flynn, B. Indirect Measurement of Ground Reaction Forces and Moments by Means of Wearable Inertial Sensors: A Systematic Review. Sensors 2018, 18, 2564. [Google Scholar] [CrossRef]
- Purevsuren, T.; Kwon, M.S.; Park, W.M.; Kim, K.; Jang, S.H.; Lim, Y.T.; Kim, Y.H. Fatigue injury risk in anterior cruciate ligament of target side knee during golf swing. J. Biomech. 2017, 53, 9–14. [Google Scholar] [CrossRef]
- Purevsuren, T.; Khuyagbaatar, B.; Kim, K.; Kim, Y.H. Investigation of Knee Joint Forces and Moments during Short-Track Speed Skating Using Wearable Motion Analysis System. Int. J. Precis. Eng. Man. 2018, 19, 1055–1060. [Google Scholar] [CrossRef]
- TKhurelbaatar, T.; Kim, K.; Lee, S.; Kim, Y.H. Consistent accuracy in whole-body joint kinetics during gait using wearable inertial motion sensors and in-shoe pressure sensors. Gait Posture 2015, 42, 65–69. [Google Scholar] [CrossRef]
- Lim, H.; Kim, B.; Park, S. Prediction of Lower Limb Kinetics and Kinematics during Walking by a Single IMU on the Lower Back Using Machine Learning. Sensors 2020, 20, 130. [Google Scholar] [CrossRef] [PubMed]
- Hossain, M.S.B.; Guo, Z.S.; Choi, H. Estimation of Lower Extremity Joint Moments and 3D Ground Reaction Forces Using IMU Sensors in Multiple Walking Conditions: A Deep Learning Approach. IEEE J. Biomed. Health Inform. 2023, 27, 2829–2840. [Google Scholar] [CrossRef] [PubMed]
- Liu, X.Z.; Zhang, X.L.; Zhang, B.; Zhou, B.; He, Z.X.; Liu, T. An IMU-Based Ground Reaction Force Estimation Method and Its Application in Walking Balance Assessment. IEEE Trans. Neural Syst. Rehabil. Eng. 2024, 32, 223–232. [Google Scholar] [CrossRef]
- Chen, T.; Xu, D.; Zhou, Z.; Zhou, H.; Shao, S.; Gu, Y. Prediction of Vertical Ground Reaction Forces Under Different Running Speeds: Integration of Wearable IMU with CNN-xLSTM. Sensors 2025, 25, 1249. [Google Scholar] [CrossRef] [PubMed]
- Yılmazgün, B.; Weber, J.; Stein, T.; Sell, S.; Stetter, B.J. Predicting 3D ground reaction forces across various movement tasks: A convolutional neural network study comparing different inertial measurement unit configurations. J. Biomech. 2025, 192, 112888. [Google Scholar] [CrossRef] [PubMed]
- Kerns, J.A.; Zwart, A.S.; Perez, P.S.; Gurchiek, R.D.; McBride, J.M. Effect of IMU location on estimation of vertical ground reaction force during jumping. Front. Bioeng. Biotechnol. 2023, 11, 1112866. [Google Scholar] [CrossRef]
- Alcantara, R.S.; Edwards, W.B.; Millet, G.Y.; Grabowski, A.M. Predicting continuous ground reaction forces from accelerometers during uphill and downhill running: A recurrent neural network solution. PeerJ 2022, 10, e12752. [Google Scholar] [CrossRef]
- Inai, T.; Takabayashi, T. Estimation of lower-limb sagittal joint moments during gait using vertical ground reaction force. J. Biomech. 2022, 145, 111389. [Google Scholar] [CrossRef]
- Baker, L.M.; Yawar, A.; Lieberman, D.E.; Walsh, C.J. Predicting overstriding with wearable IMUs during treadmill and overground running. Sci. Rep. 2024, 14, 6347. [Google Scholar] [CrossRef]
- Carter, J.; Chen, X.; Cazzola, D.; Trewartha, G.; Preatoni, E. Consumer-priced wearable sensors combined with deep learning can be used to accurately predict ground reaction forces during various treadmill running conditions. PeerJ 2024, 12, e17896. [Google Scholar] [CrossRef]
- Koshio, T.; Haraguchi, N.; Takahashi, T.; Hara, Y.; Hase, K. Estimation of Ground Reaction Forces during Sports Movements by Sensor Fusion from Inertial Measurement Units with 3D Forward Dynamics Model. Sensors 2024, 24, 2706. [Google Scholar] [CrossRef] [PubMed]
- Mohamed Refai, M.I.; van Beijnum, B.F.; Buurke, J.H.; Veltink, P.H. Portable Gait Lab: Estimating Over-Ground 3D Ground Reaction Forces Using Only a Pelvis IMU. Sensors 2020, 20, 6363. [Google Scholar] [CrossRef]
- Najafi, B.; Lee-Eng, J.; Wrobel, J.S.; Goebel, R. Estimation of Center of Mass Trajectory using Wearable Sensors during Golf Swing. J. Sports Sci. Med. 2015, 14, 354–363. [Google Scholar]
- Lynn, S.K.; Wang, J.; Schmitt, A.C.; Barnes, C.L. Lower Body Joint Moments during the Golf Swing in Older Adults: Comparison to Other Activities of Daily Living. J. Sports Sci. Med. 2023, 22, 382–388. [Google Scholar] [CrossRef] [PubMed]
- Mori, K. Estimation of the Ground Reaction Forces During Golf Swing Using Recurrent Neural Networks. ISBS Proc. Arch. 2025, 43, 60. [Google Scholar]
- Kriegeskorte, N.; Golan, T. Neural network models and deep learning. Curr. Biol. 2019, 29, R231–R236. [Google Scholar] [CrossRef] [PubMed]
- Zhang, J.; Zhao, Y.; Shone, F.; Li, Z.; Frangi, A.F.; Xie, S.Q.; Zhang, Z.Q. Physics-Informed Deep Learning for Musculoskeletal Modeling: Predicting Muscle Forces and Joint Kinematics From Surface EMG. IEEE Trans. Neural. Syst. Rehabil. Eng. 2023, 31, 484–493. [Google Scholar] [CrossRef]
- Jiao, L.; Bie, R.; Wu, H.; Wei, Y.; Ma, J.; Umek, A.; Kos, A. Golf swing classification with multiple deep convolutional neural networks. Int. J. Distrib. Sens. Netw. 2018, 14, 1550147718802186. [Google Scholar] [CrossRef]
- Kim, M.; Park, S. Golf Swing Segmentation from a Single IMU Using Machine Learning. Sensors 2020, 20, 4466. [Google Scholar] [CrossRef]
- Hofmann, M.; Becker, M.F.P.; Tetzlaff, C.; Mader, P. Concept transfer of synaptic diversity from biological to artificial neural networks. Nat. Commun. 2025, 16, 5112. [Google Scholar] [CrossRef] [PubMed]
- Cohen, Y.; Engel, T.A.; Langdon, C.; Lindsay, G.W.; Ott, T.; Peters, M.A.K.; Shine, J.M.; Breton-Provencher, V.; Ramaswamy, S. Recent Advances at the Interface of Neuroscience and Artificial Neural Networks. J. Neurosci. 2022, 42, 8514–8523. [Google Scholar] [CrossRef]
- Lynn, H.M.; Pan, S.B.; Kim, P. A Deep Bidirectional GRU Network Model for Biometric Electrocardiogram Classification Based on Recurrent Neural Networks. IEEE Access 2019, 7, 145395–145405. [Google Scholar] [CrossRef]
- Hwang, S.; Kwon, N.; Lee, D.; Kim, J.; Yang, S.; Youn, I.; Moon, H.J.; Sung, J.K.; Han, S. A Multimodal Fatigue Detection System Using sEMG and IMU Signals with a Hybrid CNN-LSTM-Attention Model. Sensors 2025, 25, 3309. [Google Scholar] [CrossRef]
- Jaramillo, I.E.; Jeong, J.G.; Lopez, P.R.; Lee, C.-H.; Kang, D.-Y.; Ha, T.-J.; Oh, J.-H.; Jung, H.; Lee, J.H.; Lee, W.H.; et al. Real-Time Human Activity Recognition with IMU and Encoder Sensors in Wearable Exoskeleton Robot via Deep Learning Networks. Sensors 2022, 22, 9690. [Google Scholar] [CrossRef]
- He, J.L.; Wang, J.H.; Lo, C.M.; Jiang, Z. Human Activity Recognition via Attention-Augmented TCN-BiGRU Fusion. Sensors 2025, 25, 5765. [Google Scholar] [CrossRef]
- Lee, M.; Park, S. Estimation of Three-Dimensional Lower Limb Kinetics Data during Walking Using Machine Learning from a Single IMU Attached to the Sacrum. Sensors 2020, 20, 6277. [Google Scholar] [CrossRef]
- Putnam, C.A. Sequential motions of body segments in striking and throwing skills: Descriptions and explanations. J. Biomech. 1993, 26, 125–135. [Google Scholar] [CrossRef] [PubMed]
- Halilaj, E.; Rajagopal, A.; Fiterau, M.; Hicks, J.L.; Hastie, T.J.; Delp, S.L. Machine learning in human movement biomechanics: Best practices, common pitfalls, and new opportunities. J. Biomech. 2018, 81, 1–11. [Google Scholar] [CrossRef]
- d’Avella, A.; Saltiel, P.; Bizzi, E. Combinations of muscle synergies in the construction of a natural motor behavior. Nat. Neurosci. 2003, 6, 300–308. [Google Scholar] [CrossRef] [PubMed]
- Merel, J.; Botvinick, M.; Wayne, G. Hierarchical motor control in mammals and machines. Nat. Commun. 2019, 10, 5489. [Google Scholar] [CrossRef] [PubMed]
- Vyas, S.; Golub, M.D.; Sussillo, D.; Shenoy, K.V. Computation Through Neural Population Dynamics. Annu. Rev. Neurosci. 2020, 43, 249–275. [Google Scholar] [CrossRef]
- Weygers, I.; Kok, M.; Konings, M.; Hallez, H.; De Vroey, H.; Claeys, K. Inertial Sensor-Based Lower Limb Joint Kinematics: A Methodological Systematic Review. Sensors 2020, 20, 673. [Google Scholar] [CrossRef]
- Hernandez, V.; Dadkhah, D.; Babakeshizadeh, V.; Kulic, D. Lower body kinematics estimation from wearable sensors for walking and running: A deep learning approach. Gait Posture 2021, 83, 185–193. [Google Scholar] [CrossRef]
- Liang, W.; Wang, F.; Fan, A.; Zhao, W.; Yao, W.; Yang, P. Deep-learning model for the prediction of lower-limb joint moments using single inertial measurement unit during different locomotive activities. Biomed. Signal. Process. Control 2023, 86, 105372. [Google Scholar] [CrossRef]
- Bourgain, M.; Rouch, P.; Rouillon, O.; Thoreux, P.; Sauret, C. Golf Swing Biomechanics: A Systematic Review and Methodological Recommendations for Kinematics. Sports 2022, 10, 91. [Google Scholar] [CrossRef]
- You, X.; Xu, Y.; Liang, M.; Baker, J.S.; Gu, Y. The Relationship between Ground Reaction Forces, Foot Positions and Type of Clubs Used in Golf: A Systematic Review and Meta-Analysis. Appl. Sci. 2023, 13, 7209. [Google Scholar] [CrossRef]
- Miller, J.D.; Cabarkapa, D.; Miller, A.J.; Frazer, L.L.; Templin, T.N.; Eliason, T.D.; Garretson, S.K.; Fry, A.C.; Berkland, C.J. Novel 3D Force Sensors for a Cost-Effective 3D Force Plate for Biomechanical Analysis. Sensors 2023, 23, 4437. [Google Scholar] [CrossRef]
- Bourgain, M.; Sauret, C.; Rouillon, O.; Thoreux, P.; Rouch, P. Contribution of vertical and horizontal components of ground reaction forces on global motor moment during a golf swing: A preliminary study. Comput. Methods Biomech. Biomed. Eng. 2017, 20, 29–30. [Google Scholar] [CrossRef]
- Joo, S.B.; Oh, S.E.; Mun, J.H. Improving the ground reaction force prediction accuracy using one-axis plantar pressure: Expansion of input variable for neural network. J. Biomech. 2016, 49, 3153–3161. [Google Scholar] [CrossRef]
- Kammoun, A.; Ravier, P.; Buttelli, O. Comparison of the Accuracy of Ground Reaction Force Component Estimation between Supervised Machine Learning and Deep Learning Methods Using Pressure Insoles. Sensors 2024, 24, 5318. [Google Scholar] [CrossRef] [PubMed]
- Kim, J.; Kim, K.C.; Tack, G.; Choi, J.S. Estimation of 3D Ground Reaction Force and 2D Center of Pressure Using Deep Learning and Load Cells Across Various Gait Conditions. Sensors 2025, 25, 3357. [Google Scholar] [CrossRef] [PubMed]
- Johnson, W.R.; Mian, A.; Robinson, M.A.; Verheul, J.; Lloyd, D.G.; Alderson, J.A. Multidimensional Ground Reaction Forces and Moments From Wearable Sensor Accelerations via Deep Learning. IEEE Trans. Biomed. Eng. 2021, 68, 289–297. [Google Scholar] [CrossRef]
- Smith, T.; Ditroilo, M. Force plate coverings significantly affect measurement of ground reaction forces. PLoS ONE 2023, 18, e0293959. [Google Scholar]
- Dindorf, C.; Dully, J.; Konradi, J.; Wolf, C.; Becker, S.; Simon, S.; Huthwelker, J.; Werthmann, F.; Kniepert, J.; Drees, P.; et al. Enhancing biomechanical machine learning with limited data: Generating realistic synthetic posture data using generative artificial intelligence. Front. Bioeng. Biotechnol. 2024, 12, 1350135. [Google Scholar] [CrossRef] [PubMed]
- Rong, R.; Kuo, C. Dynamic Soft Tissue Artifacts during Impulsive Loads: Measurement Errors Vary With Wearable Inertial Measurement Unit Sensor Design. IEEE Trans. Biomed. Eng. 2024, 71, 3275–3282. [Google Scholar] [CrossRef] [PubMed]
- Kim, M.; Park, S. Enhancing accuracy and convenience of golf swing tracking with a wrist-worn single inertial sensor. Sci. Rep. 2024, 14, 9201. [Google Scholar] [CrossRef] [PubMed]
- Ahmed, S.F.; Alam, M.S.B.; Hassan, M.; Rozbu, M.R.; Ishtiak, T.; Rafa, N.; Mofijur, M.; Shawkat Ali, A.B.M.; Gandomi, A.H. Deep learning modelling techniques: Current progress, applications, advantages, and challenges. Artif. Intell. Rev. 2023, 56, 13521–13617. [Google Scholar] [CrossRef]
- Gavrishchaka, V.; Senyukova, O.; Koepke, M. Synergy of physics-based reasoning and machine learning in biomedical applications: Towards unlimited deep learning with limited data. Adv. Phys. X 2019, 4, 1582361. [Google Scholar] [CrossRef]






| Set | Number of Input Parameters | Included Joints | Number of IMUs |
|---|---|---|---|
| Set A | 18 | Bilateral hip, knee, and ankle joints in three anatomical plane | 7 |
| Set B | 6 | Bilateral ankle joints in three anatomical plane | 4 |
| Set C | 6 | Bilateral knee joints in three anatomical plane | 4 |
| Set D | 6 | Bilateral hip joints in three anatomical plane | 3 |
| Set E | 9 | Lead-leg hip, knee, and ankle joints in three anatomical plane | 4 |
| Set F | 12 | Bilateral ankle and knee joints in three anatomical plane | 6 |
| Set G | 12 | Bilateral hip and knee joints in three anatomical plane | 5 |
| Model | Batch Size | Hidden/Feature Dim | Epochs | Stacked Layers |
|---|---|---|---|---|
| MLP | 16 | 64 | 25 | 3 fully connected layers |
| CNN | 16 | CNN Chanels = 32 → d_model = 64 | 25 | 3 convolutional layers |
| GRU | 16 | d_model = 64 | 25 | 2 GRU layers |
| CNN-LSTM | 16 | CNN Chanels = 32 → d_model = 64 + LSTM d_model = 64 | 25 | 2 convolutional layers + 2 LSTM layers |
| TCN-BiGRU | 16 | TCN d_model = 64 + GRU d_model = 64 | 25 | 3 TCN blocks + 2 GRU layers |
| NRMSE | R2 | ||||||
|---|---|---|---|---|---|---|---|
| CNN-LSTM | TCN-BiGRU | Reduction (%) | p (Holm) | CNN-LSTM | TCN-BiGRU | Increase (%) | p (Holm) |
| 0.044 | 0.037 | 16.4 | 0.0078 (**) | 0.873 | 0.901 | 3.12 | 0.3359 |
| 0.06 | 0.045 | 22.2 | 0.0078 (**) | 0.802 | 0.863 | 7.72 | 0.0078 (**) |
| 0.064 | 0.049 | 25.2 | 0.0078 (**) | 0.708 | 0.824 | 16.44 | 0.0391 (*) |
| 0.066 | 0.054 | 18.7 | 0.0078 (**) | 0.736 | 0.823 | 11.80 | 0.0371 (*) |
| 0.052 | 0.041 | 20.6 | 0.0078 (**) | 0.823 | 0.884 | 7.46 | 0.0078 (**) |
| 0.049 | 0.042 | 16.9 | 0.0078 (**) | 0.856 | 0.869 | 1.61 | 0.0645 |
| 0.048 | 0.04 | 14.2 | 0.0078 (**) | 0.867 | 0.858 | −1.02 | 0.2520 |
| R2 | MAE | MRE | RMSE | NRMSE | ||||||||||||
|---|---|---|---|---|---|---|---|---|---|---|---|---|---|---|---|---|
| X-Axis | Y-Axis | Z-Axis | X-Axis | Y-Axis | Z-Axis | X-Axis | Y-Axis | Z-Axis | X-Axis | Y-Axis | Z-Axis | X-Axis | Y-Axis | Z-Axis | ||
| MLP | Mean | 0.61 | 0.6 | 0.63 | 15.06 | 29.71 | 86.13 | 1.88 | 1.28 | 0.11 | 23.05 | 40.72 | 129.43 | 2.87 | 1.76 | 0.17 |
| SD | 0.13 | 0.08 | 0.12 | 2.43 | 3.3 | 16.22 | 0.37 | 0.2 | 0.02 | 3.94 | 4.76 | 20.74 | 0.6 | 0.28 | 0.03 | |
| CNN | Mean | 0.77 | 0.76 | 0.77 | 11.71 | 22.93 | 67.34 | 1.46 | 0.99 | 0.09 | 17.64 | 31.21 | 100.72 | 2.2 | 1.35 | 0.13 |
| SD | 0.08 | 0.08 | 0.12 | 1.86 | 3.51 | 14.73 | 0.29 | 0.19 | 0.02 | 3.43 | 4.98 | 23.24 | 0.49 | 0.26 | 0.03 | |
| GRU | Mean | 0.81 | 0.77 | 0.84 | 11.32 | 22.93 | 60.27 | 1.41 | 0.99 | 0.08 | 15.91 | 30.62 | 84.01 | 1.98 | 1.32 | 0.11 |
| SD | 0.06 | 0.06 | 0.05 | 1.5 | 2.88 | 10.84 | 0.26 | 0.16 | 0.01 | 2.36 | 4.15 | 13.73 | 0.39 | 0.22 | 0.02 | |
| CNN-LSTM | Mean | 0.89 | 0.87 | 0.92 | 8.92 | 16.99 | 41.22 | 1.11 | 0.73 | 0.05 | 12.53 | 23.27 | 60.42 | 1.56 | 1.01 | 0.08 |
| SD | 0.03 | 0.04 | 0.03 | 0.98 | 2.13 | 6.62 | 0.19 | 0.13 | 0.01 | 1.69 | 3.26 | 10.72 | 0.3 | 0.18 | 0.02 | |
| TCN-BiGRU | Mean | 0.92 | 0.92 | 0.95 | 7.35 | 13.06 | 32.99 | 0.92 | 0.56 | 0.04 | 10.52 | 18.5 | 48.45 | 1.31 | 0.8 | 0.06 |
| SD | 0.02 | 0.03 | 0.02 | 0.61 | 1.47 | 4.74 | 0.14 | 0.08 | 0.01 | 1.18 | 2.86 | 9.07 | 0.22 | 0.14 | 0.01 | |
| Study | Task | Input Modality | Output | Model | Best Performance |
|---|---|---|---|---|---|
| Lee et al. (2020) [32] | Walking | Single IMU (sacrum) | 3D GRF | ANN/RF | NRMSE = 6.7% (vertical GRF) |
| Alcantara et al. (2022) [13] | Running (up/downhill) | Sacrum & shoe accelerometers | Normal GRF (vertical only) | RNN/LSTM | RMSE = 0.16 ± 0.04 BW; rRMSE = 6.4 ± 1.5% |
| Carter et al. (2024) [16] | Treadmill running | Wearable IMUs + pressure insoles | Vertical GRF | LSTM | rRMSE = 0.8–8.8% |
| Yılmazgün et al. (2025) [11] | Multiple tasks | IMUs (various configurations) | 3D GRF | CNN | rRMSE = 6.2% (vertical GRF, best configuration) |
| Chen et al. (2025) [10] | Running (multi-speed) | IMU-derived joint angles | Vertical GRF | CNN-xLSTM | R2 = 0.909; rMSE = 0.061 |
| Mori et al. (2025) [21] | Golf swing | Motion capture kinematics + force plate | Vertical GRF | Bi-LSTM | ICC = 0.983 |
| This study | Golf swing | IMU-based joint kinematics | 3D GRF | TCN-BiGRU | R2 = 0.94; NRMSE = 0.064; MRE = 0.044 |
| Model | Key Mechanism | Applicability to Golf Swing | Primary Limitation |
|---|---|---|---|
| MLP | Global mapping; no explicit sequence modeling. | Low | Treats movement as static frames; ignores kinetic chain continuity. |
| CNN | Convolutional extraction of local spatial/temporal features. | Moderate | Limited receptive field; fails to capture long-range dependencies. |
| GRU/LSTM | Unidirectional recurrent modeling of temporal sequences. | Moderate | Lacks future context; struggles with asymmetric backswing-downswing dynamics. |
| CNN-LSTM | Hybrid: Local feature extraction + sequential modeling. | High | Implicitly assumes rhythmic periodicity; less ideal for discrete, rapid motions. |
| TCN-BiGRU | Multi-scale dilated convolutions + Bidirectional integration. | Optimal | Higher computational complexity compared to baseline models. |
Disclaimer/Publisher’s Note: The statements, opinions and data contained in all publications are solely those of the individual author(s) and contributor(s) and not of MDPI and/or the editor(s). MDPI and/or the editor(s) disclaim responsibility for any injury to people or property resulting from any ideas, methods, instructions or products referred to in the content. |
© 2026 by the authors. Licensee MDPI, Basel, Switzerland. This article is an open access article distributed under the terms and conditions of the Creative Commons Attribution (CC BY) license.
Share and Cite
Li, J.; Wei, R.; Xie, Q.; Wu, C.; Kim, Y.H. Prediction of Three-Dimensional Ground Reaction Forces in the Golf Swing Using Wearable Inertial Measurement Units and Biomimetic Deep Learning Models. Biomimetics 2026, 11, 159. https://doi.org/10.3390/biomimetics11030159
Li J, Wei R, Xie Q, Wu C, Kim YH. Prediction of Three-Dimensional Ground Reaction Forces in the Golf Swing Using Wearable Inertial Measurement Units and Biomimetic Deep Learning Models. Biomimetics. 2026; 11(3):159. https://doi.org/10.3390/biomimetics11030159
Chicago/Turabian StyleLi, Jiayun, Ruoyu Wei, Qiantong Xie, Changfa Wu, and Yoon Hyuk Kim. 2026. "Prediction of Three-Dimensional Ground Reaction Forces in the Golf Swing Using Wearable Inertial Measurement Units and Biomimetic Deep Learning Models" Biomimetics 11, no. 3: 159. https://doi.org/10.3390/biomimetics11030159
APA StyleLi, J., Wei, R., Xie, Q., Wu, C., & Kim, Y. H. (2026). Prediction of Three-Dimensional Ground Reaction Forces in the Golf Swing Using Wearable Inertial Measurement Units and Biomimetic Deep Learning Models. Biomimetics, 11(3), 159. https://doi.org/10.3390/biomimetics11030159
