Hydrodynamic Responses and Machine Learning-Based Shape Classification of Harbor Seal Whiskers in the Wake of Bluff Bodies
Abstract
1. Introduction
2. Materials and Methods
2.1. Experimental Setup
2.2. Verification of the Experimental Setup
2.3. LSTM Structure and Settings
3. Results and Discussion
3.1. Hydrodynamic Responses
3.1.1. Vibration Responses
3.1.2. Fluid Forces
3.2. Machine Learning-Based Shape Classification
3.2.1. Data Preprocessing
3.2.2. Flow Velocity Generalization Performance
3.2.3. Feature Significance
4. Conclusions
- In the wakes of bluff bodies, the whisker model’s vibration amplitude significantly correlates with the total vortex shedding circulation, leading to higher peak amplitudes for square and triangular cylinders than circular ones. Larger bluff body dimensions result in higher peak vibration amplitudes. Additionally, when the model’s dominant vibration frequency nears its natural frequency, vibration amplitude peaks, occurring at lower Ur for smaller bluff body dimensions or higher St;
- In specific regions, the lift force rms value exhibits a local peak followed by a valley, forming an “N-shaped” pattern, with the inflection point closely corresponding to Ur at which the vibration amplitude reaches its peak. Additionally, the dominant frequency of lift exhibits a more pronounced locking phenomenon compared to that of displacement, leading to a temporary decoupling between them;
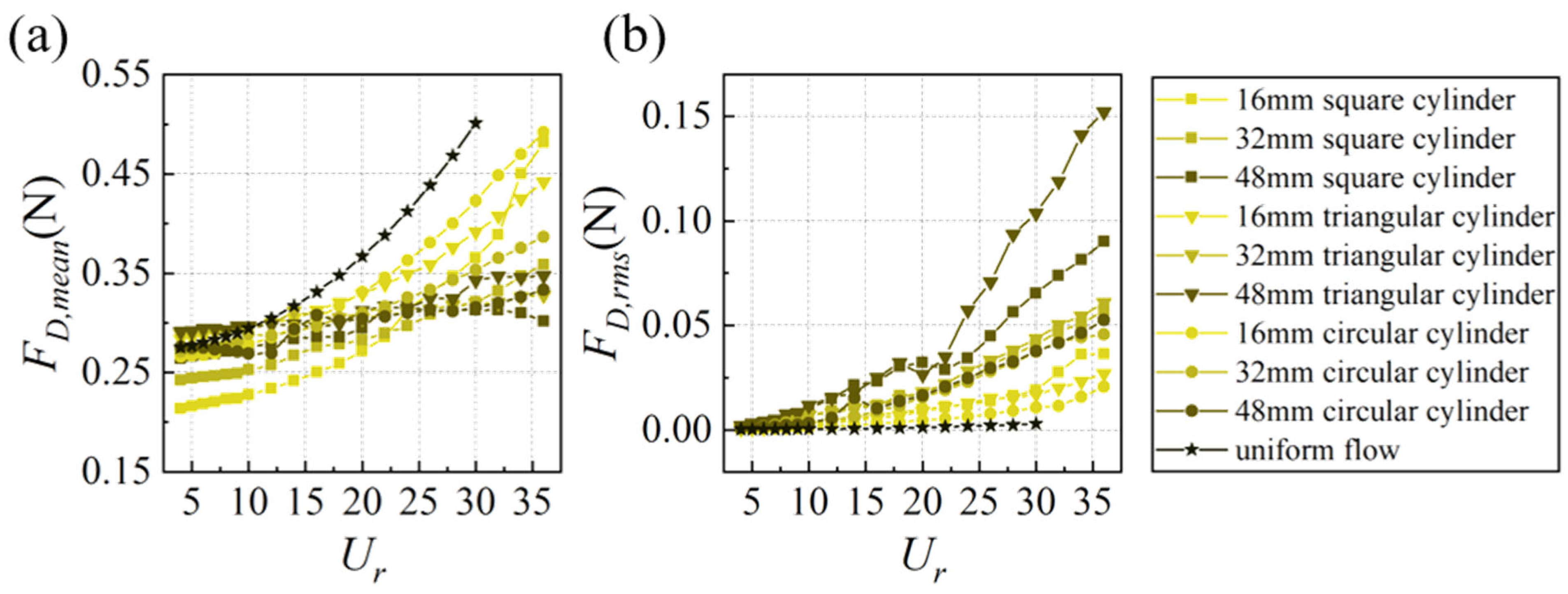
- The mean drag force of circular and triangular cylinders is quite similar, while that of square cylinders is relatively lower. The trend of the RMS drag force is similar to that of vibration amplitude, indicating that the excitation effect of drag force amplitude is also closely related to the total circulation in the wake of bluff bodies;
- The linear decline in the average accuracy of the test set with the increasing ratio of test-to-train set indicates that the model’s generalization ability weakens as the training data becomes sparser in terms of flow velocity. The mean drag force significantly outperforms other features or combinations in enhancing the accuracy of both the training and test sets, playing a crucial and core role in the classification process.
Author Contributions
Funding
Institutional Review Board Statement
Informed Consent Statement
Data Availability Statement
Conflicts of Interest
Appendix A
| Features | Accuracy (%) | ΔAcc (%) | |||||||||
|---|---|---|---|---|---|---|---|---|---|---|---|
| A*10 | FL,rms | FD,mean | FD,rms | f*dominant-Y | f*dominant-FL | a*Y | a*FL | Train | Test | Train | Test |
| × | × | × | × | × | × | × | √ | 42.59 | 37.54 | 4.38 | 2.69 |
| × | × | × | × | × | × | √ | × | 42.22 | 38.75 | 2.76 | 3.25 |
| × | × | × | × | × | × | √ | √ | 55.56 | 45.00 | 3.74 | 3.29 |
| × | × | × | × | × | √ | × | × | 44.15 | 45.54 | 7.72 | 9.53 |
| × | × | × | × | × | √ | × | √ | 72.59 | 67.38 | 7.76 | 8.60 |
| × | × | × | × | × | √ | √ | × | 55.89 | 47.04 | 6.89 | 8.50 |
| × | × | × | × | × | √ | √ | √ | 79.59 | 64.04 | 7.04 | 8.41 |
| × | × | × | × | √ | × | × | × | 43.67 | 41.29 | 6.41 | 3.37 |
| × | × | × | × | √ | × | × | √ | 70.26 | 54.42 | 6.67 | 3.90 |
| × | × | × | × | √ | × | √ | × | 57.30 | 47.04 | 5.90 | 4.54 |
| × | × | × | × | √ | × | √ | √ | 74.33 | 54.29 | 5.99 | 4.27 |
| × | × | × | × | √ | √ | × | × | 55.07 | 48.13 | 6.34 | 5.29 |
| × | × | × | × | √ | √ | × | √ | 76.70 | 62.96 | 7.40 | 6.38 |
| × | × | × | × | √ | √ | √ | × | 65.63 | 52.46 | 6.77 | 6.55 |
| × | × | × | × | √ | √ | √ | √ | 80.67 | 62.79 | 7.08 | 6.91 |
| × | × | × | √ | × | × | × | × | 40.81 | 38.46 | 6.63 | 6.74 |
| × | × | × | √ | × | × | × | √ | 59.67 | 47.50 | 6.05 | 5.07 |
| × | × | × | √ | × | × | √ | × | 52.59 | 46.88 | 5.53 | 6.89 |
| × | × | × | √ | × | × | √ | √ | 66.37 | 50.00 | 5.46 | 6.18 |
| × | × | × | √ | × | √ | × | × | 74.07 | 71.83 | 9.45 | 10.58 |
| × | × | × | √ | × | √ | × | √ | 86.56 | 76.58 | 8.98 | 9.76 |
| × | × | × | √ | × | √ | √ | × | 86.07 | 76.17 | 8.81 | 11.10 |
| × | × | × | √ | × | √ | √ | √ | 88.85 | 79.04 | 8.47 | 10.85 |
| × | × | × | √ | √ | × | × | × | 71.11 | 54.67 | 8.45 | 6.69 |
| × | × | × | √ | √ | × | × | √ | 81.44 | 58.75 | 8.21 | 5.99 |
| × | × | × | √ | √ | × | √ | × | 78.67 | 62.08 | 7.78 | 7.86 |
| × | × | × | √ | √ | × | √ | √ | 82.30 | 60.08 | 7.55 | 7.31 |
| × | × | × | √ | √ | √ | × | × | 73.44 | 66.04 | 8.59 | 7.92 |
| × | × | × | √ | √ | √ | × | √ | 92.59 | 72.71 | 9.01 | 8.02 |
| × | × | × | √ | √ | √ | √ | × | 86.19 | 72.54 | 8.56 | 9.44 |
| × | × | × | √ | √ | √ | √ | √ | 90.37 | 72.88 | 8.55 | 9.36 |
| × | × | √ | × | × | × | × | × | 57.41 | 55.42 | 17.45 | 26.26 |
| × | × | √ | × | × | × | × | √ | 85.89 | 74.58 | 13.43 | 19.09 |
| × | × | √ | × | × | × | √ | × | 72.59 | 65.00 | 12.91 | 19.85 |
| × | × | √ | × | × | × | √ | √ | 92.59 | 79.58 | 11.81 | 17.87 |
| × | × | √ | × | × | √ | × | × | 76.63 | 77.50 | 13.13 | 21.00 |
| × | × | √ | × | × | √ | × | √ | 97.89 | 90.00 | 12.24 | 19.18 |
| × | × | √ | × | × | √ | √ | × | 94.44 | 91.67 | 12.12 | 20.05 |
| × | × | √ | × | × | √ | √ | √ | 99.00 | 93.33 | 11.50 | 19.22 |
| × | × | √ | × | √ | × | × | × | 78.26 | 68.33 | 13.22 | 18.64 |
| × | × | √ | × | √ | × | × | √ | 96.04 | 83.75 | 12.20 | 16.94 |
| × | × | √ | × | √ | × | √ | × | 93.67 | 82.50 | 12.12 | 17.96 |
| × | × | √ | × | √ | × | √ | √ | 98.63 | 84.04 | 11.51 | 16.96 |
| × | × | √ | × | √ | √ | × | × | 83.70 | 76.75 | 11.59 | 17.61 |
| × | × | √ | × | √ | √ | × | √ | 99.07 | 90.17 | 11.54 | 17.70 |
| × | × | √ | × | √ | √ | √ | × | 98.59 | 90.50 | 11.51 | 18.31 |
| × | × | √ | × | √ | √ | √ | √ | 99.63 | 94.46 | 11.20 | 18.27 |
| × | × | √ | √ | × | × | × | × | 86.30 | 83.75 | 13.53 | 20.29 |
| × | × | √ | √ | × | × | × | √ | 94.89 | 86.25 | 12.05 | 17.81 |
| × | × | √ | √ | × | × | √ | × | 94.07 | 83.75 | 12.02 | 19.18 |
| × | × | √ | √ | × | × | √ | √ | 98.15 | 91.25 | 11.35 | 18.29 |
| × | × | √ | √ | × | √ | × | × | 97.41 | 90.42 | 12.22 | 19.12 |
| × | × | √ | √ | × | √ | × | √ | 99.96 | 91.25 | 11.59 | 18.29 |
| × | × | √ | √ | × | √ | √ | × | 99.52 | 92.92 | 11.56 | 19.62 |
| × | × | √ | √ | × | √ | √ | √ | 99.48 | 96.67 | 11.19 | 19.31 |
| × | × | √ | √ | √ | × | × | × | 97.41 | 87.50 | 12.28 | 17.87 |
| × | × | √ | √ | √ | × | × | √ | 100.00 | 87.92 | 11.63 | 16.61 |
| × | × | √ | √ | √ | × | √ | × | 100.00 | 93.33 | 11.63 | 18.33 |
| × | × | √ | √ | √ | × | √ | √ | 100.00 | 91.08 | 11.25 | 17.59 |
| × | × | √ | √ | √ | √ | × | × | 98.93 | 89.38 | 11.48 | 17.59 |
| × | × | √ | √ | √ | √ | × | √ | 100.00 | 91.67 | 11.25 | 17.37 |
| × | × | √ | √ | √ | √ | √ | × | 100.00 | 94.58 | 11.25 | 18.67 |
| × | × | √ | √ | √ | √ | √ | √ | 100.00 | 96.67 | 11.07 | 18.52 |
| × | √ | × | × | × | × | × | × | 42.44 | 41.46 | 6.49 | 7.21 |
| × | √ | × | × | × | × | × | √ | 51.93 | 40.29 | 5.14 | 4.83 |
| × | √ | × | × | × | × | √ | × | 58.70 | 45.42 | 5.54 | 6.89 |
| × | √ | × | × | × | × | √ | √ | 66.78 | 51.21 | 4.93 | 5.65 |
| × | √ | × | × | × | √ | × | × | 74.96 | 71.13 | 9.10 | 10.77 |
| × | √ | × | × | × | √ | × | √ | 86.78 | 78.17 | 8.25 | 9.73 |
| × | √ | × | × | × | √ | √ | × | 88.70 | 74.71 | 8.49 | 10.73 |
| × | √ | × | × | × | √ | √ | √ | 90.56 | 75.67 | 7.91 | 10.05 |
| × | √ | × | × | √ | × | × | × | 67.04 | 59.50 | 8.07 | 7.07 |
| × | √ | × | × | √ | × | × | √ | 76.93 | 64.92 | 7.43 | 6.23 |
| × | √ | × | × | √ | × | √ | × | 83.44 | 66.21 | 7.73 | 7.76 |
| × | √ | × | × | √ | × | √ | √ | 84.07 | 62.08 | 7.16 | 7.00 |
| × | √ | × | × | √ | √ | × | × | 78.15 | 69.08 | 8.39 | 8.06 |
| × | √ | × | × | √ | √ | × | √ | 89.44 | 76.00 | 8.21 | 8.08 |
| × | √ | × | × | √ | √ | √ | × | 89.78 | 71.63 | 8.37 | 9.10 |
| × | √ | × | × | √ | √ | √ | √ | 92.04 | 76.13 | 8.02 | 8.78 |
| × | √ | × | √ | × | × | × | × | 59.07 | 53.33 | 7.53 | 8.15 |
| × | √ | × | √ | × | × | × | √ | 67.11 | 52.08 | 6.54 | 6.24 |
| × | √ | × | √ | × | × | √ | × | 67.89 | 61.21 | 6.74 | 8.96 |
| × | √ | × | √ | × | × | √ | √ | 71.67 | 57.54 | 6.28 | 7.98 |
| × | √ | × | √ | × | √ | × | × | 93.33 | 80.54 | 10.04 | 11.08 |
| × | √ | × | √ | × | √ | × | √ | 93.52 | 78.21 | 9.16 | 9.98 |
| × | √ | × | √ | × | √ | √ | × | 94.96 | 82.38 | 9.51 | 12.06 |
| × | √ | × | √ | × | √ | √ | √ | 95.93 | 81.88 | 9.08 | 11.40 |
| × | √ | × | √ | √ | × | × | × | 89.37 | 76.17 | 9.57 | 9.12 |
| × | √ | × | √ | √ | × | × | √ | 90.52 | 70.17 | 8.86 | 7.97 |
| × | √ | × | √ | √ | × | √ | × | 90.19 | 78.25 | 8.99 | 10.50 |
| × | √ | × | √ | √ | × | √ | √ | 90.41 | 80.67 | 8.53 | 10.05 |
| × | √ | × | √ | √ | √ | × | × | 95.41 | 77.96 | 9.72 | 9.40 |
| × | √ | × | √ | √ | √ | × | √ | 95.37 | 75.96 | 9.12 | 8.74 |
| × | √ | × | √ | √ | √ | √ | × | 96.56 | 83.21 | 9.40 | 10.99 |
| × | √ | × | √ | √ | √ | √ | √ | 94.52 | 81.00 | 8.95 | 10.36 |
| × | √ | √ | × | × | × | × | × | 92.85 | 85.00 | 13.94 | 20.81 |
| × | √ | √ | × | × | × | × | √ | 96.26 | 83.08 | 12.08 | 17.76 |
| × | √ | √ | × | × | × | √ | × | 97.63 | 87.13 | 12.20 | 19.46 |
| × | √ | √ | × | × | × | √ | √ | 97.74 | 88.58 | 11.38 | 18.01 |
| × | √ | √ | × | × | √ | × | × | 97.41 | 92.92 | 12.24 | 19.71 |
| × | √ | √ | × | × | √ | × | √ | 98.89 | 95.83 | 11.55 | 18.76 |
| × | √ | √ | × | × | √ | √ | × | 100.00 | 96.25 | 11.63 | 19.95 |
| × | √ | √ | × | × | √ | √ | √ | 100.00 | 97.08 | 11.25 | 19.25 |
| × | √ | √ | × | √ | × | × | × | 99.26 | 90.33 | 12.32 | 17.93 |
| × | √ | √ | × | √ | × | × | √ | 99.26 | 90.25 | 11.58 | 16.75 |
| × | √ | √ | × | √ | × | √ | × | 100.00 | 92.08 | 11.63 | 18.15 |
| × | √ | √ | × | √ | × | √ | √ | 100.00 | 91.25 | 11.25 | 17.34 |
| × | √ | √ | × | √ | √ | × | × | 97.41 | 90.00 | 11.46 | 17.72 |
| × | √ | √ | × | √ | √ | × | √ | 100.00 | 95.00 | 11.25 | 17.58 |
| × | √ | √ | × | √ | √ | √ | × | 100.00 | 95.42 | 11.25 | 18.56 |
| × | √ | √ | × | √ | √ | √ | √ | 100.00 | 96.67 | 11.07 | 18.20 |
| × | √ | √ | √ | × | × | × | × | 98.85 | 90.83 | 12.30 | 18.71 |
| × | √ | √ | √ | × | × | × | √ | 98.89 | 87.50 | 11.48 | 16.90 |
| × | √ | √ | √ | × | × | √ | × | 98.89 | 93.13 | 11.48 | 19.05 |
| × | √ | √ | √ | × | × | √ | √ | 98.89 | 92.50 | 11.11 | 18.04 |
| × | √ | √ | √ | × | √ | × | × | 100.00 | 92.92 | 11.63 | 18.58 |
| × | √ | √ | √ | × | √ | × | √ | 100.00 | 92.21 | 11.25 | 17.65 |
| × | √ | √ | √ | × | √ | √ | × | 100.00 | 98.75 | 11.25 | 19.69 |
| × | √ | √ | √ | × | √ | √ | √ | 100.00 | 97.50 | 11.07 | 18.84 |
| × | √ | √ | √ | √ | × | × | × | 100.00 | 90.83 | 11.63 | 17.20 |
| × | √ | √ | √ | √ | × | × | √ | 100.00 | 88.75 | 11.25 | 16.24 |
| × | √ | √ | √ | √ | × | √ | × | 100.00 | 92.71 | 11.25 | 18.13 |
| × | √ | √ | √ | √ | × | √ | √ | 100.00 | 94.25 | 11.07 | 17.52 |
| × | √ | √ | √ | √ | √ | × | × | 100.00 | 91.67 | 11.25 | 17.23 |
| × | √ | √ | √ | √ | √ | × | √ | 100.00 | 90.42 | 11.07 | 16.72 |
| × | √ | √ | √ | √ | √ | √ | × | 100.00 | 96.75 | 11.07 | 18.54 |
| × | √ | √ | √ | √ | √ | √ | √ | 100.00 | 96.25 | 10.99 | 17.85 |
| √ | × | × | × | × | × | × | × | 42.96 | 38.33 | 6.57 | 3.97 |
| √ | × | × | × | × | × | × | √ | 71.85 | 52.08 | 6.10 | 4.24 |
| √ | × | × | × | × | × | √ | × | 60.00 | 47.17 | 5.14 | 4.58 |
| √ | × | × | × | × | × | √ | √ | 70.07 | 56.25 | 5.10 | 4.36 |
| √ | × | × | × | × | √ | × | × | 69.44 | 50.79 | 8.31 | 7.77 |
| √ | × | × | × | × | √ | × | √ | 84.48 | 68.13 | 7.97 | 8.07 |
| √ | × | × | × | × | √ | √ | × | 77.93 | 59.46 | 7.67 | 8.16 |
| √ | × | × | × | × | √ | √ | √ | 86.89 | 67.38 | 7.47 | 8.23 |
| √ | × | × | × | √ | × | × | × | 75.56 | 52.50 | 8.09 | 4.53 |
| √ | × | × | × | √ | × | × | √ | 84.93 | 63.75 | 7.73 | 4.95 |
| √ | × | × | × | √ | × | √ | × | 80.33 | 60.83 | 7.39 | 5.42 |
| √ | × | × | × | √ | × | √ | √ | 83.67 | 60.79 | 7.09 | 5.00 |
| √ | × | × | × | √ | √ | × | × | 77.93 | 54.46 | 8.07 | 5.56 |
| √ | × | × | × | √ | √ | × | √ | 87.30 | 66.13 | 8.16 | 6.46 |
| √ | × | × | × | √ | √ | √ | × | 87.59 | 63.67 | 8.07 | 6.62 |
| √ | × | × | × | √ | √ | √ | √ | 89.04 | 64.92 | 7.96 | 6.69 |
| √ | × | × | √ | × | × | × | × | 62.67 | 50.50 | 7.65 | 6.62 |
| √ | × | × | √ | × | × | × | √ | 77.41 | 55.46 | 7.28 | 6.28 |
| √ | × | × | √ | × | × | √ | × | 70.00 | 56.25 | 6.93 | 7.22 |
| √ | × | × | √ | × | × | √ | √ | 78.52 | 56.04 | 6.77 | 6.92 |
| √ | × | × | √ | × | √ | × | × | 90.81 | 73.96 | 9.69 | 9.95 |
| √ | × | × | √ | × | √ | × | √ | 93.89 | 77.04 | 9.33 | 10.16 |
| √ | × | × | √ | × | √ | √ | × | 93.56 | 78.83 | 9.31 | 10.77 |
| √ | × | × | √ | × | √ | √ | √ | 93.63 | 81.96 | 9.11 | 11.08 |
| √ | × | × | √ | √ | × | × | × | 87.15 | 60.29 | 9.35 | 7.28 |
| √ | × | × | √ | √ | × | × | √ | 91.48 | 68.33 | 9.20 | 7.23 |
| √ | × | × | √ | √ | × | √ | × | 88.93 | 67.33 | 8.94 | 8.24 |
| √ | × | × | √ | √ | × | √ | √ | 90.19 | 66.33 | 8.83 | 7.96 |
| √ | × | × | √ | √ | √ | × | × | 90.89 | 66.33 | 9.52 | 8.13 |
| √ | × | × | √ | √ | √ | × | √ | 97.22 | 73.13 | 9.68 | 8.74 |
| √ | × | × | √ | √ | √ | √ | × | 94.70 | 74.13 | 9.49 | 9.37 |
| √ | × | × | √ | √ | √ | √ | √ | 97.07 | 77.63 | 9.60 | 9.72 |
| √ | × | √ | × | × | × | × | × | 83.70 | 74.17 | 13.61 | 20.33 |
| √ | × | √ | × | × | × | × | √ | 98.89 | 86.25 | 12.29 | 18.41 |
| √ | × | √ | × | × | × | √ | × | 90.89 | 77.92 | 12.02 | 18.71 |
| √ | × | √ | × | × | × | √ | √ | 98.89 | 88.33 | 11.48 | 17.93 |
| √ | × | √ | × | × | √ | × | × | 97.00 | 92.92 | 12.24 | 19.40 |
| √ | × | √ | × | × | √ | × | √ | 100.00 | 92.50 | 11.62 | 18.78 |
| √ | × | √ | × | × | √ | √ | × | 99.85 | 94.58 | 11.61 | 19.05 |
| √ | × | √ | × | × | √ | √ | √ | 99.93 | 94.17 | 11.24 | 18.66 |
| √ | × | √ | × | √ | × | × | × | 98.52 | 85.04 | 12.33 | 18.16 |
| √ | × | √ | × | √ | × | × | √ | 100.00 | 91.25 | 11.63 | 17.43 |
| √ | × | √ | × | √ | × | √ | × | 100.00 | 90.46 | 11.63 | 18.01 |
| √ | × | √ | × | √ | × | √ | √ | 100.00 | 92.50 | 11.25 | 17.39 |
| √ | × | √ | × | √ | √ | × | × | 99.26 | 89.17 | 11.51 | 17.77 |
| √ | × | √ | × | √ | √ | × | √ | 100.00 | 94.17 | 11.25 | 17.96 |
| √ | × | √ | × | √ | √ | √ | × | 100.00 | 92.50 | 11.25 | 17.85 |
| √ | × | √ | × | √ | √ | √ | √ | 100.00 | 94.17 | 11.07 | 17.78 |
| √ | × | √ | √ | × | × | × | × | 94.44 | 82.92 | 12.08 | 19.21 |
| √ | × | √ | √ | × | × | × | √ | 98.89 | 93.75 | 11.51 | 18.41 |
| √ | × | √ | √ | × | × | √ | × | 99.26 | 90.00 | 11.53 | 18.99 |
| √ | × | √ | √ | × | × | √ | √ | 99.26 | 94.17 | 11.16 | 18.46 |
| √ | × | √ | √ | × | √ | × | × | 98.89 | 91.25 | 11.48 | 19.01 |
| √ | × | √ | √ | × | √ | × | √ | 100.00 | 95.83 | 11.25 | 18.92 |
| √ | × | √ | √ | × | √ | √ | × | 100.00 | 95.42 | 11.25 | 19.25 |
| √ | × | √ | √ | × | √ | √ | √ | 100.00 | 97.50 | 11.07 | 19.05 |
| √ | × | √ | √ | √ | × | × | × | 99.63 | 93.33 | 11.53 | 18.42 |
| √ | × | √ | √ | √ | × | × | √ | 100.00 | 92.92 | 11.25 | 17.68 |
| √ | × | √ | √ | √ | × | √ | × | 100.00 | 95.83 | 11.25 | 18.62 |
| √ | × | √ | √ | √ | × | √ | √ | 100.00 | 95.00 | 11.07 | 17.92 |
| √ | × | √ | √ | √ | √ | × | × | 98.89 | 94.17 | 11.11 | 18.24 |
| √ | × | √ | √ | √ | √ | × | √ | 100.00 | 95.83 | 11.07 | 18.31 |
| √ | × | √ | √ | √ | √ | √ | × | 100.00 | 95.83 | 11.07 | 18.52 |
| √ | × | √ | √ | √ | √ | √ | √ | 100.00 | 97.08 | 10.99 | 18.27 |
| √ | √ | × | × | × | × | × | × | 70.48 | 49.96 | 7.02 | 6.50 |
| √ | √ | × | × | × | × | × | √ | 74.74 | 55.04 | 6.08 | 5.45 |
| √ | √ | × | × | × | × | √ | × | 71.96 | 60.42 | 5.98 | 6.96 |
| √ | √ | × | × | × | × | √ | √ | 73.48 | 55.38 | 5.41 | 5.86 |
| √ | √ | × | × | × | √ | × | × | 88.33 | 75.29 | 8.70 | 9.55 |
| √ | √ | × | × | × | √ | × | √ | 90.26 | 76.54 | 7.96 | 9.22 |
| √ | √ | × | × | × | √ | √ | × | 88.67 | 77.83 | 8.02 | 9.94 |
| √ | √ | × | × | × | √ | √ | √ | 87.15 | 76.96 | 7.53 | 9.49 |
| √ | √ | × | × | √ | × | × | × | 83.33 | 60.79 | 8.54 | 6.69 |
| √ | √ | × | × | √ | × | × | √ | 88.52 | 67.13 | 8.07 | 6.31 |
| √ | √ | × | × | √ | × | √ | × | 87.44 | 67.25 | 8.07 | 7.51 |
| √ | √ | × | × | √ | × | √ | √ | 86.67 | 64.79 | 7.63 | 6.66 |
| √ | √ | × | × | √ | √ | × | × | 91.37 | 66.96 | 8.78 | 7.49 |
| √ | √ | × | × | √ | √ | × | √ | 92.56 | 72.29 | 8.34 | 7.58 |
| √ | √ | × | × | √ | √ | √ | × | 92.41 | 74.00 | 8.45 | 8.30 |
| √ | √ | × | × | √ | √ | √ | √ | 91.30 | 71.13 | 8.13 | 7.75 |
| √ | √ | × | √ | × | × | × | × | 81.89 | 62.33 | 8.24 | 8.33 |
| √ | √ | × | √ | × | × | × | √ | 80.81 | 58.33 | 7.46 | 7.18 |
| √ | √ | × | √ | × | × | √ | × | 80.59 | 65.00 | 7.63 | 8.86 |
| √ | √ | × | √ | × | × | √ | √ | 78.85 | 60.83 | 7.18 | 8.13 |
| √ | √ | × | √ | × | √ | × | × | 96.85 | 81.33 | 9.81 | 10.83 |
| √ | √ | × | √ | × | √ | × | √ | 94.52 | 80.33 | 9.14 | 10.49 |
| √ | √ | × | √ | × | √ | √ | × | 96.15 | 81.13 | 9.48 | 11.37 |
| √ | √ | × | √ | × | √ | √ | √ | 95.59 | 83.17 | 9.22 | 11.23 |
| √ | √ | × | √ | √ | × | × | × | 95.56 | 76.88 | 10.07 | 9.35 |
| √ | √ | × | √ | √ | × | × | √ | 97.19 | 74.42 | 9.66 | 8.66 |
| √ | √ | × | √ | √ | × | √ | × | 97.37 | 79.25 | 9.81 | 10.24 |
| √ | √ | × | √ | √ | × | √ | √ | 96.89 | 79.08 | 9.55 | 9.70 |
| √ | √ | × | √ | √ | √ | × | × | 98.59 | 77.08 | 9.91 | 9.39 |
| √ | √ | × | √ | √ | √ | × | √ | 96.44 | 76.79 | 9.44 | 9.29 |
| √ | √ | × | √ | √ | √ | √ | × | 97.44 | 79.83 | 9.69 | 10.28 |
| √ | √ | × | √ | √ | √ | √ | √ | 97.11 | 80.63 | 9.53 | 9.98 |
| √ | √ | √ | × | × | × | × | × | 99.44 | 91.25 | 12.41 | 19.42 |
| √ | √ | √ | × | × | × | × | √ | 99.63 | 91.00 | 11.58 | 17.99 |
| √ | √ | √ | × | × | × | √ | × | 99.89 | 94.58 | 11.60 | 19.22 |
| √ | √ | √ | × | × | × | √ | √ | 99.67 | 93.71 | 11.21 | 18.19 |
| √ | √ | √ | × | × | √ | × | × | 100.00 | 92.92 | 11.63 | 19.06 |
| √ | √ | √ | × | × | √ | × | √ | 100.00 | 95.83 | 11.25 | 18.76 |
| √ | √ | √ | × | × | √ | √ | × | 100.00 | 96.92 | 11.25 | 19.28 |
| √ | √ | √ | × | × | √ | √ | √ | 100.00 | 97.92 | 11.07 | 18.84 |
| √ | √ | √ | × | √ | × | × | × | 100.00 | 90.83 | 11.63 | 17.94 |
| √ | √ | √ | × | √ | × | × | √ | 100.00 | 91.79 | 11.25 | 17.21 |
| √ | √ | √ | × | √ | × | √ | × | 100.00 | 95.75 | 11.25 | 18.29 |
| √ | √ | √ | × | √ | × | √ | √ | 100.00 | 94.17 | 11.07 | 17.39 |
| √ | √ | √ | × | √ | √ | × | × | 100.00 | 93.50 | 11.25 | 17.89 |
| √ | √ | √ | × | √ | √ | × | √ | 100.00 | 95.42 | 11.07 | 17.89 |
| √ | √ | √ | × | √ | √ | √ | × | 100.00 | 95.42 | 11.07 | 18.10 |
| √ | √ | √ | × | √ | √ | √ | √ | 100.00 | 95.83 | 10.99 | 17.64 |
| √ | √ | √ | √ | × | × | × | × | 100.00 | 95.83 | 11.63 | 19.11 |
| √ | √ | √ | √ | × | × | × | √ | 100.00 | 93.33 | 11.25 | 17.94 |
| √ | √ | √ | √ | × | × | √ | × | 100.00 | 96.67 | 11.25 | 19.21 |
| √ | √ | √ | √ | × | × | √ | √ | 100.00 | 95.83 | 11.07 | 18.24 |
| √ | √ | √ | √ | × | √ | × | × | 100.00 | 96.67 | 11.25 | 18.99 |
| √ | √ | √ | √ | × | √ | × | √ | 100.00 | 96.21 | 11.07 | 18.51 |
| √ | √ | √ | √ | × | √ | √ | × | 100.00 | 98.33 | 11.07 | 19.26 |
| √ | √ | √ | √ | × | √ | √ | √ | 100.00 | 97.50 | 10.99 | 18.48 |
| √ | √ | √ | √ | √ | × | × | × | 100.00 | 95.83 | 11.25 | 18.23 |
| √ | √ | √ | √ | √ | × | × | √ | 100.00 | 93.96 | 11.07 | 17.44 |
| √ | √ | √ | √ | √ | × | √ | × | 100.00 | 97.50 | 11.07 | 18.55 |
| √ | √ | √ | √ | √ | × | √ | √ | 100.00 | 95.54 | 10.99 | 17.49 |
| √ | √ | √ | √ | √ | √ | × | × | 100.00 | 94.67 | 11.07 | 18.01 |
| √ | √ | √ | √ | √ | √ | × | √ | 100.00 | 96.25 | 10.99 | 17.85 |
| √ | √ | √ | √ | √ | √ | √ | × | 100.00 | 97.08 | 10.99 | 18.27 |
| √ | √ | √ | √ | √ | √ | √ | √ | 100.00 | 95.42 | 10.94 | 17.36 |
References
- Dehnhardt, G.; Mauck, B.; Bleckmann, H. Seal whiskers detect water movements. Nature 1998, 394, 235–236. [Google Scholar] [CrossRef]
- Dehnhardt, G.; Kaminski, A. Sensitivity of the mystacial vibrissae of harbour seals (Phoca vitulina) for size differences of actively touched objects. J. Exp. Biol. 1995, 198, 2317–2323. [Google Scholar] [CrossRef]
- Grant, R.; Wieskotten, S.; Wengst, N.; Prescott, T.; Dehnhardt, G. Vibrissal touch sensing in the harbor seal (Phoca vitulina): How do seals judge size? J. Comp. Physiol. A-Neuroethol. Sens. Neural Behav. Physiol. 2013, 199, 521–533. [Google Scholar] [CrossRef] [PubMed]
- Krüger, Y.; Hanke, W.; Miersch, L.; Dehnhardt, G. Detection and direction discrimination of single vortex rings by harbour seals (Phoca vitulina). J. Exp. Biol. 2018, 221, jeb170753. [Google Scholar] [CrossRef] [PubMed]
- Niesterok, B.; Dehnhardt, G.; Hanke, W. Hydrodynamic sensory threshold in harbour seals (Phoca vitulina) for artificial flatfish breathing currents. J. Exp. Biol. 2017, 220, 2364–2371. [Google Scholar] [CrossRef]
- Niesterok, B.; Krüger, Y.; Wieskotten, S.; Dehnhardt, G.; Hanke, W. Hydrodynamic detection and localization of artificial flatfish breathing currents by harbour seals (Phoca vitulina). J. Exp. Biol. 2017, 220, 174–185. [Google Scholar] [CrossRef]
- Han, P.; Zhang, J.D.; Zhang, D.; Huang, W.X. How a self-propelled fin gains hydrodynamic advantages behind a circular cylinder with vortex-induced vibrations. J. Fluid Mech. 2025, 1011, A26. [Google Scholar] [CrossRef]
- Miersch, L.; Hanke, W.; Wieskotten, S.; Hanke, F.D.; Oeffner, J.; Leder, A.; Brede, M.; Witte, M.; Dehnhardt, G. Flow sensing by pinniped whiskers. Philos. Trans. R. Soc. B Biol. Sci. 2011, 366, 3077–3084. [Google Scholar] [CrossRef]
- Hanke, W.; Witte, M.; Miersch, L.; Brede, M.; Oeffner, J.; Michael, M.; Hanke, F.; Leder, A.; Dehnhardt, G. Harbor seal vibrissa morphology suppresses vortex-induced vibrations. J. Exp. Biol. 2010, 213, 2665–2672. [Google Scholar] [CrossRef]
- Kamat, A.M.; Zheng, X.W.; Bos, J.; Cao, M.; Triantafyllou, M.S.; Kottapalli, A.G.P. Undulating Seal Whiskers Evolved Optimal Wavelength-to-Diameter Ratio for Efficient Reduction in Vortex-Induced Vibrations. Adv. Sci. 2024, 11, 2304304. [Google Scholar] [CrossRef]
- Rinehart, A.; Shyam, V.; Zhang, W. Characterization of seal whisker morphology: Implications for whisker-inspired flow control applications. Bioinspir. Biomim. 2017, 12, 066005. [Google Scholar] [CrossRef] [PubMed]
- Beem, H.R.; Triantafyllou, M.S. Wake-induced ‘slaloming’ response explains exquisite sensitivity of seal whisker-like sensors. J. Fluid Mech. 2015, 783, 306–322. [Google Scholar] [CrossRef]
- Zheng, X.W.; Kamat, A.M.; Cao, M.; Kottapalli, A.G.P. Wavy Whiskers in Wakes: Explaining the Trail-Tracking Capabilities of Whisker Arrays on Seal Muzzles. Adv. Sci. 2023, 10, 2203062. [Google Scholar] [CrossRef]
- Song, L.Q.; Ji, C.N.; Zhang, X.N. Vortex-Induced Vibration and Wake Tracing Mechanism of Harbor Seal Whisker: A Direct Numerical Simulation. Chin. J. Theor. Appl. Mech. 2021, 53, 395–412. [Google Scholar]
- Song, L.Q.; Ji, C.N.; Yuan, D.K.; Xu, D.; Zhang, X.N.; Wei, Y.H.; Yin, T. Single Degree-of-Freedom Flow-Induced Vibration of an Elastically-Supported Harbor Seal Whisker Model: An Experimental Study. Chin. J. Theor. Appl. Mech. 2022, 54, 653–668. [Google Scholar]
- Shan, L.X.; Li, K.; Guo, C.P.; Zhang, Y. Vortex-induced vibration characteristics of harbor seal whisker under different wakes. Acta Aerodyn. Sin. 2024, 42, 55–63. [Google Scholar]
- Shan, L.X.; Zhang, Y. Effects of geometric and wake characteristics on vortex-induced vibrations of a seal-whisker cylinder. Phys. Fluids 2025, 37, 011921. [Google Scholar] [CrossRef]
- Mao, Y.T.; Lv, Y.X.; Wang, Y.H.; Yuan, D.K.; Liu, L.Y.; Song, Z.Y.; Ji, C.N. Shape Classification Using a Single Seal-Whisker-Style Sensor Based on the Neural Network Method. Sensors 2024, 24, 5418. [Google Scholar] [CrossRef] [PubMed]
- Zhao, J.S.; Leontini, J.S.; Lo Jacono, D.; Sheridan, J. Fluid-structure interaction of a square cylinder at different angles of attack. J. Fluid Mech. 2014, 747, 688–721. [Google Scholar] [CrossRef]
- Khalak, A.; Williamson, C.H.K. Motions, Forces and Mode Transitions in Vortex-Induced Vibrations at Low Mass-Damping. J. Fluids Struct. 1999, 13, 813–851. [Google Scholar] [CrossRef]
- Hochreiter, S.; Schmidhuber, J. Long Short-Term Memory. Neural Comput. 1997, 9, 1735–1780. [Google Scholar] [CrossRef]
- Bengio, Y.; Simard, P.; Frasconi, P. Learning long-term dependencies with gradient descent is difficult. IEEE Trans. Neural Netw. 1994, 5, 157–166. [Google Scholar] [CrossRef]
- Ahmadianfar, I.; Heidari, A.A.; Gandomi, A.H.; Chu, X.F.; Chen, H.L. RUN beyond the metaphor: An efficient optimization algorithm based on Runge Kutta method. Expert Syst. Appl. 2021, 181, 115079. [Google Scholar] [CrossRef]
- Zdravkovich, M.M. Flow Around Circular Cylinders; Oxford University Press: New York, NY, USA, 1997. [Google Scholar]
- Fage, A.; Johansen, F.C. XLII. The structure of vortex sheets. Lond. Edinb. Dublin Philos. Mag. J. Sci. 1928, 5, 417–441. [Google Scholar] [CrossRef]
- Roshko, A. On the Drag and Shedding Frequency of Two-Dimensional Bluff Bodies; NACA Technical Notes 3169; National Advisory Committee for Aeronautics: Washington, DC, USA, 1954. [Google Scholar]
- Hu, J.C.; Zhou, Y.; Dalton, C. Effects of the corner radius on the near wake of a square prism. Exp. Fluids 2006, 40, 106–118. [Google Scholar] [CrossRef]
- Assi, G.R.S.; Bearman, P.W.; Carmo, B.S.; Meneghini, J.R.; Sherwin, S.J.; Willden, R.H.J. The role of wake stiffness on the wake-induced vibration of the downstream cylinder of a tandem pair. J. Fluid Mech. 2013, 718, 210–245. [Google Scholar] [CrossRef]
- Zhao, H.H.; Zhang, Z.M.; Ji, C.N.; Zhao, Y.W.; Li, X.H.; Du, M.Y. Dynamics of harbor seal whiskers at different angles of attack in wake flow. Phys. Fluids 2024, 36, 071914. [Google Scholar] [CrossRef]
- Gao, Z.; Li, L.; Xu, T. Data Augmentation for Time-Series Classification: An Extensive Empirical Study and Comprehensive Survey. arXiv 2023, arXiv:2310.10060. [Google Scholar] [CrossRef]
- Chinchor, N. MUC-4 evaluation metrics. In Proceedings of the 4th Conference on Message Understanding, McLean, VA, USA, 16–18 June 1992; pp. 22–29. [Google Scholar]
- Muthuramalingam, M.; Bruecker, C. Seal and Sea lion Whiskers Detect Slips of Vortices Similar as Rats Sense Textures. Sci. Rep. 2019, 9, 12808. [Google Scholar] [CrossRef] [PubMed]




















| Parameter | Value |
|---|---|
| Natural frequency in still water (fn) | 0.751 Hz |
| Mass ratio (m*) | 10.29 |
| Inflow velocity (U∞) | 0.048–0.430 m/s |
| Reduced velocity (Ur) | 4.0–36.0 |
| Reynolds number (Re) | 760–6840 |
| Structural damping ratio (ζ) | 0.008 |
| Parameter | Value | |
|---|---|---|
| Hidden units in the LSTM layer | 100 | |
| Output classes in the fully connected layer | 4 | |
| Max epochs | 600 | |
| Learn rate | Schedule | ‘piecewise’ |
| Drop factor | 0.1 | |
| Drop period | 450 | |
| Initial learning rate | 0.075 | |
| Reduced Velocity (Ur) | Wake Categories | |
|---|---|---|
| Bluff Body Shape | Characteristic Dimension | |
| 4, 5, 6, 7, 8, 9, 10, 12, 14, 16, 18, 20, 22, 24, 26, 28, 30. | circular cylinder, triangular cylinder, square cylinder. | 16 mm, 32 mm, 48 mm. |
| uniform flow | ||
| 17 in total | 10 in total | |
| Metrics | Definition |
|---|---|
| True Positives (TP) | The number of samples correctly identified as Wake A. |
| False Negatives (FN) | The number of samples that are actually Wake A but were not correctly identified as such. |
| False Positives (FP) | The number of samples incorrectly identified as Wake A when they are not Wake A. |
| True Negatives (TN) | The number of samples correctly identified as not being Wake A. |
| Accuracy | |
| Confusion Rate | |
| Precision (P) | |
| Recall (R) | |
| False Identification Rate (FIR) | |
| Missed Identification Rate (MIR) | |
| F1 score |
Disclaimer/Publisher’s Note: The statements, opinions and data contained in all publications are solely those of the individual author(s) and contributor(s) and not of MDPI and/or the editor(s). MDPI and/or the editor(s) disclaim responsibility for any injury to people or property resulting from any ideas, methods, instructions or products referred to in the content. |
© 2025 by the authors. Licensee MDPI, Basel, Switzerland. This article is an open access article distributed under the terms and conditions of the Creative Commons Attribution (CC BY) license (https://creativecommons.org/licenses/by/4.0/).
Share and Cite
Li, X.; Zhang, Z.; Zhao, H.; Qin, Y.; Du, M.; Huang, T.; Ji, C. Hydrodynamic Responses and Machine Learning-Based Shape Classification of Harbor Seal Whiskers in the Wake of Bluff Bodies. Biomimetics 2025, 10, 534. https://doi.org/10.3390/biomimetics10080534
Li X, Zhang Z, Zhao H, Qin Y, Du M, Huang T, Ji C. Hydrodynamic Responses and Machine Learning-Based Shape Classification of Harbor Seal Whiskers in the Wake of Bluff Bodies. Biomimetics. 2025; 10(8):534. https://doi.org/10.3390/biomimetics10080534
Chicago/Turabian StyleLi, Xianghe, Zhimeng Zhang, Hanghao Zhao, Yaling Qin, Muyuan Du, Taolin Huang, and Chunning Ji. 2025. "Hydrodynamic Responses and Machine Learning-Based Shape Classification of Harbor Seal Whiskers in the Wake of Bluff Bodies" Biomimetics 10, no. 8: 534. https://doi.org/10.3390/biomimetics10080534
APA StyleLi, X., Zhang, Z., Zhao, H., Qin, Y., Du, M., Huang, T., & Ji, C. (2025). Hydrodynamic Responses and Machine Learning-Based Shape Classification of Harbor Seal Whiskers in the Wake of Bluff Bodies. Biomimetics, 10(8), 534. https://doi.org/10.3390/biomimetics10080534

