A Transfer Function-Based Binary Version of Improved Pied Kingfisher Optimizer for Solving the Uncapacitated Facility Location Problem
Abstract
1. Introduction
Motivation
- The proposed BinIPKO algorithm has been tested by applying it to the uncapacitated facility location problem (UFLP), which is an optimization problem with a binary solution space.
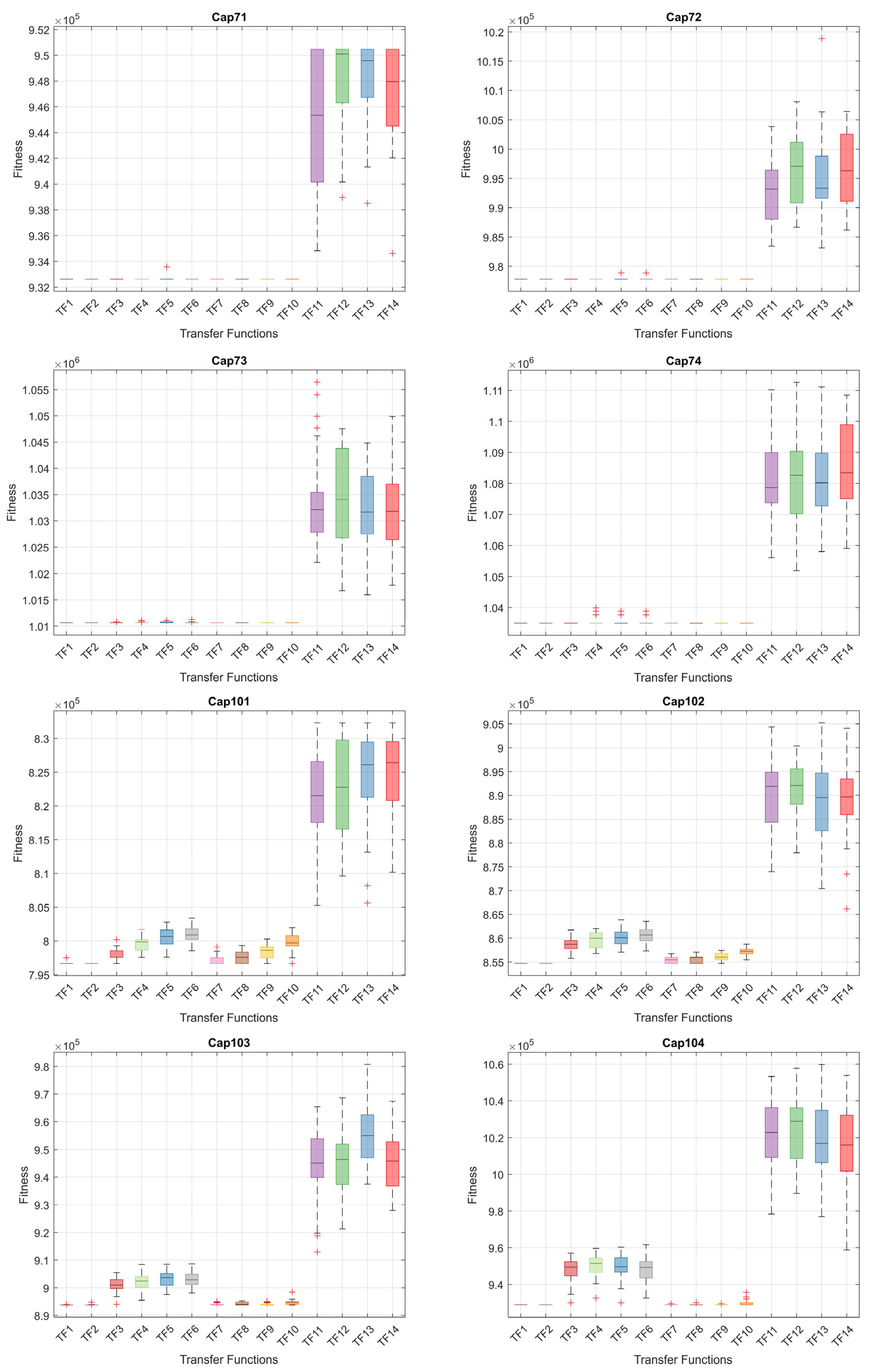
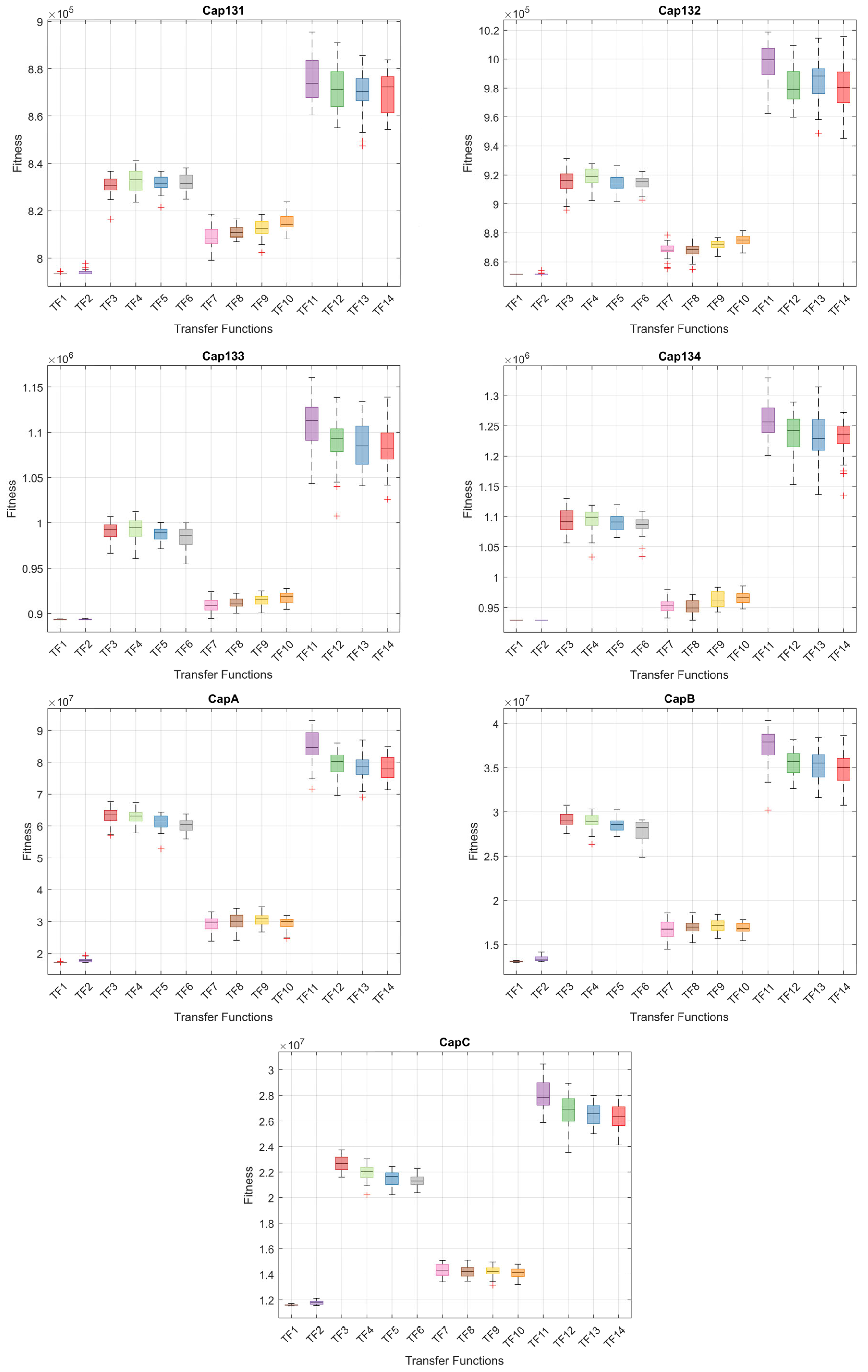
- The performance of the BinIPKO algorithm was evaluated with different transfer functions, and it was determined that the best results were obtained with the TF1 transfer function. Therefore, only the BinIPKO variant with the TF1 transfer function was used in the comparative analyses.
- The performance of the BinIPKO algorithm was evaluated in comparison with the PSO, GWO, APO, and EEFO algorithms commonly used in the literature.
- The results obtained were analyzed using the Friedman ranking test as well as the TOPSIS and PROMETHEE methods, and it was found that the proposed algorithm demonstrated competitive performance.
2. Pied Kingfisher Optimizer (PKO)
2.1. Perching and Hovering Strategy
2.2. Diving Strategy
2.3. Commensalism Phase
3. Binary Pied Kingfisher Optimizer (BinPKO)
Levy Flight Strategy
| Algorithm 1: Binary Improved Pied Kingfisher Optimizer with Levy Flight (BinIPKO) |
| Input: Maximum number of iterations MaxIter, population size N, Beating factor BF, Transfer function TF Output: Binary location of the improved pied kingfisher, and its corresponding fitness value |
| 1 Initialize population Xi (i = 1, 2, …, N) in continuous space; 2 Binarize the initial population using the transfer function (TF); 3 Calculate fitness values of the binary pied kingfisher population; 4 while t < MaxIter + 1 do 5 | for i = 1 to N do 6 | | if rand() < 0.8 then; /* Exploration phase */ 7 | | | if rand() < 0.5 then 8 | | | | Compute T using Equation (5): 9 | | | | T = BR − (t1/BF/MaxIter1/BF) 10 | | | else 11 | | | | Compute T using Equation (4): 12 | | | | T = (e − e(t−1/MaxIter)(1/BF)) · cos(θ); 13 | | | Update the position using Equation (2) with Levy Flight: 14 | | | X′i = Xi + α · T · (Xj − Xi) + 0.01 · Levy(1, D); 15 | | else; /* Exploitation phase */ 16 | | | Compute b = Xi + o2 · N(0,1) · Xbest; 17 | | | Compute HA = rand() · f(Xi)/f(Xbest); 18 | | | Update the position using Equation (6) with Levy Flight: 19 | | | X′i = Xi + HA · o · α · (b − Xbest) + 0.01 · Levy(1, D); 20 | | Apply transfer function TF to X′i; 21 | | if f(X′i) < f(Xi) then 22 | | | Replace Xi with X′i; 23 | | if f(X′i) < f(Xbest) then 24 | | | Update Xbest with X′i; 25 | Compute PE = PEmax − (PEmax − PEmin) · t/MaxIter; 26 | for i = 1 to N do 27 | | if rand() > (1− PE) then 28 | | | Randomly select r1, r2; 29 | | | Update position using Equation (7a) with Levy Flight: 30 | | | X′i = Xr1 + o · α · |Xi − Xr2| + 0.01 · Levy(1, D); 31 | | else 32 | | | Update position using Equation (7b) with Levy Flight: 33 | | | X′i = Xi + 0.01 · Levy(1, D); 34 | | Apply transfer function TF to X′i; 35 | | Evaluate f(X′i); 36 | | if f(X′i) < f(Xi) then 37 | | | Replace Xi with X′i; 38 | | if f(X′i) < f(Xbest) then 39 | | | Update Xbest with X′i; 40 t ← t + 1; 41 return Xbest, f(Xbest) |
4. Uncapacitated Facility Location Problem (UFLP)
5. Experimental Results
Comparison of BinIPKO with Literature Algorithms
- BinIPKO has been found to achieve the best results in Cap problems using the TF1 transfer function.
- The TF1 variant of BinIPKO ranked first in Cap problems and demonstrated more successful performance than the algorithms compared.
- The analyses were supported not only by the best solution values but also by statistical significance tests provided by the Friedman test, as well as multi-criteria evaluations performed using the TOPSIS and PROMETHEE methods.
6. Discussion
7. Conclusions
Funding
Data Availability Statement
Conflicts of Interest
References
- Babalik, A.; Babadag, A. A binary grasshopper optimization algorithm for solving uncapacitated facility location problem. Eng. Sci. Technol. Int. J. 2025, 65, 102031. [Google Scholar] [CrossRef]
- Tefek, M.F.; Beşkirli, M. JayaL: A Novel Jaya Algorithm Based on Elite Local Search for Optimization Problems. Arab. J. Sci. Eng. 2021, 46, 8925–8952. [Google Scholar] [CrossRef]
- Ervural, B.; Hakli, H. A binary reptile search algorithm based on transfer functions with a new stochastic repair method for 0–1 knapsack problems. Comput. Ind. Eng. 2023, 178, 109080. [Google Scholar] [CrossRef]
- Abdel-Basset, M.; Mohamed, R.; Mirjalili, S. A Binary Equilibrium Optimization Algorithm for 0–1 Knapsack Problems. Comput. Ind. Eng. 2021, 151, 106946. [Google Scholar] [CrossRef]
- Baş, E. Binary Aquila Optimizer for 0–1 knapsack problems. Eng. Appl. Artif. Intell. 2023, 118, 105592. [Google Scholar] [CrossRef]
- Abdollahzadeh, B.; Barshandeh, S.; Javadi, H.; Epicoco, N. An enhanced binary slime mould algorithm for solving the 0–1 knapsack problem. Eng. Comput. 2022, 38, 3423–3444. [Google Scholar] [CrossRef]
- Yildizdan, G.; Baş, E. A Novel Binary Artificial Jellyfish Search Algorithm for Solving 0–1 Knapsack Problems. Neural Process. Lett. 2023, 55, 8605–8671. [Google Scholar] [CrossRef]
- Xue, Y.; Zhu, H.; Liang, J.; Słowik, A. Adaptive crossover operator based multi-objective binary genetic algorithm for feature selection in classification. Knowl.-Based Syst. 2021, 227, 107218. [Google Scholar] [CrossRef]
- Ghosh, K.K.; Guha, R.; Bera, S.K.; Kumar, N.; Sarkar, R. S-shaped versus V-shaped transfer functions for binary Manta ray foraging optimization in feature selection problem. Neural Comput. Appl. 2021, 33, 11027–11041. [Google Scholar] [CrossRef]
- Devi, R.M.; Premkumar, M.; Jangir, P.; Kumar, B.S.; Alrowaili, D.; Nisar, K.S. BHGSO: Binary hunger games search optimization algorithm for feature selection problem. CMC-Comput. Mater. Contin. 2022, 70, 557–579. [Google Scholar]
- Agrawal, P.; Ganesh, T.; Oliva, D.; Mohamed, A.W. S-shaped and v-shaped gaining-sharing knowledge-based algorithm for feature selection. Appl. Intell. 2022, 52, 81–112. [Google Scholar] [CrossRef]
- Hichem, H.; Elkamel, M.; Rafik, M.; Mesaaoud, M.T.; Ouahiba, C. A new binary grasshopper optimization algorithm for feature selection problem. J. King Saud Univ.-Comput. Inf. Sci. 2022, 34, 316–328. [Google Scholar] [CrossRef]
- Kiran, M.S.; Beskirli, M. A New Approach Based on Collective Intelligence to Solve Traveling Salesman Problems. Biomimetics 2024, 9, 118. [Google Scholar] [CrossRef]
- Gunduz, M.; Aslan, M. DJAYA: A discrete Jaya algorithm for solving traveling salesman problem. Appl. Soft Comput. 2021, 105, 107275. [Google Scholar] [CrossRef]
- Zhang, Z.; Han, Y. Discrete sparrow search algorithm for symmetric traveling salesman problem. Appl. Soft Comput. 2022, 118, 108469. [Google Scholar] [CrossRef]
- Hakli, H. The optimization of wind turbine placement using a binary artificial bee colony algorithm with multi-dimensional updates. Electr. Power Syst. Res. 2023, 216, 109094. [Google Scholar] [CrossRef]
- Beşkirli, M.; Koç, İ.; Haklı, H.; Kodaz, H. A new optimization algorithm for solving wind turbine placement problem: Binary artificial algae algorithm. Renew. Energy 2018, 121, 301–308. [Google Scholar] [CrossRef]
- Aslan, M.; Mesut, G.; Kiran, M.S. A Jaya-based approach to wind turbine placement problem. Energy Sources Part A Recovery Util. Environ. Eff. 2023, 45, 3318–3337. [Google Scholar] [CrossRef]
- Beşkirli, M.; Koc, I.; Kodaz, H. Optimal placement of wind turbines using novel binary invasive weed optimization. Teh. Vjesn. 2019, 26, 56–63. [Google Scholar]
- Hakli, H. A new approach for wind turbine placement problem using modified differential evolution algorithm. Turk. J. Electr. Eng. Comput. Sci. 2019, 27, 4659–4672. [Google Scholar] [CrossRef]
- Hakli, H.; Ortacay, Z. An improved scatter search algorithm for the uncapacitated facility location problem. Comput. Ind. Eng. 2019, 135, 855–867. [Google Scholar] [CrossRef]
- Cinar, A.C.; Kiran, M.S. Similarity and Logic Gate-Based Tree-Seed Algorithms for Binary Optimization. Comput. Ind. Eng. 2018, 115, 631–646. [Google Scholar] [CrossRef]
- Aslan, M.; Pavone, M. MBVS: A modified binary vortex search algorithm for solving uncapacitated facility location problem. Neural Comput. Appl. 2024, 36, 2573–2595. [Google Scholar] [CrossRef]
- Korkmaz, S.; Kiran, M.S. An artificial algae algorithm with stigmergic behavior for binary optimization. Appl. Soft Comput. 2018, 64, 627–640. [Google Scholar] [CrossRef]
- Baş, E.; Ülker, E. A binary social spider algorithm for continuous optimization task. Soft Comput. 2020, 24, 12953–12979. [Google Scholar] [CrossRef]
- Beşkirli, A.; Dağ, İ. A new binary variant with transfer functions of Harris Hawks Optimization for binary wind turbine micrositing. Energy Rep. 2020, 6, 668–673. [Google Scholar] [CrossRef]
- Pan, J.-S.; Hu, P.; Chu, S.-C. Binary fish migration optimization for solving unit commitment. Energy 2021, 226, 120329. [Google Scholar] [CrossRef]
- Hu, P.; Pan, J.-S.; Chu, S.-C. Improved Binary Grey Wolf Optimizer and Its application for feature selection. Knowl.-Based Syst. 2020, 195, 105746. [Google Scholar] [CrossRef]
- Mafarja, M.; Aljarah, I.; Faris, H.; Hammouri, A.I.; Al-Zoubi, A.M.; Mirjalili, S. Binary grasshopper optimisation algorithm approaches for feature selection problems. Expert Syst. Appl. 2019, 117, 267–286. [Google Scholar] [CrossRef]
- Arora, S.; Anand, P. Binary butterfly optimization approaches for feature selection. Expert Syst. Appl. 2019, 116, 147–160. [Google Scholar] [CrossRef]
- Büyüköz, G.O.; Haklı, H. Implementation of Binary Honey Badger Algorithm to Set Union Knapsack Problem. Duzc. Univ. J. Sci. Technol. 2024, 12, 1075–1085. [Google Scholar]
- Guo, S.-s.; Wang, J.-s.; Guo, M.-w. Z-Shaped Transfer Functions for Binary Particle Swarm Optimization Algorithm. Comput. Intell. Neurosci. 2020, 2020, 6502807. [Google Scholar] [CrossRef]
- Asghari Varzaneh, Z.; Hosseini, S.; Javidi, M.M. A novel binary horse herd optimization algorithm for feature selection problem. Multimed. Tools Appl. 2023, 82, 40309–40343. [Google Scholar] [CrossRef]
- Balakrishnan, K.; Dhanalakshmi, R.; Seetharaman, G. S-shaped and V-shaped binary African vulture optimization algorithm for feature selection. Expert Syst. 2022, 39, e13079. [Google Scholar] [CrossRef]
- Bouaouda, A.; Hashim, F.A.; Sayouti, Y.; Hussien, A.G. Pied kingfisher optimizer: A new bio-inspired algorithm for solving numerical optimization and industrial engineering problems. Neural Comput. Appl. 2024, 36, 15455–15513. [Google Scholar] [CrossRef]
- Mirjalili, S.; Lewis, A. S-shaped versus V-shaped transfer functions for binary Particle Swarm Optimization. Swarm Evol. Comput. 2013, 9, 1–14. [Google Scholar] [CrossRef]
- Beşkirli, A. An efficient binary Harris hawks optimization based on logical operators for wind turbine layout according to various wind scenarios. Eng. Sci. Technol. Int. J. 2025, 66, 102057. [Google Scholar] [CrossRef]
- Yang, W.; Xia, K.; Fan, S.; Wang, L.; Li, T.; Zhang, J.; Feng, Y. A Multi-Strategy Whale Optimization Algorithm and Its Application. Eng. Appl. Artif. Intell. 2022, 108, 104558. [Google Scholar] [CrossRef]
- Beşkirli, M.; Egi, Y. An efficient hybrid-based charged system search algorithm for active filter design. Neural Comput. Appl. 2023, 35, 7611–7633. [Google Scholar] [CrossRef]
- Haklı, H.; Uğuz, H. A novel particle swarm optimization algorithm with Levy flight. Appl. Soft Comput. 2014, 23, 333–345. [Google Scholar] [CrossRef]
- Galvão, R.D.; Raggi, L.A. A method for solving to optimality uncapacitated location problems. Ann. Oper. Res. 1989, 18, 225–244. [Google Scholar] [CrossRef]
- Beasley, J.E. OR-Library: Distributing test problems by electronic mail. J. Oper. Res. Soc. 1990, 41, 1069–1072. [Google Scholar] [CrossRef]
- Kennedy, J.; Eberhart, R. Particle Swarm Optimization. In Proceedings of the ICNN’95—International Conference on Neural Networks, Perth, Australia, 27 November–1 December 1995; Volume 1944, pp. 1942–1948. [Google Scholar]
- Mirjalili, S.; Mirjalili, S.M.; Lewis, A. Grey Wolf Optimizer. Adv. Eng. Softw. 2014, 69, 46–61. [Google Scholar] [CrossRef]
- Wang, X.; Snášel, V.; Mirjalili, S.; Pan, J.-S.; Kong, L.; Shehadeh, H.A. Artificial Protozoa Optimizer (APO): A novel bio-inspired metaheuristic algorithm for engineering optimization. Knowl.-Based Syst. 2024, 295, 111737. [Google Scholar] [CrossRef]
- Zhao, W.; Wang, L.; Zhang, Z.; Fan, H.; Zhang, J.; Mirjalili, S.; Khodadadi, N.; Cao, Q. Electric eel foraging optimization: A new bio-inspired optimizer for engineering applications. Expert Syst. Appl. 2024, 238, 122200. [Google Scholar] [CrossRef]
- Wang, S.; Hua, G.; Hao, G.; Xie, C. A comparison of different transfer functions for binary version of grey wolf optimiser. Int. J. Wirel. Mob. Comput. 2017, 13, 261–269. [Google Scholar] [CrossRef]
- Seyyedabbasi, A.; Hu, G.; Shehadeh, H.A.; Wang, X.; Canatalay, P.J. V-shaped and S-shaped binary artificial protozoa optimizer (APO) algorithm for wrapper feature selection on biological data. Clust. Comput. 2025, 28, 163. [Google Scholar] [CrossRef]
- Limane, A.; Zitouni, F.; Ferhat, A.; Lakbichi, R. Binary Electric Eel Foraging Optimization Algorithm for Solving 0-1 Knapsack Problems. In Proceedings of the 2024 6th International Conference on Pattern Analysis and Intelligent Systems (PAIS), El Oued, Algeria, 24–25 April 2024; pp. 1–7. [Google Scholar]
- Minocha, S.; Singh, B. A novel phishing detection system using binary modified equilibrium optimizer for feature selection. Comput. Electr. Eng. 2022, 98, 107689. [Google Scholar] [CrossRef]
- Mohanty, C.P.; Satpathy, M.P.; Mahapatra, S.S.; Singh, M.R. Optimization of cryo-treated EDM variables using TOPSIS-based TLBO algorithm. Sādhanā 2018, 43, 51. [Google Scholar] [CrossRef]
- Belhaj Soulami, K.; Kaabouch, N.; Saidi, M.N.; Tamtaoui, A. An evaluation and ranking of evolutionary algorithms in segmenting abnormal masses in digital mammograms. Multimed. Tools Appl. 2020, 79, 18941–18979. [Google Scholar] [CrossRef]





| TF Name | Transfer Functions |
|---|---|
| TF1 | |
| TF2 | |
| TF3 | |
| TF4 | |
| TF5 | |
| TF6 | |
| TF7 | |
| TF8 | |
| TF9 | |
| TF10 | |
| TF11 | |
| TF12 | |
| TF13 | |
| TF14 |
| Problems | Dimension | Fitness |
|---|---|---|
| Cap71 | 16 × 50 | 9.32616 × 105 |
| Cap72 | 16 × 50 | 9.77799 × 105 |
| Cap73 | 16 × 50 | 1.01064 × 106 |
| Cap74 | 16 × 50 | 1.03498 × 106 |
| Cap101 | 25 × 50 | 7.96648 × 105 |
| Cap102 | 25 × 50 | 8.54704 × 105 |
| Cap103 | 25 × 50 | 8.93782 × 105 |
| Cap104 | 25 × 50 | 9.28942 × 105 |
| Cap131 | 50 × 50 | 7.93440 × 105 |
| Cap132 | 50 × 50 | 8.51495 × 105 |
| Cap133 | 50 × 50 | 8.93077 × 105 |
| Cap134 | 50 × 50 | 9.28942 × 105 |
| CapA | 100 × 1000 | 1.71565 × 107 |
| CapB | 100 × 1000 | 1.29791 × 107 |
| CapC | 100 × 1000 | 1.15056 × 107 |
| TF | Criteria | Cap71 | Cap72 | Cap73 | Cap74 |
|---|---|---|---|---|---|
| BinPKO-TF1 | Best | 9.32616 × 105 | 9.77799 × 105 | 1.01064 × 106 | 1.03498 × 106 |
| Mean | 9.32616 × 105 | 9.77799 × 105 | 1.01064 × 106 | 1.03498 × 106 | |
| Std | 0.00000 × 100 | 4.73622 × 10−10 | 4.73622 × 10−10 | 3.55216 × 10−10 | |
| Gap | 0.00000 × 100 | 0.00000 × 100 | 0.00000 × 100 | 0.00000 × 100 | |
| BinIPKO-TF1 | Best | 9.32616 × 105 | 9.77799 × 105 | 1.01064 × 106 | 1.03498 × 106 |
| Mean | 9.32616 × 105 | 9.77799 × 105 | 1.01064 × 106 | 1.03498 × 106 | |
| Std | 0.00000 × 100 | 4.73622 × 10−10 | 4.73622 × 10−10 | 3.55216 × 10−10 | |
| Gap | 0.00000 × 100 | 0.00000 × 100 | 0.00000 × 100 | 0.00000 × 100 | |
| BinPKO-TF2 | Best | 9.32616 × 105 | 9.77799 × 105 | 1.01064 × 106 | 1.03498 × 106 |
| Mean | 9.32616 × 105 | 9.77799 × 105 | 1.01064 × 106 | 1.03498 × 106 | |
| Std | 0.00000 × 100 | 4.73622 × 10−10 | 4.73622 × 10−10 | 3.55216 × 10−10 | |
| Gap | 0.00000 × 100 | 0.00000 × 100 | 0.00000 × 100 | 0.00000 × 100 | |
| BinIPKO-TF2 | Best | 9.32616 × 105 | 9.77799 × 105 | 1.01064 × 106 | 1.03498 × 106 |
| Mean | 9.32616 × 105 | 9.77799 × 105 | 1.01064 × 106 | 1.03498 × 106 | |
| Std | 0.00000 × 100 | 4.73622 × 10−10 | 4.73622 × 10−10 | 3.55216 × 10−10 | |
| Gap | 0.00000 × 100 | 0.00000 × 100 | 0.00000 × 100 | 0.00000 × 100 | |
| BinPKO-TF3 | Best | 9.32616 × 105 | 9.77799 × 105 | 1.01064 × 106 | 1.03498 × 106 |
| Mean | 9.32616 × 105 | 9.77799 × 105 | 1.01066 × 106 | 1.03525 × 106 | |
| Std | 0.00000 × 100 | 4.73622 × 10−10 | 5.08687 × 101 | 8.36083 × 102 | |
| Gap | 0.00000 × 100 | 0.00000 × 100 | 1.64957 × 10−3 | 2.64750 × 10−2 | |
| BinIPKO-TF3 | Best | 9.32616 × 105 | 9.77799 × 105 | 1.01064 × 106 | 1.03498 × 106 |
| Mean | 9.32616 × 105 | 9.77799 × 105 | 1.01065 × 106 | 1.03498 × 106 | |
| Std | 0.00000 × 100 | 4.73622 × 10−10 | 4.22963 × 101 | 3.55216 × 10−10 | |
| Gap | 0.00000 × 100 | 0.00000 × 100 | 1.09971 × 10−3 | 0.00000 × 100 | |
| BinPKO-TF4 | Best | 9.32616 × 105 | 9.77799 × 105 | 1.01064 × 106 | 1.03498 × 106 |
| Mean | 9.32616 × 105 | 9.77799 × 105 | 1.01067 × 106 | 1.03543 × 106 | |
| Std | 0.00000 × 100 | 4.73622 × 10−10 | 6.78250 × 101 | 1.03863 × 103 | |
| Gap | 0.00000 × 100 | 0.00000 × 100 | 3.29914 × 10−3 | 4.41250 × 10−2 | |
| BinIPKO-TF4 | Best | 9.32616 × 105 | 9.77799 × 105 | 1.01064 × 106 | 1.03498 × 106 |
| Mean | 9.32616 × 105 | 9.77799 × 105 | 1.01069 × 106 | 1.03564 × 106 | |
| Std | 0.00000 × 100 | 4.73622 × 10−10 | 9.83619 × 101 | 1.39491 × 103 | |
| Gap | 0.00000 × 100 | 0.00000 × 100 | 4.70485 × 10−3 | 6.36858 × 10−2 | |
| BinPKO-TF5 | Best | 9.32616 × 105 | 9.77799 × 105 | 1.01064 × 106 | 1.03498 × 106 |
| Mean | 9.32648 × 105 | 9.77835 × 105 | 1.01070 × 106 | 1.03587 × 106 | |
| Std | 1.74021 × 102 | 1.96614 × 102 | 1.34274 × 102 | 1.44429 × 103 | |
| Gap | 3.40673 × 10−3 | 3.67117 × 10−3 | 5.86669 × 10−3 | 8.65398 × 10−2 | |
| BinIPKO-TF5 | Best | 9.32616 × 105 | 9.77799 × 105 | 1.01064 × 106 | 1.03498 × 106 |
| Mean | 9.32648 × 105 | 9.77871 × 105 | 1.01069 × 106 | 1.03569 × 106 | |
| Std | 1.74021 × 102 | 2.73218 × 102 | 1.00274 × 102 | 1.34036 × 103 | |
| Gap | 3.40673 × 10−3 | 7.34234 × 10−3 | 5.25471 × 10−3 | 6.90170 × 10−2 | |
| BinPKO-TF6 | Best | 9.32616 × 105 | 9.77799 × 105 | 1.01064 × 106 | 1.03498 × 106 |
| Mean | 9.32648 × 105 | 9.77835 × 105 | 1.01067 × 106 | 1.03538 × 106 | |
| Std | 1.74021 × 102 | 1.96614 × 102 | 6.31922 × 101 | 1.06009 × 103 | |
| Gap | 3.40673 × 10−3 | 3.67117 × 10−3 | 2.74929 × 10−3 | 3.89210 × 10−2 | |
| BinIPKO-TF6 | Best | 9.32616 × 105 | 9.77799 × 105 | 1.01064 × 106 | 1.03498 × 106 |
| Mean | 9.32616 × 105 | 9.77871 × 105 | 1.01069 × 106 | 1.03556 × 106 | |
| Std | 0.00000 × 100 | 2.73218 × 102 | 1.22291 × 102 | 1.20616 × 103 | |
| Gap | 0.00000 × 100 | 7.34234 × 10−3 | 5.25471 × 10−3 | 5.65710 × 10−2 | |
| BinPKO-TF7 | Best | 9.32616 × 105 | 9.77799 × 105 | 1.01064 × 106 | 1.03498 × 106 |
| Mean | 9.32616 × 105 | 9.77799 × 105 | 1.01064 × 106 | 1.03498 × 106 | |
| Std | 0.00000 × 100 | 4.73622 × 10−10 | 4.73622 × 10−10 | 3.55216 × 10−10 | |
| Gap | 0.00000 × 100 | 0.00000 × 100 | 0.00000 × 100 | 0.00000 × 100 | |
| BinIPKO-TF7 | Best | 9.32616 × 105 | 9.77799 × 105 | 1.01064 × 106 | 1.03498 × 106 |
| Mean | 9.32616 × 105 | 9.77799 × 105 | 1.01064 × 106 | 1.03498 × 106 | |
| Std | 0.00000 × 100 | 4.73622 × 10−10 | 4.73622 × 10−10 | 3.55216 × 10−10 | |
| Gap | 0.00000 × 100 | 0.00000 × 100 | 0.00000 × 100 | 0.00000 × 100 | |
| BinPKO-TF8 | Best | 9.32616 × 105 | 9.77799 × 105 | 1.01064 × 106 | 1.03498 × 106 |
| Mean | 9.32616 × 105 | 9.77799 × 105 | 1.01064 × 106 | 1.03498 × 106 | |
| Std | 0.00000 × 100 | 4.73622 × 10−10 | 4.73622 × 10−10 | 3.55216 × 10−10 | |
| Gap | 0.00000 × 100 | 0.00000 × 100 | 0.00000 × 100 | 0.00000 × 100 | |
| BinIPKO-TF8 | Best | 9.32616 × 105 | 9.77799 × 105 | 1.01064 × 106 | 1.03498 × 106 |
| Mean | 9.32616 × 105 | 9.77799 × 105 | 1.01064 × 106 | 1.03498 × 106 | |
| Std | 0.00000 × 100 | 4.73622 × 10−10 | 4.73622 × 10−10 | 3.55216 × 10−10 | |
| Gap | 0.00000 × 100 | 0.00000 × 100 | 0.00000 × 100 | 0.00000 × 100 | |
| BinPKO-TF9 | Best | 9.32616 × 105 | 9.77799 × 105 | 1.01064 × 106 | 1.03498 × 106 |
| Mean | 9.32616 × 105 | 9.77799 × 105 | 1.01064 × 106 | 1.03498 × 106 | |
| Std | 0.00000 × 100 | 4.73622 × 10−10 | 4.73622 × 10−10 | 3.55216 × 10−10 | |
| Gap | 0.00000 × 100 | 0.00000 × 100 | 0.00000 × 100 | 0.00000 × 100 | |
| BinIPKO-TF9 | Best | 9.32616 × 105 | 9.77799 × 105 | 1.01064 × 106 | 1.03498 × 106 |
| Mean | 9.32616 × 105 | 9.77799 × 105 | 1.01064 × 106 | 1.03498 × 106 | |
| Std | 0.00000 × 100 | 4.73622 × 10−10 | 4.73622 × 10−10 | 3.55216 × 10−10 | |
| Gap | 0.00000 × 100 | 0.00000 × 100 | 0.00000 × 100 | 0.00000 × 100 | |
| BinPKO-TF10 | Best | 9.32616 × 105 | 9.77799 × 105 | 1.01064 × 106 | 1.03498 × 106 |
| Mean | 9.32616 × 105 | 9.77799 × 105 | 1.01064 × 106 | 1.03498 × 106 | |
| Std | 0.00000 × 100 | 4.73622 × 10−10 | 4.73622 × 10−10 | 3.55216 × 10−10 | |
| Gap | 0.00000 × 100 | 0.00000 × 100 | 0.00000 × 100 | 0.00000 × 100 | |
| BinIPKO-TF10 | Best | 9.32616 × 105 | 9.77799 × 105 | 1.01064 × 106 | 1.03498 × 106 |
| Mean | 9.32616 × 105 | 9.77799 × 105 | 1.01064 × 106 | 1.03498 × 106 | |
| Std | 0.00000 × 100 | 4.73622 × 10−10 | 4.73622 × 10−10 | 3.55216 × 10−10 | |
| Gap | 0.00000 × 100 | 0.00000 × 100 | 0.00000 × 100 | 0.00000 × 100 | |
| BinPKO-TF11 | Best | 9.38355 × 105 | 9.86019 × 105 | 1.01477 × 106 | 1.05663 × 106 |
| Mean | 9.47109 × 105 | 9.94422 × 105 | 1.03341 × 106 | 1.08369 × 106 | |
| Std | 3.79165 × 103 | 5.15366 × 103 | 7.34087 × 103 | 1.40876 × 104 | |
| Gap | 1.55406 × 100 | 1.70001 × 100 | 2.25323 × 100 | 4.70683 × 100 | |
| BinIPKO-TF11 | Best | 9.34829 × 105 | 9.83429 × 105 | 1.02209 × 106 | 1.05601 × 106 |
| Mean | 9.45048 × 105 | 9.92778 × 105 | 1.03367 × 106 | 1.08113 × 106 | |
| Std | 5.41823 × 103 | 5.70021 × 103 | 9.40720 × 103 | 1.41690 × 104 | |
| Gap | 1.33304 × 100 | 1.53191 × 100 | 2.27893 × 100 | 4.45981 × 100 | |
| BinPKO-TF12 | Best | 9.35445 × 105 | 9.82726 × 105 | 1.01551 × 106 | 1.05622 × 106 |
| Mean | 9.47653 × 105 | 9.95695 × 105 | 1.03169 × 106 | 1.07647 × 106 | |
| Std | 3.94209 × 103 | 6.29942 × 103 | 8.71690 × 103 | 1.20317 × 104 | |
| Gap | 1.61240 × 100 | 1.83018 × 100 | 2.08317 × 100 | 4.00862 × 100 | |
| BinIPKO-TF12 | Best | 9.38953 × 105 | 9.86665 × 105 | 1.01672 × 106 | 1.05192 × 106 |
| Mean | 9.48024 × 105 | 9.97107 × 105 | 1.03437 × 106 | 1.08178 × 106 | |
| Std | 3.58929 × 103 | 6.83465 × 103 | 8.94900 × 103 | 1.46645 × 104 | |
| Gap | 1.65215 × 100 | 1.97461 × 100 | 2.34786 × 100 | 4.52243 × 100 | |
| BinPKO-TF13 | Best | 9.40562 × 105 | 9.82373 × 105 | 1.01485 × 106 | 1.06628 × 106 |
| Mean | 9.47843 × 105 | 9.95201 × 105 | 1.03034 × 106 | 1.08733 × 106 | |
| Std | 3.41213 × 103 | 6.63002 × 103 | 8.76105 × 103 | 1.23636 × 104 | |
| Gap | 1.63275 × 100 | 1.77969 × 100 | 1.94952 × 100 | 5.05886 × 100 | |
| BinIPKO-TF13 | Best | 9.38515 × 105 | 9.83122 × 105 | 1.01596 × 106 | 1.05796 × 106 |
| Mean | 9.47743 × 105 | 9.94983 × 105 | 1.03209 × 106 | 1.08144 × 106 | |
| Std | 3.53634 × 103 | 7.49982 × 103 | 7.57757 × 103 | 1.30608 × 104 | |
| Gap | 1.62207 × 100 | 1.75740 × 100 | 2.12185 × 100 | 4.48924 × 100 | |
| BinPKO-TF14 | Best | 9.39182 × 105 | 9.87137 × 105 | 1.01081 × 106 | 1.05346 × 106 |
| Mean | 9.49295 × 105 | 9.96150 × 105 | 1.02891 × 106 | 1.08107 × 106 | |
| Std | 2.42321 × 103 | 5.38402 × 103 | 8.80615 × 103 | 1.46911 × 104 | |
| Gap | 1.78840 × 100 | 1.87668 × 100 | 1.80766 × 100 | 4.45343 × 100 | |
| BinIPKO-TF14 | Best | 9.34623 × 105 | 9.86182 × 105 | 1.01778 × 106 | 1.05906 × 106 |
| Mean | 9.47136 × 105 | 9.96615 × 105 | 1.03209 × 106 | 1.08492 × 106 | |
| Std | 3.90886 × 103 | 6.30017 × 103 | 7.96827 × 103 | 1.45749 × 104 | |
| Gap | 1.55691 × 100 | 1.92427 × 100 | 2.12180 × 100 | 4.82572 × 100 |
| TF | Criteria | Cap101 | Cap102 | Cap103 | Cap104 |
|---|---|---|---|---|---|
| BinPKO-TF1 | Best | 7.96648 × 105 | 8.54704 × 105 | 8.93782 × 105 | 9.28942 × 105 |
| Mean | 7.96763 × 105 | 8.54782 × 105 | 8.94035 × 105 | 9.28942 × 105 | |
| Std | 2.97441 × 102 | 2.98455 × 102 | 4.42600 × 102 | 0.00000 × 100 | |
| Gap | 1.43984 × 10−2 | 9.14332 × 10−3 | 2.82751 × 10−2 | 0.00000 × 100 | |
| BinIPKO-TF1 | Best | 7.96648 × 105 | 8.54704 × 105 | 8.93782 × 105 | 9.28942 × 105 |
| Mean | 7.96677 × 105 | 8.54704 × 105 | 8.93790 × 105 | 9.28942 × 105 | |
| Std | 1.57066 × 102 | 5.92027 × 10−10 | 4.12663 × 101 | 0.00000 × 100 | |
| Gap | 3.59961 × 10−3 | 0.00000 × 100 | 8.42953 × 10−4 | 0.00000 × 100 | |
| BinPKO-TF2 | Best | 7.96648 × 105 | 8.54704 × 105 | 8.93782 × 105 | 9.28942 × 105 |
| Mean | 7.97134 × 105 | 8.55607 × 105 | 8.94394 × 105 | 9.28942 × 105 | |
| Std | 5.69246 × 102 | 1.46409 × 103 | 1.09232 × 103 | 0.00000 × 100 | |
| Gap | 6.09272 × 10−2 | 1.05576 × 10−1 | 6.84515 × 10−2 | 0.00000 × 100 | |
| BinIPKO-TF2 | Best | 7.96648 × 105 | 8.54704 × 105 | 8.93782 × 105 | 9.28942 × 105 |
| Mean | 7.96648 × 105 | 8.54704 × 105 | 8.93839 × 105 | 9.28942 × 105 | |
| Std | 0.00000 × 100 | 5.92027 × 10−10 | 1.94379 × 102 | 0.00000 × 100 | |
| Gap | 0.00000 × 100 | 0.00000 × 100 | 6.32938 × 10−3 | 0.00000 × 100 | |
| BinPKO-TF3 | Best | 7.96648 × 105 | 8.54704 × 105 | 8.94574 × 105 | 9.36052 × 105 |
| Mean | 7.97815 × 105 | 8.57757 × 105 | 9.00544 × 105 | 9.48694 × 105 | |
| Std | 5.30133 × 102 | 1.32310 × 103 | 2.78733 × 103 | 6.06607 × 103 | |
| Gap | 1.46472 × 10−1 | 3.57214 × 10−1 | 7.56598 × 10−1 | 2.12635 × 100 | |
| BinIPKO-TF3 | Best | 7.96648 × 105 | 8.55781 × 105 | 8.94008 × 105 | 9.30027 × 105 |
| Mean | 7.97924 × 105 | 8.58685 × 105 | 9.00853 × 105 | 9.47766 × 105 | |
| Std | 8.14642 × 102 | 1.35516 × 103 | 2.54668 × 103 | 6.44339 × 103 | |
| Gap | 1.60162 × 10−1 | 4.65765 × 10−1 | 7.91095 × 10−1 | 2.02646 × 100 | |
| BinPKO-TF4 | Best | 7.96648 × 105 | 8.56113 × 105 | 8.98406 × 105 | 9.30027 × 105 |
| Mean | 7.99657 × 105 | 8.59438 × 105 | 9.02626 × 105 | 9.50742 × 105 | |
| Std | 9.89740 × 102 | 1.67411 × 103 | 2.79217 × 103 | 6.38111 × 103 | |
| Gap | 3.77615 × 10−1 | 5.53822 × 10−1 | 9.89539 × 10−1 | 2.34676 × 100 | |
| BinIPKO-TF4 | Best | 7.97582 × 105 | 8.56767 × 105 | 8.95462 × 105 | 9.32527 × 105 |
| Mean | 7.99593 × 105 | 8.59594 × 105 | 9.02068 × 105 | 9.50128 × 105 | |
| Std | 1.05738 × 103 | 1.60487 × 103 | 3.03706 × 103 | 6.26330 × 103 | |
| Gap | 3.69656 × 10−1 | 5.72068 × 10−1 | 9.27056 × 10−1 | 2.28068 × 100 | |
| BinPKO-TF5 | Best | 7.97657 × 105 | 8.56719 × 105 | 8.94008 × 105 | 9.35592 × 105 |
| Mean | 8.00448 × 105 | 8.60400 × 105 | 9.01864 × 105 | 9.48338 × 105 | |
| Std | 1.32470 × 103 | 2.08137 × 103 | 3.84782 × 103 | 5.34060 × 103 | |
| Gap | 4.76890 × 10−1 | 6.66406 × 10−1 | 9.04249 × 10−1 | 2.08800 × 100 | |
| BinIPKO-TF5 | Best | 7.97602 × 105 | 8.57049 × 105 | 8.97532 × 105 | 9.30027 × 105 |
| Mean | 8.00635 × 105 | 8.59925 × 105 | 9.03252 × 105 | 9.49339 × 105 | |
| Std | 1.29206 × 103 | 1.86989 × 103 | 2.65849 × 103 | 6.39045 × 103 | |
| Gap | 5.00366 × 10−1 | 6.10793 × 10−1 | 1.05957 × 100 | 2.19572 × 100 | |
| BinPKO-TF6 | Best | 7.97582 × 105 | 8.56004 × 105 | 8.98447 × 105 | 9.35106 × 105 |
| Mean | 8.00548 × 105 | 8.60387 × 105 | 9.02766 × 105 | 9.49515 × 105 | |
| Std | 1.29314 × 103 | 1.99052 × 103 | 2.49645 × 103 | 5.33981 × 103 | |
| Gap | 4.89517 × 10−1 | 6.64924 × 10−1 | 1.00516 × 100 | 2.21471 × 100 | |
| BinIPKO-TF6 | Best | 7.98535 × 105 | 8.57308 × 105 | 8.98103 × 105 | 9.32527 × 105 |
| Mean | 8.00971 × 105 | 8.60496 × 105 | 9.02884 × 105 | 9.48383 × 105 | |
| Std | 1.10792 × 103 | 1.69721 × 103 | 2.64880 × 103 | 5.90283 × 103 | |
| Gap | 5.42537 × 10−1 | 6.77693 × 10−1 | 1.01838 × 100 | 2.09279 × 100 | |
| BinPKO-TF7 | Best | 7.96648 × 105 | 8.54704 × 105 | 8.93782 × 105 | 9.28942 × 105 |
| Mean | 7.97090 × 105 | 8.55800 × 105 | 8.94324 × 105 | 9.29204 × 105 | |
| Std | 5.43334 × 102 | 8.94071 × 102 | 6.06135 × 102 | 6.34413 × 102 | |
| Gap | 5.53771 × 10−2 | 1.28183 × 10−1 | 6.06139 × 10−2 | 2.82698 × 10−2 | |
| BinIPKO-TF7 | Best | 7.96648 × 105 | 8.54704 × 105 | 8.93782 × 105 | 9.28942 × 105 |
| Mean | 7.97234 × 105 | 8.55352 × 105 | 8.93978 × 105 | 9.28959 × 105 | |
| Std | 6.56207 × 102 | 7.08176 × 102 | 3.29505 × 102 | 9.47971 × 101 | |
| Gap | 7.34806 × 10−2 | 7.57417 × 10−2 | 2.19351 × 10−2 | 1.86314 × 10−3 | |
| BinPKO-TF8 | Best | 7.96648 × 105 | 8.54704 × 105 | 8.93782 × 105 | 9.28942 × 105 |
| Mean | 7.97347 × 105 | 8.55745 × 105 | 8.94197 × 105 | 9.29250 × 105 | |
| Std | 6.57000 × 102 | 7.53952 × 102 | 5.12541 × 102 | 9.21515 × 102 | |
| Gap | 8.77254 × 10−2 | 1.21774 × 10−1 | 4.64226 × 10−2 | 3.31310 × 10−2 | |
| BinIPKO-TF8 | Best | 7.96648 × 105 | 8.54704 × 105 | 8.93782 × 105 | 9.28942 × 105 |
| Mean | 7.97584 × 105 | 8.55682 × 105 | 8.94254 × 105 | 9.28978 × 105 | |
| Std | 7.97502 × 102 | 6.87482 × 102 | 4.82851 × 102 | 1.98056 × 102 | |
| Gap | 1.17438 × 10−1 | 1.14407 × 10−1 | 5.28358 × 10−2 | 3.89260 × 10−3 | |
| BinPKO-TF9 | Best | 7.96648 × 105 | 8.54704 × 105 | 8.93782 × 105 | 9.28942 × 105 |
| Mean | 7.98122 × 105 | 8.56122 × 105 | 8.94688 × 105 | 9.29322 × 105 | |
| Std | 9.88121 × 102 | 8.92035 × 102 | 9.76051 × 102 | 1.21407 × 103 | |
| Gap | 1.84923 × 10−1 | 1.65842 × 10−1 | 1.01407 × 10−1 | 4.09077 × 10−2 | |
| BinIPKO-TF9 | Best | 7.96648 × 105 | 8.54704 × 105 | 8.93782 × 105 | 9.28942 × 105 |
| Mean | 7.98369 × 105 | 8.56124 × 105 | 8.94118 × 105 | 9.28959 × 105 | |
| Std | 1.04651 × 103 | 8.38228 × 102 | 3.72978 × 102 | 9.47971 × 101 | |
| Gap | 2.15993 × 10−1 | 1.66137 × 10−1 | 3.75407 × 10−2 | 1.86314 × 10−3 | |
| BinPKO-TF10 | Best | 7.96648 × 105 | 8.54704 × 105 | 8.93782 × 105 | 9.28942 × 105 |
| Mean | 7.99617 × 105 | 8.57219 × 105 | 8.94998 × 105 | 9.29911 × 105 | |
| Std | 1.60573 × 103 | 1.04605 × 103 | 1.01691 × 103 | 1.68371 × 103 | |
| Gap | 3.72679 × 10−1 | 2.94181 × 10−1 | 1.36053 × 10−1 | 1.04337 × 10−1 | |
| BinIPKO-TF10 | Best | 7.96648 × 105 | 8.55467 × 105 | 8.93782 × 105 | 9.28942 × 105 |
| Mean | 7.99757 × 105 | 8.57201 × 105 | 8.94749 × 105 | 9.29803 × 105 | |
| Std | 1.21686 × 103 | 9.05276 × 102 | 9.38521 × 102 | 1.66616 × 103 | |
| Gap | 3.90234 × 10−1 | 2.92161 × 10−1 | 1.08125 × 10−1 | 9.27030 × 10−2 | |
| BinPKO-TF11 | Best | 8.09693 × 105 | 8.73002 × 105 | 9.25999 × 105 | 9.86475 × 105 |
| Mean | 8.22828 × 105 | 8.91012 × 105 | 9.51383 × 105 | 1.02698 × 106 | |
| Std | 6.01281 × 103 | 1.05434 × 104 | 1.30880 × 104 | 1.58659 × 104 | |
| Gap | 3.28618 × 100 | 4.24801 × 100 | 6.44459 × 100 | 1.05537 × 101 | |
| BinIPKO-TF11 | Best | 8.05276 × 105 | 8.73985 × 105 | 9.12962 × 105 | 9.78363 × 105 |
| Mean | 8.21513 × 105 | 8.89765 × 105 | 9.44013 × 105 | 1.02261 × 106 | |
| Std | 6.68806 × 103 | 8.13190 × 103 | 1.30560 × 104 | 1.86474 × 104 | |
| Gap | 3.12121 × 100 | 4.10208 × 100 | 5.61998 × 100 | 1.00831 × 101 | |
| BinPKO-TF12 | Best | 8.08918 × 105 | 8.70586 × 105 | 9.22297 × 105 | 9.70917 × 105 |
| Mean | 8.22204 × 105 | 8.88256 × 105 | 9.45172 × 105 | 1.02123 × 106 | |
| Std | 6.64128 × 103 | 9.66595 × 103 | 1.19891 × 104 | 2.04739 × 104 | |
| Gap | 3.20783 × 100 | 3.92556 × 100 | 5.74972 × 100 | 9.93530 × 100 | |
| BinIPKO-TF12 | Best | 8.09627 × 105 | 8.77943 × 105 | 9.21250 × 105 | 9.89585 × 105 |
| Mean | 8.22683 × 105 | 8.91138 × 105 | 9.44898 × 105 | 1.02470 × 106 | |
| Std | 7.33939 × 103 | 5.97800 × 103 | 1.25558 × 104 | 1.64329 × 104 | |
| Gap | 3.26798 × 100 | 4.26270 × 100 | 5.71910 × 100 | 1.03080 × 101 | |
| BinPKO-TF13 | Best | 8.10529 × 105 | 8.79266 × 105 | 9.13357 × 105 | 9.87442 × 105 |
| Mean | 8.22917 × 105 | 8.91150 × 105 | 9.48391 × 105 | 1.02785 × 106 | |
| Std | 6.19321 × 103 | 7.28259 × 103 | 1.43674 × 104 | 1.60481 × 104 | |
| Gap | 3.29736 × 100 | 4.26409 × 100 | 6.10982 × 100 | 1.06473 × 101 | |
| BinIPKO-TF13 | Best | 8.05602 × 105 | 8.70434 × 105 | 9.37510 × 105 | 9.77003 × 105 |
| Mean | 8.24208 × 105 | 8.88578 × 105 | 9.55590 × 105 | 1.02142 × 106 | |
| Std | 7.08162 × 103 | 8.16380 × 103 | 1.07977 × 104 | 1.99370 × 104 | |
| Gap | 3.45945 × 100 | 3.96320 × 100 | 6.91532 × 100 | 9.95553 × 100 | |
| BinPKO-TF14 | Best | 8.12815 × 105 | 8.66163 × 105 | 9.13113 × 105 | 9.64350 × 105 |
| Mean | 8.24995 × 105 | 8.87272 × 105 | 9.41829 × 105 | 1.02292 × 106 | |
| Std | 5.21353 × 103 | 1.12519 × 104 | 1.28093 × 104 | 1.81372 × 104 | |
| Gap | 3.55818 × 100 | 3.81044 × 100 | 5.37574 × 100 | 1.01162 × 101 | |
| BinIPKO-TF14 | Best | 8.10178 × 105 | 8.66168 × 105 | 9.27941 × 105 | 9.58855 × 105 |
| Mean | 8.24465 × 105 | 8.89090 × 105 | 9.45801 × 105 | 1.01559 × 106 | |
| Std | 6.87469 × 103 | 8.30473 × 103 | 1.12622 × 104 | 2.13769 × 104 | |
| Gap | 3.49166 × 100 | 4.02316 × 100 | 5.82009 × 100 | 9.32805 × 100 |
| TF | Criteria | Cap131 | Cap132 | Cap133 | Cap134 |
|---|---|---|---|---|---|
| BinPKO-TF1 | Best | 7.93440 × 105 | 8.51495 × 105 | 8.93077 × 105 | 9.28942 × 105 |
| Mean | 7.95744 × 105 | 8.53656 × 105 | 8.94283 × 105 | 9.29152 × 105 | |
| Std | 1.83036 × 103 | 2.48894 × 103 | 9.05425 × 102 | 5.00087 × 102 | |
| Gap | 2.90477 × 10−1 | 2.53730 × 10−1 | 1.35041 × 10−1 | 2.26060 × 10−2 | |
| BinIPKO-TF1 | Best | 7.93440 × 105 | 8.51495 × 105 | 8.93077 × 105 | 9.28942 × 105 |
| Mean | 7.93554 × 105 | 8.51495 × 105 | 8.93295 × 105 | 9.28942 × 105 | |
| Std | 2.97441 × 102 | 5.92027 × 10−10 | 3.76595 × 102 | 0.00000 × 100 | |
| Gap | 1.44567 × 10−2 | 0.00000 × 100 | 2.43914 × 10−2 | 0.00000 × 100 | |
| BinPKO-TF2 | Best | 7.93440 × 105 | 8.51495 × 105 | 8.93077 × 105 | 9.28942 × 105 |
| Mean | 7.98909 × 105 | 8.56645 × 105 | 8.95955 × 105 | 9.29701 × 105 | |
| Std | 4.03861 × 103 | 3.09999 × 103 | 2.83835 × 103 | 1.95408 × 103 | |
| Gap | 6.89355 × 10−1 | 6.04727 × 10−1 | 3.22293 × 10−1 | 8.17305 × 10−2 | |
| BinIPKO-TF2 | Best | 7.93440 × 105 | 8.51495 × 105 | 8.93077 × 105 | 9.28942 × 105 |
| Mean | 7.94083 × 105 | 8.51701 × 105 | 8.93603 × 105 | 9.28942 × 105 | |
| Std | 1.00721 × 103 | 5.07780 × 102 | 5.32750 × 102 | 0.00000 × 100 | |
| Gap | 8.10563 × 10−2 | 2.41886 × 10−2 | 5.89222 × 10−2 | 0.00000 × 100 | |
| BinPKO-TF3 | Best | 8.19741 × 105 | 9.05389 × 105 | 9.64104 × 105 | 1.06948 × 106 |
| Mean | 8.29716 × 105 | 9.15894 × 105 | 9.88944 × 105 | 1.09356 × 106 | |
| Std | 3.77918 × 103 | 5.88351 × 103 | 1.05172 × 104 | 1.34806 × 104 | |
| Gap | 4.57200 × 100 | 7.56303 × 100 | 1.07345 × 101 | 1.77213 × 101 | |
| BinIPKO-TF3 | Best | 8.16417 × 105 | 8.95754 × 105 | 9.66357 × 105 | 1.05666 × 106 |
| Mean | 8.30818 × 105 | 9.15563 × 105 | 9.90453 × 105 | 1.09211 × 106 | |
| Std | 4.08425 × 103 | 8.44647 × 103 | 1.08006 × 104 | 1.92734 × 104 | |
| Gap | 4.71093 × 100 | 7.52411 × 100 | 1.09035 × 101 | 1.75650 × 101 | |
| BinPKO-TF4 | Best | 8.21487 × 105 | 9.01221 × 105 | 9.76415 × 105 | 1.06282 × 106 |
| Mean | 8.31690 × 105 | 9.18139 × 105 | 9.96565 × 105 | 1.09727 × 106 | |
| Std | 4.28930 × 103 | 8.69661 × 103 | 8.22245 × 103 | 1.44981 × 104 | |
| Gap | 4.82084 × 100 | 7.82670 × 100 | 1.15878 × 101 | 1.81209 × 101 | |
| BinIPKO-TF4 | Best | 8.23568 × 105 | 9.02364 × 105 | 9.60898 × 105 | 1.03341 × 106 |
| Mean | 8.32745 × 105 | 9.18302 × 105 | 9.92484 × 105 | 1.09439 × 106 | |
| Std | 4.78583 × 103 | 6.35166 × 103 | 1.25641 × 104 | 1.92490 × 104 | |
| Gap | 4.95387 × 100 | 7.84586 × 100 | 1.11308 × 101 | 1.78109 × 101 | |
| BinPKO-TF5 | Best | 8.20085 × 105 | 8.92917 × 105 | 9.69358 × 105 | 1.06112 × 106 |
| Mean | 8.30929 × 105 | 9.14490 × 105 | 9.85861 × 105 | 1.08686 × 106 | |
| Std | 4.58429 × 103 | 7.46544 × 103 | 9.06667 × 103 | 1.34579 × 104 | |
| Gap | 4.72489 × 100 | 7.39809 × 100 | 1.03893 × 101 | 1.70000 × 101 | |
| BinIPKO-TF5 | Best | 8.21467 × 105 | 9.01631 × 105 | 9.71180 × 105 | 1.06534 × 106 |
| Mean | 8.31458 × 105 | 9.14879 × 105 | 9.88396 × 105 | 1.08978 × 106 | |
| Std | 3.54862 × 103 | 6.25996 × 103 | 7.76294 × 103 | 1.48157 × 104 | |
| Gap | 4.79165 × 100 | 7.44383 × 100 | 1.06731 × 101 | 1.73141 × 101 | |
| BinPKO-TF6 | Best | 8.19018 × 105 | 8.96594 × 105 | 9.69404 × 105 | 1.05831 × 106 |
| Mean | 8.30942 × 105 | 9.13843 × 105 | 9.87061 × 105 | 1.08524 × 106 | |
| Std | 4.34832 × 103 | 7.35362 × 103 | 9.11592 × 103 | 1.16862 × 104 | |
| Gap | 4.72661 × 100 | 7.32212 × 100 | 1.05237 × 101 | 1.68259 × 101 | |
| BinIPKO-TF6 | Best | 8.24970 × 105 | 9.02716 × 105 | 9.54899 × 105 | 1.03423 × 106 |
| Mean | 8.31678 × 105 | 9.14710 × 105 | 9.83919 × 105 | 1.08494 × 106 | |
| Std | 3.52286 × 103 | 5.49625 × 103 | 1.18609 × 104 | 1.56446 × 104 | |
| Gap | 4.81928 × 100 | 7.42401 × 100 | 1.01718 × 101 | 1.67926 × 101 | |
| BinPKO-TF7 | Best | 8.03370 × 105 | 8.59952 × 105 | 8.93252 × 105 | 9.29478 × 105 |
| Mean | 8.11274 × 105 | 8.72893 × 105 | 9.15342 × 105 | 9.65789 × 105 | |
| Std | 3.73728 × 103 | 6.18965 × 103 | 1.10639 × 104 | 1.74727 × 104 | |
| Gap | 2.24776 × 100 | 2.51297 × 100 | 2.49315 × 100 | 3.96656 × 100 | |
| BinIPKO-TF7 | Best | 7.99106 × 105 | 8.55187 × 105 | 8.94664 × 105 | 9.32592 × 105 |
| Mean | 8.08626 × 105 | 8.67850 × 105 | 9.09151 × 105 | 9.52237 × 105 | |
| Std | 4.05172 × 103 | 5.16189 × 103 | 7.37742 × 103 | 1.06900 × 104 | |
| Gap | 1.91400 × 100 | 1.92069 × 100 | 1.79983 × 100 | 2.50774 × 100 | |
| BinPKO-TF8 | Best | 8.04049 × 105 | 8.56800 × 105 | 9.00528 × 105 | 9.30562 × 105 |
| Mean | 8.12307 × 105 | 8.72111 × 105 | 9.15252 × 105 | 9.63548 × 105 | |
| Std | 4.15541 × 103 | 7.53774 × 103 | 8.25412 × 103 | 1.59497 × 104 | |
| Gap | 2.37798 × 100 | 2.42115 × 100 | 2.48301 × 100 | 3.72537 × 100 | |
| BinIPKO-TF8 | Best | 8.06867 × 105 | 8.54824 × 105 | 9.00203 × 105 | 9.28942 × 105 |
| Mean | 8.11039 × 105 | 8.68105 × 105 | 9.10941 × 105 | 9.52179 × 105 | |
| Std | 2.70513 × 103 | 4.88606 × 103 | 5.71475 × 103 | 1.12558 × 104 | |
| Gap | 2.21814 × 100 | 1.95064 × 100 | 2.00026 × 100 | 2.50147 × 100 | |
| BinPKO-TF9 | Best | 8.08349 × 105 | 8.64715 × 105 | 9.07755 × 105 | 9.35123 × 105 |
| Mean | 8.14399 × 105 | 8.75954 × 105 | 9.20286 × 105 | 9.64699 × 105 | |
| Std | 3.40276 × 103 | 5.16997 × 103 | 6.56889 × 103 | 1.35919 × 104 | |
| Gap | 2.64163 × 100 | 2.87248 × 100 | 3.04671 × 100 | 3.84925 × 100 | |
| BinIPKO-TF9 | Best | 8.02290 × 105 | 8.63723 × 105 | 9.00843 × 105 | 9.42784 × 105 |
| Mean | 8.12352 × 105 | 8.71327 × 105 | 9.14453 × 105 | 9.62647 × 105 | |
| Std | 4.04252 × 103 | 3.54353 × 103 | 6.08124 × 103 | 1.28502 × 104 | |
| Gap | 2.38357 × 100 | 2.32904 × 100 | 2.39352 × 100 | 3.62832 × 100 | |
| BinPKO-TF10 | Best | 8.10070 × 105 | 8.68537 × 105 | 9.03633 × 105 | 9.44056 × 105 |
| Mean | 8.16355 × 105 | 8.76007 × 105 | 9.17637 × 105 | 9.67127 × 105 | |
| Std | 3.25408 × 103 | 3.89242 × 103 | 5.45872 × 103 | 1.02862 × 104 | |
| Gap | 2.88806 × 100 | 2.87868 × 100 | 2.75002 × 100 | 4.11066 × 100 | |
| BinIPKO-TF10 | Best | 8.08092 × 105 | 8.66000 × 105 | 9.04728 × 105 | 9.47674 × 105 |
| Mean | 8.14749 × 105 | 8.74959 × 105 | 9.17259 × 105 | 9.65874 × 105 | |
| Std | 3.35725 × 103 | 3.78776 × 103 | 5.88845 × 103 | 8.65389 × 103 | |
| Gap | 2.68572 × 100 | 2.75554 × 100 | 2.70770 × 100 | 3.97577 × 100 | |
| BinPKO-TF11 | Best | 8.48670 × 105 | 9.48259 × 105 | 1.03814 × 106 | 1.17130 × 106 |
| Mean | 8.75153 × 105 | 9.94077 × 105 | 1.10123 × 106 | 1.24969 × 106 | |
| Std | 1.15472 × 104 | 1.86790 × 104 | 2.55738 × 104 | 3.81273 × 104 | |
| Gap | 1.02986 × 101 | 1.67448 × 101 | 2.33078 × 101 | 3.45282 × 101 | |
| BinIPKO-TF11 | Best | 8.60426 × 105 | 9.62452 × 105 | 1.04368 × 106 | 1.20114 × 106 |
| Mean | 8.75531 × 105 | 9.96982 × 105 | 1.10822 × 106 | 1.26096 × 106 | |
| Std | 9.90571 × 103 | 1.37942 × 104 | 2.68366 × 104 | 3.06623 × 104 | |
| Gap | 1.03463 × 101 | 1.70860 × 101 | 2.40897 × 101 | 3.57411 × 101 | |
| BinPKO-TF12 | Best | 8.48973 × 105 | 9.64051 × 105 | 1.03484 × 106 | 1.14920 × 106 |
| Mean | 8.73764 × 105 | 9.87757 × 105 | 1.08623 × 106 | 1.22907 × 106 | |
| Std | 9.28738 × 103 | 1.30846 × 104 | 2.17634 × 104 | 4.05566 × 104 | |
| Gap | 1.01236 × 101 | 1.60026 × 101 | 2.16281 × 101 | 3.23084 × 101 | |
| BinIPKO-TF12 | Best | 8.55156 × 105 | 9.59776 × 105 | 1.00755 × 106 | 1.15256 × 106 |
| Mean | 8.71691 × 105 | 9.81465 × 105 | 1.08979 × 106 | 1.23707 × 106 | |
| Std | 1.01954 × 104 | 1.27011 × 104 | 2.82388 × 104 | 3.34929 × 104 | |
| Gap | 9.86227 × 100 | 1.52637 × 101 | 2.20261 × 101 | 3.31696 × 101 | |
| BinPKO-TF13 | Best | 8.51444 × 105 | 9.55657 × 105 | 1.01875 × 106 | 1.16489 × 106 |
| Mean | 8.73039 × 105 | 9.84412 × 105 | 1.08140 × 106 | 1.23800 × 106 | |
| Std | 8.67566 × 103 | 1.32521 × 104 | 2.46270 × 104 | 2.84772 × 104 | |
| Gap | 1.00322 × 101 | 1.56098 × 101 | 2.10866 × 101 | 3.32700 × 101 | |
| BinIPKO-TF13 | Best | 8.47396 × 105 | 9.48811 × 105 | 1.04075 × 106 | 1.13664 × 106 |
| Mean | 8.70010 × 105 | 9.84343 × 105 | 1.08763 × 106 | 1.23016 × 106 | |
| Std | 9.91108 × 103 | 1.48656 × 104 | 2.51769 × 104 | 4.02794 × 104 | |
| Gap | 9.65043 × 100 | 1.56016 × 101 | 2.17842 × 101 | 3.24264 × 101 | |
| BinPKO-TF14 | Best | 8.56100 × 105 | 9.51041 × 105 | 1.03463 × 106 | 1.14607 × 106 |
| Mean | 8.73557 × 105 | 9.78055 × 105 | 1.08099 × 106 | 1.22025 × 106 | |
| Std | 1.05721 × 104 | 1.50596 × 104 | 1.95972 × 104 | 3.03883 × 104 | |
| Gap | 1.00975 × 101 | 1.48633 × 101 | 2.10416 × 101 | 3.13592 × 101 | |
| BinIPKO-TF14 | Best | 8.54288 × 105 | 9.45346 × 105 | 1.02589 × 106 | 1.13448 × 106 |
| Mean | 8.69417 × 105 | 9.80105 × 105 | 1.08315 × 106 | 1.22875 × 106 | |
| Std | 9.04685 × 103 | 1.73450 × 104 | 2.37115 × 104 | 3.10264 × 104 | |
| Gap | 9.57565 × 100 | 1.51040 × 101 | 2.12825 × 101 | 3.22740 × 101 |
| TF | Criteria | CapA | CapB | CapC |
|---|---|---|---|---|
| BinPKO-TF1 | Best | 1.71565 × 107 | 1.30191 × 107 | 1.15308 × 107 |
| Mean | 1.77950 × 107 | 1.33178 × 107 | 1.18429 × 107 | |
| Std | 4.42841 × 105 | 1.71254 × 105 | 1.34772 × 105 | |
| Gap | 3.72188 × 100 | 2.60956 × 100 | 2.93190 × 100 | |
| BinIPKO-TF1 | Best | 1.71565 × 107 | 1.29791 × 107 | 1.15094 × 107 |
| Mean | 1.71995 × 107 | 1.30691 × 107 | 1.16009 × 107 | |
| Std | 8.06209 × 104 | 5.25145 × 104 | 5.48158 × 104 | |
| Gap | 2.51154 × 10−1 | 6.93514 × 10−1 | 8.28749 × 10−1 | |
| BinPKO-TF2 | Best | 1.71565 × 107 | 1.29791 × 107 | 1.16782 × 107 |
| Mean | 1.78138 × 107 | 1.34044 × 107 | 1.19615 × 107 | |
| Std | 4.48612 × 105 | 2.28607 × 105 | 1.87604 × 105 | |
| Gap | 3.83142 × 100 | 3.27709 × 100 | 3.96234 × 100 | |
| BinIPKO-TF2 | Best | 1.71565 × 107 | 1.30573 × 107 | 1.15446 × 107 |
| Mean | 1.78233 × 107 | 1.33945 × 107 | 1.17920 × 107 | |
| Std | 6.27078 × 105 | 2.88737 × 105 | 1.43806 × 105 | |
| Gap | 3.88672 × 100 | 3.20093 × 100 | 2.48965 × 100 | |
| BinPKO-TF3 | Best | 5.71948 × 107 | 2.75484 × 107 | 2.10996 × 107 |
| Mean | 6.33999 × 107 | 2.94208 × 107 | 2.23612 × 107 | |
| Std | 2.45707 × 106 | 9.64487 × 105 | 5.85699 × 105 | |
| Gap | 2.69540 × 102 | 1.26679 × 102 | 9.43505 × 101 | |
| BinIPKO-TF3 | Best | 5.70545 × 107 | 2.75217 × 107 | 2.16105 × 107 |
| Mean | 6.30430 × 107 | 2.91523 × 107 | 2.26801 × 107 | |
| Std | 2.81273 × 106 | 8.63278 × 105 | 5.81432 × 105 | |
| Gap | 2.67460 × 102 | 1.24610 × 102 | 9.71222 × 101 | |
| BinPKO-TF4 | Best | 5.90987 × 107 | 2.70574 × 107 | 2.01927 × 107 |
| Mean | 6.30919 × 107 | 2.91384 × 107 | 2.19720 × 107 | |
| Std | 2.00824 × 106 | 8.86741 × 105 | 7.56766 × 105 | |
| Gap | 2.67745 × 102 | 1.24503 × 102 | 9.09684 × 101 | |
| BinIPKO-TF4 | Best | 5.78289 × 107 | 2.63409 × 107 | 2.02061 × 107 |
| Mean | 6.30251 × 107 | 2.89073 × 107 | 2.19114 × 107 | |
| Std | 2.16834 × 106 | 8.99640 × 105 | 6.76432 × 105 | |
| Gap | 2.67355 × 102 | 1.22723 × 102 | 9.04413 × 101 | |
| BinPKO-TF5 | Best | 5.26343 × 107 | 2.39854 × 107 | 2.07397 × 107 |
| Mean | 6.07820 × 107 | 2.81698 × 107 | 2.16994 × 107 | |
| Std | 2.91145 × 106 | 1.20191 × 106 | 4.57414 × 105 | |
| Gap | 2.54281 × 102 | 1.17040 × 102 | 8.85985 × 101 | |
| BinIPKO-TF5 | Best | 5.27869 × 107 | 2.72044 × 107 | 2.02129 × 107 |
| Mean | 6.11866 × 107 | 2.85107 × 107 | 2.14842 × 107 | |
| Std | 2.34815 × 106 | 7.17351 × 105 | 6.04955 × 105 | |
| Gap | 2.56639 × 102 | 1.19666 × 102 | 8.67283 × 101 | |
| BinPKO-TF6 | Best | 5.53381 × 107 | 2.58254 × 107 | 2.00351 × 107 |
| Mean | 6.00632 × 107 | 2.75460 × 107 | 2.12791 × 107 | |
| Std | 2.13342 × 106 | 8.18270 × 105 | 6.04248 × 105 | |
| Gap | 2.50091 × 102 | 1.12234 × 102 | 8.49458 × 101 | |
| BinIPKO-TF6 | Best | 5.59181 × 107 | 2.48964 × 107 | 2.04015 × 107 |
| Mean | 6.01487 × 107 | 2.78610 × 107 | 2.12888 × 107 | |
| Std | 1.93780 × 106 | 1.19760 × 106 | 4.33060 × 105 | |
| Gap | 2.50590 × 102 | 1.14661 × 102 | 8.50296 × 101 | |
| BinPKO-TF7 | Best | 2.03764 × 107 | 1.57416 × 107 | 1.32316 × 107 |
| Mean | 3.36916 × 107 | 1.82940 × 107 | 1.47831 × 107 | |
| Std | 4.00894 × 106 | 1.17071 × 106 | 7.00122 × 105 | |
| Gap | 9.63785 × 101 | 4.09503 × 101 | 2.84861 × 101 | |
| BinIPKO-TF7 | Best | 2.38745 × 107 | 1.44706 × 107 | 1.33923 × 107 |
| Mean | 2.93452 × 107 | 1.67204 × 107 | 1.42944 × 107 | |
| Std | 2.44130 × 106 | 1.03206 × 106 | 5.09938 × 105 | |
| Gap | 7.10449 × 101 | 2.88262 × 101 | 2.42385 × 101 | |
| BinPKO-TF8 | Best | 2.65171 × 107 | 1.60146 × 107 | 1.30241 × 107 |
| Mean | 3.22467 × 107 | 1.79422 × 107 | 1.48652 × 107 | |
| Std | 3.12743 × 106 | 8.26445 × 105 | 6.12360 × 105 | |
| Gap | 8.79567 × 101 | 3.82391 × 101 | 2.91998 × 101 | |
| BinIPKO-TF8 | Best | 2.41268 × 107 | 1.52273 × 107 | 1.34486 × 107 |
| Mean | 3.01530 × 107 | 1.69125 × 107 | 1.42031 × 107 | |
| Std | 2.37732 × 106 | 8.25919 × 105 | 3.95200 × 105 | |
| Gap | 7.57529 × 101 | 3.03062 × 101 | 2.34455 × 101 | |
| BinPKO-TF9 | Best | 2.66924 × 107 | 1.49497 × 107 | 1.32327 × 107 |
| Mean | 3.16059 × 107 | 1.75518 × 107 | 1.44936 × 107 | |
| Std | 2.23648 × 106 | 9.49793 × 105 | 4.99413 × 105 | |
| Gap | 8.42218 × 101 | 3.52317 × 101 | 2.59696 × 101 | |
| BinIPKO-TF9 | Best | 2.66589 × 107 | 1.56835 × 107 | 1.31494 × 107 |
| Mean | 3.07329 × 107 | 1.71333 × 107 | 1.42215 × 107 | |
| Std | 1.74879 × 106 | 6.90253 × 105 | 4.09186 × 105 | |
| Gap | 7.91335 × 101 | 3.20075 × 101 | 2.36050 × 101 | |
| BinPKO-TF10 | Best | 2.66908 × 107 | 1.59514 × 107 | 1.32660 × 107 |
| Mean | 3.01545 × 107 | 1.70191 × 107 | 1.43033 × 107 | |
| Std | 1.54591 × 106 | 5.25766 × 105 | 3.92094 × 105 | |
| Gap | 7.57616 × 101 | 3.11273 × 101 | 2.43159 × 101 | |
| BinIPKO-TF10 | Best | 2.46667 × 107 | 1.54393 × 107 | 1.31880 × 107 |
| Mean | 2.93951 × 107 | 1.68527 × 107 | 1.41018 × 107 | |
| Std | 1.95873 × 106 | 6.04234 × 105 | 3.61209 × 105 | |
| Gap | 7.13356 × 101 | 2.98454 × 101 | 2.25649 × 101 | |
| BinPKO-TF11 | Best | 7.50320 × 107 | 3.40871 × 107 | 2.33666 × 107 |
| Mean | 8.50539 × 107 | 3.74677 × 107 | 2.78992 × 107 | |
| Std | 5.18131 × 106 | 1.43298 × 106 | 1.41356 × 106 | |
| Gap | 3.95755 × 102 | 1.88678 × 102 | 1.42484 × 102 | |
| BinIPKO-TF11 | Best | 7.15677 × 107 | 3.01865 × 107 | 2.58839 × 107 |
| Mean | 8.49941 × 107 | 3.73931 × 107 | 2.80055 × 107 | |
| Std | 5.30995 × 106 | 2.04611 × 106 | 1.15705 × 106 | |
| Gap | 3.95406 × 102 | 1.88103 × 102 | 1.43408 × 102 | |
| BinPKO-TF12 | Best | 6.94863 × 107 | 3.15054 × 107 | 2.36680 × 107 |
| Mean | 7.86782 × 107 | 3.54019 × 107 | 2.65078 × 107 | |
| Std | 4.19309 × 106 | 1.75698 × 106 | 1.28555 × 106 | |
| Gap | 3.58592 × 102 | 1.72761 × 102 | 1.30390 × 102 | |
| BinIPKO-TF12 | Best | 6.96565 × 107 | 3.26295 × 107 | 2.35454 × 107 |
| Mean | 7.94519 × 107 | 3.55172 × 107 | 2.68609 × 107 | |
| Std | 4.31017 × 106 | 1.39825 × 106 | 1.23503 × 106 | |
| Gap | 3.63102 × 102 | 1.73650 × 102 | 1.33460 × 102 | |
| BinPKO-TF13 | Best | 6.53079 × 107 | 3.24269 × 107 | 2.45539 × 107 |
| Mean | 7.83272 × 107 | 3.55511 × 107 | 2.62887 × 107 | |
| Std | 4.64353 × 106 | 1.45012 × 106 | 9.75295 × 105 | |
| Gap | 3.56547 × 102 | 1.73911 × 102 | 1.28486 × 102 | |
| BinIPKO-TF13 | Best | 6.90070 × 107 | 3.16039 × 107 | 2.49922 × 107 |
| Mean | 7.84538 × 107 | 3.52163 × 107 | 2.65232 × 107 | |
| Std | 3.92122 × 106 | 1.62699 × 106 | 7.91992 × 105 | |
| Gap | 3.57285 × 102 | 1.71331 × 102 | 1.30524 × 102 | |
| BinPKO-TF14 | Best | 6.98460 × 107 | 3.17333 × 107 | 2.26788 × 107 |
| Mean | 7.84517 × 107 | 3.43663 × 107 | 2.60094 × 107 | |
| Std | 3.59008 × 106 | 1.31364 × 106 | 1.44352 × 106 | |
| Gap | 3.57272 × 102 | 1.64782 × 102 | 1.26059 × 102 | |
| BinIPKO-TF14 | Best | 7.13471 × 107 | 3.07604 × 107 | 2.41374 × 107 |
| Mean | 7.80793 × 107 | 3.48597 × 107 | 2.62398 × 107 | |
| Std | 3.97784 × 106 | 1.80289 × 106 | 1.02363 × 106 | |
| Gap | 3.55101 × 102 | 1.68584 × 102 | 1.28061 × 102 |
| Problems | TF1 | TF2 | TF3 | TF4 | TF5 | TF6 | TF7 | TF8 | TF9 | TF10 | TF11 | TF12 | TF13 | TF14 |
|---|---|---|---|---|---|---|---|---|---|---|---|---|---|---|
| Cap71 | 1 | 1 | 1 | 1 | 1 | 1 | 1 | 1 | 1 | 1 | 3 | 5 | 4 | 2 |
| Cap72 | 1 | 1 | 1 | 1 | 1 | 1 | 1 | 1 | 1 | 1 | 3 | 5 | 2 | 4 |
| Cap73 | 1 | 1 | 1 | 1 | 1 | 1 | 1 | 1 | 1 | 1 | 5 | 3 | 2 | 4 |
| Cap74 | 1 | 1 | 1 | 1 | 1 | 1 | 1 | 1 | 1 | 1 | 3 | 2 | 4 | 5 |
| Cap101 | 1 | 1 | 1 | 2 | 3 | 4 | 1 | 1 | 1 | 1 | 5 | 7 | 6 | 8 |
| Cap102 | 1 | 1 | 3 | 4 | 5 | 6 | 1 | 1 | 1 | 2 | 9 | 10 | 8 | 7 |
| Cap103 | 1 | 1 | 2 | 3 | 4 | 5 | 1 | 1 | 1 | 1 | 6 | 7 | 9 | 8 |
| Cap104 | 1 | 1 | 2 | 3 | 2 | 3 | 1 | 1 | 1 | 1 | 6 | 7 | 5 | 4 |
| Cap131 | 1 | 1 | 6 | 8 | 7 | 9 | 2 | 4 | 3 | 5 | 13 | 12 | 10 | 11 |
| Cap132 | 1 | 1 | 6 | 8 | 7 | 9 | 3 | 2 | 4 | 5 | 13 | 12 | 11 | 10 |
| Cap133 | 1 | 1 | 8 | 7 | 9 | 6 | 2 | 3 | 4 | 5 | 13 | 10 | 12 | 11 |
| Cap134 | 1 | 1 | 7 | 5 | 8 | 6 | 2 | 1 | 3 | 4 | 12 | 11 | 10 | 9 |
| CapA | 1 | 1 | 8 | 9 | 6 | 7 | 2 | 3 | 5 | 4 | 13 | 11 | 10 | 12 |
| CapB | 1 | 2 | 10 | 8 | 9 | 7 | 3 | 4 | 6 | 5 | 11 | 14 | 13 | 12 |
| CapC | 1 | 2 | 10 | 7 | 8 | 9 | 5 | 6 | 3 | 4 | 14 | 11 | 13 | 12 |
| Mean Rank | 1.00 | 1.13 | 4.47 | 4.53 | 4.80 | 5.00 | 1.80 | 2.07 | 2.40 | 2.73 | 8.60 | 8.47 | 7.93 | 7.93 |
| Final Rank | 1 | 2 | 7 | 8 | 9 | 10 | 3 | 4 | 5 | 6 | 13 | 14 | 12 | 11 |
| Problems | TF1 | TF2 | TF3 | TF4 | TF5 | TF6 | TF7 | TF8 | TF9 | TF10 | TF11 | TF12 | TF13 | TF14 |
|---|---|---|---|---|---|---|---|---|---|---|---|---|---|---|
| Cap71 | 1 | 1 | 1 | 1 | 2 | 1 | 1 | 1 | 1 | 1 | 3 | 6 | 5 | 4 |
| Cap72 | 1 | 1 | 1 | 1 | 2 | 2 | 1 | 1 | 1 | 1 | 3 | 6 | 4 | 5 |
| Cap73 | 1 | 1 | 2 | 3 | 5 | 4 | 1 | 1 | 1 | 1 | 8 | 9 | 7 | 6 |
| Cap74 | 1 | 1 | 1 | 3 | 4 | 2 | 1 | 1 | 1 | 1 | 5 | 7 | 6 | 8 |
| Cap101 | 2 | 1 | 5 | 7 | 9 | 10 | 3 | 4 | 6 | 8 | 11 | 12 | 13 | 14 |
| Cap102 | 1 | 1 | 6 | 7 | 8 | 9 | 2 | 3 | 4 | 5 | 12 | 13 | 10 | 11 |
| Cap103 | 1 | 2 | 7 | 8 | 10 | 9 | 3 | 5 | 4 | 6 | 11 | 12 | 14 | 13 |
| Cap104 | 1 | 1 | 5 | 8 | 7 | 6 | 2 | 3 | 2 | 4 | 11 | 12 | 10 | 9 |
| Cap131 | 1 | 2 | 7 | 10 | 8 | 9 | 3 | 4 | 5 | 6 | 14 | 13 | 12 | 11 |
| Cap132 | 1 | 2 | 9 | 10 | 8 | 7 | 3 | 4 | 5 | 6 | 14 | 12 | 13 | 11 |
| Cap133 | 1 | 2 | 9 | 10 | 8 | 7 | 3 | 4 | 5 | 6 | 14 | 13 | 12 | 11 |
| Cap134 | 1 | 1 | 8 | 9 | 7 | 6 | 3 | 2 | 4 | 5 | 13 | 12 | 11 | 10 |
| CapA | 1 | 2 | 10 | 9 | 8 | 7 | 3 | 5 | 6 | 4 | 14 | 13 | 12 | 11 |
| CapB | 1 | 2 | 10 | 9 | 8 | 7 | 3 | 5 | 6 | 4 | 14 | 13 | 12 | 11 |
| CapC | 1 | 2 | 10 | 9 | 8 | 7 | 6 | 4 | 5 | 3 | 14 | 13 | 12 | 11 |
| Mean Rank | 1.07 | 1.47 | 6.07 | 6.93 | 6.80 | 6.20 | 2.53 | 3.13 | 3.73 | 4.07 | 10.73 | 11.07 | 10.20 | 9.73 |
| Final Rank | 1 | 2 | 7 | 8 | 9 | 10 | 3 | 6 | 5 | 4 | 14 | 13 | 11 | 12 |
| GWO | APO | PSO | EEFO | BinPKO | BinIPKO | ||
|---|---|---|---|---|---|---|---|
| Cap71 | Best | 9.32616 × 105 | 9.32616 × 105 | 9.50470 × 105 | 9.32616 × 105 | 9.32616 × 105 | 9.32616 × 105 |
| Mean | 9.32908 × 105 | 9.34126 × 105 | 9.50470 × 105 | 9.32616 × 105 | 9.32616 × 105 | 9.32616 × 105 | |
| Std | 5.88039 × 102 | 1.12346 × 103 | 0.00000 × 100 | 0.00000 × 100 | 0.00000 × 100 | 0.00000 × 100 | |
| Gap | 3.13791 × 10−2 | 1.61989 × 10−1 | 1.91445 × 100 | 0.00000 × 100 | 0.00000 × 100 | 0.00000 × 100 | |
| Cap72 | Best | 9.77799 × 105 | 9.77799 × 105 | 1.02547 × 106 | 9.77799 × 105 | 9.77799 × 105 | 9.77799 × 105 |
| Mean | 9.79050 × 105 | 9.78496 × 105 | 1.02547 × 106 | 9.77799 × 105 | 9.77799 × 105 | 9.77799 × 105 | |
| Std | 1.37031 × 103 | 7.60154 × 102 | 0.00000 × 100 | 4.73622 × 10−10 | 4.73622 × 10−10 | 4.73622 × 10−10 | |
| Gap | 1.27914 × 10−1 | 7.12151 × 10−2 | 4.87531 × 100 | 0.00000 × 100 | 0.00000 × 100 | 0.00000 × 100 | |
| Cap73 | Best | 1.01064 × 106 | 1.01064 × 106 | 1.10047 × 106 | 1.01064 × 106 | 1.01064 × 106 | 1.01064 × 106 |
| Mean | 1.01071 × 106 | 1.01067 × 106 | 1.10047 × 106 | 1.01080 × 106 | 1.01064 × 106 | 1.01064 × 106 | |
| Std | 3.35689 × 102 | 6.31922 × 101 | 2.36811 × 10−10 | 3.45135 × 102 | 4.73622 × 10−10 | 4.73622 × 10−10 | |
| Gap | 7.15371 × 10−3 | 2.74929 × 10−3 | 8.88829 × 100 | 1.52198 × 10−2 | 0.00000 × 100 | 0.00000 × 100 | |
| Cap74 | Best | 1.03498 × 106 | 1.03498 × 106 | 1.21297 × 106 | 1.03498 × 106 | 1.03498 × 106 | 1.03498 × 106 |
| Mean | 1.03516 × 106 | 1.03516 × 106 | 1.21297 × 106 | 1.03631 × 106 | 1.03498 × 106 | 1.03498 × 106 | |
| Std | 6.95186 × 102 | 6.95186 × 102 | 0.00000 × 100 | 1.61778 × 103 | 3.55216 × 10−10 | 3.55216 × 10−10 | |
| Gap | 1.76500 × 10−2 | 1.76500 × 10−2 | 1.71978 × 101 | 1.29082 × 10−1 | 0.00000 × 100 | 0.00000 × 100 | |
| Cap101 | Best | 7.97602 × 105 | 8.00005 × 105 | 8.32291 × 105 | 7.97509 × 105 | 7.96648 × 105 | 7.96648 × 105 |
| Mean | 8.01985 × 105 | 8.03968 × 105 | 8.32291 × 105 | 7.98637 × 105 | 7.96763 × 105 | 7.96677 × 105 | |
| Std | 2.06807 × 103 | 1.86444 × 103 | 3.55216 × 10−10 | 9.11208 × 102 | 2.97441 × 102 | 1.57066 × 102 | |
| Gap | 6.69935 × 10−1 | 9.18847 × 10−1 | 4.47408 × 100 | 2.49678 × 10−1 | 1.43984 × 10−2 | 3.59961 × 10−3 | |
| Cap102 | Best | 8.54704 × 105 | 8.56734 × 105 | 9.52291 × 105 | 8.55781 × 105 | 8.54704 × 105 | 8.54704 × 105 |
| Mean | 8.59881 × 105 | 8.61241 × 105 | 9.52291 × 105 | 8.60039 × 105 | 8.54782 × 105 | 8.54704 × 105 | |
| Std | 3.28770 × 103 | 1.96550 × 103 | 5.92027 × 10−10 | 2.30635 × 103 | 2.98455 × 102 | 5.92027 × 10−10 | |
| Gap | 6.05675 × 10−1 | 7.64837 × 10−1 | 1.14176 × 101 | 6.24177 × 10−1 | 9.14332 × 10−3 | 0.00000 × 100 | |
| Cap103 | Best | 8.94008 × 105 | 8.94008 × 105 | 1.07229 × 106 | 8.97708 × 105 | 8.93782 × 105 | 8.93782 × 105 |
| Mean | 8.98411 × 105 | 8.98643 × 105 | 1.07229 × 106 | 9.03518 × 105 | 8.94035 × 105 | 8.93790 × 105 | |
| Std | 3.79111 × 103 | 2.59175 × 103 | 7.10433 × 10−10 | 3.23733 × 103 | 4.42600 × 102 | 4.12663 × 101 | |
| Gap | 5.17867 × 10−1 | 5.43829 × 10−1 | 1.99723 × 101 | 1.08934 × 100 | 2.82751 × 10−2 | 8.42953 × 10−4 | |
| Cap104 | Best | 9.28942 × 105 | 9.28942 × 105 | 1.25229 × 106 | 9.40734 × 105 | 9.28942 × 105 | 9.28942 × 105 |
| Mean | 9.32338 × 105 | 9.37800 × 105 | 1.25229 × 106 | 9.50757 × 105 | 9.28942 × 105 | 9.28942 × 105 | |
| Std | 4.49298 × 103 | 4.80656 × 103 | 9.47244 × 10−10 | 5.33539 × 103 | 0.00000 × 100 | 0.00000 × 100 | |
| Gap | 3.65615 × 10−1 | 9.53598 × 10−1 | 3.48084 × 101 | 2.34837 × 100 | 0.00000 × 100 | 0.00000 × 100 | |
| Cap131 | Best | 8.09469 × 105 | 8.18840 × 105 | 9.91571 × 105 | 8.19739 × 105 | 7.93440 × 105 | 7.93440 × 105 |
| Mean | 8.20570 × 105 | 8.24930 × 105 | 9.91571 × 105 | 8.31008 × 105 | 7.95744 × 105 | 7.93554 × 105 | |
| Std | 5.85498 × 103 | 2.79470 × 103 | 4.73622 × 10−10 | 4.24606 × 103 | 1.83036 × 103 | 2.97441 × 102 | |
| Gap | 3.41929 × 100 | 3.96885 × 100 | 2.49713 × 101 | 4.73494 × 100 | 2.90477 × 10−1 | 1.44567 × 10−2 | |
| Cap132 | Best | 8.58255 × 105 | 8.81210 × 105 | 1.23657 × 106 | 8.86161 × 105 | 8.51495 × 105 | 8.51495 × 105 |
| Mean | 8.78467 × 105 | 8.93002 × 105 | 1.23657 × 106 | 9.12404 × 105 | 8.53656 × 105 | 8.51495 × 105 | |
| Std | 8.85584 × 103 | 4.82812 × 103 | 2.36811 × 10−10 | 6.86313 × 103 | 2.48894 × 103 | 5.92027 × 10−10 | |
| Gap | 3.16752 × 100 | 4.87460 × 100 | 4.52235 × 101 | 7.15310 × 100 | 2.53730 × 10−1 | 0.00000 × 100 | |
| Cap133 | Best | 8.96749 × 105 | 9.14777 × 105 | 1.48157 × 106 | 9.66744 × 105 | 8.93077 × 105 | 8.93077 × 105 |
| Mean | 9.15475 × 105 | 9.41639 × 105 | 1.48157 × 106 | 9.86021 × 105 | 8.94283 × 105 | 8.93295 × 105 | |
| Std | 1.32593 × 104 | 8.82168 × 103 | 4.73622 × 10−10 | 8.58664 × 103 | 9.05425 × 102 | 3.76595 × 102 | |
| Gap | 2.50804 × 100 | 5.43766 × 100 | 6.58952 × 101 | 1.04072 × 101 | 1.35041 × 10−1 | 2.43914 × 10−2 | |
| Cap134 | Best | 9.28942 × 105 | 9.93181 × 105 | 1.84907 × 106 | 1.03046 × 106 | 9.28942 × 105 | 9.28942 × 105 |
| Mean | 9.53368 × 105 | 1.01412 × 106 | 1.84907 × 106 | 1.07313 × 106 | 9.29152 × 105 | 9.28942 × 105 | |
| Std | 2.30917 × 104 | 1.17946 × 104 | 1.18405 × 10−9 | 1.70366 × 104 | 5.00087 × 102 | 0.00000 × 100 | |
| Gap | 2.62948 × 100 | 9.16924 × 100 | 9.90514 × 101 | 1.55216 × 101 | 2.26060 × 10−2 | 0.00000 × 100 | |
| CapA | Best | 1.73468 × 107 | 3.65634 × 107 | 1.82644 × 108 | 5.36399 × 107 | 1.71565 × 107 | 1.71565 × 107 |
| Mean | 1.80642 × 107 | 4.09759 × 107 | 1.82644 × 108 | 5.73725 × 107 | 1.77950 × 107 | 1.71995 × 107 | |
| Std | 4.07503 × 105 | 1.96277 × 106 | 0.00000 × 100 | 2.05592 × 106 | 4.42841 × 105 | 8.06209 × 104 | |
| Gap | 5.29117 × 100 | 1.38836 × 102 | 9.64576 × 102 | 2.34407 × 102 | 3.72188 × 100 | 2.51154 × 10−1 | |
| CapB | Best | 1.35195 × 107 | 1.96494 × 107 | 7.66358 × 107 | 2.53495 × 107 | 1.30191 × 107 | 1.29791 × 107 |
| Mean | 1.38501 × 107 | 2.08074 × 107 | 7.66358 × 107 | 2.68215 × 107 | 1.33178 × 107 | 1.30691 × 107 | |
| Std | 1.31085 × 105 | 6.04358 × 105 | 4.54677 × 10−8 | 7.97178 × 105 | 1.71254 × 105 | 5.25145 × 104 | |
| Gap | 6.71116 × 100 | 6.03149 × 101 | 4.90456 × 102 | 1.06652 × 102 | 2.60956 × 100 | 6.93514 × 10−1 | |
| CapC | Best | 1.19246 × 107 | 1.52086 × 107 | 5.59415 × 107 | 1.90084 × 107 | 1.15308 × 107 | 1.15094 × 107 |
| Mean | 1.22613 × 107 | 1.65162 × 107 | 5.59415 × 107 | 2.07528 × 107 | 1.18429 × 107 | 1.16009 × 107 | |
| Std | 1.55385 × 105 | 5.25349 × 105 | 1.51559 × 10−8 | 5.51998 × 105 | 1.34772 × 105 | 5.48158 × 104 | |
| Gap | 6.56846 × 100 | 4.35494 × 101 | 3.86211 × 102 | 8.03717 × 101 | 2.93190 × 100 | 8.28749 × 10−1 | |
| TOPSIS | Value | 5.48 × 10−2 | 5.91 × 10−3 | 0.00 × 100 | 3.09 × 10−3 | 1.81 × 10−1 | 1.00 × 100 |
| Rank | 3 | 4 | 6 | 5 | 2 | 1 | |
| PROMETHEE | Value | 3.00 × 100 | 2.00 × 100 | 0.00 × 100 | 1.00 × 100 | 4.00 × 100 | 5.00 × 100 |
| Rank | 3 | 4 | 6 | 5 | 2 | 1 | |
| Friedman mean ranks | 3.4 | 4.1 | 6.0 | 4.4 | 1.9 | 1.2 | |
| Rank | 3 | 4 | 6 | 5 | 2 | 1 | |
| p-value | 5.7847 × 10−13 | ||||||
| Problems | GWO | APO | PSO | EEFO | BinPKO | BinIPKO |
|---|---|---|---|---|---|---|
| Cap71 | 2 | 3 | 4 | 1 | 1 | 1 |
| Cap72 | 3 | 2 | 4 | 1 | 1 | 1 |
| Cap73 | 3 | 2 | 5 | 4 | 1 | 1 |
| Cap74 | 2 | 2 | 4 | 3 | 1 | 1 |
| Cap101 | 4 | 5 | 6 | 3 | 2 | 1 |
| Cap102 | 3 | 5 | 6 | 4 | 2 | 1 |
| Cap103 | 3 | 4 | 6 | 5 | 2 | 1 |
| Cap104 | 2 | 3 | 5 | 4 | 1 | 1 |
| Cap131 | 3 | 4 | 6 | 5 | 2 | 1 |
| Cap132 | 3 | 4 | 6 | 5 | 2 | 1 |
| Cap133 | 3 | 4 | 6 | 5 | 2 | 1 |
| Cap134 | 3 | 4 | 6 | 5 | 2 | 1 |
| CapA | 3 | 4 | 6 | 5 | 2 | 1 |
| CapB | 3 | 4 | 6 | 5 | 2 | 1 |
| CapC | 3 | 4 | 6 | 5 | 2 | 1 |
| Mean Rank | 2.87 | 3.60 | 5.47 | 4.00 | 1.67 | 1.00 |
| Final Rank | 3 | 4 | 6 | 5 | 2 | 1 |
Disclaimer/Publisher’s Note: The statements, opinions and data contained in all publications are solely those of the individual author(s) and contributor(s) and not of MDPI and/or the editor(s). MDPI and/or the editor(s) disclaim responsibility for any injury to people or property resulting from any ideas, methods, instructions or products referred to in the content. |
© 2025 by the author. Licensee MDPI, Basel, Switzerland. This article is an open access article distributed under the terms and conditions of the Creative Commons Attribution (CC BY) license (https://creativecommons.org/licenses/by/4.0/).
Share and Cite
Beşkirli, A. A Transfer Function-Based Binary Version of Improved Pied Kingfisher Optimizer for Solving the Uncapacitated Facility Location Problem. Biomimetics 2025, 10, 526. https://doi.org/10.3390/biomimetics10080526
Beşkirli A. A Transfer Function-Based Binary Version of Improved Pied Kingfisher Optimizer for Solving the Uncapacitated Facility Location Problem. Biomimetics. 2025; 10(8):526. https://doi.org/10.3390/biomimetics10080526
Chicago/Turabian StyleBeşkirli, Ayşe. 2025. "A Transfer Function-Based Binary Version of Improved Pied Kingfisher Optimizer for Solving the Uncapacitated Facility Location Problem" Biomimetics 10, no. 8: 526. https://doi.org/10.3390/biomimetics10080526
APA StyleBeşkirli, A. (2025). A Transfer Function-Based Binary Version of Improved Pied Kingfisher Optimizer for Solving the Uncapacitated Facility Location Problem. Biomimetics, 10(8), 526. https://doi.org/10.3390/biomimetics10080526
