The Effects of Turbulent Biological Tissue on Adjustable Anomalous Vortex Laser Beam
Abstract
1. Introduction
2. Propagation of PCAAVLB in Turbulent Biological Tissue
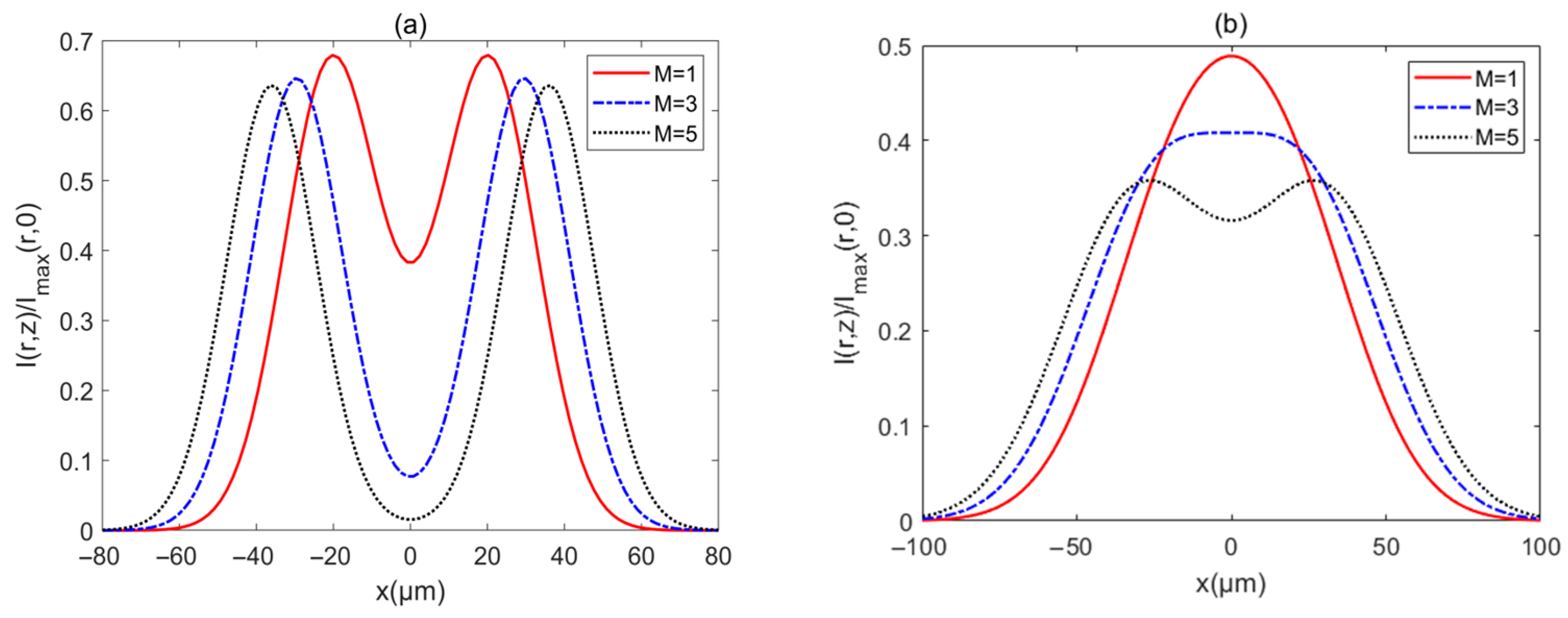
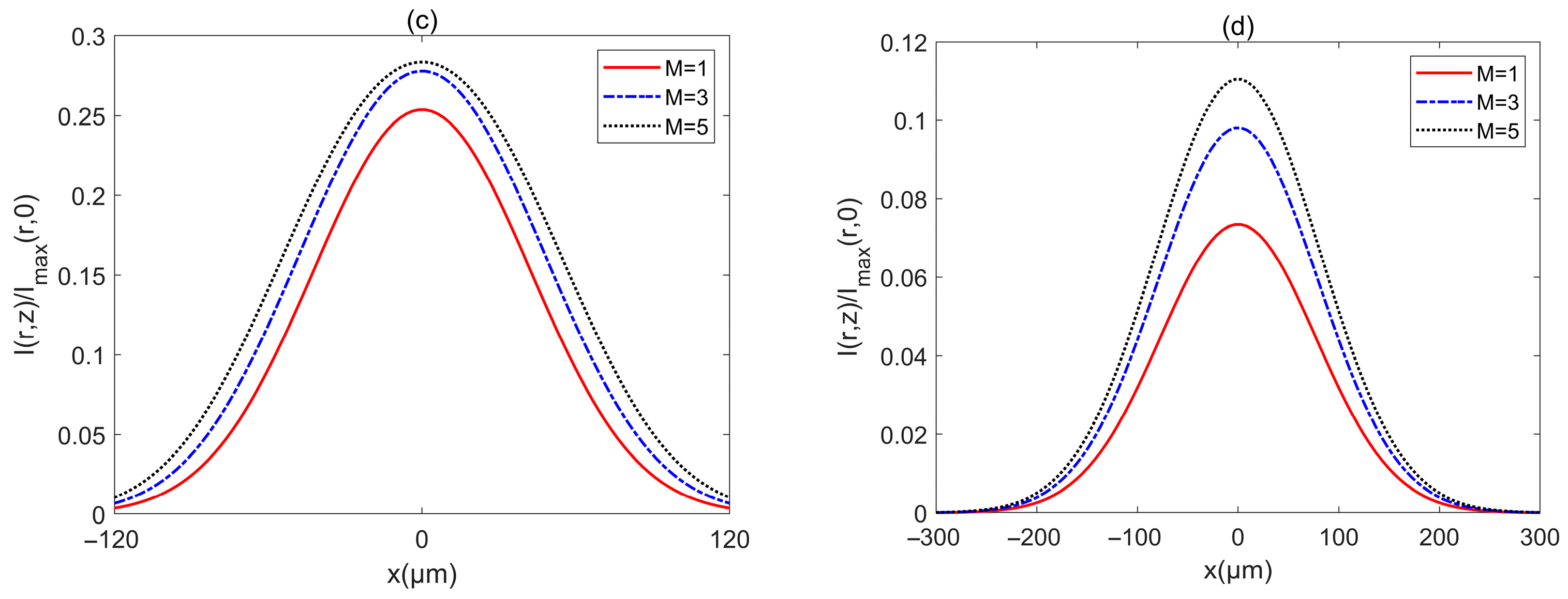
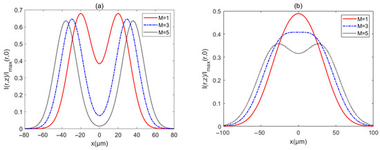
3. Results and Analyses
4. Conclusions
Author Contributions
Funding
Institutional Review Board Statement
Informed Consent Statement
Data Availability Statement
Conflicts of Interest
References
- Jacques, S.L. Optical properties of biological tissues: A review. Phys. Med. Biol. 2013, 58, R37–R61. [Google Scholar] [CrossRef] [PubMed]
- Gökçe, M.C.; Ata, Y.; Baykal, Y. Tissue turbulence and its effects on optical waves: A review. Opt. Commun. 2023, 546, 129816. [Google Scholar] [CrossRef]
- Saad, F.; Belafhal, A. A theoretical investigation on the propagation properties of Hollow Gaussian beams passing through turbulent biological tissues. Optik 2017, 141, 72–82. [Google Scholar] [CrossRef]
- Wu, Y.Q.; Zhang, Y.X.; Wang, Q.; Hu, Z.D. Average intensity and spreading of partially coherent model beams propagating in a turbulent biological tissue. J. Quant. Spectrosc. Radiat. Transf. 2016, 184, 308–315. [Google Scholar] [CrossRef]
- Liu, D.; Zhong, H.; Wang, Y. Intensity properties of anomalous hollow vortex beam propagating in biological tissues. Optik 2018, 170, 61–69. [Google Scholar] [CrossRef]
- Zhang, H.; Cui, Z.; Han, Y.; Guo, J.; Chang, C. Average Intensity and Beam Quality of Hermite-Gaussian Correlated Schell-Model Beams Propagating in Turbulent Biological Tissue. Front. Phys. 2021, 9, 650537. [Google Scholar] [CrossRef]
- Liu, D.J.; Zhong, H.Y.; Yin, H.M.; Dong, A.Y.; Wang, G.Q.; Wang, Y.C. Spreading and coherence properties of a rectangular multi-Gaussian Schell-model beam propagating in biological tissues. Indian J. Phys. 2021, 95, 571–577. [Google Scholar] [CrossRef]
- Duan, M.; Tian, Y.; Zhang, Y.; Li, J. Influence of biological tissue and spatial correlation on spectral changes of Gaussian-Schell model vortex beam. Opt. Laser. Eng. 2020, 134, 106224. [Google Scholar] [CrossRef]
- Duan, M.L.; Wu, Y.G.; Zhang, Y.M.; Li, J.H. Coherence properties of a random electromagnetic vortex beam propagating in biological tissues. J. Mod. Optic. 2019, 66, 59–66. [Google Scholar] [CrossRef]
- Liang, Q.; Hu, B.; Zhang, Y.; Zhu, Y.; Deng, S.; Yu, L. Coupling efficiency of a partially coherent collimating laser from turbulent biological tissue to fiber. Results Phys. 2019, 13, 102162. [Google Scholar] [CrossRef]
- Baykal, Y. Adaptive optics correction of beam spread in biological tissues. J. Quant. Spectrosc. Radiat. Transf. 2022, 283, 108145. [Google Scholar] [CrossRef]
- Dorrah, A.H.; Palmieri, A.; Li, L.; Capasso, F. Rotatum of light. Sci. Adv. 2025, 11, eadr9092. [Google Scholar] [CrossRef] [PubMed]
- Gowree, E.R.; Jagadeesh, C.; Talboys, E.; Lagemann, C.; Brücker, C. Vortices enable the complex aerobatics of peregrine falcons. Commun. Biol. 2018, 1, 27. [Google Scholar] [CrossRef]
- Bomphrey, R.J.; Nakata, T.; Phillips, N.; Walker, S.M. Smart wing rotation and trailing-edge vortices enable high frequency mosquito flight. Nature 2017, 544, 92–95. [Google Scholar] [CrossRef] [PubMed]
- Guo, M.; Le, W.; Wang, C.; Rui, G.; Zhu, Z.; He, J.; Gu, B. Generation, Topological Charge, and Orbital Angular Momentum of Off-Axis Double Vortex Beams. Photonics 2023, 10, 368. [Google Scholar] [CrossRef]
- Chen, L.; Liu, D.; Gao, H.; Dong, A.; Wang, Y. Research on characteristics of partially coherent radially polarized off-axis double vortex beam in oceanic turbulence. Opt. Laser Technol. 2025, 190, 113264. [Google Scholar] [CrossRef]
- Cai, Y.J. Model for an anomalous hollow beam and its paraxial propagation. Opt. Lett. 2007, 32, 3179–3181. [Google Scholar] [CrossRef]
- Dai, Z.P.; Wang, Y.J.; Wang, Y.C.; Liu, X.J.; Yang, Z.J.; Pang, Z.G. Propagation of adjustable anomalous hollow Gaussian beams in the cascade of left-handed and right-handed media. Optik 2022, 270, 170024. [Google Scholar] [CrossRef]
- Dai, Z.P.; Wang, Y.J.; Wang, Y.C.; Yang, Z.J.; Pang, Z.G. Propagation properties of controllable anomalous hollow beams in strongly nonlocal nonlinear media. Results Phys. 2022, 42, 105951. [Google Scholar] [CrossRef]
- Dai, Z.P.; Yang, Z.J.; Zhang, S.M.; Pang, Z.G.; You, K.M. Transversal reverse transformation of anomalous hollow beams in strongly isotropic nonlocal media. Chin. Phys. B 2014, 23, 074208. [Google Scholar] [CrossRef]
- Wang, K.L.; Zhao, C.H. Propagation properties of a radial phased-locked partially coherent anomalous hollow beam array in turbulent atmosphere. Opt. Laser Technol. 2014, 57, 44–51. [Google Scholar] [CrossRef]
- Tian, H.H.; Xu, Y.G.; Yang, T.; Ma, Z.R.; Wang, S.J.; Dan, Y.Q. Propagation characteristics of partially coherent anomalous elliptical hollow Gaussian beam propagating through atmospheric turbulence along a slant path. J. Mod. Optic. 2017, 64, 422–429. [Google Scholar] [CrossRef]
- Liu, D.; Wang, Y.; Zhong, H.; Wang, G.; Yin, H.; Dong, A. Properties of multi-Gaussian correlated partially coherent anomalous hollow beam propagating in underwater oceanic turbulence. Opt. Laser Technol. 2019, 119, 105604. [Google Scholar] [CrossRef]
- Guo, X.; Song, Y.; Dong, K.; Zhang, L. Adjustable anomalous hollow vortex beam and its properties. Microw. Opt. Techn. Let. 2024, 66, e34099. [Google Scholar] [CrossRef]
- Wang, Y.J.; Yang, Z.J.; Shen, S.; Cai, Z.H.; Li, X.L.; Zhang, S.M. Controllable anomalous hollow beam and its propagation properties. Optik 2021, 241, 167054. [Google Scholar] [CrossRef]
- Wolf, E. Unified theory of coherence and polarization of random electromagnetic beams. Phys. Lett. A 2003, 312, 263–267. [Google Scholar] [CrossRef]
- Jeffrey, A. Handbook of Mathematical Formulas and Integrals, 4th ed.; Academic Press Inc.: Cambridge, MA, USA, 2008. [Google Scholar]










Disclaimer/Publisher’s Note: The statements, opinions and data contained in all publications are solely those of the individual author(s) and contributor(s) and not of MDPI and/or the editor(s). MDPI and/or the editor(s) disclaim responsibility for any injury to people or property resulting from any ideas, methods, instructions or products referred to in the content. |
© 2025 by the authors. Licensee MDPI, Basel, Switzerland. This article is an open access article distributed under the terms and conditions of the Creative Commons Attribution (CC BY) license (https://creativecommons.org/licenses/by/4.0/).
Share and Cite
Zhang, Y.; Wang, W.; Ding, X.; Sun, L.; Qian, Z.; Jiang, H.; Song, Y.; Ding, R. The Effects of Turbulent Biological Tissue on Adjustable Anomalous Vortex Laser Beam. Biomimetics 2025, 10, 461. https://doi.org/10.3390/biomimetics10070461
Zhang Y, Wang W, Ding X, Sun L, Qian Z, Jiang H, Song Y, Ding R. The Effects of Turbulent Biological Tissue on Adjustable Anomalous Vortex Laser Beam. Biomimetics. 2025; 10(7):461. https://doi.org/10.3390/biomimetics10070461
Chicago/Turabian StyleZhang, Yiqun, Wu Wang, Xiaokun Ding, Liyu Sun, Zhenyang Qian, Huilin Jiang, Yansong Song, and Runwei Ding. 2025. "The Effects of Turbulent Biological Tissue on Adjustable Anomalous Vortex Laser Beam" Biomimetics 10, no. 7: 461. https://doi.org/10.3390/biomimetics10070461
APA StyleZhang, Y., Wang, W., Ding, X., Sun, L., Qian, Z., Jiang, H., Song, Y., & Ding, R. (2025). The Effects of Turbulent Biological Tissue on Adjustable Anomalous Vortex Laser Beam. Biomimetics, 10(7), 461. https://doi.org/10.3390/biomimetics10070461

