Bone Fillers with Balance Between Biocompatibility and Antimicrobial Properties
Abstract
1. Introduction
2. Materials and Methods
2.1. Materials
2.2. Preparation of Fillers
2.3. Water Uptake of Biocomposites
2.4. The Biodegradation of Spongious Fillers into Collagenase Solution
2.5. Fourier Transform Infrared Spectroscopy (FT-IR)
2.6. Scanning Electron Microscopy of Biocomposites
2.7. Mechanical Tests
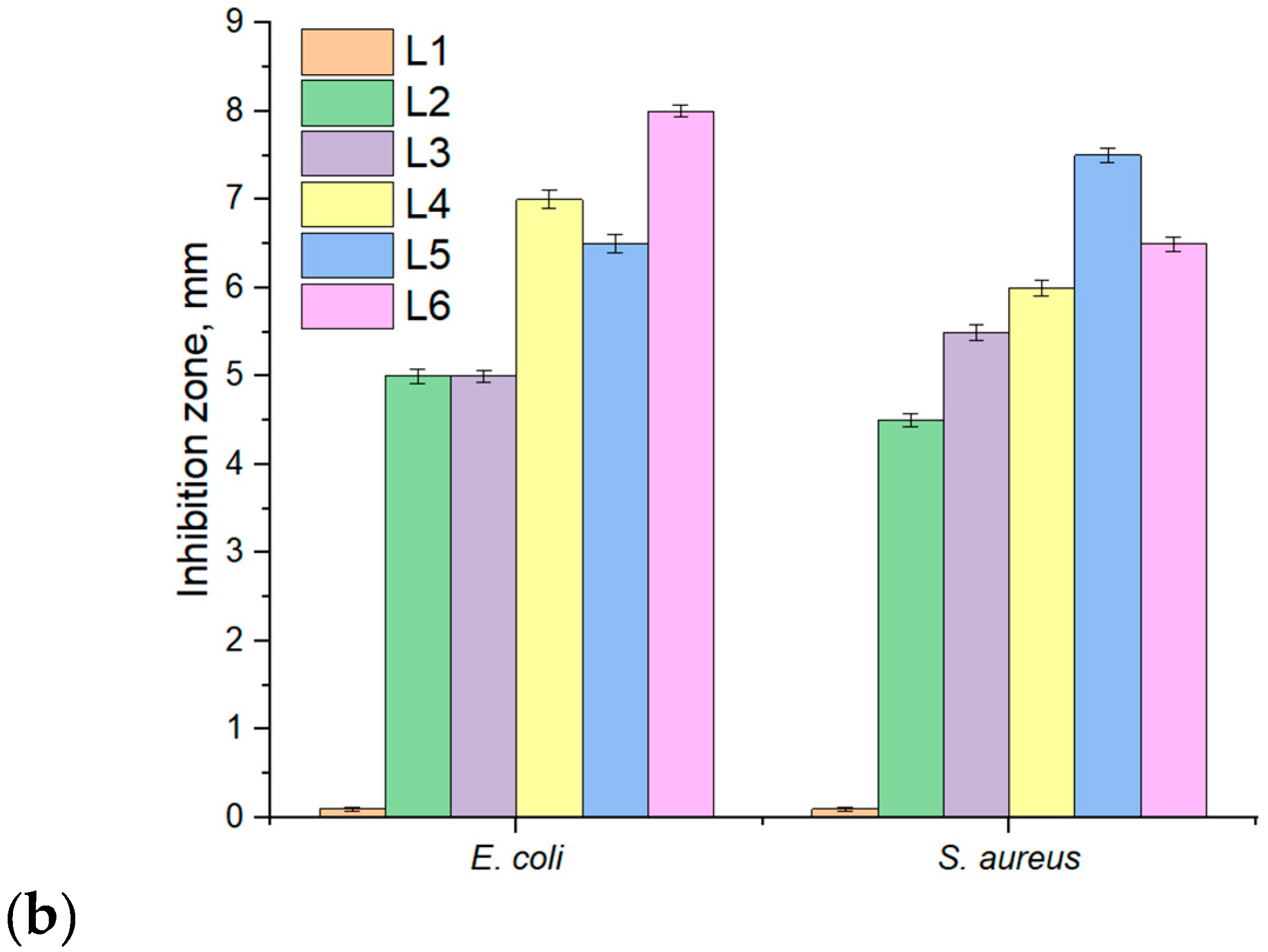
2.8. Characterization by Microbiological Analysis
2.9. Cell Culture
2.10. Cell Viability Assay
2.11. Cell Proliferation Assay
2.12. Assessment of Capacity to Support Colonization of Human BMSCs
2.13. Filamentous Actin (F-Actin) Staining of Cells
2.14. Alkaline Phosphatase (ALP) Activity Assay
3. Results and Discussion
4. Limitations of the Study
5. Conclusions
Author Contributions
Funding
Institutional Review Board Statement
Data Availability Statement
Acknowledgments
Conflicts of Interest
References
- Dejob, L.; Toury, B.; Tadier, S.; Gremillard, L.; Gaillard, C.; Salles, V. Electrospinning of In Situ Synthesized Silica-Based and Calcium Phosphate Bioceramics for Applications in Bone Tissue Engineering: A Review. Acta Biomater. 2021, 123, 123–153. [Google Scholar] [CrossRef] [PubMed]
- Tao, J.; Zhu, S.; Liao, X.; Wang, Y.; Zhou, N.; Li, Z.; Wan, H.; Tang, Y.; Yang, S.; Du, T.; et al. DLP-based Bioprinting of Void-Forming Hydrogels for Enhanced Stem-Cell-Mediated Bone Regeneration. Mater. Today Bio 2022, 17, 100487. [Google Scholar] [CrossRef]
- Guoa, J.L.; Piepergerdesa, T.C.; Mikos, A.G. Chapter 6—Bone graft engineering: Composite scaffolds. In Dental Implants and Bone Grafts; Alghamdi, H., Jansen, J., Eds.; Woodhead Publishing: Sawston, UK, 2020; pp. 159–181. ISBN 9780081024782. [Google Scholar] [CrossRef]
- Dimitriou, R.; Jones, E.; McGonagle, D.; Giannoudis, P.V. Bone regeneration: Current concepts and future directions. BMC Med. 2011, 9, 66–75. [Google Scholar] [CrossRef] [PubMed]
- Van der Heide, D.; Hatt, L.P.; Della Bella, E.; Hangartner, A.; Lackington, W.A.; Yuan, H.; De Groot-Barrère, F.; Stoddart, M.J.; D’Este, M. Characterization and Biological Evaluation of 3D Printed Composite Ink Consisting of Collagen, Hyaluronic Acid and Calcium Phosphate for Bone Regeneration. Carbohydr. Polym. Technol. Appl. 2024, 7, 100518. [Google Scholar] [CrossRef]
- Kozłowska, J.; Sionkowska, A. Effects of Different Crosslinking Methods on The Properties of Collagen–Calcium Phosphate Composite Materials. Int. J. Biol. Macromol. 2015, 74, 397–403. [Google Scholar] [CrossRef]
- Diez-Escudero, A.; Espanol, M.; Ginebra, M.P. Chapter 5–Synthetic Bone Graft Substitutes: Calcium-Based Biomaterials. In Dental Implants and Bone Grafts; Alghamdi, H., Jansen, J., Eds.; Woodhead Publishing: Sawston, UK, 2020; pp. 125–157. ISBN 9780081024782. [Google Scholar] [CrossRef]
- Chen, Y.; Kawazoe, N.; Chen, G. Preparation of Dexamethasone-Loaded Biphasic Calcium Phosphate Nanoparticles/Collagen Porous Composite Scaffolds for Bone Tissue Engineering. Acta Biomater. 2018, 67, 341–353. [Google Scholar] [CrossRef]
- Giannoudis, P.V.; Dinopoulos, H.; Tsiridis, E. Bone Substitutes: An Update. Injury 2005, 36 (Suppl. S3), 20–27. [Google Scholar] [CrossRef]
- Juhasz, J.A.; Best, S.M. Bioactive Ceramics: Processing, Structures and Properties. J. Mater. Sci. 2012, 47, 610–624. [Google Scholar] [CrossRef]
- Santhakumar, S.; Oyane, A.; Nakamura, M.; Koga, K.; Miyata, S.; Muratsubaki, K.; Miyaji, H. In Situ Precipitation of Amorphous Calcium Phosphate Nanoparticles within 3D Porous Collagen Sponges for Bone Tissue Engineering. Mater. Sci. Eng. C 2020, 116, 111194. [Google Scholar] [CrossRef] [PubMed]
- Kaczmarek, B.; Sionkowska, A.; Kozlowska, J.; Osyczka, A.M. New Composite Materials Prepared by Calcium Phosphate Precipitation in Chitosan/Collagen/Hyaluronic Acid Sponge Cross-Linked by EDC/NHS. Int. J. Biol. Macromol. 2018, 107, 247–253. [Google Scholar] [CrossRef] [PubMed]
- Hollister, S.J. Porous Scaffold Design for Tissue Engineering. Nat. Mater. 2005, 4, 518–524. [Google Scholar] [CrossRef] [PubMed]
- Suchanek, W.; Yoshimura, M. Processing and Properties of Hydroxyapatite-Based Biomaterials for Use as Hard Tissue Replacement Implants. J. Mater. Res. 1998, 13, 94–117. [Google Scholar] [CrossRef]
- El-Ghannam, A. Bone Reconstruction: From Bioceramics to Tissue Engineering. Expert Rev. Med. Devices 2005, 2, 87–101. [Google Scholar] [CrossRef] [PubMed]
- Lu, Q.; Ganesan, K.; Simionescu, D.T.; Vyavahare, N.R. Novel Porous Aortic Elastin and Collagen Scaffolds for Tissue Engineering. Biomaterials 2004, 25, 5227–5237. [Google Scholar] [CrossRef] [PubMed]
- Albu, M.G.; Titorencu, I.; Ghica, M.V. Chapter 17–Collagen-Based Drug Delivery Systems for Tissue Engineering. In Biomaterials Applications for Nanomedicine; Pignatello, R., Ed.; Intech: Rijeka, Croatia, 2011; pp. 343–346. [Google Scholar]
- Caldorera-Moore, M.; Peppas, N.A. Micro- and Nanotechnologies for Intelligent and Responsive Biomaterial-Based Medical Systems. Adv. Drug Deliv. Rev. 2009, 61, 1391–1401. [Google Scholar] [CrossRef]
- Sachlos, E.; Reis, N.; Ainsley, C.; Derby, B.; Czernuszka, J.T. Novel Collagen Scaffolds with Predefined Internal Morphology Made by Solid Freeform Fabrication. Biomaterials 2003, 24, 1487–1497. [Google Scholar] [CrossRef]
- Seong, Y.J.; Song, E.H.; Park, C.; Lee, H.; Kang, I.G.; Kim, H.E.; Jeong, S.H. Porous Calcium Phosphate–Collagen Composite Microspheres for Effective Growth Factor Delivery and Bone Tissue Regeneration. Mater. Sci. Eng. C 2020, 109, 110480. [Google Scholar] [CrossRef] [PubMed]
- Appleford, M.R.; Oh, S.; Oh, N.; Ong, J.L. In Vivo Study on Hydroxyapatite Scaffolds with Trabecular Architecture for Bone Repair. J. Biomed. Mater. Res. A 2009, 89, 1019–1027. [Google Scholar] [CrossRef]
- Maeno, S.; Niki, Y.; Matsumoto, H.; Morioka, H.; Yatabe, T.; Funayama, A.; Toyama, Y.; Taguchi, T.; Tanaka, J. The Effect of Calcium Ion Concentration on Osteoblast Viability, Proliferation and Differentiation in Monolayer and 3D Culture. Biomaterials 2005, 26, 4847–4855. [Google Scholar] [CrossRef]
- Vijayalekha, A.; Anandasadagopan, S.K.; Pandurangan, A.K. An Overview of Collagen-Based Composite Scaffold for Bone Tissue Engineering. Appl. Biochem. Biotechnol. 2023, 195, 4617–4636. [Google Scholar] [CrossRef] [PubMed]
- Lackington, W.A.; Gehweiler, D.; Zderic, I.; Nehrbass, D.; Zeiter, S.; González-Vázquez, A.; O’Brien, F.J.; Stoddart, M.J.; Thompson, K. Incorporation of Hydroxyapatite into Collagen Scaffolds Enhances the Therapeutic Efficacy of rhBMP-2 in a Weight-Bearing Femoral Defect Model. Mater Today Commun. 2021, 29, 102933. [Google Scholar] [CrossRef]
- Kinoshita, Y.; Matsuo, M.; Todoki, K.; Ozono, S.; Fukuoka, S.; Tsuzuki, H.; Nakamura, M.; Tomihata, K.; Shimamoto, T.; Ikada, Y. Alveolar bone regeneration using absorbable poly(L-lactide-co-ɛ-caprolactone)/β-tricalcium phosphate membrane and gelatin sponge incorporating basic fibroblast growth factor. Int. J. Oral Maxillofac. Surg. 2008, 37, 275–281. [Google Scholar] [CrossRef] [PubMed]
- Wu, C.; Zhou, Y.; Lin, C.; Chang, J.; Xiao, Y. Strontium-Containing Mesoporous Bioactive Glass Scaffolds with Improved Osteogenic/Cementogenic Differentiation of Periodontal Ligament Cells for Periodontal Tissue Engineering. Acta Biomater. 2012, 8, 3805–3815. [Google Scholar] [CrossRef] [PubMed]
- Li, J.; Zhang, L.; Lv, S.; Li, S.; Wang, N.; Zhang, Z. Fabrication of Individual Scaffolds Based on a Patient-Specific Alveolar Bone Defect Model. J. Biotechnol. 2011, 151, 87–93. [Google Scholar] [CrossRef]
- Vaquette, C.; Fan, W.; Xiao, Y.; Hamlet, S.; Hutmacher, D.W.; Ivanovski, S. A Biphasic Scaffold Design Combined with Cell Sheet Technology for Simultaneous Regeneration of Alveolar Bone/Periodontal Ligament Complex. Biomaterials 2012, 33, 5560–5573. [Google Scholar] [CrossRef]
- Popescu, F.; Titorencu, I.; Albu Kaya, M.; Miculescu, F.; Tutuianu, R.; Coman, A.E.; Danila, E.; Marin, M.M.; Ancuta, D.-L.; Coman, C.; et al. Development of Innovative Biocomposites with Collagen, Keratin and Hydroxyapatite for Bone Tissue Engineering. Biomimetics 2024, 9, 428. [Google Scholar] [CrossRef]
- Oyane, A.; Araki, H.; Sogo, Y.; Ito, A.; Tsurushima, H. Spontaneous Assembly of DNA–Amorphous Calcium Phosphate Nanocomposite Spheres for Surface-Mediated Gene Transfer. CrystEngComm 2013, 15, 4994–4997. [Google Scholar] [CrossRef]
- Oyane, A.; Araki, H.; Nakamura, M.; Shimizu, Y.; Shubhra, Q.T.H.; Ito, A.; Tsurushima, H. Controlled Superficial Assembly of DNA–Amorphous Calcium Phosphate Nanocomposite Spheres for Surface-Mediated Gene Delivery. Colloid Surf. B 2016, 141, 519–527. [Google Scholar] [CrossRef]
- Salgado, A.J.; Coutinho, O.P.; Reis, R.L. Bone Tissue Engineering: State of The Art and Future Trends. Macromol. Biosci. 2004, 4, 743–765. [Google Scholar] [CrossRef] [PubMed]
- Kim, I.G.; Hwang, M.P.; Du, P.; Ko, J.; Ha, C.W.; Do, S.H.; Park, K. Bioactive Cell-Derived Matrices Combined with Polymer Mesh Scaffold for Osteogenesis and Bone Healing. Biomaterials 2015, 50, 75–86. [Google Scholar] [CrossRef]
- Du, C.; Cui, F.Z.; Zhang, W.; Feng, Q.L.; Zhu, X.D.; de Groot, K. Formation of Calcium Phosphate/Collagen Composites through Mineralization of Collagen Matrix. J. Biomed. Mater. Res. 2000, 50, 518–527. [Google Scholar] [CrossRef]
- Zhang, Q.; Lu, H.; Kawazoe, N.; Chen, G. Pore Size Effect of Collagen Scaffolds on Cartilage Regeneration. Acta Biomater. 2014, 10, 2005–2013. [Google Scholar] [CrossRef]
- Santos, M.H.; Heneine, L.G.D.; Mansur, H.S. Synthesis and Characterization of Calcium Phosphate/Collagen Biocomposites Doped with Zn2+. Mater. Sci. Eng. C 2008, 28, 563–571. [Google Scholar] [CrossRef]
- Wen, X.; Wang, J.; Pei, X.; Zhang, X. Zinc-based biomaterials for bone repair and regeneration: Mechanism and applications. J. Mater. Chem. B 2023, 11, 11405–11425. [Google Scholar] [CrossRef]
- Dash, U.C.; Bhol, N.K.; Swain, S.K.; Samal, R.R.; Nayak, P.K.; Raina, V.; Panda, S.K.; Kerry, R.G.; Duttaroy, A.K.; Jena, A.B. Oxidative stress and inflammation in the pathogenesis of neurological disorders: Mechanisms and implications. Acta Pharm. Sin. B. 2024. [Google Scholar] [CrossRef]
- Sasan, S.; Molavi, A.M.; Moqadam, K.H.; Farrokhi, N.; Oroojalian, F. Enhanced Wound Healing Properties of Biodegradable PCL/Alginate Core-Shell Nanofibers Containing Salvia abrotanoides Essential Oil and ZnO Nanoparticles. Int. J. Biol. Macromol. 2024, 279, 135152. [Google Scholar] [CrossRef]
- Monfared-Hajishirkiaee, R.; Ehtesabi, H.; Latifi, H. Peppermint Essential Oil and ZnO Nanoparticles: A Green and Effective Combination for A Cooling Bilayer Patch with Antibacterial Activity. J. Environ. Chem. Eng. 2024, 12, 112833. [Google Scholar] [CrossRef]
- Ghica, M.V.; Albu, M.G.; Kaya, D.A.; Popa, L.; Öztürk, Ș.; Rusu, L.-C.; Dinu-Pîrvu, C.; Chelaru, C.; Albu, L.; Meghea, A.; et al. The effect of lavandula essential oils on release of niflumic acid from collagen hydrolysates. Korean J. Chem. Eng. 2016, 33, 1325–1330. [Google Scholar] [CrossRef]
- Kaya, D.A.; Arslan, M.; Rusu, L.C. Effects of harvesting hour on essential oil content and composition of Thymus vulgaris. Farmacia 2013, 61, 1194–1203. [Google Scholar]
- Davis, P.H. Flora of Turkey and the East Aegean Islands; University Press: Edinburgh, UK, 1982; pp. 349–382. [Google Scholar]
- Öztürk, M. Anticholinesterase and Antioxidant Activities of Savoury (Satureja thymbra L.) with İdentified Major Terpenes of the Essential Oil. Food Chem. 2012, 134, 48–54. [Google Scholar] [CrossRef]
- Kizil, S.; Hasimi, N.; Tolan, V. Biological Activities of Origanum, Satureja, Thymbra and Thymus Species Grown in Turkey. J. Essent. Oil-Bear. Plants 2014, 17, 460–468. [Google Scholar] [CrossRef]
- Giweli, A.; Džamić, A.M.; Soković, M.; Ristić, M.S.; Marin, P.D. Antimicrobial and Antioxidant Activities of Essential Oils of Satureja thymbra Growing Wild in Libya. Molecules 2012, 17, 4836–4850. [Google Scholar] [CrossRef] [PubMed]
- Khader, A.; Arinzeh, T.L. Biodegradable zinc oxide composite scaffolds promote osteochondral differentiation of mesenchymal stem cells. Biotechnol. Bioeng. 2020, 117, 194–209. [Google Scholar] [CrossRef]
- Nuță, D.C.; Limban, C.; Chiriță, C.; Chifiriuc, M.C.; Costea, T.; Ioniță, P.; Nicolau, I.; Zarafu, I. Contribution of Essential Oils to the Fight against Microbial Biofilms—A Review. Processes 2021, 9, 537. [Google Scholar] [CrossRef]
- Ghafarifarsani, H.; Hoseinifar, S.H.; Aftabgard, M.; Van Doan, H. The improving role of savory (Satureja hortensis) essential oil for Caspian roach (Rutilus caspicus) fry: Growth, haematological, immunological, and antioxidant parameters and resistance to salinity stress. Aquaculture 2022, 548, 737653. [Google Scholar] [CrossRef]
- Boziaris, I.S.; Chorianopoulos, N.G.; Haroutounian, S.A.; Nychas, G.-J.E. Effect of Satureja thymbra Essential Oil on Growth-No Growth Interfaces of Listeria monocytogenes Scott A and Salmonella Enteritidis PT4, at Various Temperatures, pH, and Water Activities. J. Food Prot. 2011, 74, 45–54. [Google Scholar] [CrossRef] [PubMed]
- Piras, A.; Cocco, V.; Falconieri, D.; Porcedda, S.; Marongiu, B.; Maxia, A.; Frau, M.A.; Gonçalves, M.J.; Cavaleiro, C.; Salgueiro, L. Isolation of the Volatile Oil from Satureja thymbra by Supercritical Carbon Dioxide Extraction: Chemical Composition and Biological Activity. Nat. Prod. Commun. 2011, 6, 1523–1526. [Google Scholar] [CrossRef] [PubMed]
- Baser, K.H. Aromatic biodiversity among the flowering plant taxa of Turkey. Pure Appl. Chem. 2002, 74, 525–527. [Google Scholar] [CrossRef]
- Albu, M.G. Collagen Gels and Matrices for Biomedical Applications: The Obtaining and Characterization of Collagen-Based Biomaterials as Support for Local Release; LAP LAMBERT Academic Publishing: Saarbrücken, Germany, 2011; pp. 9–12. [Google Scholar]
- Sleiman, L.; Lazăr, A.-D.; Albu-Kaya, M.; Marin, M.M.; Kaya, D.A.; Vasile, O.-R.; Dinescu, S. Development and Investigation of an Innovative 3D Biohybrid Based on Collagen and Silk Sericin Enriched with Flavonoids for Potential Wound Healing Applications. Polymers 2024, 16, 1627. [Google Scholar] [CrossRef] [PubMed]
- Mederle, N.; Marin, S.; Marin, M.M.; Danila, E.; Merdele, O.; Albu Kaya, M.G.; Ghica, M.V. Innovative Biomaterials Based on Collagen-Hydroxyapatite and Doxycycline for Bone Regeneration. Adv. Mater. Sci. Eng. 2016, 2016, 3452171. [Google Scholar] [CrossRef][Green Version]
- Titorencu, I.; Jinga, V.V.; Constantinescu, E.; Gafencu, A.V.; Ciohodaru, C.; Manolescu, I.; Zaharia, C.; Simionescu, M. Proliferation, differentiation and characterization of osteoblasts from human BM mesenchymal cells. Cytotherapy 2007, 9, 682–696. [Google Scholar] [CrossRef]
- Dominici, M.; Le Blanc, K.; Mueller, I.; Slaper-Cortenbach, I.; Marini, F.C.; Krause, D.S.; Deans, R.J.; Keating, A.; Prockop, D.J.; Horwitz, E.M. Minimal criteria for defining multipotent mesenchymal stromal cells. The International Society for Cellular Therapy position statement. Cytotherapy 2006, 8, 315–317. [Google Scholar] [CrossRef] [PubMed]
- Tutuianu, R.; Rosca, A.M.; Albu Kaya, M.G.; Pruna, V.; Neagu, T.P.; Lascar, I.; Simionescu, M.; Titorencu, I. Mesenchymal stromal cell-derived factors promote the colonization of collagen 3D scaffolds with human skin cells. J. Cell. Mol. Med. 2020, 24, 9692–9704. [Google Scholar] [CrossRef]
- Andonegi, M.; Peñalba, M.; de la Caba, K.; Guerrero, P. ZnO nanoparticle-incorporated native collagen films with electro-conductive properties. Mater. Sci. Eng. C 2020, 108, 110394. [Google Scholar] [CrossRef]
- Cleetus, C.M.; Primo, F.A.; Fregoso, G.; Raveendran, N.L.; Noveron, J.C.; Spencer, C.T.; Ramana, C.V.; Joddar, B. Alginate hydrogels with embedded ZnO nanoparticles for wound healing therapy. Int. J. Nanomed. 2020, 15, 5097–5111. [Google Scholar] [CrossRef]
- Sheen, J.R.; Mabrouk, A.; Garla, V.V. Fracture Healing Overview; Updated 8 April 2023; StatPearls: Treasure Island, FL, USA, 2023; Available online: https://www.ncbi.nlm.nih.gov/books/NBK551678/ (accessed on 25 January 2025).
- Riaz, T.; Zeeshan, R.; Zarif, F.; Ilyas, K.; Muhammad, N.; Safi, S.Z.; Rahim, A.; Rizvi, S.A.A.; Rehman, I.U. FTIR analysis of natural and synthetic collagen. Appl. Spectrosc. Rev. 2018, 53, 703–746. [Google Scholar] [CrossRef]
- Albu, M.G.; Ghica, M.V.; Giurginca, M.; Trandafir, V.; Popa, L.; Cotrut, C. Spectral characteristics and antioxidant properties of tannic acid immobilized on collagen drug-delivery systems. Rev. Chim. 2009, 60, 666–672. [Google Scholar]
- Păunica-Panea, G.; Ficai, A.; Marin, M.M.; Marin, Ș.; Albu, M.G.; Constantin, V.D.; Dinu-Pîrvu, C.; Vuluga, Z.; Corobea, M.C.; Ghica, M.V. New Collagen-Dextran-Zinc Oxide Composites for Wound Dressing. J. Nanomater. 2016, 2016, 5805034. [Google Scholar] [CrossRef]
- Feng, W.; Feng, S.; Tang, K.; He, X.; Jing, A.; Liang, G. A novel composite of collagen-hydroxyapatite/kappa-carrageenan. J. Alloys Compd. 2017, 693, 482–489. [Google Scholar] [CrossRef]
- Câmara, G.I.F.; Menezes, M.D.L.L.R.; Vasconcelos, N.F.; Fechine, P.B.A.; Mattos, A.L.A.; Rosa, M.d.F.; Filho, M.d.S.M.d.S. Biocomposite based on nanoscale calcium phosphate and collagen from Nile tilapia (Oreochromis niloticus) skin: Properties and morphological features. Mater. Lett. 2020, 279, 128441. [Google Scholar] [CrossRef]
- Restrepo, I.; Flores, P.; Rodríguez-Llamazares, S. Antibacterial nanocomposite of poly(lactic acid) and zno nanoparticles stabilized with poly(vinyl alcohol): Thermal and morphological characterization. Polym. Plast. Technol. Mater. 2018, 58, 105–112. [Google Scholar] [CrossRef]
- Jamil, M.; Elouahli, A.; Abida, F.; Khallok, H.; Gourri, E.; Kheribech, A.; Hatim, Z. Development of Triphasic Hydroxyapatite/(α and β)-Tricalcium Phosphate Based Composites by Sintering Powder of Calcium-Apatite in the Presence of Montmorillonite. J. Inorg. Organomet. Polym. 2020, 30, 2489–2498. [Google Scholar] [CrossRef]
- Ficai, A.; Albu, M.G.; Birsan, M.; Sonmez, M.; Ficai, D.; Trandafir, V.; Andronescu, E. Collagen hydrolysate based collagen/hydroxyapatite composite materials. J. Mol. Struct. 2013, 1037, 154–159. [Google Scholar] [CrossRef]
- Pon-On, W.; Charoenphandhu, N.; Teerapornpuntakit, J.; Thongbunchoo, J.; Krishnamra, N.; Tang, I.M. In vitro study of vancomycin release and osteoblast-like cell growth on structured calcium phosphate-collagen. Mater. Sci. Eng. C 2013, 33, 1423–1431. [Google Scholar] [CrossRef] [PubMed]
- Kuboki, Y.; Takita, H.; Kobayashi, D.; Tsuruga, E.; Inoue, M.; Murata, M.; Nagai, N.; Dohi, Y.; Ohgushi, H. BMP-induced osteogenesis on the surface of hydroxyapatite with geometrically feasible and nonfeasible structures: Topology of osteogenesis. J. Biomed. Mater. Res. 1998, 39, 190–199. [Google Scholar] [CrossRef]
- Fada, R.; Shahgholi, M.; Azimi, R.; Babadi, N.F. Estimation of Porosity Effect on Mechanical Properties in Calcium Phosphate Cement Reinforced by Strontium Nitrate Nanoparticles: Fabrication and FEM Analysis. Arab. J. Sci. Eng. 2024, 49, 1815–1825. [Google Scholar] [CrossRef]
- Godoy-Gallardo, M.; Eckhard, U.; Delgado, L.M.; Roo Puente, Y.J.; Hoyos Nogu’es, M.; Gil, F.J.; Perez, R.A. Antibacterial approaches in tissue engineering using metal ions and nanoparticles: From mechanisms to applications. Bioac. Mater. 2021, 6, 4470–4490. [Google Scholar] [CrossRef] [PubMed]
- Nandhini, S.N.; Sisubalan, N.; Vijayan, A.; Karthikeyan, C.; Gnanaraj, M.; Gideon, D.A.M.; Jebastin, T.; Varaprasad, K.; Sadiku, R. Recent advances in green synthesized nanoparticles for bactericidal and wound healing applications. Heliyon 2023, 9, e13128. [Google Scholar] [CrossRef]
- Revathi, A.; Mitun, D.; Balla, V.K.; Dwaipayan, S.; Devika, D.; Manivasagam, G. Surface properties and cytocompatibility of Ti-6Al-4V fabricated using Laser Engineered Net Shaping. Mater. Sci. Eng. C 2019, 100, 104–116. [Google Scholar] [CrossRef]
- Panseri, S.; Montesi, M.; Hautcoeur, D.; Dozio, S.M.; Chamary, S.; De Barra, E.; Tampieri, A.; Leriche, A. Bone-like ceramic scaffolds designed with bioinspired porosity induce a different stem cell response. J. Mater. Sci. Mater. Med. 2021, 32, 3. [Google Scholar] [CrossRef]
- Loh, Q.L.; Choong, C. Three-dimensional scaffolds for tissueengineering applications: Role of porosity and pore size. Tissue Eng. Part B Rev. 2013, 19, 485–502. [Google Scholar] [CrossRef] [PubMed]
- Siller, A.F.; Whyte, M.P. Alkaline phosphatase: Discovery and naming of our favorite enzyme. J. Bone Miner. Res. 2018, 33, 362–364. [Google Scholar] [CrossRef] [PubMed]















| Codes of Fillers | Collagen *, % | β-TCP **, % | ZnO **, % | S. thymbra EO *, % | GA *, % |
|---|---|---|---|---|---|
| L1 | 1 | 0.5 | 0 | 0 | 0.25 |
| L2 | 1 | 0.45 | 0.5 | 0 | 0.25 |
| L3 | 1 | 0.45 | 0.5 | 0.0025 | 0.25 |
| L4 | 1 | 0.45 | 0.5 | 0.005 | 0.25 |
| L5 | 1 | 0.45 | 0.5 | 0.025 | 0.25 |
| L6 | 1 | 0.45 | 0.5 | 0.05 | 0.25 |
| Codes of Fillers | Average of Ca wt., % | SD | Average of Zn wt., %Zn | SD |
|---|---|---|---|---|
| L1 | 7.16 | 2.37 | 0.39 | 0.78 |
| L2 | 7.92 | 1.17 | 6.75 | 0.51 |
| L3 | 8.07 | 3.04 | 6.92 | 1.41 |
| L4 | 7.66 | 1.02 | 7.01 | 2.38 |
| L5 | 7.49 | 3.67 | 6.99 | 1.21 |
| L6 | 7.93 | 1.41 | 6.28 | 0.47 |
Disclaimer/Publisher’s Note: The statements, opinions and data contained in all publications are solely those of the individual author(s) and contributor(s) and not of MDPI and/or the editor(s). MDPI and/or the editor(s) disclaim responsibility for any injury to people or property resulting from any ideas, methods, instructions or products referred to in the content. |
© 2025 by the authors. Licensee MDPI, Basel, Switzerland. This article is an open access article distributed under the terms and conditions of the Creative Commons Attribution (CC BY) license (https://creativecommons.org/licenses/by/4.0/).
Share and Cite
Sorca, B.V.; Kaya, D.A.; Kaya, M.G.A.; Enachescu, M.; Ghetu, D.-M.; Enache, L.-B.; Boerasu, I.; Coman, A.E.; Rusu, L.C.; Constantinescu, R.; et al. Bone Fillers with Balance Between Biocompatibility and Antimicrobial Properties. Biomimetics 2025, 10, 100. https://doi.org/10.3390/biomimetics10020100
Sorca BV, Kaya DA, Kaya MGA, Enachescu M, Ghetu D-M, Enache L-B, Boerasu I, Coman AE, Rusu LC, Constantinescu R, et al. Bone Fillers with Balance Between Biocompatibility and Antimicrobial Properties. Biomimetics. 2025; 10(2):100. https://doi.org/10.3390/biomimetics10020100
Chicago/Turabian StyleSorca, Bogdan Valeriu, Durmuş Alpaslan Kaya, Madalina Georgiana Albu Kaya, Marius Enachescu, Daniela-Madalina Ghetu, Laura-Bianca Enache, Iulian Boerasu, Alina Elena Coman, Laura Cristina Rusu, Rodica Constantinescu, and et al. 2025. "Bone Fillers with Balance Between Biocompatibility and Antimicrobial Properties" Biomimetics 10, no. 2: 100. https://doi.org/10.3390/biomimetics10020100
APA StyleSorca, B. V., Kaya, D. A., Kaya, M. G. A., Enachescu, M., Ghetu, D.-M., Enache, L.-B., Boerasu, I., Coman, A. E., Rusu, L. C., Constantinescu, R., & Titorencu, I. (2025). Bone Fillers with Balance Between Biocompatibility and Antimicrobial Properties. Biomimetics, 10(2), 100. https://doi.org/10.3390/biomimetics10020100

