CQLHBA: Node Coverage Optimization Using Chaotic Quantum-Inspired Leader Honey Badger Algorithm
Abstract
1. Introduction
- —
- According to honey badger behaviors in nature, a novel CQLHBA is proposed. A dual-strategy framework assigns chaotic and nonlinear dynamics to leaders and followers for specialized optimization. In addition, a hybrid search operator combines Lévy flight with quantum rotation, enhancing the exploration–precision balance.
- —
- A rigorous comparative analysis on twenty-one CEC benchmark functions validates the superior performance of the CQLHBA over other advanced swarm intelligence algorithms.
- —
- The proposed CQLHBA is applied to the formulated Node Coverage Optimization (NCO) problem for IoT-based WSNs and exhibits superior performance in a comparative analysis against several prominent SI methods.
2. Theory of Honey Badger Algorithm
2.1. Initialization Phase
2.2. Digging Phase and Honey Phase
3. The Designed Chaotic Quantum Honey Badger Algorithm
3.1. Dynamic Control Mechanisms
3.2. Exploration Enhancements
3.3. Exploitation Enhancements
3.4. Computational Complexity Analysis
3.5. Flowchart and Pseudo-Code of the Designed CQLHBA
| Algorithm 1: Pseudo-code of CQLHBA |
![]() |
4. Results and Analysis
4.1. Benchmark Test Functions
4.2. Hyperparameter Settings
4.3. Analysis of CEC Benchmark Functions Results
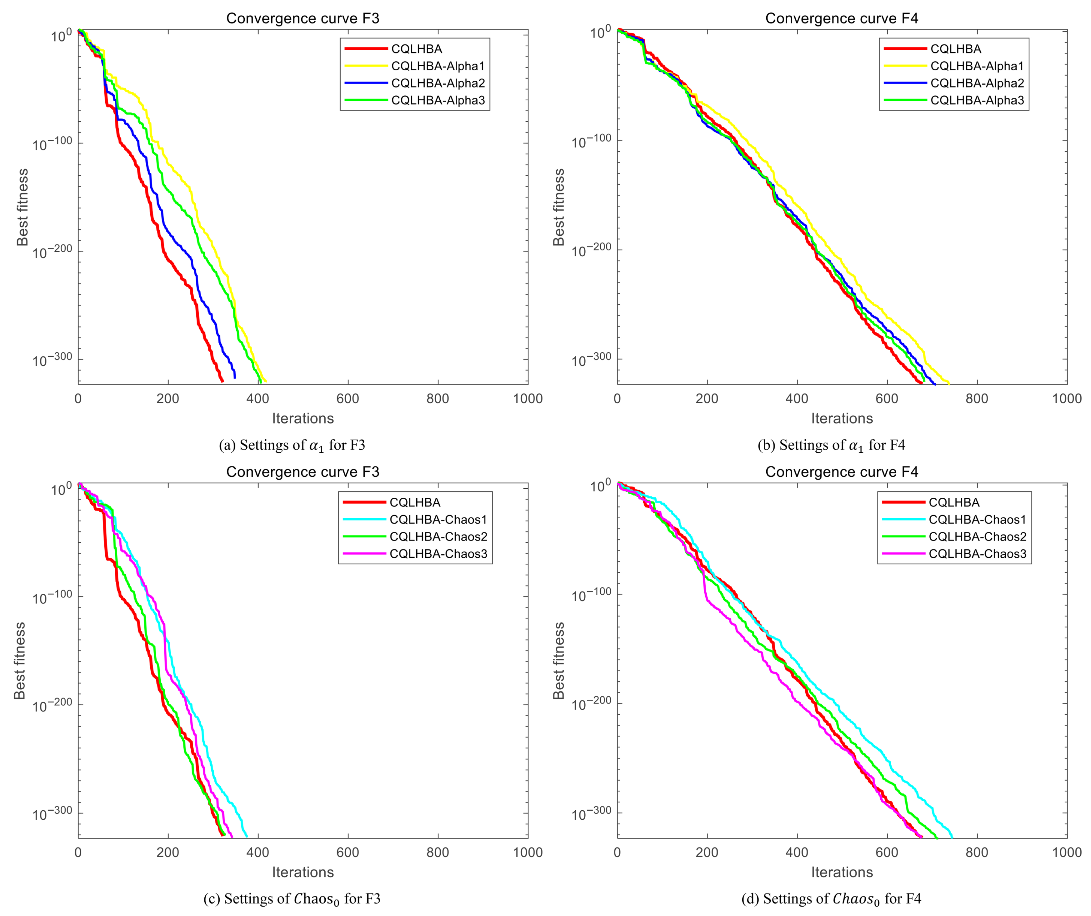
4.3.1. Ablation Result Analysis
4.3.2. Sensitivity Result Analysis
4.3.3. Result Analysis with Dim = 30
4.3.4. Result Analysis with Dim = 100
4.3.5. Result Analysis of Six Test Functions from CEC2022 with Dim = 20
4.3.6. Result Analysis of Engineering Optimization Problems
5. Results of the WSN
5.1. Theory of the Node Coverage Optimization (NCO) Problem
5.2. Result Analysis of the NCO Problem
- —
- Experiment 1: Objective: To analyze the coverage optimization performance of CQLHBA. Setup: 20 nodes were randomly deployed with a sensing radius () of 15 m and a communication radius () of 30 m. Procedure: The comparison algorithms were run for 100 iterations, and their performance was measured based on execution time and the achieved coverage ratio.
- —
- Experiment 2: Objective: To evaluate CQLHBA’s performance in a denser network configuration. Setup: Forty-five nodes were randomly deployed with m and m. Procedure: Similarly, the comparison algorithms were executed for 100 iterations for performance analysis.
| Algorithm 2: Pseudo-code of CQLHBA for the NCO issue |
![]() |
5.2.1. NCO with 15 Nodes in WSNs
5.2.2. NCO with 45 Nodes in WSNs
6. Conclusions
Author Contributions
Funding
Institutional Review Board Statement
Informed Consent Statement
Data Availability Statement
Conflicts of Interest
Abbreviations
| PSO | Particle Swarm Optimization |
| RPSO | Randomised Particle Swarm Optimizer |
| GWO | Grey Wolf Optimizer |
| BOA | Butterfly Optimization Algorithm |
| SSA | Salp Swarm Algorithm |
| AO | Aquila Optimizer |
| HBA | Honey Badger Algorithm |
| DSA | Duck Swarm Algorithm |
| GJO | Golden Jackal Optimization |
| SCQSSA | Sine-Cosine Quantum Salp Swarm Algorithm |
| CSHO | Chaotic Sea-Horse Optimizer |
| WSN | Wireless Sensor Network |
References
- Holland, J.H. Genetic algorithms. Sci. Am. 1992, 267, 66–73. [Google Scholar] [CrossRef]
- Londe, M.A.; Pessoa, L.S.; Andrade, C.E.; Resende, M.G. Biased random-key genetic algorithms: A review. Eur. J. Oper. Res. 2025, 321, 1–22. [Google Scholar] [CrossRef]
- Kennedy, J.; Eberhart, R. Particle swarm optimization. In Proceedings of the ICNN’95-International Conference on Neural Networks, Perth, WA, Australia, 27 November–1 December 1995; Volume 4, pp. 1942–1948. [Google Scholar]
- Zhu, D.; Li, R.; Zheng, Y.; Zhou, C.; Li, T.; Cheng, S. Cumulative major advances in particle swarm optimization from 2018 to the present: Variants, analysis and applications. Arch. Comput. Methods Eng. 2025, 32, 1571–1595. [Google Scholar] [CrossRef]
- Liang, X.; Bao, D.; Yang, Z. State evaluation method for complex task network models. Inf. Sci. 2024, 653, 119796. [Google Scholar] [CrossRef]
- Mirjalili, S.; Mirjalili, S.M.; Lewis, A. Grey wolf optimizer. Adv. Eng. Softw. 2014, 69, 46–61. [Google Scholar] [CrossRef]
- Mirjalili, S.; Lewis, A. The whale optimization algorithm. Adv. Eng. Softw. 2016, 95, 51–67. [Google Scholar] [CrossRef]
- Hashim, F.A.; Houssein, E.H.; Hussain, K.; Mabrouk, M.S.; Al-Atabany, W. Honey Badger Algorithm: New metaheuristic algorithm for solving optimization problems. Math. Comput. Simul. 2022, 192, 84–110. [Google Scholar] [CrossRef]
- Yick, J.; Mukherjee, B.; Ghosal, D. Wireless sensor network survey. Comput. Netw. 2008, 52, 2292–2330. [Google Scholar] [CrossRef]
- Avila, B.Y.L.; Vazquez, C.A.G.; Baluja, O.P.; Cotfas, D.T.; Cotfas, P.A. Energy harvesting techniques for wireless sensor networks: A systematic literature review. Energy Strategy Rev. 2025, 57, 101617. [Google Scholar] [CrossRef]
- Huang, Y.; Lu, S.; Liu, Q.; Han, T.; Li, T. GOHBA: Improved Honey Badger Algorithm for Global Optimization. Biomimetics 2025, 10, 92. [Google Scholar] [CrossRef]
- Sheng, W.; Li, R.; Hui, H.; Lin, K.P.; Lan, K.M.; Ren, Q.; Li, L. Optimal wind power generation system by honey badger algorithm with differential evolution strategies. Appl. Soft Comput. 2023, 149, 110953. [Google Scholar] [CrossRef]
- Guo, D.; Huang, H. Multi-Strategy Honey Badger Algorithm for Global Optimization. Biomimetics 2025, 10, 581. [Google Scholar] [CrossRef]
- Dixit, D.K.; Bhagat, A.; Dangi, D. An accurate fake news detection approach based on a Levy flight honey badger optimized convolutional neural network model. Concurr. Comput. Pract. Exp. 2023, 35, e7382. [Google Scholar] [CrossRef]
- Xu, Y.; Zhong, R.; Cao, Y.; Zhang, C.; Yu, J. Symbiotic mechanism-based honey badger algorithm for continuous optimization. Clust. Comput. 2025, 28, 133. [Google Scholar] [CrossRef]
- Chen, X.; Zhang, M.; Yang, M.; Wang, D. NHBBWO: A novel hybrid butterfly-beluga whale optimization algorithm with the dynamic strategy for WSN coverage optimization. Peer-Netw. Appl. 2025, 18, 80. [Google Scholar] [CrossRef]
- Yang, M.; Wang, A.; Sun, G.; Zhang, Y. Deploying charging nodes in wireless rechargeable sensor networks based on improved firefly algorithm. Comput. Electr. Eng. 2018, 72, 719–731. [Google Scholar] [CrossRef]
- Ou, Y.; Qin, F.; Zhou, K.Q.; Yin, P.F.; Mo, L.P.; Mohd Zain, A. An improved grey wolf optimizer with multi-strategies coverage in wireless sensor networks. Symmetry 2024, 16, 286. [Google Scholar] [CrossRef]
- Wang, S.; You, H.; Yue, Y.; Cao, L. A novel topology optimization of coverage-oriented strategy for wireless sensor networks. Int. J. Distrib. Sens. Netw. 2021, 17, 1550147721992298. [Google Scholar] [CrossRef]
- Zhang, M.; Wang, D.; Yang, M.; Tan, W.; Yang, J. HPSBA: A modified hybrid framework with convergence analysis for solving wireless sensor network coverage optimization problem. Axioms 2022, 11, 675. [Google Scholar] [CrossRef]
- Yu, X.; Duan, Y.; Cai, Z.; Luo, W. An adaptive learning grey wolf optimizer for coverage optimization in WSNs. Expert Syst. Appl. 2024, 238, 121917. [Google Scholar] [CrossRef]
- Yue, Y.; Cao, L.; Zhang, Y. Novel WSN coverage optimization strategy via monarch butterfly algorithm and particle swarm optimization. Wirel. Pers. Commun. 2024, 135, 2255–2280. [Google Scholar] [CrossRef]
- Laganà, F.; Faccì, A.R. Parametric optimisation of a pulmonary ventilator using the Taguchi method. J. Electr. Eng. 2025, 76, 265–274. [Google Scholar] [CrossRef]
- Rashedi, E.; Nezamabadi-Pour, H.; Saryazdi, S. GSA: A gravitational search algorithm. Inf. Sci. 2009, 179, 2232–2248. [Google Scholar] [CrossRef]
- Wu, G.; Mallipeddi, R.; Suganthan, P.N. Problem Definitions and Evaluation Criteria for the CEC 2017 Competition on Constrained Real-Parameter Optimization; Technical Report; National University of Defense Technology: Changsha, China; Kyungpook National University: Daegu, Republic of Korea; Nanyang Technological University: Singapore, 2017. [Google Scholar]
- Bujok, P.; Kolenovsky, P. Eigen crossover in cooperative model of evolutionary algorithms applied to CEC 2022 single objective numerical optimisation. In Proceedings of the 2022 IEEE Congress on Evolutionary Computation (CEC), Padua, Italy, 18–23 July 2022; pp. 1–8. [Google Scholar]
- Aribowo, W. A novel improved sea-horse optimizer for tuning parameter power system stabilizer. J. Robot. Control (JRC) 2023, 4, 12–22. [Google Scholar] [CrossRef]
- Jia, F.; Luo, S.; Yin, G.; Ye, Y. A novel variant of the salp swarm algorithm for engineering optimization. J. Artif. Intell. Soft Comput. Res. 2023, 13, 131–149. [Google Scholar] [CrossRef]
- Chopra, N.; Ansari, M.M. Golden jackal optimization: A novel nature-inspired optimizer for engineering applications. Expert Syst. Appl. 2022, 198, 116924. [Google Scholar] [CrossRef]
- Abualigah, L.; Yousri, D.; Abd Elaziz, M.; Ewees, A.A.; Al-Qaness, M.A.; Gandomi, A.H. Aquila optimizer: A novel meta-heuristic optimization algorithm. Comput. Ind. Eng. 2021, 157, 107250. [Google Scholar] [CrossRef]
- Arora, S.; Singh, S. Butterfly optimization algorithm: A novel approach for global optimization. Soft Comput. 2019, 23, 715–734. [Google Scholar] [CrossRef]
- Mirjalili, S.; Gandomi, A.H.; Mirjalili, S.Z.; Saremi, S.; Faris, H.; Mirjalili, S.M. Salp Swarm Algorithm: A bio-inspired optimizer for engineering design problems. Adv. Eng. Softw. 2017, 114, 163–191. [Google Scholar] [CrossRef]
- Liu, W.; Wang, Z.; Zeng, N.; Yuan, Y.; Alsaadi, F.E.; Liu, X. A novel randomised particle swarm optimizer. Int. J. Mach. Learn. Cybern. 2021, 12, 529–540. [Google Scholar] [CrossRef]
- Angiulli, G.; Versaci, M.; Burrascano, P.; Laganá, F. A Data-Driven Gaussian Process Regression Model for Concrete Complex Dielectric Permittivity Characterization. Sensors 2025, 25, 6350. [Google Scholar] [CrossRef]
- Zhang, M.; Wen, G. Duck swarm algorithm: Theory, numerical optimization, and applications. Clust. Comput. 2024, 27, 6441–6469. [Google Scholar] [CrossRef]
- Faramarzi, A.; Heidarinejad, M.; Mirjalili, S.; Gandomi, A.H. Marine Predators Algorithm: A nature-inspired metaheuristic. Expert Syst. Appl. 2020, 152, 113377. [Google Scholar] [CrossRef]
- Tanabe, R.; Fukunaga, A. Success-history based parameter adaptation for differential evolution. In Proceedings of the 2013 IEEE Congress on Evolutionary Computation, Cancun, Mexico, 20–23 June 2013; pp. 71–78. [Google Scholar]
- Tanabe, R.; Fukunaga, A.S. Improving the search performance of SHADE using linear population size reduction. In Proceedings of the 2014 IEEE Congress on Evolutionary Computation (CEC), Beijing, China, 6–11 July 2014; pp. 1658–1665. [Google Scholar]
- Piotrowski, A.P. L-SHADE optimization algorithms with population-wide inertia. Inf. Sci. 2018, 468, 117–141. [Google Scholar] [CrossRef]
- Mohamed, A.W.; Hadi, A.A.; Agrawal, P.; Sallam, K.M.; Mohamed, A.K. Gaining-sharing knowledge based algorithm with adaptive parameters hybrid with IMODE algorithm for solving CEC 2021 benchmark problems. In Proceedings of the 2021 IEEE Congress on Evolutionary Computation (CEC), Kraków, Poland, 28 June–1 July 2021; pp. 841–848. [Google Scholar]
- Singh, N.; Singh, S. A novel hybrid GWO-SCA approach for optimization problems. Eng. Sci. Technol. Int. J. 2017, 20, 1586–1601. [Google Scholar] [CrossRef]
- Xia, H.; Ke, Y.; Liao, R.; Zhang, H. Fractional order dung beetle optimizer with reduction factor for global optimization and industrial engineering optimization problems. Artif. Intell. Rev. 2025, 58, 308. [Google Scholar] [CrossRef]
- Ramadhani, S.; Handayani, L.; Ng, T.; Dzulkifly, S.; Ariffin, R.; Budiman, H.; Wang, S. Feature Selection Optimisation for Cancer Classification Based on Evolutionary Algorithms: An Extensive Review. Comput. Model. Eng. Sci. 2025, 143, 2711. [Google Scholar] [CrossRef]
- Cao, T.; Yang, F.; Fan, C.; Han, R.; Yang, X.; Shu, L. A Survey of Three-Dimensional Wireless Sensor Networks Deployment Techniques. J. Sens. Actuator Netw. 2025, 14, 94. [Google Scholar] [CrossRef]


















| Algorithm | Strategy | Year | Ability |
|---|---|---|---|
| HHBADE [12] | Hybrid differential evolution strategy | 2022 | Balance global exploratory behavior and local refinement capabilities. |
| MSHBA [13] | Cubic mapping for initialization, along with random search, elite tangent search, and differential mutation strategies. | 2023 | Enhance search efficiency and robustness. |
| LHBA [14] | Lévy flight strategy | 2024 | Escape local optima and improve convergence accuracy. |
| CHBA [11] | Tent mapping strategy | 2025 | Enrich initial population diversity. |
| DMPHBA [16] | Symbiotic mechanism-based strategy | 2025 | Preserve diversity throughout the evolutionary process. |
| Algorithm | Problem | Year | Shortcoming |
|---|---|---|---|
| WPA [19] | NCO | 2021 | a. Ignore the impact of iterations and sensing radii for coverage; b. Low coverage rate. |
| HPSBOA [20] | NCO | 2022 | a. Examine only the impact of sensor nodes for coverage. |
| PSOMBO [22] | NCO | 2024 | a. Simple experimental setups; b. Low coverage rate. |
| ALGWO [21] | NCO | 2024 | a. Examine only the impact of sensor nodes for coverage; b. Low coverage rate. |
| HBBWOA [16] | NCO | 2025 | a. Examine only the impact of sensor nodes for coverage; b. Low coverage rate. |
| Formula | Range | Dim | Category | |
|---|---|---|---|---|
| F1 = | 30/100 | 0 | U | |
| F2 = | 30/100 | 0 | U | |
| F3 = | 30/100 | 0 | U | |
| F4 = | 30/100 | 0 | U | |
| F5 = | 30/100 | 0 | U | |
| F6 = | 30/100 | 0 | U | |
| F7 = | 30/100 | 0 | M | |
| 30/100 | 0 | M | ||
| F9 = | 30/100 | 0 | M | |
| F10 = | 30/100 | 0 | M | |
| F11 = Shifted and Rotated Schwefel’s Function | 30/100 | 1000 | M | |
| F12 = Hybrid Functions 3 () | 30/100 | 1300 | M | |
| F13 = Hybrid Functions 5 () | 30/100 | 1500 | M | |
| F14 = Hybrid Functions 6 () | 30/100 | 1900 | M | |
| F15 = Composition Functions 7 () | 30/100 | 2700 | M | |
| F16 = Shifted and Fully Rotated Zakharov Function | 20 | 300 | U | |
| F17 = Shifted and Fully Rotated Rosenbrock Function | 20 | 400 | M | |
| F18 = Hybrid Function 1 () | 20 | 1800 | M | |
| F19 = Hybrid Function 2 () | 20 | 2000 | M | |
| F20 = Composition Function 1 () | 20 | 2300 | M | |
| F21 = Composition Function 2 () | 20 | 2400 | M |
| Algorithms | Hyperparameter |
|---|---|
| RPSO [33] | |
| GWO [6] | |
| SSA [32] | |
| BOA [31] | |
| AO [30] | |
| GJO [29] | |
| SCQSSA [28] | |
| CSHO [27] | |
| HBA [8] | |
| CQLHBA |
| Function | Item | HBA | CQLHBA1 | CQLHBA2 | CQLHBA3 | CQLHBA4 | CQLHBA5 | CQLHBA |
|---|---|---|---|---|---|---|---|---|
| F3 | Best | 1.15 × | 7.39 × | 4.95 × | 2.04 × | 0.00 × | 0.00 × | 0.00 × |
| Worst | 1.86 × | 2.32 × | 1.44 × | 3.40 × | 0.00 × | 0.00 × | 0.00 × | |
| Mean | 7.74 × | 4.80 × | 1.14 × | 0.00 × | 0.00 × | 1.18 × | 0.00 × | |
| Std | 2.39 × | 2.05 × | 8.57 × | 6.99 × | 0.00 × | 0.00 × | 0.00 × | |
| Time/s | 5.18 × | 8.88 × | 8.79 × | 1.17 × | 9.68 × | 9.63 × | 1.12 × | |
| F4 | Best | 4.74 × | 3.08 × | 2.14 × | 7.35 × | 0.00 × | 0.00 × | 0.00 × |
| Worst | 1.89 × | 1.41 × | 5.84 × | 1.28 × | 0.00 × | 0.00 × | 0.00 × | |
| Mean | 4.53 × | 2.63 × | 1.39 × | 2.45 × | 0.00 × | 0.00 × | 0.00 × | |
| Std | 2.14 × | 3.96 × | 1.54 × | 3.25 × | 0.00 × | 0.00 × | 0.00 × | |
| Time/s | 2.59 × | 0.39406542 | 4.15 × | 8.62 × | 4.63 × | 4.95 × | 6.09 × |
| Function | Item | CQLHBA-Alpha1 | CQLHBA-Alpha2 | CQLHBA-Alpha3 | CQLHBA-Chaos1 | CQLHBA-Chaos2 | CQLHBA-Chaos3 |
|---|---|---|---|---|---|---|---|
| F3 | Best | 0.00 × | 0.00 × | 0.00 × | 0.00 × | 0.00 × | 0.00 × |
| Worst | 0.00 × | 0.00 × | 0.00 × | 0.00 × | 0.00 × | 0.00 × | |
| Mean | 0.00 × | 0.00 × | 0.00 × | 0.00 × | 0.00 × | 0.00 × | |
| Std | 0.00 × | 0.00 × | 0.00 × | 0.00 × | 0.00 × | 0.00 × | |
| Time | 9.04 × | 9.72 × | 9.53 × | 9.80 × | 9.46 × | 9.87 × | |
| F4 | Best | 0.00 × | 0.00 × | 0.00 × | 0.00 × | 0.00 × | 0.00 × |
| Worst | 0.00 × | 0.00 × | 0.00 × | 0.00 × | 0.00 × | 0.00 × | |
| Mean | 0.00 × | 0.00 × | 0.00 × | 0.00 × | 0.00 × | 0.00 × | |
| Std | 0.00 × | 0.00 × | 0.00 × | 0.00 × | 0.00 × | 0.00 × | |
| Time | 5.62 × | 5.24 × | 5.34 × | 5.23 × | 5.32 × | 6.71 × |
| Function | Item | CQLHBA | HBA | CSHO | SCQSSA | GJO | AO | BOA | SSA | GWO | RPSO |
|---|---|---|---|---|---|---|---|---|---|---|---|
| F1 | Mean | 0.00× | 7.53 × | 4.49 × | 7.16 × | 1.12 × | 3.36 × | 1.18 × | 1.28 × | 5.63 × | 4.03 × |
| Std | 0.00× | 0.00× | 0.00× | 2.16 × | 5.59 × | 0.00× | 8.60 × | 3.23 × | 1.08 × | 7.18 × | |
| Time/s | 6.04 × | 2.43 × | 4.43 × | 8.26 × | 2.59 × | 2.54 × | 1.23 × | 1.56 × | 1.84 × | 7.49 × | |
| p-value | / | 1.73 × | 1.73 × | 1.73 × | 1.73 × | 1.73 × | 1.73 × | 1.73 × | 1.73 × | 1.73 × | |
| F2 | Mean | 0.00× | 4.35 × | 1.09 × | 3.66 × | 3.84 × | 1.20 × | 6.16 × | 1.05 × | 1.17 × | 6.18 × |
| Std | 0.00× | 1.24 × | 2.59 × | 9.25 × | 8.70 × | 6.58 × | 1.04 × | 1.41 × | 1.12 × | 5.64 × | |
| Time/s | 6.15 × | 2.47 × | 4.57 × | 8.39 × | 2.67 × | 2.62 × | 1.33 × | 1.63 × | 1.93 × | 7.91 × | |
| p-value | / | 1.73 × | 1.73 × | 1.73 × | 1.73 × | 1.73 × | 1.73 × | 1.73 × | 1.73 × | 1.73 × | |
| F3 | Mean | 0.00× | 7.74 × | 7.18 × | 9.72 × | 1.20 × | 1.34 × | 9.87 × | 3.18 × | 3.31 × | 8.93 × |
| Std | 0.00× | 0.00× | 2.39 × | 4.95 × | 6.59 × | 0.00× | 9.17 × | 2.42 × | 1.56 × | 4.19 × | |
| Time/s | 1.12 × | 5.18 × | 8.29 × | 1.07 × | 5.33 × | 7.38 × | 6.00 × | 3.95 × | 4.21 × | 3.18 × | |
| p-value | / | 1.73 × | 1.73 × | 1.73 × | 1.73 × | 1.73 × | 1.73 × | 1.73 × | 1.73 × | 1.73 × | |
| F4 | Mean | 0.00× | 4.53 × | 3.41 × | 2.78 × | 2.18 × | 5.12 × | 7.67 × | 7.72 × | 1.90 × | 3.07 × |
| Std | 0.00× | 2.14 × | 6.58 × | 8.66 × | 3.66 × | 2.80 × | 4.72 × | 2.26 × | 2.99 × | 1.59 × | |
| Time/s | 6.09 × | 2.59 × | 4.60 × | 8.31 × | 2.56 × | 2.54 × | 1.23 × | 1.57 × | 1.82 × | 7.38 × | |
| p-value | / | 1.73 × | 1.73 × | 1.73 × | 1.73 × | 1.73 × | 1.73 × | 1.73 × | 1.73 × | 1.73 × | |
| F5 | Mean | 6.88 × | 1.77 × | 3.08 × | 7.50 × | 2.59 × | 2.74 × | 5.58 × | 1.27 × | 7.31 × | 2.84 × |
| Std | 3.39 × | 4.11 × | 6.59 × | 0.00× | 4.33 × | 4.78 × | 4.56 × | 2.43 × | 3.57 × | 4.74 × | |
| Time/s | 5.94 × | 2.38 × | 4.50 × | 8.25 × | 2.64 × | 2.53 × | 1.21 × | 1.57 × | 1.82 × | 7.44 × | |
| p-value | / | 1.73 × | 1.73 × | 1.73 × | 1.73 × | 1.73 × | 1.73 × | 1.73 × | 9.59 × | 1.73 × | |
| F6 | Mean | 3.89 × | 1.93 × | 5.79 × | 3.43 × | 2.40 × | 6.63 × | 8.69 × | 8.93 × | 8.63 × | 8.54 × |
| Std | 3.40 × | 1.19 × | 4.13 × | 3.03 × | 1.87 × | 7.05 × | 3.27 × | 4.52 × | 4.98 × | 4.22 × | |
| Time/s | 8.49 × | 3.63 × | 6.63 × | 9.37 × | 3.87 × | 5.01 × | 3.63 × | 2.78 × | 3.02 × | 1.92 × | |
| p-value | / | 6.34 × | 3.87 × | 7.50 × | 3.52 × | 6.27 × | 1.73 × | 1.73 × | 1.73 × | 1.73 × | |
| F7 | Mean | 0.00× | 0.00× | 0.00× | 0.00× | 0.00× | 7.75 × | 5.56 × | 6.03 × | 3.58 × | 4.94 × |
| Std | 0.00× | 0.00× | 0.00× | 0.00× | 0.00× | 4.24 × | 8.66 × | 1.43 × | 1.37 × | 9.79 × | |
| Time/s | 6.05 × | 2.42 × | 4.54 × | 8.26 × | 2.75 × | 2.75 × | 1.68 × | 1.75 × | 1.88 × | 9.09 × | |
| p-value | / | 1.00 × | 1.00 × | 1.00 × | 1.00 × | 1.00 × | 1.22 × | 1.73 × | 3.91 × | 1.73 × | |
| F8 | Mean | 8.88 × | 6.65 × | 4.20 × | 8.88 × | 4.56 × | 8.88 × | 3.44 × | 1.92 × | 1.64 × | 1.05 × |
| Std | 0.00× | 3.64 × | 9.01 × | 0.00× | 6.49 × | 0.00× | 1.77 × | 7.15 × | 3.55 × | 1.18 × | |
| Time/s | 6.21 × | 2.51 × | 4.71 × | 8.48 × | 2.77 × | 2.87 × | 1.58 × | 1.86 × | 1.97 × | 9.31 × | |
| p-value | / | 1.00 × | 1.21 × | 1.00 × | 6.80 × | 1.00 × | 1.73 × | 1.73 × | 3.32 × | 1.73 × | |
| F9 | Mean | 0.00× | 0.00× | 0.00× | 0.00× | 0.00× | 0.00× | 2.35 × | 7.96 × | 2.40 × | 1.10 × |
| Std | 0.00× | 0.00× | 0.00× | 0.00× | 0.00× | 0.00× | 4.91 × | 1.03 × | 5.13 × | 3.91 × | |
| Time/s | 6.71 × | 2.73 × | 5.11 × | 8.58 × | 2.99 × | 3.30 × | 1.97 × | 2.07 × | 2.19 × | 1.25 × | |
| p-value | / | 1.00 × | 1.00 × | 1.00 × | 1.00 × | 1.00 × | 2.63 × | 1.73 × | 3.13 × | 1.73 × | |
| F10 | Mean | 7.41 × | 2.80 × | 1.20 × | 2.08 × | 5.60 × | 1.07 × | 2.76 × | 1.27 × | 1.73 × | 3.96 × |
| Std | 4.06 × | 1.24 × | 6.56 × | 1.14 × | 3.07 × | 5.80 × | 4.16 × | 2.69 × | 9.48 × | 1.11 × | |
| Time/s | 8.05 × | 3.58 × | 6.51 × | 9.25 × | 3.89 × | 5.00 × | 3.70 × | 2.80 × | 3.08 × | 1.97 × | |
| p-value | / | 1.36 × | 1.24 × | 1.73 × | 1.73 × | 1.73 × | 1.73 × | 1.73 × | 1.73 × | 1.73 × | |
| F11 | Mean | 5.06 × | 4.99 × | 5.48 × | 9.51 × | 6.73 × | 5.59 × | 8.99 × | 4.95 × | 5.30 × | 5.42 × |
| Std | 1.18 × | 9.84 × | 5.34 × | 3.50 × | 1.61 × | 6.53 × | 3.26 × | 7.47 × | 1.73 × | 7.92 × | |
| Time/s | 7.75 × | 3.31 × | 6.93 × | 9.70 × | 4.19 × | 5.60 × | 4.11 × | 3.03 × | 3.32 × | 2.23 × | |
| p-value | / | 7.04 × | 2.11 × | 1.92 × | 1.24 × | 6.04 × | 1.92 × | 9.10 × | 9.10 × | 7.19 × | |
| F12 | Mean | 3.20 × | 1.91 × | 5.28 × | 1.71 × | 1.86 × | 9.40 × | 8.44 × | 1.25 × | 1.18 × | 2.08 × |
| Std | 2.18 × | 8.26 × | 1.07 × | 3.65 × | 2.56 × | 5.88 × | 3.96 × | 6.62 × | 3.66 × | 1.79 × | |
| Time/s | 7.05 × | 2.96 × | 6.41 × | 9.39 × | 3.79 × | 4.85 × | 3.41 × | 2.67 × | 2.93 × | 1.84 × | |
| p-value | / | 1.65 × | 1.73 × | 1.73 × | 1.73 × | 1.73 × | 1.73 × | 2.35 × | 1.92 × | 9.84 × | |
| F13 | Mean | 1.03 × | 1.12 × | 2.50 × | 9.12 × | 2.62 × | 1.51 × | 5.10 × | 6.98 × | 6.95 × | 9.20 × |
| Std | 1.27 × | 9.20 × | 5.34 × | 1.65 × | 8.26 × | 7.03 × | 4.20 × | 4.62 × | 1.28 × | 8.87 × | |
| Time/s | 6.85 × | 2.85 × | 6.25 × | 9.24 × | 3.66 × | 4.67 × | 3.13 × | 2.55 × | 2.86 × | 1.73 × | |
| p-value | / | 4.78 × | 1.48 × | 1.73 × | 1.73 × | 1.73 × | 1.73 × | 1.73 × | 1.73 × | 7.66 × | |
| F14 | Mean | 1.22 × | 1.09 × | 7.45 × | 1.77 × | 1.42 × | 2.02 × | 4.56 × | 2.98 × | 2.15 × | 9.35 × |
| Std | 9.52 × | 1.31 × | 2.32 × | 7.60 × | 3.53 × | 1.80 × | 3.71 × | 1.76 × | 3.08 × | 8.48 × | |
| Time/s | 1.86 × | 8.75 × | 1.50 × | 1.52 × | 1.00 × | 1.65 × | 1.49 × | 8.78 × | 9.20 × | 7.56 × | |
| p-value | / | 1.41 × | 2.60 × | 1.73 × | 1.73 × | 1.73 × | 1.73 × | 1.73 × | 1.92 × | 2.21 × | |
| F15 | Mean | 3.35 × | 3.39 × | 3.49 × | 5.47 × | 3.36 × | 3.36 × | 4.19 × | 3.26 × | 3.26 × | 3.90 × |
| Std | 1.02 × | 1.65 × | 8.39 × | 4.62 × | 7.14 × | 5.18 × | 3.25 × | 2.83 × | 2.61 × | 2.67 × | |
| Time/s | 1.51 × | 6.94 × | 1.24 × | 1.34 × | 8.32 × | 1.30 × | 1.14 × | 6.71 × | 6.90 × | 5.76 × | |
| p-value | / | 2.62 × | 3.11 × | 1.73 × | 7.81 × | 2.89 × | 1.73 × | 8.92 × | 1.60 × | 1.92 × |
| Function | CQLHBA | HBA | CSHO | SCQSSA | GJO | AO | BOA | SSA | GWO | RPSO |
|---|---|---|---|---|---|---|---|---|---|---|
| F1 | 1.00 | 3.70 | 2.47 | 5.00 | 6.00 | 2.83 | 8.00 | 9.00 | 7.00 | 10.00 |
| F2 | 1.00 | 3.27 | 2.00 | 6.00 | 5.00 | 3.73 | 8.00 | 9.87 | 7.00 | 9.13 |
| F3 | 1.00 | 3.53 | 3.23 | 5.00 | 6.00 | 2.23 | 7.97 | 10.00 | 7.03 | 9.00 |
| F4 | 1.00 | 3.03 | 3.70 | 5.00 | 6.00 | 2.27 | 8.00 | 10.00 | 7.00 | 9.00 |
| F5 | 5.53 | 1.90 | 7.77 | 10.00 | 7.23 | 3.13 | 9.00 | 1.13 | 5.47 | 3.83 |
| F6 | 2.47 | 4.97 | 3.03 | 2.20 | 5.37 | 3.17 | 7.47 | 9.57 | 7.33 | 9.43 |
| F7 | 4.10 | 4.10 | 4.10 | 4.10 | 4.10 | 4.23 | 6.63 | 9.40 | 5.23 | 9.00 |
| F8 | 2.52 | 2.78 | 5.28 | 2.52 | 5.52 | 2.52 | 7.97 | 9.93 | 6.97 | 9.00 |
| F9 | 4.02 | 4.02 | 4.02 | 4.02 | 4.02 | 4.02 | 6.98 | 8.87 | 5.05 | 10.00 |
| F10 | 1.07 | 2.90 | 3.07 | 4.93 | 3.27 | 6.87 | 8.20 | 10.00 | 5.90 | 8.80 |
| F11 | 3.67 | 3.67 | 5.33 | 9.77 | 6.67 | 5.33 | 9.00 | 3.60 | 3.33 | 4.63 |
| F12 | 2.17 | 2.73 | 7.40 | 9.93 | 7.27 | 5.93 | 9.07 | 4.37 | 4.60 | 1.53 |
| F13 | 2.03 | 2.40 | 4.40 | 9.83 | 7.10 | 6.57 | 9.13 | 5.50 | 6.07 | 1.97 |
| F14 | 2.43 | 1.80 | 4.97 | 9.97 | 6.30 | 6.13 | 9.00 | 6.87 | 5.60 | 1.93 |
| F15 | 4.03 | 4.57 | 6.47 | 10.00 | 4.30 | 4.73 | 8.70 | 1.97 | 2.03 | 8.20 |
| Sum | 38.03 | 49.37 | 67.23 | 98.27 | 84.13 | 63.70 | 123.12 | 110.07 | 85.62 | 105.47 |
| Mean | 2.54 | 3.29 | 4.48 | 6.55 | 5.61 | 4.25 | 8.21 | 7.34 | 5.71 | 7.03 |
| Function | CQLHBA | HBA | CSHO | SCQSSA | GJO | AO | BOA | SSA | GWO | RPSO |
|---|---|---|---|---|---|---|---|---|---|---|
| F1 | 1.00 | 2.97 | 3.57 | 5.00 | 6.00 | 2.47 | 8.00 | 9.50 | 7.00 | 9.50 |
| F2 | 1.00 | 3.43 | 3.17 | 5.00 | 6.00 | 2.40 | 10.00 | 9.00 | 7.00 | 8.00 |
| F3 | 1.00 | 3.97 | 3.03 | 5.00 | 6.70 | 2.00 | 6.30 | 10.00 | 8.00 | 9.00 |
| F4 | 1.00 | 4.00 | 3.00 | 5.00 | 7.43 | 2.00 | 6.00 | 10.00 | 7.63 | 8.93 |
| F5 | 5.93 | 3.80 | 7.90 | 10.00 | 7.10 | 1.00 | 9.00 | 2.40 | 5.07 | 2.80 |
| F6 | 2.97 | 4.77 | 2.67 | 2.13 | 6.07 | 2.77 | 6.67 | 9.00 | 7.97 | 10.00 |
| F7 | 4.07 | 4.07 | 4.07 | 4.07 | 4.07 | 4.07 | 4.20 | 9.00 | 7.40 | 10.00 |
| F8 | 2.43 | 3.77 | 4.77 | 2.43 | 5.83 | 2.43 | 7.83 | 9.83 | 6.83 | 8.83 |
| F9 | 4.00 | 4.00 | 4.00 | 4.00 | 4.00 | 4.00 | 8.00 | 9.00 | 4.00 | 10.00 |
| F10 | 1.00 | 2.63 | 3.03 | 4.80 | 3.67 | 6.87 | 10.00 | 8.23 | 6.00 | 8.77 |
| F11 | 3.30 | 4.33 | 7.00 | 9.87 | 6.57 | 6.37 | 9.07 | 2.30 | 2.70 | 3.50 |
| F12 | 2.60 | 2.67 | 7.97 | 9.83 | 7.03 | 5.13 | 9.17 | 3.47 | 5.87 | 1.27 |
| F13 | 1.73 | 2.50 | 7.90 | 9.93 | 7.07 | 5.20 | 9.07 | 3.93 | 5.83 | 1.83 |
| F14 | 1.57 | 1.53 | 7.87 | 9.97 | 7.07 | 4.90 | 9.03 | 4.30 | 5.87 | 2.90 |
| F15 | 3.17 | 2.47 | 6.97 | 10.00 | 5.03 | 5.70 | 9.00 | 2.20 | 3.10 | 7.37 |
| Sum | 36.77 | 50.90 | 76.90 | 97.03 | 89.63 | 57.30 | 121.33 | 102.17 | 90.27 | 102.70 |
| Mean | 2.45 | 3.39 | 5.13 | 6.47 | 5.98 | 3.82 | 8.09 | 6.81 | 6.02 | 6.85 |
| Function | Item | CQLHBA | HBA | CSHO | SCQSSA | GJO | AO | BOA | SSA | GWO | RPSO |
|---|---|---|---|---|---|---|---|---|---|---|---|
| F1 | Mean | 0.00× | 1.02 × | 3.75 × | 2.83 × | 4.49 × | 3.02 × | 1.26 × | 3.14 × | 1.54 × | 2.59 × |
| Std | 0.00× | 0.00× | 0.00× | 1.38 × | 8.65 × | 0.00× | 9.70 × | 1.84 × | 1.62 × | 7.24 × | |
| Time/s | 9.59 × | 4.25 × | 1.13 × | 2.58 × | 5.25 × | 4.37 × | 1.59 × | 3.75 × | 5.10 × | 1.92 × | |
| p-value | / | 1.73 × | 1.73 × | 1.73 × | 1.73 × | 1.73 × | 1.73 × | 1.73 × | 1.73 × | 1.73 × | |
| F2 | Mean | 0.00× | 9.00 × | 3.68 × | 4.23 × | 3.92 × | 1.34 × | 1.76 × | 2.37 × | 6.12 × | 9.73 × |
| Std | 0.00× | 1.71 × | 1.01 × | 8.66 × | 5.85 × | 7.35 × | 6.62 × | 5.37 × | 3.42 × | 1.73 × | |
| Time/s | 9.88 × | 4.40 × | 1.13 × | 2.57 × | 5.39 × | 4.50 × | 1.63 × | 3.77 × | 5.09 × | 1.92 × | |
| p-value | / | 1.73 × | 1.73 × | 1.73 × | 1.73 × | 1.73 × | 1.73 × | 1.73 × | 1.73 × | 1.73 × | |
| F3 | Mean | 0.00× | 5.95 × | 1.46 × | 3.55 × | 6.56 × | 6.21 × | 1.05 × | 3.15 × | 5.94 × | 9.44 × |
| Std | 0.00× | 0.00× | 0.00× | 1.33 × | 3.45 × | 0.00× | 6.52 × | 1.49 × | 1.21 × | 3.07 × | |
| Time/s | 2.97 × | 1.37 × | 2.54 × | 3.50 × | 1.45 × | 2.30 × | 2.02 × | 1.30 × | 1.43 × | 1.11 × | |
| p-value | / | 1.73 × | 1.73 × | 1.73 × | 1.73 × | 1.73 × | 1.73 × | 1.73 × | 1.73 × | 1.73 × | |
| F4 | Mean | 0.00× | 8.41 × | 1.49 × | 1.35 × | 1.34 × | 1.57 × | 8.11 × | 2.64 × | 4.03 × | 8.67 × |
| Std | 0.00× | 4.20 × | 5.84 × | 4.00 × | 3.86 × | 8.18 × | 5.11 × | 3.73 × | 6.96 × | 1.10 × | |
| Time/s | 9.62 × | 4.25 × | 1.12 × | 2.59 × | 5.20 × | 4.33 × | 1.55 × | 3.67 × | 5.00 × | 1.91 × | |
| p-value | / | 1.73 × | 1.73 × | 1.73 × | 1.73 × | 1.73 × | 1.73 × | 1.73 × | 1.73 × | 1.73 × | |
| F5 | Mean | 1.13 × | 4.34 × | 1.83 × | 2.50 × | 1.66 × | 9.34 × | 2.26 × | 2.29 × | 9.40 × | 2.71 × |
| Std | 1.02 × | 8.47 × | 8.63 × | 0.00× | 8.94 × | 1.44 × | 7.01 × | 1.48 × | 7.33 × | 8.60 × | |
| Time/s | 9.47 × | 4.40 × | 1.12 × | 2.58 × | 5.23 × | 4.33 × | 1.52 × | 3.67 × | 5.08 × | 1.92 × | |
| p-value | / | 1.73 × | 1.73 × | 1.73 × | 1.73 × | 1.73 × | 1.73 × | 1.73 × | 2.60 × | 1.73 × | |
| F6 | Mean | 4.79 × | 2.57 × | 4.78 × | 4.01 × | 5.88 × | 5.19 × | 9.22 × | 1.32 × | 2.88 × | 2.55 × |
| Std | 3.40 × | 2.90 × | 3.54 × | 4.38 × | 3.76 × | 5.40 × | 4.14 × | 3.46 × | 1.43 × | 1.03 × | |
| Time/s | 1.69 × | 7.95 × | 1.68 × | 2.91 × | 9.03 × | 1.19 × | 9.04 × | 7.19 × | 8.72 × | 5.56 × | |
| p-value | / | 3.11 × | 6.29 × | 1.99 × | 1.73 × | 7.97 × | 1.73 × | 1.73 × | 1.73 × | 1.73 × | |
| F7 | Mean | 0.00× | 0.00× | 0.00× | 0.00× | 0.00× | 0.00× | 2.11 × | 1.63 × | 2.45 × | 3.66 × |
| Std | 0.00× | 0.00× | 0.00× | 0.00× | 0.00× | 0.00× | 1.15 × | 4.03 × | 1.34 × | 3.20 × | |
| Time/s | 9.64 × | 4.58 × | 1.14 × | 2.55 × | 5.39 × | 4.98 × | 2.94 × | 4.00 × | 5.17 × | 2.56 × | |
| p-value | / | 1.00 × | 1.00 × | 1.00 × | 1.00 × | 1.00 × | 1.00 × | 1.73 × | 8.93 × | 1.73 × | |
| F8 | Mean | 8.88 × | 3.32 × | 4.32 × | 8.88 × | 9.30 × | 8.88 × | 7.44 × | 6.69 × | 1.13 × | 1.92 × |
| Std | 0.00× | 7.55 × | 6.49 × | 0.00× | 2.55 × | 0.00× | 6.11 × | 8.80 × | 1.00 × | 2.97 × | |
| Time/s | 9.82 × | 4.79 × | 1.15 × | 2.60 × | 5.47 × | 5.11 × | 2.23 × | 4.28 × | 5.27 × | 2.44 × | |
| p-value | / | 6.25 × | 7.24 × | 1.00 × | 4.13 × | 1.00 × | 1.73 × | 1.73 × | 1.52 × | 1.73 × | |
| F9 | Mean | 0.00× | 0.00× | 0.00× | 0.00× | 0.00× | 0.00× | 7.16 × | 7.11 × | 0.00× | 5.27 × |
| Std | 0.00× | 0.00× | 0.00× | 0.00× | 0.00× | 0.00× | 5.59 × | 2.03 × | 0.00× | 7.73 × | |
| Time/s | 1.06 × | 4.98 × | 1.22 × | 2.63 × | 5.91 × | 5.73 × | 2.99 × | 4.51 × | 5.63 × | 3.08 × | |
| p-value | / | 1.00 × | 1.00 × | 1.00 × | 1.00 × | 1.00 × | 1.73 × | 1.73 × | 1.00 × | 1.73 × | |
| F10 | Mean | 2.94 × | 8.67 × | 2.90 × | 5.03 × | 4.06 × | 2.33 × | 1.47 × | 1.61 × | 6.73 × | 1.83 × |
| Std | 0.00× | 4.71 × | 1.59 × | 1.87 × | 2.22 × | 9.08 × | 5.68 × | 8.64 × | 3.69 × | 4.88 × | |
| Time/s | 1.61 × | 8.11 × | 1.65 × | 2.91 × | 9.20 × | 1.26 × | 1.03 × | 7.83 × | 9.26 × | 6.17 × | |
| p-value | / | 1.73 × | 1.73 × | 1.73 × | 1.73 × | 1.73 × | 1.73 × | 1.73 × | 1.73 × | 1.73 × | |
| F11 | Mean | 5.06 × | 4.99 × | 5.48 × | 9.51 × | 6.73 × | 5.59 × | 8.99 × | 4.95 × | 5.30 × | 5.42 × |
| Std | 1.18 × | 9.84 × | 5.34 × | 3.50 × | 1.61 × | 6.53 × | 3.26 × | 7.47 × | 1.73 × | 7.92 × | |
| Time/s | 7.75 × | 3.31 × | 6.93 × | 9.70 × | 4.19 × | 5.60 × | 4.11 × | 3.03 × | 3.32 × | 2.23 × | |
| p-value | / | 4.72 × | 1.92 × | 1.73 × | 3.52 × | 1.73 × | 1.73 × | 3.68 × | 1.78 × | 5.86 × | |
| F12 | Mean | 3.20 × | 1.91 × | 5.28 × | 1.71 × | 1.86 × | 9.40 × | 8.44 × | 1.25 × | 1.18 × | 2.08 × |
| Std | 2.18 × | 8.26 × | 1.07 × | 3.65 × | 2.56 × | 5.88 × | 3.96 × | 6.62 × | 3.66 × | 1.79 × | |
| Time/s | 7.05 × | 2.96 × | 6.41 × | 9.39 × | 3.79 × | 4.85 × | 3.41 × | 2.67 × | 2.93 × | 1.84 × | |
| p-value | / | 9.59 × | 1.73 × | 1.73 × | 1.73 × | 1.73 × | 1.73 × | 1.85 × | 1.73 × | 1.02 × | |
| F13 | Mean | 1.03 × | 1.12 × | 2.50 × | 9.12 × | 2.62 × | 1.51 × | 5.10 × | 6.98 × | 6.95 × | 9.20 × |
| Std | 1.27 × | 9.20 × | 5.34 × | 1.65 × | 8.26 × | 7.03 × | 4.20 × | 4.62 × | 1.28 × | 8.87 × | |
| Time/s | 6.85 × | 2.85 × | 6.25 × | 9.24 × | 3.66 × | 4.67 × | 3.13 × | 2.55 × | 2.86 × | 1.73 × | |
| p-value | / | 1.75 × | 1.73 × | 1.73 × | 1.73 × | 1.73 × | 1.73 × | 2.13 × | 1.73 × | 3.18 × | |
| F14 | Mean | 1.22 × | 1.09 × | 7.45 × | 1.77 × | 1.42 × | 2.02 × | 4.56 × | 2.98 × | 2.15 × | 9.35 × |
| Std | 9.52 × | 1.31 × | 2.32 × | 7.60 × | 3.53 × | 1.80 × | 3.71 × | 1.76 × | 3.08 × | 8.48 × | |
| Time/s | 1.86 × | 8.75 × | 1.50 × | 1.52 × | 1.00 × | 1.65 × | 1.49 × | 8.78 × | 9.20 × | 7.56 × | |
| p-value | / | 4.65 × | 1.73 × | 1.73 × | 1.73 × | 1.73 × | 1.73 × | 1.73 × | 1.73 × | 2.88 × | |
| F15 | Mean | 3.35 × | 3.39 × | 3.49 × | 5.47 × | 3.36 × | 3.36 × | 4.19 × | 3.26 × | 3.26 × | 3.90 × |
| Std | 1.02 × | 1.65 × | 8.39 × | 4.62 × | 7.14 × | 5.18 × | 3.25 × | 2.83 × | 2.61 × | 2.67 × | |
| Time/s | 1.51 × | 6.94 × | 1.24 × | 1.34 × | 8.32 × | 1.30 × | 1.14 × | 6.71 × | 6.90 × | 5.76 × | |
| p-value | / | 1.99 × | 4.07 × | 1.73 × | 1.11 × | 1.25 × | 1.73 × | 4.72 × | 5.30 × | 2.60 × |
| Function | Item | CQLHBA | HBA | CSHO | SCQSSA | GJO | AO | BOA | SSA | GWO | RPSO |
|---|---|---|---|---|---|---|---|---|---|---|---|
| F16 | Mean | 4.03 × | 6.69 × | 1.66 × | 1.86 × | 1.50 × | 4.62 × | 6.33 × | 8.29 × | 1.28 × | 3.90 × |
| Std | 1.56 × | 3.39 × | 3.98 × | 3.81 × | 4.80 × | 1.22 × | 2.35 × | 6.68 × | 3.50 × | 1.30 × | |
| Time/s | 5.13 × | 2.01 × | 4.27 × | 6.69 × | 2.91 × | 3.53 × | 2.34 × | 2.08 × | 1.98 × | 1.10 × | |
| p-value | / | 8.31 × | 1.73 × | 1.73 × | 1.73 × | 1.73 × | 1.73 × | 1.29 × | 1.73 × | 6.73 × | |
| F17 | Mean | 4.53 × | 4.56 × | 7.50 × | 4.19 × | 6.15 × | 5.22 × | 3.19 × | 4.59 × | 5.03 × | 4.39 × |
| Std | 2.17 × | 1.43 × | 1.86 × | 6.33 × | 1.06 × | 4.45 × | 8.85 × | 2.34 × | 3.59 × | 2.80 × | |
| Time/s | 5.19 × | 2.06 × | 4.29 × | 6.87 × | 2.97 × | 3.57 × | 2.28 × | 2.07 × | 2.03 × | 1.09 × | |
| p-value | / | 9.75 × | 1.73 × | 1.73 × | 1.73 × | 1.92 × | 1.73 × | 8.77 × | 6.34 × | 7.86 × | |
| F18 | Mean | 7.14 × | 9.36 × | 8.84 × | 4.87 × | 3.79 × | 1.56 × | 1.74 × | 8.37 × | 2.54 × | 4.45 × |
| Std | 7.06 × | 7.49 × | 1.33 × | 1.35 × | 5.41 × | 8.08 × | 1.06 × | 7.02 × | 6.72 × | 3.55 × | |
| Time/s | 5.32 × | 2.08 × | 4.39 × | 6.74 × | 3.00 × | 3.61 × | 2.34 × | 2.10 × | 2.05 × | 1.15 × | |
| p-value | / | 1.85 × | 1.73 × | 1.73 × | 1.73 × | 1.73 × | 1.73 × | 2.54 × | 5.75 × | 1.59 × | |
| F19 | Mean | 2.09 × | 2.11 × | 2.11 × | 2.41 × | 2.12 × | 2.11 × | 2.19 × | 2.11 × | 2.09 × | 2.14 × |
| Std | 5.57 × | 7.64 × | 2.91 × | 7.89 × | 4.90 × | 3.29 × | 2.28 × | 3.98 × | 5.58 × | 5.25 × | |
| Time/s | 8.28 × | 3.47 × | 6.64 × | 8.08 × | 4.40 × | 6.39 × | 5.09 × | 3.48 × | 3.40 × | 2.54 × | |
| p-value | / | 4.91 × | 1.02 × | 1.73 × | 8.22 × | 6.87 × | 7.69 × | 1.06 × | 9.43 × | 3.61 × | |
| F20 | Mean | 2.48 × | 2.48 × | 2.60 × | 4.10 × | 2.58 × | 2.56 × | 3.98 × | 2.50 × | 2.52 × | 2.47 × |
| Std | 3.78 × | 5.24 × | 5.41 × | 3.43 × | 5.34 × | 4.29 × | 4.74 × | 2.70 × | 3.23 × | 5.66 × | |
| Time/s | 8.31 × | 5.16 × | 1.12 × | 9.04 × | 4.75 × | 6.29 × | 5.00 × | 3.45 × | 3.32 × | 2.41 × | |
| p-value | / | 1.65 × | 1.73 × | 1.73 × | 1.73 × | 1.73 × | 1.73 × | 1.36 × | 1.73 × | 2.16 × | |
| F21 | Mean | 3.88 × | 3.61 × | 3.27 × | 7.11 × | 4.03 × | 3.41 × | 3.88 × | 4.09 × | 3.77 × | 4.38 × |
| Std | 9.86 × | 1.18 × | 6.01 × | 1.24 × | 1.47 × | 1.16 × | 1.85 × | 1.29 × | 8.93 × | 9.95 × | |
| Time/s | 7.22 × | 2.98 × | 5.83 × | 7.72 × | 3.86 × | 5.37 × | 4.09 × | 2.97 × | 2.86 × | 1.98 × | |
| p-value | / | 2.99 × | 2.18 × | 1.73 × | 5.04 × | 2.62 × | 4.91 × | 3.82 × | 9.92 × | 5.19 × |
| Function | CQLHBA | HBA | CSHO | SCQSSA | GJO | AO | BOA | SSA | GWO | RPSO |
|---|---|---|---|---|---|---|---|---|---|---|
| F16 | 2.00 | 3.10 | 6.47 | 9.83 | 5.93 | 8.23 | 8.93 | 3.03 | 5.60 | 1.87 |
| F17 | 2.87 | 2.57 | 7.77 | 9.87 | 6.93 | 5.87 | 9.13 | 2.67 | 5.00 | 2.33 |
| F18 | 2.33 | 3.20 | 6.83 | 9.97 | 7.50 | 6.00 | 9.03 | 2.90 | 5.20 | 2.03 |
| F19 | 3.43 | 3.70 | 5.00 | 10.00 | 5.30 | 4.93 | 8.40 | 4.50 | 3.67 | 6.07 |
| F20 | 2.63 | 2.33 | 7.20 | 9.67 | 6.93 | 6.33 | 9.33 | 4.40 | 5.03 | 1.13 |
| F21 | 4.97 | 4.60 | 4.13 | 9.57 | 5.50 | 4.30 | 5.00 | 5.67 | 4.90 | 6.37 |
| Sum | 18.23 | 19.50 | 37.40 | 58.90 | 38.10 | 35.67 | 49.83 | 23.17 | 29.40 | 19.80 |
| Mean | 3.04 | 3.25 | 6.23 | 9.82 | 6.35 | 5.94 | 8.31 | 3.86 | 4.90 | 3.30 |
| Methods | |||
|---|---|---|---|
| PSO | 0.7286 | 0.6460 | 270.6948 |
| GWO | 0.7889 | 0.4076 | 263.8970 |
| AO | 0.7887 | 0.4085 | 263.9236 |
| BOA | 0.7720 | 0.4614 | 264.5075 |
| GJO | 0.7826 | 0.4258 | 263.9302 |
| CSHO | 0.7987 | 0.3806 | 263.9674 |
| HBA | 0.7881 | 0.4099 | 263.8961 |
| CQLHBA | 0.7887 | 0.4083 | 263.8961 |
| Methods | ||||
|---|---|---|---|---|
| PSO | 0.0701 | 0.9605 | 2.0000 | 0.0188 |
| L-SHADE | 0.0839 | 0.9342 | 4.5046 | 0.0428 |
| WOA | 0.0523 | 0.3720 | 10.4470 | 0.0127 |
| BOA | 0.0500 | 0.3148 | 14.5890 | 0.0131 |
| GJO | 0.0500 | 0.3169 | 14.1009 | 0.0128 |
| CSHO | 0.0500 | 0.3165 | 14.1555 | 0.0129 |
| HBA | 0.0541 | 0.4186 | 8.4081 | 0.0128 |
| CQLHBA | 0.0500 | 0.3174 | 14.0311 | 0.0127 |
| Methods | R = 15, Nodes = 20 | R = 10, Nodes = 45 | ||
|---|---|---|---|---|
| Coverage | Time/s | Coverage | Time/s | |
| CQLHBA (our) | 97.57% | 2.41 | 95.94% | 4.61 |
| HBA | 94.28% | 2.10 | 90.23% | 3.91 |
| DSA | 94.38% | 5.24 | 92.37% | 9.74 |
| GJO | 87.02% | 3.98 | 84.18% | 7.55 |
| MPA | 91.53% | 4.45 | 90.13% | 8.38 |
| GWO | 89.53% | 5.39 | 84.04% | 10.54 |
| RPSO | 94.13% | 2.57 | 90.16% | 4.24 |
| BOA | 89.60% | 2.63 | 84.97% | 4.87 |
Disclaimer/Publisher’s Note: The statements, opinions and data contained in all publications are solely those of the individual author(s) and contributor(s) and not of MDPI and/or the editor(s). MDPI and/or the editor(s) disclaim responsibility for any injury to people or property resulting from any ideas, methods, instructions or products referred to in the content. |
© 2025 by the authors. Licensee MDPI, Basel, Switzerland. This article is an open access article distributed under the terms and conditions of the Creative Commons Attribution (CC BY) license (https://creativecommons.org/licenses/by/4.0/).
Share and Cite
Yang, X.; Zhang, M. CQLHBA: Node Coverage Optimization Using Chaotic Quantum-Inspired Leader Honey Badger Algorithm. Biomimetics 2025, 10, 850. https://doi.org/10.3390/biomimetics10120850
Yang X, Zhang M. CQLHBA: Node Coverage Optimization Using Chaotic Quantum-Inspired Leader Honey Badger Algorithm. Biomimetics. 2025; 10(12):850. https://doi.org/10.3390/biomimetics10120850
Chicago/Turabian StyleYang, Xiaoliu, and Mengjian Zhang. 2025. "CQLHBA: Node Coverage Optimization Using Chaotic Quantum-Inspired Leader Honey Badger Algorithm" Biomimetics 10, no. 12: 850. https://doi.org/10.3390/biomimetics10120850
APA StyleYang, X., & Zhang, M. (2025). CQLHBA: Node Coverage Optimization Using Chaotic Quantum-Inspired Leader Honey Badger Algorithm. Biomimetics, 10(12), 850. https://doi.org/10.3390/biomimetics10120850



