Effect of Caudal Keel Structure on the Head Stability of a Bionic Dolphin Robot
Abstract
1. Introduction
2. Experimental and Numerical Methods
2.1. Experimental Investigation
2.1.1. Robotic Platform and Experimental Setup
2.1.2. Caudal Keel Design and Fabrication
2.2. Numerical Simulation
2.2.1. Geometric Model
2.2.2. Computational Domain and Boundary Conditions
2.2.3. Governing Equations and Coupling Method
2.3. Numerical Verification
2.4. Performance Metrics and Data Analysis
3. Analysis of Experimental and Numerical Results
3.1. Head Stability Analysis: Experiment and Simulation
3.2. Attenuation and Decomposition of the Pitching Moment
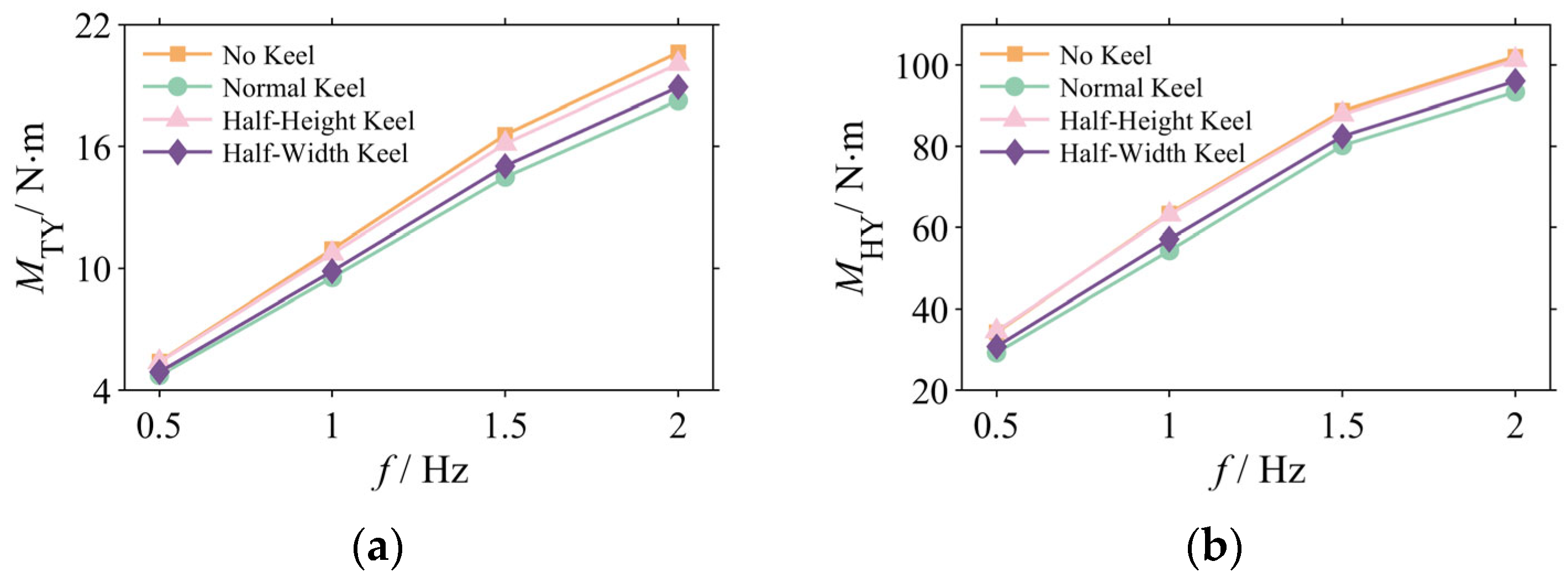
3.2.1. Analysis of Pitching Moment Amplitudes
3.2.2. Frequency Domain Analysis
3.3. Mechanism Analysis: From Flow Field Reconstruction to Pressure Field Optimization
3.3.1. Vorticity Field Analysis
3.3.2. Pressure Field Analysis and Its Coupling with Vorticity
3.3.3. Analysis of Surface Pressure Distribution on the Robotic Dolphin
3.4. Analysis of Propulsive Energetics
3.5. Systematic Investigation of Keel Height
4. Discussion
5. Conclusions
Author Contributions
Funding
Institutional Review Board Statement
Informed Consent Statement
Data Availability Statement
Conflicts of Interest
References
- Hasan, K.; Ahmad, S.; Liaf, A.F.; Karimi, M.; Ahmed, T.; Shawon, M.A.; Mekhilef, S. Oceanic Challenges to Technological Solutions: A Review of Autonomous Underwater Vehicle Path Technologies in Biomimicry, Control, Navigation, and Sensing. IEEE Access 2024, 12, 46202–46231. [Google Scholar] [CrossRef]
- Rozhdestvensky, K.; Zhao, B. Recent Advances in Hydrodynamics of Wing Propulsive Lifting Systems for Ships and Underwater Vehicles. Phys. Fluids 2023, 35, 111302. [Google Scholar] [CrossRef]
- Cui, Z.; Li, L.; Wang, Y.; Zhong, Z.; Li, J. Review of Research and Control Technology of Underwater Bionic Robots. Intell. Mar. Technol. Syst. 2023, 1, 7. [Google Scholar] [CrossRef]
- Lin, Y.; Guo, J.; Li, H.; Zhu, H.; Huang, H.; Chen, Y. Study on the Motion Stability of the Autonomous Underwater Helicopter. J. Mar. Sci. Eng. 2022, 10, 60. [Google Scholar] [CrossRef]
- Bandyopadhyay, P.R. Highly Maneuverable Biorobotic Underwater Vehicles. In Springer Handbook of Ocean Engineering; Dhanak, M.R., Xiros, N.I., Eds.; Springer International Publishing: Cham, Switzerland, 2016; pp. 281–300. ISBN 978-3-319-16649-0. [Google Scholar]
- Mazlan, A.N.A.; McGookin, E. Modelling and Control of a Biomimetic Autonomous Underwater Vehicle. In Proceedings of the 2012 12th International Conference on Control Automation Robotics & Vision (ICARCV), Guangzhou, China, 5–7 December 2012; pp. 88–93. [Google Scholar]
- Wang, T.; Liang, J.; Shen, G.; Tan, G. Stabilization Based Design and Experimental Research of a Fish Robot. In Proceedings of the 2005 IEEE/RSJ International Conference on Intelligent Robots and Systems, Edmonton, AB, Canada, 2–6 August 2005; IEEE: Piscataway, NJ, USA, 2005; pp. 954–959. [Google Scholar]
- Liu, Y.; Wang, L.; Hu, L.; Cui, H.; Wang, S. Analysis of the Influence of Attitude Error on Underwater Positioning and Its High-Precision Realization Algorithm. Remote Sens. 2022, 14, 3878. [Google Scholar] [CrossRef]
- Picardi, G.; Astolfi, A.; Chatzievangelou, D.; Aguzzi, J.; Calisti, M. Underwater Legged Robotics: Review and Perspectives. Bioinspir. Biomim. 2023, 18, 031001. [Google Scholar] [CrossRef]
- Le, K.D.; Nguyen, H.D.; Ranmuthugala, D.; Forrest, A. A Heading Observer for ROVs under Roll and Pitch Oscillations and Acceleration Disturbances Using Low-Cost Sensors. Ocean Eng. 2015, 110, 152–162. [Google Scholar] [CrossRef]
- Deng, X.; Avadhanula, S. Biomimetic Micro Underwater Vehicle with Oscillating Fin Propulsion: System Design and Force Measurement. In Proceedings of the Proceedings of the 2005 IEEE International Conference on Robotics and Automation, Barcelona, Spain, 18–22 April 2005; pp. 3312–3317. [Google Scholar]
- Ma, G.; Chen, F.; Yu, J.; Wang, K. Numerical Investigation of Trajectory and Attitude Robustness of an Underwater Vehicle Considering the Uncertainty of Platform Velocity and Yaw Angle. J. Fluids Eng. 2018, 141, 021106. [Google Scholar] [CrossRef]
- Hamilton, J.L.; Dillaman, R.M.; McLellan, W.A.; Pabst, D.A. Structural Fiber Reinforcement of Keel Blubber in Harbor Porpoise (Phocoena phocoena). J. Morphol. 2004, 261, 105–117. [Google Scholar] [CrossRef]
- Chaumel, J.; Wainwright, D.K.; Webb, J.F.; White, C.F.; Lauder, G.V. The Tuna Keel Is a Mechanosensory Structure. iScience 2025, 28, 111578. [Google Scholar] [CrossRef]
- Huang, S.; Hu, Y.; Wang, Y. Research on Aerodynamic Performance of a Novel Dolphin Head-Shaped Bionic Airfoil. Energy 2021, 214, 118179. [Google Scholar] [CrossRef]
- Zhang, J.-D.; Sung, H.J.; Huang, W.-X. Specialization of Tuna: A Numerical Study on the Function of Caudal Keels. Phys. Fluids 2020, 32, 111902. [Google Scholar] [CrossRef]
- Wang, R.; Wang, S.; Wang, Y.; Cheng, L.; Tan, M. Development and Motion Control of Biomimetic Underwater Robots: A Survey. IEEE Trans. Syst. Man Cybern. Syst. 2022, 52, 833–844. [Google Scholar] [CrossRef]
- Hermes, M.; Ishida, M.; Luhar, M.; Tolley, M.T. Bioinspired Shape-Changing Soft Robots for Underwater Locomotion: Actuation and Optimization for Crawling and Swimming. In Bioinspired Sensing, Actuation, and Control in Underwater Soft Robotic Systems; Paley, D.A., Wereley, N.M., Eds.; Springer: Cham, Switzerland, 2021; pp. 7–39. ISBN 978-3-030-50476-2. [Google Scholar]
- Du, X.; Chen, D.; Yan, Z. Research on Control Method of Unmanned Underwater Vehicle Dynamic Positioning Based on Energy Consumption Optimization. Int. J. Adv. Robot. Syst. 2020, 17, 1729881420933835. [Google Scholar] [CrossRef]
- Yang, J.; Chen, Y.; Zhang, J.-D.; Huang, W.-X.; Sung, H.J. A Self-Propelled Flexible Plate with a Keel-like Structure. Phys. Fluids 2021, 33, 031902. [Google Scholar] [CrossRef]
- Wang, J.; Tan, X. A Dynamic Model for Tail-Actuated Robotic Fish with Drag Coefficient Adaptation. Mechatronics 2013, 23, 659–668. [Google Scholar] [CrossRef]
- Yang, Z.; Gong, W.; Chen, H.; Wang, S.; Zhang, G. Research on the Turning Maneuverability of a Bionic Robotic Dolphin. IEEE Access 2022, 10, 7368–7383. [Google Scholar] [CrossRef]
- Fotuhi, M.J.; Hazem, Z.B.; Bingül, Z. Comparison of Joint Friction Estimation Models for Laboratory 2 DOF Double Dual Twin Rotor Aero-Dynamical System. In Proceedings of the IECON 2018—44th Annual Conference of the IEEE Industrial Electronics Society, Washington, DC, USA, 21–23 October 2018; pp. 2231–2236. [Google Scholar]
- Zhong, S.-Y.; Gao, T.-Y.; Huang, W.-P.; Sun, P.-N.; Yu, C.; Zhao, W.; Guo, Z.-Q. Study on the Effect of Flexible Passive Deformation of Tuna Caudal Fin on Swimming Performance. Biomimetics 2024, 9, 669. [Google Scholar] [CrossRef]
- Menter, F.R. Two-Equation Eddy-Viscosity Turbulence Models for Engineering Applications. AIAA J. 1994, 32, 1598–1605. [Google Scholar] [CrossRef]
- Liu, P.; Wang, S.; Liu, R.; Shang, Z. Effects of St and Re on Propulsive Performance of Bionic Oscillating Caudal Fin. Ocean Eng. 2020, 217, 107933. [Google Scholar] [CrossRef]
- Pramanik, R.; Verstappen, R.W.C.P.; Onck, P.R. Computational Fluid–Structure Interaction in Biology and Soft Robots: A Review. Phys. Fluids 2024, 36, 101302. [Google Scholar] [CrossRef]
- Zhao, P.; Zhang, X.; Wu, J.; Lan, X.; Leng, J.; Liu, Y. Analysis and Control of Hydrofoil Vortex-Induced Vibration. Ocean Eng. 2024, 313, 119321. [Google Scholar] [CrossRef]
- Kumar, D.; Mittal, M.; Sen, S. Modification of Response and Suppression of Vortex-Shedding in Vortex-Induced Vibrations of an Elliptic Cylinder. Int. J. Heat Fluid Flow 2018, 71, 406–419. [Google Scholar] [CrossRef]
- Zhou, Y.; Luo, Z.; Liu, Q.; Zhou, Y.; Xie, W. Numerical Study on the Control of Flow in the Rudder-Body Junction Region Using High-Energy Jet Array. Aerosp. Sci. Technol. 2025, 163, 110335. [Google Scholar] [CrossRef]
- Noren, S.R.; Biedenbach, G.; Edwards, E.F. Ontogeny of Swim Performance and Mechanics in Bottlenose Dolphins(Tursiops truncatus). J. Exp. Biol. 2006, 209, 4724–4731. [Google Scholar] [CrossRef] [PubMed]
- Usherwood, J.R. Limiting and Optimal Strouhal Numbers or Tip Speed Ratios for Cruising Propulsion by Fins, Flukes, Wings and Propellers. J. R. Soc. Interface 2025, 22, 20240730. [Google Scholar] [CrossRef] [PubMed]
- Wu, Z.; Yu, J.; Yuan, J.; Tan, M. Towards a Gliding Robotic Dolphin: Design, Modeling, and Experiments. IEEE/ASME Trans. Mechatron. 2019, 24, 260–270. [Google Scholar] [CrossRef]















| Model Name | Height (mm) | Width (mm) | h/c | w/c |
|---|---|---|---|---|
| No Keel | - | - | - | - |
| Normal Keel | 44 | 50 | 0.160 | 0.182 |
| Half-Height Keel | 22 | 50 | 0.080 | 0.182 |
| Half-Width Keel | 44 | 25 | 0.160 | 0.091 |
| Grid Scheme | Number of Cells (Million) | Amplitude of MY (N·m) | Difference from Previous Grid (%) |
|---|---|---|---|
| Coarse | 1.19 | 83.21 | - |
| Medium | 2.20 | 83.23 | 0.024 |
| Fine | 4.49 | 83.19 | −0.048 |
| Time-Step Scheme | Time Step Δt | Amplitude of MY (N·m) | Difference from Previous Grid (%) |
|---|---|---|---|
| Coarse | T/50 | 83.26 | - |
| Medium | T/100 | 83.23 | −0.036 |
| Fine | T/200 | 83.25 | 0.024 |
Disclaimer/Publisher’s Note: The statements, opinions and data contained in all publications are solely those of the individual author(s) and contributor(s) and not of MDPI and/or the editor(s). MDPI and/or the editor(s) disclaim responsibility for any injury to people or property resulting from any ideas, methods, instructions or products referred to in the content. |
© 2025 by the authors. Licensee MDPI, Basel, Switzerland. This article is an open access article distributed under the terms and conditions of the Creative Commons Attribution (CC BY) license (https://creativecommons.org/licenses/by/4.0/).
Share and Cite
Gong, W.; Wei, Y.; Chen, H. Effect of Caudal Keel Structure on the Head Stability of a Bionic Dolphin Robot. Biomimetics 2025, 10, 756. https://doi.org/10.3390/biomimetics10110756
Gong W, Wei Y, Chen H. Effect of Caudal Keel Structure on the Head Stability of a Bionic Dolphin Robot. Biomimetics. 2025; 10(11):756. https://doi.org/10.3390/biomimetics10110756
Chicago/Turabian StyleGong, Weijie, Yanxiong Wei, and Hong Chen. 2025. "Effect of Caudal Keel Structure on the Head Stability of a Bionic Dolphin Robot" Biomimetics 10, no. 11: 756. https://doi.org/10.3390/biomimetics10110756
APA StyleGong, W., Wei, Y., & Chen, H. (2025). Effect of Caudal Keel Structure on the Head Stability of a Bionic Dolphin Robot. Biomimetics, 10(11), 756. https://doi.org/10.3390/biomimetics10110756

