Improving Functional Exercises Based on Experts’ Evaluation Weights for Emergency Responses
Abstract
:1. Introduction
- Which weighting method is the most suitable for determining the importance weights of the different response actions? The response actions consist of an action type layer and a capability layer, which will be explained later.
- What are the similarities and differences in the importance weights of the action types and capabilities across the different disaster types?
- How can we arrange the functional exercise injects based on the obtained importance weights?
2. Methods
2.1. Strategy for Analysis
2.2. Methods for Estimating Importance Weights
2.2.1. Selection of Weighting Method
2.2.2. Applying the AHP
2.2.3. The Survey
- -
- Academic qualifications: one doctorate and six masters in fire prevention, firefighting, and rescue.
- -
- Research fields: firefighting, rescue, and natural disaster response.
- -
- Subjects taught: basic rescue; personal techniques and rescue teams; first aid; training in using specialized rescue equipment; organizing rescue in a fire; rescue when houses and structures collapse; rescue when there is an incident at a chemical facility; organizing rescue in some special situations (earthquake, tsunami, and others); organizing rescue during motor traffic incidents; organizing underwater rescue; organizing work in professional firefighting teams; and responding to climate change.
- -
- Teaching experience: 7–17 years.
2.3. Method for Calculating and Comparing Importance Weights
2.4. Improving Exercise Injects Based on Response Action Weights
| Action Type | Report | Decision Making | Suggestion | Discussion | Maneuver |
|---|---|---|---|---|---|
| Number of injects | 10→5 | 40 | 4 | 12→19 | 3→1 |
| Action Types | Average Weight (Figure 3) | Number of Injects (Table 7) | Exercise Weight for Each Action Type |
|---|---|---|---|
| Report | 0.155 | 5 | 0.155 × 5 = 0.78 |
| Decision making | 0.411 | 40 | 0.411 × 40 = 16.44 |
| Suggestion | 0.064 | 4 | 0.064 × 4 = 0.25 |
| Discussion | 0.279 | 19 | 0.279 × 19 = 5.31 |
| Maneuver | 0.091 | 1 | 0.091 × 1 = 0.09 |
| Capabilities | Exercise Decision Weights |
|---|---|
| Raise awareness levels | 9.50 |
| Reduce time of participant response actions | 8.83 |
| Increase response actions completion percentage | 4.55 |

3. Results
3.1. Disaster Types and Importance Weights of Response Actions
3.1.1. Action Type Weights
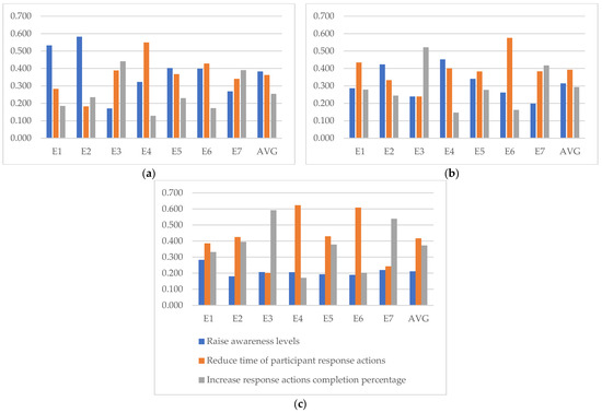
3.1.2. Capacity Weights within Each Action Type
3.1.3. Decision Weights of Capabilities
3.2. An Example of Improving the Exercise Inject Structure Based on the Obtained Weights
4. Discussion
5. Conclusions and Limitations
Author Contributions
Funding
Institutional Review Board Statement
Informed Consent Statement
Data Availability Statement
Acknowledgments
Conflicts of Interest
Appendix A. Pairwise Comparison Questions for the Lower Levels
| Report | Raise awareness levels | 9 | 8 | 7 | 6 | 5 | 4 | 3 | 2 | 1 | 2 | 3 | 4 | 5 | 6 | 7 | 8 | 9 | Reduce time of participant response actions |
| Raise awareness levels | 9 | 8 | 7 | 6 | 5 | 4 | 3 | 2 | 1 | 2 | 3 | 4 | 5 | 6 | 7 | 8 | 9 | Increase response actions completion percentage | |
| Reduce time of participant response actions | 9 | 8 | 7 | 6 | 5 | 4 | 3 | 2 | 1 | 2 | 3 | 4 | 5 | 6 | 7 | 8 | 9 | Increase response actions completion percentage | |
| Decision Making | Raise awareness levels | 9 | 8 | 7 | 6 | 5 | 4 | 3 | 2 | 1 | 2 | 3 | 4 | 5 | 6 | 7 | 8 | 9 | Reduce time of participant response actions |
| Raise awareness levels | 9 | 8 | 7 | 6 | 5 | 4 | 3 | 2 | 1 | 2 | 3 | 4 | 5 | 6 | 7 | 8 | 9 | Increase response actions completion percentage | |
| Reduce time of participant response actions | 9 | 8 | 7 | 6 | 5 | 4 | 3 | 2 | 1 | 2 | 3 | 4 | 5 | 6 | 7 | 8 | 9 | Increase response actions completion percentage | |
| Suggestion | Raise awareness levels | 9 | 8 | 7 | 6 | 5 | 4 | 3 | 2 | 1 | 2 | 3 | 4 | 5 | 6 | 7 | 8 | 9 | Reduce time of participant response actions |
| Raise awareness levels | 9 | 8 | 7 | 6 | 5 | 4 | 3 | 2 | 1 | 2 | 3 | 4 | 5 | 6 | 7 | 8 | 9 | Increase response actions completion percentage | |
| Reduce time of participant response actions | 9 | 8 | 7 | 6 | 5 | 4 | 3 | 2 | 1 | 2 | 3 | 4 | 5 | 6 | 7 | 8 | 9 | Increase response actions completion percentage | |
| Discussion | Raise awareness levels | 9 | 8 | 7 | 6 | 5 | 4 | 3 | 2 | 1 | 2 | 3 | 4 | 5 | 6 | 7 | 8 | 9 | Reduce time of participant response actions |
| Raise awareness levels | 9 | 8 | 7 | 6 | 5 | 4 | 3 | 2 | 1 | 2 | 3 | 4 | 5 | 6 | 7 | 8 | 9 | Increase response actions completion percentage | |
| Reduce time of participant response actions | 9 | 8 | 7 | 6 | 5 | 4 | 3 | 2 | 1 | 2 | 3 | 4 | 5 | 6 | 7 | 8 | 9 | Increase response actions completion percentage | |
| Maneuver | Raise awareness levels | 9 | 8 | 7 | 6 | 5 | 4 | 3 | 2 | 1 | 2 | 3 | 4 | 5 | 6 | 7 | 8 | 9 | Reduce time of participant response actions |
| Raise awareness levels | 9 | 8 | 7 | 6 | 5 | 4 | 3 | 2 | 1 | 2 | 3 | 4 | 5 | 6 | 7 | 8 | 9 | Increase response actions completion percentage | |
| Reduce time of participant response actions | 9 | 8 | 7 | 6 | 5 | 4 | 3 | 2 | 1 | 2 | 3 | 4 | 5 | 6 | 7 | 8 | 9 | Increase response actions completion percentage |
Appendix B. Estimated Capability Weights within Each Action Type for Each Expert
| Capabilities | E1 | E2 | ||||||||
|---|---|---|---|---|---|---|---|---|---|---|
| R | DM | S | D | M | R | DM | S | D | M | |
| Raise awareness levels | 0.098 | 0.623 | 0.297 | 0.738 | 0.087 | 0.087 | 0.608 | 0.110 | 0.751 | 0.067 |
| Reduce time of participant response actions | 0.715 | 0.240 | 0.164 | 0.094 | 0.639 | 0.639 | 0.120 | 0.309 | 0.064 | 0.689 |
| Increase completion percentage of response actions | 0.187 | 0.137 | 0.539 | 0.168 | 0.274 | 0.274 | 0.272 | 0.581 | 0.185 | 0.244 |
| E3 | E4 | |||||||||
| R | DM | S | D | M | R | DM | S | D | M | |
| Raise awareness levels | 0.103 | 0.120 | 0.104 | 0.633 | 0.277 | 0.055 | 0.179 | 0.100 | 0.777 | 0.179 |
| Reduce time of participant response actions | 0.174 | 0.608 | 0.231 | 0.106 | 0.129 | 0.587 | 0.739 | 0.600 | 0.069 | 0.739 |
| Increase completion percentage of response actions | 0.723 | 0.272 | 0.665 | 0.261 | 0.595 | 0.358 | 0.082 | 0.300 | 0.155 | 0.082 |
| E5 | E6 | |||||||||
| R | DM | S | D | M | R | DM | S | D | M | |
| Raise awareness levels | 0.082 | 0.557 | 0.123 | 0.685 | 0.098 | 0.070 | 0.174 | 0.087 | 0.767 | 0.174 |
| Reduce time of participant response actions | 0.575 | 0.320 | 0.320 | 0.093 | 0.568 | 0.580 | 0.723 | 0.639 | 0.085 | 0.723 |
| Increase completion percentage of response actions | 0.343 | 0.123 | 0.557 | 0.221 | 0.334 | 0.350 | 0.103 | 0.274 | 0.148 | 0.103 |
| E7 | AVG | |||||||||
| R | DM | S | D | M | R | DM | S | D | M | |
| Raise awareness levels | 0.093 | 0.110 | 0.106 | 0.681 | 0.309 | 0.084 | 0.339 | 0.132 | 0.719 | 0.170 |
| Reduce time of participant response actions | 0.221 | 0.581 | 0.261 | 0.118 | 0.110 | 0.499 | 0.476 | 0.361 | 0.090 | 0.514 |
| Increase completion percentage of response actions | 0.685 | 0.309 | 0.633 | 0.201 | 0.581 | 0.417 | 0.186 | 0.507 | 0.191 | 0.316 |
| Capabilities | E1 | E2 | ||||||||
|---|---|---|---|---|---|---|---|---|---|---|
| R | DM | S | D | M | R | DM | S | D | M | |
| Raise awareness levels | 0.100 | 0.619 | 0.320 | 0.619 | 0.093 | 0.087 | 0.620 | 0.123 | 0.765 | 0.080 |
| Reduce time of participant response actions | 0.600 | 0.284 | 0.123 | 0.096 | 0.615 | 0.639 | 0.156 | 0.320 | 0.074 | 0.656 |
| Increase completion percentage of response actions | 0.300 | 0.096 | 0.557 | 0.284 | 0.292 | 0.274 | 0.224 | 0.557 | 0.161 | 0.265 |
| E3 | E4 | |||||||||
| R | DM | S | D | M | R | DM | S | D | M | |
| Raise awareness levels | 0.104 | 0.222 | 0.093 | 0.623 | 0.277 | 0.065 | 0.137 | 0.087 | 0.780 | 0.168 |
| Reduce time of participant response actions | 0.231 | 0.667 | 0.221 | 0.137 | 0.129 | 0.593 | 0.780 | 0.639 | 0.083 | 0.738 |
| Increase completion percentage of response actions | 0.665 | 0.111 | 0.685 | 0.240 | 0.595 | 0.341 | 0.083 | 0.274 | 0.137 | 0.094 |
| E5 | E6 | |||||||||
| R | DM | S | D | M | R | DM | S | D | M | |
| Raise awareness levels | 0.089 | 0.623 | 0.120 | 0.707 | 0.110 | 0.076 | 0.182 | 0.082 | 0.737 | 0.201 |
| Reduce time of participant response actions | 0.587 | 0.240 | 0.272 | 0.092 | 0.581 | 0.591 | 0.703 | 0.575 | 0.077 | 0.681 |
| Increase completion percentage of response actions | 0.324 | 0.137 | 0.608 | 0.201 | 0.309 | 0.334 | 0.115 | 0.343 | 0.186 | 0.118 |
| E7 | AVG | |||||||||
| R | DM | S | D | M | R | DM | S | D | M | |
| Raise awareness levels | 0.106 | 0.096 | 0.098 | 0.723 | 0.334 | 0.090 | 0.357 | 0.132 | 0.708 | 0.180 |
| Reduce time of participant response actions | 0.261 | 0.653 | 0.334 | 0.103 | 0.098 | 0.500 | 0.497 | 0.355 | 0.095 | 0.500 |
| Increase completion percentage of response actions | 0.633 | 0.251 | 0.568 | 0.174 | 0.568 | 0.410 | 0.145 | 0.513 | 0.198 | 0.320 |
| Capabilities | E1 | E2 | ||||||||
|---|---|---|---|---|---|---|---|---|---|---|
| R | DM | S | D | M | R | DM | S | D | M | |
| Raise awareness levels | 0.087 | 0.681 | 0.334 | 0.700 | 0.089 | 0.106 | 0.623 | 0.098 | 0.753 | 0.080 |
| Reduce time of participant response actions | 0.639 | 0.201 | 0.142 | 0.107 | 0.587 | 0.633 | 0.137 | 0.334 | 0.075 | 0.656 |
| Increase completion percentage of response actions | 0.274 | 0.118 | 0.525 | 0.194 | 0.324 | 0.261 | 0.240 | 0.568 | 0.172 | 0.265 |
| E3 | E4 | |||||||||
| R | DM | S | D | M | R | DM | S | D | M | |
| Raise awareness levels | 0.118 | 0.240 | 0.104 | 0.571 | 0.230 | 0.064 | 0.154 | 0.110 | 0.767 | 0.174 |
| Reduce time of participant response actions | 0.201 | 0.623 | 0.231 | 0.143 | 0.122 | 0.646 | 0.755 | 0.581 | 0.085 | 0.723 |
| Increase completion percentage of response actions | 0.681 | 0.137 | 0.665 | 0.286 | 0.648 | 0.290 | 0.092 | 0.309 | 0.148 | 0.103 |
| E5 | E6 | |||||||||
| R | DM | S | D | M | R | DM | S | D | M | |
| Raise awareness levels | 0.087 | 0.608 | 0.110 | 0.724 | 0.106 | 0.082 | 0.182 | 0.082 | 0.739 | 0.201 |
| Reduce time of participant response actions | 0.639 | 0.272 | 0.309 | 0.083 | 0.633 | 0.575 | 0.703 | 0.575 | 0.082 | 0.681 |
| Increase completion percentage of response actions | 0.274 | 0.120 | 0.581 | 0.193 | 0.261 | 0.343 | 0.115 | 0.343 | 0.179 | 0.118 |
| E7 | AVG | |||||||||
| R | DM | S | D | M | R | DM | S | D | M | |
| Raise awareness levels | 0.098 | 0.098 | 0.096 | 0.707 | 0.334 | 0.092 | 0.369 | 0.133 | 0.709 | 0.174 |
| Reduce time of participant response actions | 0.334 | 0.568 | 0.284 | 0.092 | 0.098 | 0.524 | 0.466 | 0.351 | 0.095 | 0.500 |
| Increase completion percentage of response actions | 0.568 | 0.334 | 0.619 | 0.201 | 0.568 | 0.384 | 0.165 | 0.516 | 0.196 | 0.327 |
References
- Homeland Security Exercise and Evaluation Program (HSEEP). 2020. Available online: https://www.fema.gov/emergency-managers/national-preparedness/exercises/hseep (accessed on 22 October 2023).
- Le, T.H.; Phan, V.N.; Kato, T. Practicing rescue plans of Vietnamese firefighters: Situation and solutions. J. Disaster Res. 2023, 18, 436–446. [Google Scholar] [CrossRef]
- European Centre for Disease Prevention and Control (ECDC). Handbook on Simulation Exercises in EU Public Health Settings; ECDC: Solna, Sweden, 2014; Available online: https://www.ecdc.europa.eu/sites/default/files/documents/simulation-exercise-manual.pdf (accessed on 13 November 2023).
- To, N.T.; Kato, T.; Imai, M.; Taninobu, M.; Kohriyama, K.; Ito, S. Developing a time-based evaluation method for functional exercises of emergency medical operations. Safety 2019, 5, 49. [Google Scholar] [CrossRef]
- Klima, D.A.; Seiler, S.H.; Peterson, J.B.; Christmas, A.B.; Green, J.M.; Fleming, G.; Thomason, M.H.; Sing, R.F. Full-scale regional exercises: Closing the gaps in disaster preparedness. J. Trauma Acute Care Surg. 2012, 73, 592–597. [Google Scholar] [CrossRef] [PubMed]
- Federal Emergency Management Agency (FEMA). National Incident Management System. Available online: https://www.fema.gov/national-incident-management-system (accessed on 13 November 2023).
- Ronald, W.P.; Michael, K.L. Preparedness for Emergency Response: Guidelines for the Emergency Planning Process. Disasters 2003, 27, 336–350. [Google Scholar] [CrossRef]
- Ashley, A.B. Are we really ready? The need for national emergency preparedness standards and the creation of the cycle of emergency planning. Politics Policy 2008, 36, 834–853. [Google Scholar] [CrossRef]
- Frykberg, E.; Weireter, L.; Flint, L. 10 questions and answers about disasters and disaster response. Bull. Am. Coll. Surg. 2010, 95, 6–13. [Google Scholar]
- Cabinet Office. Guidance, Emergency Preparedness, Guidance on Part 1 of the Civil Contingencies Act 2004, Its Associated Regulations and Non-Statutory Arrangements; Cabinet Office: London, UK, 2012; p. 54. Available online: https://www.gov.uk/government/publications/emergency-preparedness (accessed on 13 November 2023).
- Annelli, J.F. The national incident management system: A multi-agency approach to emergency response in the United States of America. Rev. Sci. Tech. Int. Off. Epizoot. 2006, 25, 223–231. [Google Scholar] [CrossRef]
- Militello, L.G.; Patterson, E.S.; Bowman, L.; Wears, R. Information flow during crisis management: Challenges to coordination in the emergency operations center. Cogn. Technol. Work. 2007, 9, 25–31. [Google Scholar] [CrossRef]
- Mendonça, D.; Fiedrich, F. Training for improvisation in emergency management: Opportunities and limits for information technology. Int. J. Emerg. Manag. 2006, 3, 348–363. [Google Scholar] [CrossRef]
- Elena, S.; Gabriel, R.; Richard, A.; Peter, J.; Paul, R. What is the value of health emergency preparedness exercises? A scoping review study. Int. J. Disaster Risk Reduc. 2017, 21, 274–283. [Google Scholar] [CrossRef]
- FEMA. Exercise Descriptions. Available online: https://emilms.fema.gov/is_0360/groups/434.html (accessed on 27 October 2023).
- Phelps, R. Emergency Management Exercises: From Response to Recovery: Everything You Need to Know to Design a Great Exercise; Chandi Media Publisher: San Francisco, CA, USA, 2010. [Google Scholar]
- Czabán, C.; Jackovics, P.; Kis, G. Application of the safety through organizational learning methodology for the post analysis of an adverse event during a search and rescue operation. Int. J. Occup. Saf. Ergon. 2021, 27, 308–315. [Google Scholar] [CrossRef] [PubMed]
- Saaty, T.L. How to make a decision: The Analytic Hierarchy Process. Eur.J. Oper. Res. 1990, 48, 9–26. [Google Scholar] [CrossRef]
- Russo, R.d.F.S.M.; Camanho, R. Criteria in AHP: A systematic review of literature. Procedia Comp. Sci. 2015, 55, 1123–1132. [Google Scholar] [CrossRef]
- Mohamad, A.A.; Siti, Z.M.H.; Supiah, S. Multi Criteria Decision making and its applications: A literature review. J. Teknol. Mklm. 2008, 20, 129–152. [Google Scholar]
- Aruldoss, M.; Lakshmi, T.M.; Venkatesan, V.P. A Survey on multi criteria decision making methods and applications. Amr. J. Info. Sys. 2013, 1, 31–43. [Google Scholar]
- Singh, A.; Malik, S.K. Major MCDM techniques and their application: A review. IOSR J. Eng. 2014, 4, 15–25. [Google Scholar] [CrossRef]
- Pamucar, D.; Stevic, Z.; Sremac, S. A new model for determining weight coefficient of criteria in MCDM models: Full consistency method (FUCOM). Symmetry 2018, 10, 393. [Google Scholar] [CrossRef]
- Odu, G.O. Weighting methods for multi-criteria decision making technique. J. Appl. Sci. Environ. Manag. 2019, 23, 1449–1457. [Google Scholar] [CrossRef]
- Oguztimur, S. Why fuzzy analytic hierarchy process approach for transport problems? In Proceedings of the European Regional Science Association 2011 Congress, Barcelona, Spain, 30 August–3 September 2011; p. 438. Available online: https://www-sre.wu.ac.at/ersa/ersaconfs/ersa11/e110830aFinal00438.pdf (accessed on 13 November 2023).
- Hwang, C.L.; Yoon, K. Methods for multiple-attribute decision-making. In Multiple Attribute Decision Making; Lecture Notes in Economics and Mathematical Systems; Springer: Berlin/Heidelberg, Germany, 1981; Volume 186. [Google Scholar] [CrossRef]
- Liu, X.; Wan, S.P. A method to calculate the ranges of criteria weights in ELECTRE I and II methods. Comput. Ind. Eng. 2019, 137, 106067. [Google Scholar] [CrossRef]
- Tiwari, R.; Agrawal, S.; Kasdekar, D.K. Application of ELECTRE-I, II methods for EDM performance measures in manufacturing decision making. IOP Conf. Ser. Mater. Sci. Eng. 2020, 748, 012015. [Google Scholar] [CrossRef]
- Hamed, T.; Mitra, M. A comprehensive overview of the ELECTRE method in multi criteria decision-making. J. Manag. Sci. Eng. Res. 2023, 6, 2. [Google Scholar] [CrossRef]
- Golaszewski, R.; Sheth, K.; Helledy, G.; Gutierrez-Nolasco, S. Methods for Initial Allocation of Points in Flight Prioritization. In Proceedings of the 12th AIAA Aviation Technology, Integration, and Operations (ATIO) Conference and 14th AIAA/ISSMO Multidisciplinary Analysis and Optimization Conference, Indianapolice, IN, USA, 17–19 September 2012. [Google Scholar] [CrossRef]
- Arbel, A. Approximate articulation of preference and priority derivation. Eur. J. Operat. Res. 1989, 43, 317–326. [Google Scholar] [CrossRef]
- Goodman, C. The Delphi technique: A critique. J. Adv. Nurs. 1987, 12, 729–734. [Google Scholar] [CrossRef]
- Colton, S.; Hatcher, T. The web-based Delphi research technique as a method for content validation in HRD and adult education research. In Proceedings of the Academy of Human Resource Development International Conference (AHRD), Austin, TX, USA, 3–7 March 2004; pp. 183–189. [Google Scholar]
- Keeney, S.; Hasson, F.; McKenna, H. Consulting the oracle: Ten lessons from using the Delphi technique in nursing research. J. Adv. Nurs. 2006, 53, 205–212. [Google Scholar] [CrossRef]
- Hung, H.L.; Altschuld, J.W.; Lee, Y.F. Methodological and conceptual issues confronting a cross-country Delphi study of educational program evaluation. Eval. Program Plann. 2008, 31, 191–198. [Google Scholar] [CrossRef] [PubMed]
- Bailey, R. A Critical Analysis of the Delphi Technique; University of the West of England: Bristol, UK, 2009; pp. 1–64. [Google Scholar]
- Abdullah, M.M.B.; Islam, R. Nominal group technique and its applications in managing quality in higher education. Pak. J. Com. Soc. Sci. 2011, 5, 81–99. [Google Scholar]
- Goodwin, P.; Wright, G. Decision Analysis for Management Judgement, 5th ed.; Wiley: Hoboken, NJ, USA, 2014. [Google Scholar]
- Edwards, W.; Barron, F.H. SMARTS and SMARTER: Improved simple methods for multiattribute utility measurement. Organ. Behav. Hum. Decis. Process. 1994, 60, 306–325. [Google Scholar] [CrossRef]
- Cornet, Y.; Barradale, M.J.; Barfod, M.B.; Hickman, R. Giving current and future generations a real voice: A practical method for constructing sustainability viewpoints in transport appraisal. Eur. J. Transp. Infrastruct. Res. 2018, 18, 316–339. [Google Scholar] [CrossRef]
- Ziarh, G.F.; Asaduzzaman, M.; Dewan, A.; Nashwan, M.S.; Shahid, S. Integration of catastrophe and entropy theories for flood risk mapping in peninsular Malaysia. J. Flood Risk Manag. 2021, 14, e12686. [Google Scholar] [CrossRef]
- Kumar, R.; Bilga, P.S.; Singh, S. Multi objective optimization using different methods of assigning weights to energy consumption responses, surface roughness and material removal rate during rough turning operation. J. Clean. Prod. 2017, 164, 45–57. [Google Scholar] [CrossRef]
- Mukhametzyanov, I. Specific character of objective methods for determining weights of criteria in MCDM problems: Entropy, CRITIC and SD. Appl. Manag. Eng. 2021, 4, 76–105. [Google Scholar] [CrossRef]
- Esra, A.A.; Ayşegül, T.I. Critic and maut methods for the contract manufacturer selection problem. Eur. J. Multidiscip. Stud. 2017, 2, 93–101. [Google Scholar] [CrossRef]
- Diakoulaki, D.; Mavrotas, G.; Papayannakis, L. Determining objective weights in multiple criteria problems: The CRITIC method. Comput. Ops. Res. 1995, 22, 763–770. [Google Scholar] [CrossRef]
- Yılmaz, B.; Harmancıoğlu, N.B. Multi-criteria decision making for water resource management: A case study of the Gediz River Basin, Turkey. Water 2010, 36, 563–576. [Google Scholar] [CrossRef]
- Tuş, A.; Adalı, E.A. The new combination with CRITIC and WASPAS methods for the time and attendance software selection problem. Opsearch 2019, 56, 528–538. [Google Scholar] [CrossRef]
- Siksnelyte-Butkiene, I.; Zavadskas, E.K.; Streimikiene, D. Multi-criteria decision-making (MCDM) for the assessment of renewable energy technologies in a household: A review. Energies 2020, 13, 1164. [Google Scholar] [CrossRef]
- Jahan, A.; Bahraminasab, M.; Edwards, K.L. A target-based normalization technique for materials selection. Mater. Des. 2012, 35, 647–654. [Google Scholar] [CrossRef]
- Ma, J.; Fan, Z.-P.; Huang, L.-H. A subjective and objective integrated approach to determine attribute weights. Eur. J. Oper. Res. 1999, 112, 397–404. [Google Scholar] [CrossRef]
- Fargnoli, M.; Lombardi, M.; Haber, N. A fuzzy-QFD approach for the enhancement of work equipment safety: A case study in the agriculture sector. Int. J. Reliab. Saf. 2018, 12, 306–326. [Google Scholar] [CrossRef]
- Liu, J.; Li, S.; Xu, K.; Yang, Q.F.; You, M.J.; Xue, G.Z. A new fusion method to predict coal mine roof accidents. Qual. Reliab. Eng. Int. 2023, 39, 3041–3058. [Google Scholar] [CrossRef]
- Aldian, A.; Taylor, M.A.P. A consistent method to determine flexible criteria weights for multicriteria transport project evaluation in developing countries. J. East Asia Soc. Transp. Stud. 2005, 6, 3948–3963. [Google Scholar] [CrossRef]
- Saaty, T.L.; Peniwati, K. Group Decision Making: Drawing Out and Reconciling Differences; RWS Publications: Pittsburgh, PA, USA, 2008. [Google Scholar]
- Saracoglu, B.O. Selecting industrial investment locations in master plans of countries. Eur. J. Ind. Eng. 2013, 7, 416–441. [Google Scholar] [CrossRef]
- Nivolianitou, Z.; Synodinou, B.; Manca, D. Flood disaster management with the use of AHP. Int. J. Multicriteria Decis. Mak. 2015, 5, 152–164. [Google Scholar] [CrossRef]
- Gulum, P.; Ayyildiz, E.; Gumus, A.T. A two level interval valued neutrosophic AHP integrated TOPSIS methodology for post-earthquake fire risk assessment: An application for Istanbul. Int. J. Disaster Risk Reduc. 2021, 61, 102330. [Google Scholar] [CrossRef]
- Bhushan, N.; Rai, K. Strategic Decision Making: Applying the Analytic Hierarchy Process; Springer: London, UK, 2004. [Google Scholar]
- De Steiguer, J.E.; Duberstein, J.; Lopes, V. The Analytic Hierarchy Process as a means for integrated watershed management. In First Interagency Conference on Research on the Watersheds; Renard, K.G., Ed.; U.S. Department of Agriculture, Agricultural Research Service: Benson, AZ, USA, 2003; pp. 736–740. Available online: https://www.tucson.ars.ag.gov/ICRW/Proceedings.htm (accessed on 22 October 2023).
- Hoang, L.H.G.; Kato, T. Use of analytic hierarchy process and four-component instructional design for improving emergency response exercises. Int. J. Disaster Risk Reduc. 2023, 87, 103583. [Google Scholar] [CrossRef]
- Kaya, B.Y.; Dagdeviren, M. Selecting occupational safety equipment by MCDM Approach considering universal design principles. Hum. Factors Ergon. Manuf. Serv. Ind. 2016, 26, 224–242. [Google Scholar] [CrossRef]
- Gunduz, M.; Khader, B.K. Construction project safety performance management using Analytic Network Process (ANP) as a multicriteria decision-making (MCDM) tool. Comput. Intell. Neurosci. 2020, 2020, 2610306. [Google Scholar] [CrossRef]
- Saaty, R.W. The Analytic Hierarchy Process: What it is and how it is used. Math. Model. 1987, 9, 161–176. [Google Scholar] [CrossRef]
- U.S. Department of Homeland Security. Exercises. 2021. Available online: https://www.ready.gov/business/training/testing-exercise/exercises (accessed on 22 October 2023).




| Weighting Method | Advantages | Disadvantages | |
|---|---|---|---|
| Subjective | 1. Pairwise comparison | -AHP: It can take into account the relative priorities among factors or alternatives, determining the most favorable option. Its simplicity, coupled with a wide range of applications, facilitates easy implementation to support decision makers in making precise judgments [25]. -ELETRE: It eliminates less preferred options, suitable when there are many options and few criteria. It employs straightforward logic, fully utilizes information in the decision matrix, employs a refined computational process [26], and implements an outranking approach [27]. | -AHP: A solution to linear equations is not always guaranteed. As the number of levels in the hierarchy rises, the number of pairwise comparisons also increases, leading to a significantly increased time and effort required to evaluate the AHP model [25]. -ELETRE: The arbitrary nature of the threshold values impacts the final solutions [8]. It is also a time-consuming process [21] and shows uncertainty in the accuracy of rankings obtained through ELECTRE I [28]. Moreover, the method cannot effectively manage purely ordinal scales, as it necessitates a metric scale for the discordance index to assess differences [29]. |
| 2. Point allocation | It is one of the simplest weighting methods to implement [24,30]. | The obtained weights are not very precise, and the method becomes more difficult as the number of criteria increases to six or more. [24]. | |
| 3. Direct rating | It allows for the flexibility to adjust the importance of one criterion without affecting the weight of the others [24]. | The weights obtained from this method are not very precise, and the method depends heavily on the decision maker first [31]. | |
| 4. Delphi method | This method leverages the expertise of individuals in the field, effectively combining the collective wisdom of expert panelists [32]. Content validity is ensured through the engagement of expert panelists and iterative rounds [33]. | Much time is needed due to their iterative nature, and, over time, the expert panelists might lose interest in the research study [34]. There are no clear guidelines outlining the definitions of experts, panel size, or sampling techniques [35]. High attrition rates are expected as the number of rounds increases [36]. | |
| 5. Nominal group technique | This technique facilitates the generation of a substantial number of ideas, and those that garner the majority of votes are chosen. Participants are then tasked with selecting the five most crucial ideas from the master list and rating them on a scale of one to five based on their importance [37]. | This method is not flexible, as it is designed to address only one problem at a time [37]. | |
| 6. Simple Multi-Attribute Ranking Technique (SMART), Simple Multi-Attribute Ranking Technique Exploiting Ranks (SMARTER) | SMART is simple and transparent, allowing decision makers from different backgrounds to use it [38]. The methods are designed to minimize human elicitation errors [39]. Modified versions of SMART, such as SMARTER, have also been applied to various social issues [40]. | SMART does not necessarily grasp all of the details and complexity of a decision [38]. | |
| Objective | 1. Entropy method | This method can measure the level of uncertainty represented by a discrete probability distribution, aiding in determining the uncertainty of each attribute or feedback [41]. The method can establish objective weights for objectives without incorporating considerations or preferences from decision makers [42]. | The method exhibits high sensitivity to the entropy values of various criteria [43]. |
| 2. Criteria Importance through Inter-criteria Correlation (CRITIC) | The CRITIC method automates the process of determining criteria weights, reducing the complexity of the evaluation [44]. This method focuses on the correlation between criteria, capturing the important relationships between them in the decision-making process [45,46]. | As the matrix dimension expands, the calculation time becomes extensive [47]. This method fails to communicate the relative significance of fulfilling the decision makers’ objectives; instead, it merely reflects certain properties of the initial data [48]. | |
| 3. Mean weight | This method can be used without information from the decision maker or when there is insufficient data to make a decision [24,49]. | It operates under the assumption that all criteria carry equal significance [24]. It may not accurately reflect the true priorities or significance of different criteria in a decision-making process, leading to a potential oversimplification of the complex considerations involved. | |
| Integrated | 1. Multiplication synthesis 2. Additive synthesis 3. Optimal weighting based on sum of squares 4. Optimal weighting based on relational coefficient of graduation 5. Quality function development (QFD) | The integrated method combines both subjective and objective information in the weight determination process. This helps to apply the decision maker’s knowledge and experience, along with objective information from the mathematical model. This method overcomes the disadvantages of both the subjective and objective methods [24]. Several combinations have been put forth and formulated by researchers [49,50]. QFD has been applied to work equipment safety, combined with the Delphi method and the fuzzy logic approach [51]. | It can be difficult to effectively combine subjective and objective information, especially when they are heterogeneous. |
| Question: Consider a landslide case and compare each pair of evaluation criteria. The relative importance levels were selected for each comparison and their relative importance was rated. | ||||||||||||||||||
| Report | 9 | 8 | 7 | 6 | 5 | 4 | 3 | 2 | 1 | 2 | 3 | 4 | 5 | 6 | 7 | 8 | 9 | Decision Making |
| Report | 9 | 8 | 7 | 6 | 5 | 4 | 3 | 2 | 1 | 2 | 3 | 4 | 5 | 6 | 7 | 8 | 9 | Suggestion |
| Report | 9 | 8 | 7 | 6 | 5 | 4 | 3 | 2 | 1 | 2 | 3 | 4 | 5 | 6 | 7 | 8 | 9 | Discussion |
| Report | 9 | 8 | 7 | 6 | 5 | 4 | 3 | 2 | 1 | 2 | 3 | 4 | 5 | 6 | 7 | 8 | 9 | Maneuver |
| Decision Making | 9 | 8 | 7 | 6 | 5 | 4 | 3 | 2 | 1 | 2 | 3 | 4 | 5 | 6 | 7 | 8 | 9 | Suggestion |
| Decision Making | 9 | 8 | 7 | 6 | 5 | 4 | 3 | 2 | 1 | 2 | 3 | 4 | 5 | 6 | 7 | 8 | 9 | Discussion |
| Decision Making | 9 | 8 | 7 | 6 | 5 | 4 | 3 | 2 | 1 | 2 | 3 | 4 | 5 | 6 | 7 | 8 | 9 | Maneuver |
| Suggestion | 9 | 8 | 7 | 6 | 5 | 4 | 3 | 2 | 1 | 2 | 3 | 4 | 5 | 6 | 7 | 8 | 9 | Discussion |
| Suggestion | 9 | 8 | 7 | 6 | 5 | 4 | 3 | 2 | 1 | 2 | 3 | 4 | 5 | 6 | 7 | 8 | 9 | Maneuver |
| Discussion | 9 | 8 | 7 | 6 | 5 | 4 | 3 | 2 | 1 | 2 | 3 | 4 | 5 | 6 | 7 | 8 | 9 | Maneuver |
| Action Type | Report | Decision Making | Suggestion | Discussion | Maneuver |
|---|---|---|---|---|---|
| Number of injects | 10 | 40 | 4 | 12 | 3 |
| Action Types | Average Weight (Figure 3) | Number of Injects (Table 3) | Exercise Weight for Each Action Type |
|---|---|---|---|
| Report | 0.155 | 10 | 0.155 × 10 = 1.55 |
| Decision Making | 0.411 | 40 | 0.411 × 40 = 16.44 |
| Suggestion | 0.064 | 4 | 0.064 × 4 = 0.25 |
| Discussion | 0.279 | 12 | 0.279 × 12 = 3.35 |
| Maneuver | 0.091 | 3 | 0.091 × 3 = 0.27 |
| Capabilities | Report | Decision Making | Suggestion | Discussion | Maneuver |
|---|---|---|---|---|---|
| Raise awareness levels | 0.084 | 0.339 | 0.132 | 0.719 | 0.170 |
| Reduce time of participant response actions | 0.499 | 0.476 | 0.361 | 0.090 | 0.514 |
| Increase response actions completion percentage | 0.417 | 0.186 | 0.507 | 0.191 | 0.316 |
| Capabilities | Exercise Decision Weights |
|---|---|
| Raise awareness levels | 8.19 |
| Reduce time of participant response actions | 9.13 |
| Increase response actions completion percentage | 4.55 |
Disclaimer/Publisher’s Note: The statements, opinions and data contained in all publications are solely those of the individual author(s) and contributor(s) and not of MDPI and/or the editor(s). MDPI and/or the editor(s) disclaim responsibility for any injury to people or property resulting from any ideas, methods, instructions or products referred to in the content. |
© 2023 by the authors. Licensee MDPI, Basel, Switzerland. This article is an open access article distributed under the terms and conditions of the Creative Commons Attribution (CC BY) license (https://creativecommons.org/licenses/by/4.0/).
Share and Cite
Le Tien, H.; Pham Van, N.; Kato, T. Improving Functional Exercises Based on Experts’ Evaluation Weights for Emergency Responses. Safety 2023, 9, 92. https://doi.org/10.3390/safety9040092
Le Tien H, Pham Van N, Kato T. Improving Functional Exercises Based on Experts’ Evaluation Weights for Emergency Responses. Safety. 2023; 9(4):92. https://doi.org/10.3390/safety9040092
Chicago/Turabian StyleLe Tien, Hung, Nam Pham Van, and Takaaki Kato. 2023. "Improving Functional Exercises Based on Experts’ Evaluation Weights for Emergency Responses" Safety 9, no. 4: 92. https://doi.org/10.3390/safety9040092
APA StyleLe Tien, H., Pham Van, N., & Kato, T. (2023). Improving Functional Exercises Based on Experts’ Evaluation Weights for Emergency Responses. Safety, 9(4), 92. https://doi.org/10.3390/safety9040092

