Three-Dimensional Block Matching Using Orthonormal Tree-Structured Haar Transform for Multichannel Images
Abstract
1. Introduction
2. Preliminaries
2.1. Problem Statement
2.2. Tree-Structured Haar Transform
2.3. Three-Dimensional Integral Image
3. Three-Dimensional Block Matching for Multichannel Images
3.1. Three-Dimensional Orthonormal Tree-Structured Haar Transform
3.2. 3D Block Matching Using 3D-OTSHT with 3D Integral Image
3.3. 3D Block Matching Using Limited 3D-OTSHT
4. Evaluation
4.1. Methods and Environments
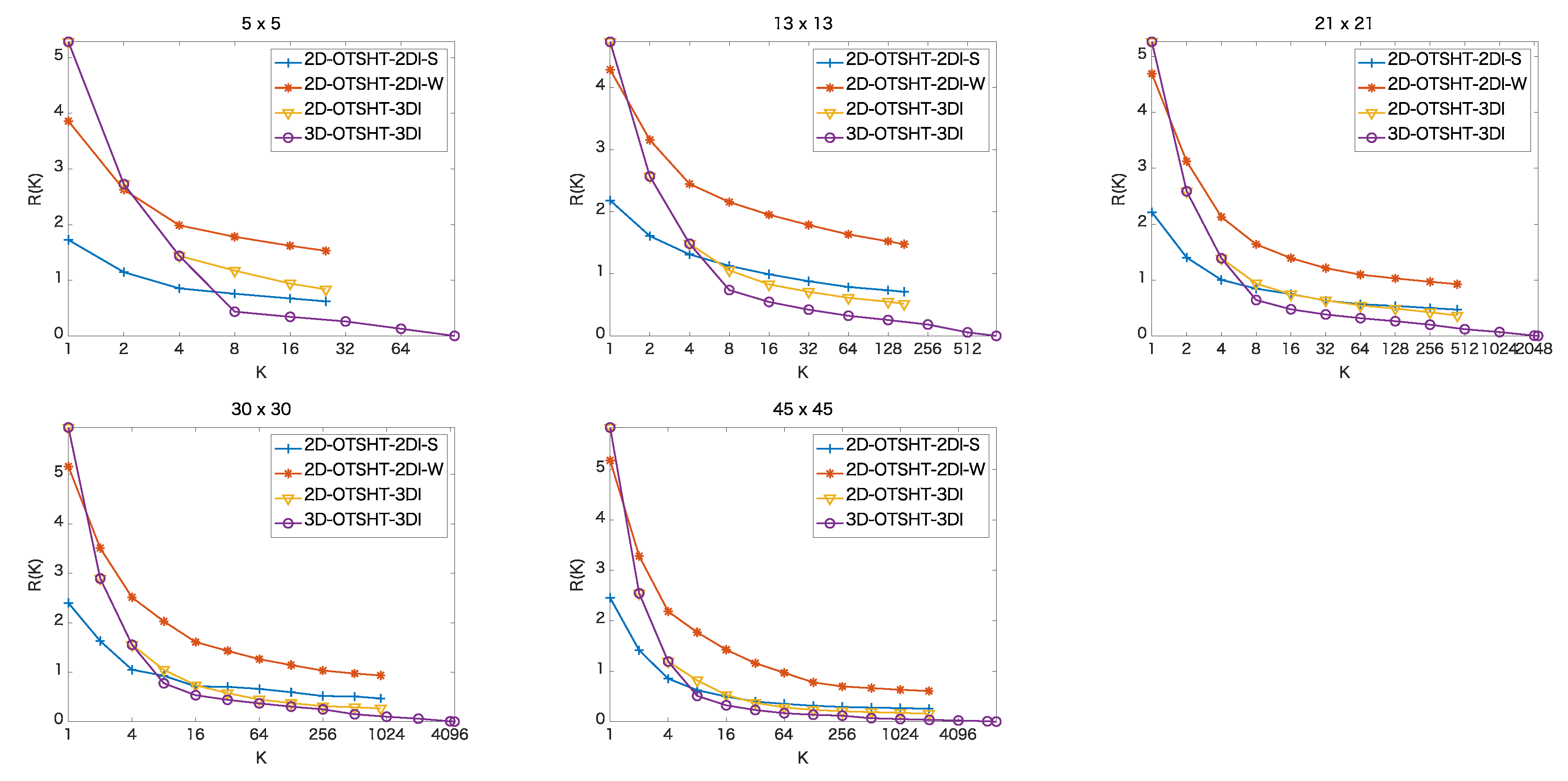
4.2. Pruning Performance
4.3. Computational Complexity
4.4. Speedup
5. Conclusions
Author Contributions
Conflicts of Interest
References
- Dufour, R.; Miller, E.; Galatsanos, N. Template matching based object recognition with unknown geometric parameters. IEEE Trans. Image Process. 2002, 11, 1385–1396. [Google Scholar] [CrossRef] [PubMed]
- Ding, L.; Goshtasby, A.; Satter, M. Volume image registration by template matching. Image Vis. Comput. 2001, 19, 821–832. [Google Scholar] [CrossRef]
- Sarraf, S.; Saverino, C.; Colestani, A.M. A robust and adaptive decision-making algorithm for detecting brain networks using functional MRI within the spatial and frequency domain. In Proceedings of the IEEE-EMBS International Conference on Biomedical and Health Informatics, Las Vegas, NV, USA, 24–27 February 2016; pp. 53–56. [Google Scholar]
- Papyan, V.; Elad, M. Multi-scale patch-based image restoration. IEEE Trans. Image Process. 2016, 25, 249–261. [Google Scholar] [CrossRef] [PubMed]
- Lowe, D.G. Object recognition from local scale-invariant features. In Proceedings of the International Conference of Computer Vision, Kerkyra, Greece, 20–27 September 1999; pp. 1150–1157. [Google Scholar]
- Bay, H.; Tuytelaars, T.; Gool, L.V. SURF: Speeded Up Robust Features; Lecture Notes in Computer Science 2006; Springer: Berlin/Heidelberg, Germany, 2006; Volume 3951, pp. 404–417. [Google Scholar]
- Pastuszak, G.; Trochimiuk, M. Architecture design of the high-throughput compensator and interpolator for the H.265/HEVC Encoder. J. Real-Time Image Process. 2016, 11, 663–673. [Google Scholar] [CrossRef]
- Gonźalez, D.; Botella, G.; Garcia, C.; Prieto, M.; Tirado, F. Acceleration of block-matching algorithms using a custom instruction-based paradigm on a Nios II microprocessor. EURASIP J. Adv. Signal Process. 2013, 118. [Google Scholar] [CrossRef]
- González, D.; Botella, G.; Meyer-Baese, U.; García, C.; Sanz, C.; Prieto-Matías, M.; Tirado, F. A low cost matching motion estimation sensor based on the NIOS II microprocessor. Sensors 2012, 12, 13126–13149. [Google Scholar] [CrossRef]
- Nguyen, A.H.; Pickering, M.R.; Lambert, A. The FPGA implementation of a one-bit-per-pixel image registration algorithm. J. Real-Time Image Process. 2016, 11, 799–815. [Google Scholar] [CrossRef]
- Li, D.X.; Zheng, W.; Zhang, M. Architecture design for H.264/AVC integer motion estimation with minimum memory bandwidth. IEEE Trans. Consum. Electoron. 2007, 53, 1053–1060. [Google Scholar] [CrossRef]
- Koga, T.; Iinuma, K.; Hirano, A.; Iijima, Y. Motion compensated interframe coding for video conferencing. In Proceedings of the National Telecommunications Conference, New Orleans, LA, USA, 29 November–3 December 1981; pp. G5.3.1–G5.3.5. [Google Scholar]
- Zhu, S.; Ma, K. A new diamond search algorithm for fast block motion estimation. IEEE Trans. Image Process. 2000, 9, 287–290. [Google Scholar] [CrossRef]
- Simard, P.; Bottou, L.; Haffner, P.; Cun, Y.L. Boxlets: A fast convolution algorithm for signal processing and neural networks. Adv. Neural Inf. Process. Syst. 1999, 11, 571–577. [Google Scholar]
- Tang, F.; Crabb, R.; Tao, H. Representing images using non-orthogonal Haal-like bases. IEEE Trans. Pattern Anal. Mach. Intell. 2007, 29, 2120–2134. [Google Scholar] [CrossRef] [PubMed]
- Tombari, F.; Mattoccia, S.; Stefano, L.D. Full search-equivalent pattern matching with incremental dissimilarity approximations. IEEE Trans. Pattern Anal. Mach. Intell. 2009, 31, 129–141. [Google Scholar] [CrossRef]
- Ouyang, W.; Cham, W.K. Fast algorithm for Walsh Hadamard transform on sliding windows. IEEE Trans. Pattern Anal. Mach. Intell. 2010, 32, 165–171. [Google Scholar] [CrossRef] [PubMed]
- Ouyang, W.; Zhang, R.; Cham, W.-K. Segmented gray-code kernels for fast pattern matching. IEEE Trans. Image Process. 2013, 22, 1512–1525. [Google Scholar] [CrossRef] [PubMed]
- Ouyang, W.; Zhang, R.; Cham, W.-K. Fast pattern matching using orthogonal Haar transform. In Proceedings of the IEEE Computer Society Conference on Computer Vision and Pattern Recognition, San Francisco, CA, USA, 13–18 June 2010; pp. 3050–3057. [Google Scholar]
- Ouyang, W.; Zhao, T.; Cham, W.-K.; WeiFast, L. Full-search-equivalent pattern matching using asymmetric Haar wavelet packets. IEEE Trans. Circuits Syst. Video Technol. 2018, 28, 819–833. [Google Scholar] [CrossRef]
- Li, Y.; Li, H.; Cai, Z. Fast orthogonal Haar transform pattern matching via image square sum. IEEE Trans. Pattern Anal. Mach. Intell. 2014, 36, 1748–1760. [Google Scholar] [CrossRef]
- Crow, F. Summed-area tables for texture mapping. SIGGRAPH 1984, 18, 207–212. [Google Scholar] [CrossRef]
- Viola, P.; Jones, M. Robust real-time object detection. Int. J. Comput. Vis. 2001, 57, 37–154. [Google Scholar]
- Ito, I.; Egiazarian, K. Two-dimensional orthonormal tree-structured Haar transform for fast block matching. J. Imaging 2018, 4, 131. [Google Scholar] [CrossRef]
- Egiazarian, K.; Astola, J. Tree-structured Haar transform. J. Math. Imaging Vis. 2002, 16, 269–279. [Google Scholar] [CrossRef]
- Haar, A. Zur theorie der orthogonalen functionsysteme. Math. Annal. 1910, 69, 331–371. [Google Scholar] [CrossRef]
- Ito, I.; Pižurica, A. Fast cube matching using orthogonal tree-structured Haar transform for multispectral images. In Proceedings of the 11th International Symposium on Image and Signal Processing and Analysis, Dubrovnik, Croatia, 23–25 September 2019; pp. 70–75. [Google Scholar]
- Standard Image Data BAse. Available online: http://www.ess.ic.kanagawa-it.ac.jp/app_images_j.html (accessed on 10 February 2020).
- Monno, Y.; Tanaka, M.; Okutomi, M. TokyoTech 5-Band Multisupectral Image Dataset and Demosaicking Codes. Available online: www.ok.sc.e.titech.ac.jp/res/MSI/MSIdata.html (accessed on 10 February 2020).
- Fast Full-Search Equivalent Pattern Matching Using Asymmetric Haar Wavelet Packets. Available online: https://wlouyang.github.io (accessed on 10 February 2020).








| Number of Patches | ||||||||
|---|---|---|---|---|---|---|---|---|
| Data Set | Image Size | Band | Scenes | Patch Size | Samples | Min. | Mean | Max. |
| 120 | 1 | 265 | 7541 | |||||
| 120 | 1 | 308 | 6097 | |||||
| 1 | 3 | 12 | 120 | 1 | 234 | 4937 | ||
| 120 | 1 | 51 | 1564 | |||||
| 120 | 1 | 4 | 127 | |||||
| 110 | 1 | 6158 | 103,161 | |||||
| 110 | 1 | 5634 | 113,573 | |||||
| 2 | 5 | 11 | 110 | 1 | 2508 | 89,534 | ||
| 110 | 1 | 1543 | 85,131 | |||||
| 110 | 1 | 1882 | 74,967 | |||||
| Method | Additions | Multiplications |
|---|---|---|
| 2D-OTSHT-2DI-S and -W | ||
| 2D- and 3D-OTSHT-3DI |
| 2D-OTSHT-2DI | 2D-OTSHT-2DI | 2D-OTSHT-3DI | 3D-OTSHT-3DI | |||||||
|---|---|---|---|---|---|---|---|---|---|---|
| FS | -S+FS [24] | -W+FS | +FS [27] | +FS (Proposed) | ||||||
| Size | [ms] | K | Time [ms] | Ratio [%] | Time [ms] | Ratio [%] | Time [ms] | Ratio [%] | Time [ms] | Ratio [%] |
| 1 | 1.18 | 26.57 | 1.17 | 26.26 | 1.04 | 23.23 | 1.07 | 23.98 | ||
| 5 | 2 | 1.30 | 29.07 | 1.33 | 29.78 | 1.03 | 23.18 | 1.03 | 23.17 | |
| × | 4.46 | 4 | 1.55 | 34.89 | 1.66 | 37.21 | 1.06 | 23.79 | 1.07 | 24.00 |
| 5 | 8 | 2.10 | 47.12 | 2.38 | 53.30 | 1.24 | 27.78 | 1.23 | 27.53 | |
| 16 | 3.15 | 70.77 | 3.60 | 80.71 | 1.59 | 35.75 | 1.55 | 34.71 | ||
| 32 | — | — | — | — | — | — | 2.23 | 49.96 | ||
| 1 | 1.46 | 10.07 | 1.55 | 10.67 | 1.68 | 11.60 | 1.70 | 11.72 | ||
| 9 | 2 | 1.44 | 9.92 | 1.53 | 10.54 | 1.29 | 8.91 | 1.29 | 8.87 | |
| × | 14.51 | 4 | 1.62 | 11.18 | 1.76 | 12.12 | 1.18 | 8.14 | 1.19 | 8.18 |
| 9 | 8 | 2.14 | 14.74 | 2.38 | 16.38 | 1.34 | 9.24 | 1.26 | 8.70 | |
| 16 | 3.13 | 21.58 | 3.55 | 24.50 | 1.64 | 11.31 | 1.58 | 10.88 | ||
| 32 | 5.11 | 35.19 | 5.84 | 40.22 | 2.30 | 15.86 | 2.19 | 15.12 | ||
| 1 | 1.82 | 6.39 | 2.11 | 7.43 | 2.77 | 9.76 | 2.78 | 9.80 | ||
| 13 | 2 | 1.64 | 5.77 | 1.77 | 6.24 | 1.71 | 6.03 | 1.70 | 5.97 | |
| × | 28.39 | 4 | 1.72 | 6.06 | 1.83 | 6.45 | 1.29 | 4.54 | 1.26 | 4.44 |
| 13 | 8 | 2.14 | 7.53 | 2.35 | 8.29 | 1.38 | 4.85 | 1.34 | 4.70 | |
| 16 | 3.00 | 10.55 | 3.33 | 11.73 | 1.62 | 5.71 | 1.58 | 5.58 | ||
| 32 | 4.80 | 16.90 | 5.38 | 18.96 | 2.22 | 7.81 | 2.19 | 7.70 | ||
| 1 | 2.19 | 4.39 | 2.82 | 5.66 | 4.35 | 8.74 | 4.35 | 8.72 | ||
| 17 | 2 | 1.71 | 3.42 | 2.01 | 4.03 | 2.04 | 4.09 | 2.01 | 4.04 | |
| × | 49.84 | 4 | 1.66 | 3.34 | 1.91 | 3.82 | 1.34 | 2.68 | 1.34 | 2.69 |
| 17 | 8 | 2.00 | 4.02 | 2.26 | 4.53 | 1.33 | 2.67 | 1.27 | 2.55 | |
| 16 | 2.78 | 5.58 | 3.09 | 6.19 | 1.51 | 3.04 | 1.46 | 2.93 | ||
| 32 | 4.36 | 8.74 | 4.87 | 9.77 | 2.01 | 4.04 | 1.97 | 3.96 | ||
| 1 | 2.94 | 4.02 | 4.10 | 5.60 | 6.17 | 8.44 | 6.19 | 8.46 | ||
| 21 | 2 | 2.04 | 2.79 | 2.60 | 3.55 | 2.63 | 3.59 | 2.57 | 3.51 | |
| × | 73.16 | 4 | 1.81 | 2.48 | 2.15 | 2.94 | 1.44 | 1.97 | 1.43 | 1.95 |
| 21 | 8 | 2.08 | 2.84 | 2.44 | 3.33 | 1.38 | 1.88 | 1.30 | 1.78 | |
| 16 | 2.71 | 3.71 | 3.13 | 4.28 | 1.49 | 2.03 | 1.47 | 2.01 | ||
| 32 | 4.24 | 5.80 | 4.87 | 6.66 | 1.95 | 2.66 | 1.90 | 2.60 | ||
| 2D-OTSHT-2DI | 2D-OTSHT-2DI | 2D-OTSHT-3DI | 3D-OTSHT-3DI | |||||||
|---|---|---|---|---|---|---|---|---|---|---|
| FS | -S+FS [24] | -W+FS | +FS [27] | +FS (Proposed) | ||||||
| Size | [s] | K | Time [s] | Ratio [%] | Time [s] | Ratio [%] | Time [s] | Ratio [%] | Time [s] | Ratio [%] |
| 1 | 0.099 | 34.913 | 0.102 | 35.845 | 0.052 | 18.239 | 0.051 | 17.873 | ||
| 5 | 2 | 0.125 | 44.007 | 0.126 | 44.373 | 0.050 | 17.437 | 0.050 | 17.604 | |
| × | 0.285 | 4 | 0.173 | 60.934 | 0.179 | 62.793 | 0.052 | 18.389 | 0.053 | 18.487 |
| 5 | 8 | 0.271 | 95.202 | 0.286 | 100.577 | 0.062 | 21.896 | 0.059 | 20.621 | |
| 16 | 0.460 | 161.597 | 0.496 | 174.368 | 0.078 | 27.316 | 0.073 | 25.471 | ||
| 32 | — | — | — | — | — | — | 0.097 | 34.203 | ||
| 1 | 0.137 | 7.792 | 0.169 | 9.646 | 0.126 | 7.192 | 0.125 | 7.141 | ||
| 13 | 2 | 0.153 | 8.742 | 0.176 | 10.065 | 0.092 | 5.250 | 0.092 | 5.231 | |
| × | 1.753 | 4 | 0.196 | 11.160 | 0.217 | 12.361 | 0.077 | 4.392 | 0.077 | 4.401 |
| 13 | 8 | 0.288 | 16.453 | 0.314 | 17.910 | 0.078 | 4.473 | 0.072 | 4.134 | |
| 16 | 0.473 | 26.997 | 0.512 | 29.224 | 0.090 | 5.112 | 0.083 | 4.724 | ||
| 32 | 0.843 | 48.094 | 0.914 | 52.168 | 0.115 | 6.587 | 0.107 | 6.101 | ||
| 1 | 0.211 | 4.360 | 0.324 | 6.696 | 0.302 | 6.250 | 0.301 | 6.235 | ||
| 21 | 2 | 0.195 | 4.035 | 0.275 | 5.681 | 0.177 | 3.658 | 0.176 | 3.637 | |
| × | 4.833 | 4 | 0.221 | 4.577 | 0.276 | 5.719 | 0.122 | 2.516 | 0.122 | 2.525 |
| 21 | 8 | 0.306 | 6.322 | 0.351 | 7.266 | 0.108 | 2.228 | 0.094 | 1.939 | |
| 16 | 0.483 | 9.983 | 0.529 | 10.936 | 0.111 | 2.299 | 0.098 | 2.034 | ||
| 32 | 0.834 | 17.252 | 0.899 | 18.607 | 0.133 | 2.747 | 0.117 | 2.428 | ||
| 1 | 0.352 | 3.742 | 0.589 | 6.252 | 0.616 | 6.547 | 0.616 | 6.547 | ||
| 30 | 2 | 0.287 | 3.053 | 0.459 | 4.871 | 0.332 | 3.527 | 0.330 | 3.503 | |
| × | 9.415 | 4 | 0.286 | 3.034 | 0.418 | 4.437 | 0.209 | 2.222 | 0.207 | 2.195 |
| 30 | 8 | 0.357 | 3.788 | 0.470 | 4.990 | 0.169 | 1.798 | 0.142 | 1.512 | |
| 16 | 0.527 | 5.595 | 0.623 | 6.620 | 0.154 | 1.631 | 0.133 | 1.407 | ||
| 32 | 0.874 | 9.284 | 0.985 | 10.460 | 0.163 | 1.730 | 0.147 | 1.559 | ||
| 1 | 0.642 | 3.057 | 1.202 | 5.724 | 1.294 | 6.163 | 1.297 | 6.178 | ||
| 45 | 2 | 0.444 | 2.113 | 0.832 | 3.961 | 0.606 | 2.888 | 0.605 | 2.883 | |
| × | 20.993 | 4 | 0.371 | 1.768 | 0.651 | 3.102 | 0.328 | 1.565 | 0.327 | 1.556 |
| 45 | 8 | 0.409 | 1.948 | 0.659 | 3.138 | 0.257 | 1.224 | 0.193 | 0.920 | |
| 16 | 0.554 | 2.638 | 0.768 | 3.659 | 0.211 | 1.004 | 0.164 | 0.781 | ||
| 32 | 0.876 | 4.173 | 1.076 | 5.124 | 0.200 | 0.952 | 0.168 | 0.802 | ||
| Number of Patches | ||||||||
|---|---|---|---|---|---|---|---|---|
| Dataset | Image Size | Band | Scenes | Patch Size | Samples | Min. | Mean | Max. |
| 1 | 3 | 12 | 120 | 1 | 15 | 732 | ||
| 2 | 5 | 11 | 110 | 1 | 4880 | 100,278 | ||
| 110 | 1 | 1370 | 91,325 | |||||
| Data | 2D-OTSHT | 2D-OTSHT | 2D-OTSHT | 3D-OTSHT-3DI | |||||||||
|---|---|---|---|---|---|---|---|---|---|---|---|---|---|
| Size | Set | FS | A2DHT [20] | -2DI-S+FS [24] | -2DI-W+FS | -3DI+FS [27] | +FS (Proposed) | ||||||
| [ms] | [%] | [ms] | [%] | [ms] | [%] | [ms] | [%] | [ms] | [%] | [ms] | [%] | ||
| 16 × 16 | 1 | 46.04 | 100 | 2.65 | 5.76 | 1.69 | 3.68 | 1.94 | 4.22 | 1.33 | 2.89 | 1.23 | 2.67 |
| () | () | () | () | ||||||||||
| [s] | [%] | [s] | [%] | [s] | [%] | [s] | [%] | [s] | [%] | [s] | [%] | ||
| 16 × 16 | 2 | 2.517 | 100 | 0.099 | 3.933 | 0.136 | 5.398 | 0.166 | 6.614 | 0.069 | 2.728 | 0.067 | 2.647 |
| () | () | () | () | ||||||||||
| 32 × 32 | 2 | 10.854 | 100 | 0.124 | 1.142 | 0.246 | 2.262 | 0.342 | 3.155 | 0.120 | 1.105 | 0.108 | 0.995 |
| () | () | () | () | ||||||||||
© 2020 by the authors. Licensee MDPI, Basel, Switzerland. This article is an open access article distributed under the terms and conditions of the Creative Commons Attribution (CC BY) license (http://creativecommons.org/licenses/by/4.0/).
Share and Cite
Ito, I.; Pižurica, A. Three-Dimensional Block Matching Using Orthonormal Tree-Structured Haar Transform for Multichannel Images. J. Imaging 2020, 6, 4. https://doi.org/10.3390/jimaging6020004
Ito I, Pižurica A. Three-Dimensional Block Matching Using Orthonormal Tree-Structured Haar Transform for Multichannel Images. Journal of Imaging. 2020; 6(2):4. https://doi.org/10.3390/jimaging6020004
Chicago/Turabian StyleIto, Izumi, and Aleksandra Pižurica. 2020. "Three-Dimensional Block Matching Using Orthonormal Tree-Structured Haar Transform for Multichannel Images" Journal of Imaging 6, no. 2: 4. https://doi.org/10.3390/jimaging6020004
APA StyleIto, I., & Pižurica, A. (2020). Three-Dimensional Block Matching Using Orthonormal Tree-Structured Haar Transform for Multichannel Images. Journal of Imaging, 6(2), 4. https://doi.org/10.3390/jimaging6020004

