State of Charge Estimation of Lithium-Ion Batteries Based on Vector Forgetting Factor Recursive Least Square and Improved Adaptive Cubature Kalman Filter
Abstract
:1. Introduction
2. Battery Model and Parameters Identification
2.1. Battery Model
2.2. Model Parameter Identification Using VFFLS
3. SOC Estimation Based on IACKF
3.1. SOC Definition
3.2. State-Space Equations of the Battery Model
- a.
- State equation:
- b.
- Measurement equation:
3.3. Adaptive CKF Algorithm
- (1)
- Initialization.
- (2)
- Time update.
- a.
- Factorizing the previous error covariance Pk−1:
where represents the Cholesky decomposition, namely,- b.
- Calculating the cubature points:
where ξ represents a set of standard cubature points, which can be determined by:In Equation (24), stands for the ith column vector of the identity matrix with i = 1, 2, …, 2n, where n represents the dimension of the state variable.- c.
- Propagating cubature points via the state process equation:
- d.
- Calculating the predicted state value via the cubature points:
- e.
- Calculating the propagated covariance based on the cubature points and the predicted state values:
where Qk−1 represents the process noise covariance matrix.
- (3)
- Measurement update.
- a.
- Factorizing the current error covariance matrix Pk:
- b.
- Recalculating the cubature points:
- c.
- Propagating the cubature points via the measurement equation:
- d.
- Calculating the predicted measurement values via cubature points:
- e.
- Calculating the estimated covariance:
where Rk−1 represents the measurement noise covariance matrix.- f.
- Calculating the Kalman gain according to the estimated covariance:
- g.
- Updating state prediction using predicted values and Kalman gain:
- h.
- Updating the error covariance:
- (4)
- Adaptive adjustment of Q and R
3.4. Improved ACKF Based on UR Decomposition
4. Experiments
5. Validation Results and Discussion
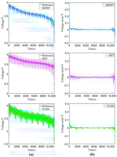
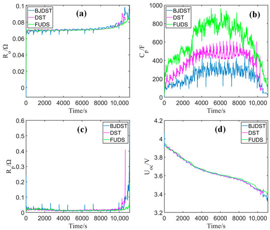
5.1. Model Parameter Identification Results
5.2. SOC Estimation Results
5.2.1. Results with Positive Definite Error Covariance Matrix
5.2.2. Results with Non-Positive Definite Error Covariance Matrix
5.2.3. Validation at Different Temperatures
6. Conclusions
Author Contributions
Funding
Data Availability Statement
Conflicts of Interest
References
- Liu, Z.F.; Zhao, S.X.; Zhao, S.L.; You, G.D.; Hou, X.X.; Yu, J.L.; Li, L.L.; Chen, B. Improving the economic and environmental benefits of the energy system: A novel hybrid economic emission dispatch considering clean energy power uncertainty. Energy 2023, 285, 128668. [Google Scholar] [CrossRef]
- Ali, M.; Alkaabi, A.K.; Alameri, S.A.; Addad, Y. Overall efficiency analysis of an innovative load-following nuclear power plant-thermal energy storage coupled cycle. Int. J. Exergy 2021, 36, 98–122. [Google Scholar] [CrossRef]
- Xiong, R.; Kim, J.; Shen, W.X.; Lv, C.; Li, H.L.; Zhu, X.Y.; Zhao, W.Z.; Gao, B.Z.; Guo, H.Y.; Zhang, C.M.; et al. Key technologies for electric vehicles. Green Energy Intell. Transp. 2022, 1, 100041. [Google Scholar] [CrossRef]
- Shahjalal, M.; Roy, P.K.; Shams, T.; Fly, A.; Chowdhury, J.I.; Ahmed, M.R.; Liu, K. A review on second-life of Li-ion batteries: Prospects, challenges, and issues. Energy 2022, 241, 122881. [Google Scholar] [CrossRef]
- Liang, J.; Wu, T.; Wang, Z.; Yu, Y.; Hu, L.; Li, H.; Zhang, X.; Zhu, X.; Zhao, Y. Accelerating perovskite materials discovery and correlated energy applications through artificial intelligence. Energy Mater. 2022, 2, 200016. [Google Scholar] [CrossRef]
- Li, X.Y.; Huang, Z.J.; Hua, W.; Rao, L.; Tian, Y.; Tian, J. Mechanical vibration modeling and characterization of a plastic-cased lithium-ion battery. Green Energy Intell. Transp. 2022, 1, 100006. [Google Scholar] [CrossRef]
- Zhan, J.C.; Deng, Y.F.; Ren, J.Y.; Gao, Y.H.; Liu, Y.; Rao, S.; Li, W.F.; Gao, Z.H. Cell design for improving low-temperature performance of lithium-ion batteries for electric vehicles. Batteries 2023, 9, 373. [Google Scholar] [CrossRef]
- Yan, Y.; Zeng, T.; Liu, S.; Shu, C.Z.; Zeng, Y. Lithium metal stabilization for next-generation lithium-based batteries: From fundamental chemistry to advanced characterization and effective protection. Energy Mater. 2023, 3, 300002. [Google Scholar]
- Shrivastava, P.; Soon, T.K.; Idris, M.Y.I.B.; Mekhilef, S.; Adnan, S.B.R.S. Comprehensive co-estimation of lithium-ion battery state of charge, state of energy, state of power, maximum available capacity, and maximum available energy. J. Energy Storage 2022, 56, 106049. [Google Scholar] [CrossRef]
- Chen, C.; Xiong, R.; Yang, R.; Li, H. A novel data-driven method for mining battery open-circuit voltage characterization. Green Energy Intell. Transp. 2022, 1, 100001. [Google Scholar] [CrossRef]
- Guo, F.; Wu, X.W.; Liu, L.L.; Ye, J.L.; Wang, T.; Fu, L.J.; Wu, Y.P. Prediction of remaining useful life and state of health of lithium batteries based on time series feature and Savitzky-Golay filter combined with gated recurrent unit neural network. Energy 2023, 270, 126880. [Google Scholar] [CrossRef]
- Habib, A.K.M.A.; Hasan, M.K.; Issa, G.F.; Singh, D.; Islam, S.; Ghazal, T.M. Lithium-ion battery management system for electric vehicles: Constraints, challenges, and recommendations. Batteries 2023, 9, 152. [Google Scholar] [CrossRef]
- Chen, J.; Zhou, Z.; Zhou, Z.; Wang, X.; Liaw, B. Impact of battery cell imbalance on electric vehicle range. Green Energy Intell. Transp. 2022, 1, 100025. [Google Scholar] [CrossRef]
- Ng, K.S.; Moo, C.S.; Chen, Y.P.; Hsieh, Y.C. Enhanced coulomb counting method for estimating state-of-charge and state-of-health of lithium-ion batteries. Appl. Energy 2009, 86, 1506–1511. [Google Scholar] [CrossRef]
- Xing, Y.; He, W.; Pecht, M.; Tsui, K.L. State of charge estimation of lithium-ion batteries using the open-circuit voltage at various ambient temperatures. Appl. Energy 2014, 113, 106–115. [Google Scholar] [CrossRef]
- Mohammadi, F. Lithium-ion battery state-of-charge estimation based on an improved Coulomb-counting algorithm and uncertainty evaluation. J. Energy Storage 2022, 48, 104061. [Google Scholar] [CrossRef]
- Lee, S.; Kim, J.; Lee, J.; Cho, B.H. State-of-charge and capacity estimation of lithium-ion battery using a new open-circuit voltage versus state-of-charge. J. Power Sources 2008, 185, 1367–1373. [Google Scholar] [CrossRef]
- Tian, Y.; Lai, R.C.; Li, X.Y.; Tian, J.D. State-of-charge estimation for lithium-ion batteries based on attentional sequence-to-sequence architecture. J. Energy Storage 2023, 62, 106836. [Google Scholar] [CrossRef]
- Tian, J.P.; Xiong, R.; Shen, W.X.; Lu, J.H. State-of-charge estimation of LiFePO4 batteries in electric vehicles: A deep-learning enabled approach. Appl. Energy 2021, 291, 116812. [Google Scholar] [CrossRef]
- Anton, J.C.A.; Nieto, P.J.G.; Viejo, C.B.; Vilan, J.A.V. Support vector machines used to estimate the battery state of charge. IEEE Trans. Power Electron. 2013, 28, 5919–5926. [Google Scholar] [CrossRef]
- Malkhandi, S. Fuzzy logic-based learning system and estimation of state-of-charge of lead-acid battery. Eng. Appl. Artif. Intell. 2006, 19, 479–485. [Google Scholar] [CrossRef]
- Singh, P.; Vinjamuri, R.; Wang, X.; Reisner, D. Design and implementation of a fuzzy logic-based state-of-charge meter for Li-ion batteries used in portable defibrillators. J. Power Sources 2006, 162, 829–836. [Google Scholar] [CrossRef]
- How, D.N.T.; Hannan, M.A.; Lipu, M.S.H.; Ker, P.J. State of charge estimation for lithium-ion batteries using model-based and data-driven methods: A Review. IEEE Access 2019, 7, 136116–136136. [Google Scholar] [CrossRef]
- Zeng, Y.; Li, Y.; Yang, T. State of charge estimation for lithium-ion battery based on unscented Kalman filter and long short-term memory neural network. Batteries 2023, 9, 358. [Google Scholar] [CrossRef]
- Zhang, S.Z.; Guo, X.; Zhang, X.W. An improved adaptive unscented kalman filtering for state of charge online estimation of lithium-ion battery. J. Energy Storage 2020, 32, 101980. [Google Scholar] [CrossRef]
- Zhang, S.Z.; Zhang, C.; Jiang, S.Y.; Zhang, X.W. A comparative study of different adaptive extended/unscented Kalman filters for lithium-ion battery state-of-charge estimation. Energy 2022, 246, 123423. [Google Scholar] [CrossRef]
- Rahman, M.A.; Anwar, S.; Izadian, A. Electrochemical model parameter identification of a lithium-ion battery using particle swarm optimization method. J. Power Sources 2016, 307, 86–97. [Google Scholar] [CrossRef]
- Jokar, A.; Rajabloo, B.; Désilets, M.; Lacroix, M. Review of simplified Pseudo-two-Dimensional models of lithium-ion batteries. J. Power Sources 2016, 327, 44–55. [Google Scholar] [CrossRef]
- He, H.W.; Xiong, R.; Fan, J.X. Evaluation of lithium-ion battery equivalent circuit models for state of charge estimation by an experimental approach. Energies 2011, 4, 582–598. [Google Scholar] [CrossRef]
- Nejad, S.; Gladwin, D.T.; Stone, D.A. A systematic review of lumped-parameter equivalent circuit models for real-time estimation of lithium-ion battery states. J. Power Sources 2016, 316, 183–196. [Google Scholar] [CrossRef]
- Tian, Y.; Huang, Z.J.; Long, T.; Tian, J.D.; Li, X.Y. Performance analysis and modeling of three energy storage devices for electric vehicle applications over a wide temperature range. Electrochim. Acta 2020, 331, 135317. [Google Scholar] [CrossRef]
- Ling, L.; Sun, D.M.; Yu, X.L.; Huang, R. State of charge estimation of Lithium-ion batteries based on the probabilistic fusion of two kinds of cubature Kalman filters. J. Energy Storage 2021, 43, 103070. [Google Scholar] [CrossRef]
- Zhang, C.; Allafi, W.; Dinh, Q.; Ascencio, P.; Marco, J. Online estimation of battery equivalent circuit model parameters and state of charge using decoupled least squares technique. Energy 2018, 142, 678–688. [Google Scholar] [CrossRef]
- Ouyang, T.C.; Xu, P.H.; Chen, J.X.; Lu, J.; Chen, N. Improved parameters identification and state of charge estimation for lithium-ion battery with real-time optimal forgetting factor. Electrochim. Acta 2020, 353, 136576. [Google Scholar] [CrossRef]
- Ge, C.A.; Zheng, Y.P.; Yu, Y. State of charge estimation of lithium-ion battery based on improved forgetting factor recursive least squares-extended Kalman filter joint algorithm. J. Energy Storage 2022, 55, 105474. [Google Scholar] [CrossRef]
- Duong, V.H.; Bastawrous, H.A.; Lim, K.; See, K.W.; Zhang, P.; Dou, S.X. Online state of charge and model parameters estimation of the LiFePO4 battery in electric vehicles using multiple adaptive forgetting factors recursive least-squares. J. Power Sources 2015, 296, 215–224. [Google Scholar] [CrossRef]
- Song, Q.; Mi, Y.X.; Lai, W.X. A novel variable forgetting factor recursive least square algorithm to improve the anti-interference ability of battery model parameters identification. IEEE Access 2019, 7, 61548–61557. [Google Scholar] [CrossRef]
- Tang, J.; Liu, S.Q.; Liu, J.W.; Liu, Q.S.; Zhao, Y.; Lian, Z.X. Parameter identification in urban rail train energy storage elements using a vector multi-forgetting factor least square method. Eng. J. Wuhan Univ. 2020, 53, 527–533. (In Chinese) [Google Scholar]
- Dai, H.F.; Xu, T.J.; Zhu, L.T.; Wei, X.Z.; Sun, Z.C. Adaptive model parameter identification for large capacity Li-ion batteries on separated time scales. Appl. Energy 2016, 184, 119–131. [Google Scholar] [CrossRef]
- Hossain, M.; Haque, M.E.; Arif, M.T. Kalman filtering techniques for the online model parameters and state of charge estimation of the Li-ion batteries: A comparative analysis. J. Energy Storage 2022, 51, 104174. [Google Scholar] [CrossRef]
- Khan, Z.A.; Shrivastava, P.; Amrr, S.M.; Mekhilef, S.; Algethami, A.A.; Seyedmahmoudian, M.; Stojcevski, A. A comparative study on different online state of charge estimation algorithms for lithium-ion batteries. Sustainability 2022, 14, 7412. [Google Scholar] [CrossRef]
- Arasaratnam, I.; Haykin, S. Cubature Kalman filters. IEEE Trans. Autom. Control 2009, 54, 1254–1269. [Google Scholar] [CrossRef]
- Liu, Z.; Dang, X.J.; Jing, B.Q.; Ji, J.B. A novel model-based state of charge estimation for lithium-ion battery using adaptive robust iterative cubature Kalman filter. Electr. Pow. Syst. Res. 2019, 177, 105951. [Google Scholar] [CrossRef]
- Wang, Y.C.; Meng, D.W.; Chang, Y.J.; Zhou, Y.Q.; Li, R.; Zhang, X.Y. Research on online parameter identification and SOC estimation methods of lithium-ion battery model based on a robustness analysis. Int. J. Energy Res. 2021, 45, 21234–21253. [Google Scholar] [CrossRef]
- Li, K.Q.; Zhou, F.; Chen, X.; Yang, W.; Shen, J.J.; Song, Z.B. State-of-charge estimation combination algorithm for lithium-ion batteries with Frobenius-norm-based QR decomposition modified adaptive cubature Kalman filter and H-infinity filter based on electro-thermal model. Energy 2023, 263, 125763. [Google Scholar] [CrossRef]
- Tian, Y.; Huang, Z.J.; Tian, J.D.; Li, X.Y. State of charge estimation of lithium-ion batteries based on cubature Kalman filters with different matrix decomposition strategies. Energy 2022, 238, 121917. [Google Scholar] [CrossRef]
- Wang, C.; Xu, M.Y.; Zhang, Q.J.; Feng, J.H.; Jiang, R.Z.; Wei, Y.; Liu, Y.C. Parameters identification of Thevenin model for lithium-ion batteries using self-adaptive particle swarm optimization differential evolution algorithm to estimate state of charge. J. Energy Storage 2021, 44, 103244. [Google Scholar] [CrossRef]
- Paleologu, C.; Benesty, J.; Ciochina, S. A robust variable forgetting factor recursive least-squares algorithm for system identification. IEEE Signal Proc. Lett. 2008, 15, 597–600. [Google Scholar] [CrossRef]
- Stefanopoulou, A. Recursive least squares with forgetting for online estimation of vehicle mass and road grade: Theory and experiments. Vehicle Syst. Dyn. 2005, 43, 31–55. [Google Scholar]
- Tian, Y.; Lai, R.C.; Li, X.Y.; Xiang, L.J.; Tian, J.D. A combined method for state-of-charge estimation for lithium-ion batteries using a long short-term memory network and an adaptive cubature Kalman filter. Appl. Energy 2020, 265, 114789. [Google Scholar] [CrossRef]
- Zeng, Z.B.; Tian, J.D.; Li, D.; Tian, Y. An online state of charge estimation algorithm for lithium-ion batteries using an improved adaptive cubature kalman filter. Energies 2018, 11, 59. [Google Scholar] [CrossRef]
- Yang, K.; Tang, Y.G.; Zhang, S.J.; Zhang, Z. A deep learning approach to state of charge estimation of lithium-ion batteries based on dual-stage attention mechanism. Energy 2022, 244, 123233. [Google Scholar] [CrossRef]
- Peng, J.K.; Luo, J.Y.; He, H.W.; Lu, B. An improved state of charge estimation method based on cubature Kalman filter for lithium-ion batteries. Appl. Energy 2019, 253, 113520. [Google Scholar] [CrossRef]
- Lu, L.G.; Han, X.B.; Li, J.Q.; Hua, J.F.; Ouyang, M.G. A review on the key issues for lithium-ion battery management in electric vehicles. J. Power Sources 2013, 226, 272–288. [Google Scholar] [CrossRef]











| Driving Cycles | RMSE (mV) | MAE (mV) |
|---|---|---|
| BJDST | 11.2 | 5.1 |
| DST | 10.9 | 4.8 |
| FUDS | 10.1 | 3.6 |
Disclaimer/Publisher’s Note: The statements, opinions and data contained in all publications are solely those of the individual author(s) and contributor(s) and not of MDPI and/or the editor(s). MDPI and/or the editor(s) disclaim responsibility for any injury to people or property resulting from any ideas, methods, instructions or products referred to in the content. |
© 2023 by the authors. Licensee MDPI, Basel, Switzerland. This article is an open access article distributed under the terms and conditions of the Creative Commons Attribution (CC BY) license (https://creativecommons.org/licenses/by/4.0/).
Share and Cite
Guo, Y.; Tian, J.; Li, X.; Song, B.; Tian, Y. State of Charge Estimation of Lithium-Ion Batteries Based on Vector Forgetting Factor Recursive Least Square and Improved Adaptive Cubature Kalman Filter. Batteries 2023, 9, 499. https://doi.org/10.3390/batteries9100499
Guo Y, Tian J, Li X, Song B, Tian Y. State of Charge Estimation of Lithium-Ion Batteries Based on Vector Forgetting Factor Recursive Least Square and Improved Adaptive Cubature Kalman Filter. Batteries. 2023; 9(10):499. https://doi.org/10.3390/batteries9100499
Chicago/Turabian StyleGuo, Yiyi, Jindong Tian, Xiaoyu Li, Bai Song, and Yong Tian. 2023. "State of Charge Estimation of Lithium-Ion Batteries Based on Vector Forgetting Factor Recursive Least Square and Improved Adaptive Cubature Kalman Filter" Batteries 9, no. 10: 499. https://doi.org/10.3390/batteries9100499
APA StyleGuo, Y., Tian, J., Li, X., Song, B., & Tian, Y. (2023). State of Charge Estimation of Lithium-Ion Batteries Based on Vector Forgetting Factor Recursive Least Square and Improved Adaptive Cubature Kalman Filter. Batteries, 9(10), 499. https://doi.org/10.3390/batteries9100499
