Development and Environmental Assessment of a Phase Change Material Based Thermal Management System for Na/NiCl2 Batteries
Abstract
1. Introduction
2. Results
2.1. Module Prototype Design
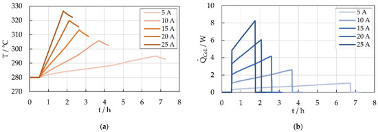
2.2. Experimental Results
2.3. LCA
3. Discussion
3.1. Module Tests
3.2. LCA
4. Materials and Methods
4.1. PCM Selection
4.2. Thermal Specification Tests
4.3. Thermal Module Simulation
4.4. Proof of Concept
4.5. Use Phase Simulation
4.6. Life Cycle Assessment
Author Contributions
Funding
Data Availability Statement
Conflicts of Interest
Appendix A
| ID | I/O | Input | Data Set/Provider | Database | Data Source | Region | Value | Unit |
|---|---|---|---|---|---|---|---|---|
| Manufacturing | ||||||||
| Electrolyte production | ||||||||
| M00001 | Output | Electrolyte | 1 | pcs | ||||
| Input | Boehmite AlO(OH) | aluminium hydroxide production|aluminium hydroxide|Cutoff, U | Ecoinvent 3.7 | [37] | EU27 | 0.137 | kg | |
| Input | Transport | market for transport, freight, lorry 16–32 metric ton, EURO6|transport, freight, lorry 16–32 metric ton, EURO6|Cutoff, U | Ecoinvent 3.7 | [22] | RER | 0.082 | t∙km | |
| Input | Sodium carbonate Na2CO3 | soda production, solvay process|sodium bicarbonate | Ecoinvent 3.7 | [37] | RER | 0.024 | kg | |
| Input | Transport | market for transport, freight, lorry 16–32 metric ton, EURO6|transport, freight, lorry 16–32 metric ton, EURO6|Cutoff, U | Ecoinvent 3.7 | [22] | RER | 0.024 | t∙km | |
| Input | Electricity | market for electricity, medium voltage|electricity, medium voltage|Cutoff, U | Ecoinvent 3.7 | Fraunhofer IKTS | DE | 0.758 | kWh | |
| Input | Natural gas | heat production, natural gas, at boiler atm. low-NOx condensing non-modulating <100 kW | heat, central or small-scale, natural gas|Cutoff, U | Ecoinvent 3.7 | Fraunhofer IKTS | Europe | 10.195 | kWh | |
| Empty cell production | ||||||||
| M00002 | Output | Empty cell | 1 | pcs | ||||
| Input | Electrolyte | Electrolyte Production | M00001 | 1 | pcs | |||
| Input | Hilumin (Case + Shims) | sheet rolling, steel|sheet rolling, steel|Cutoff, U | Ecoinvent 3.7 | [37] | Europe | 0.143 | kg | |
| Input | market for steel, unalloyed|steel, unalloyed|Cutoff, U | Ecoinvent 3.7 | [37] | Global | 0.143 | kg | ||
| Input | Nickel (collector) | smelting and refining of nickel concentrate, 16% Ni|nickel, class 1 | Ecoinvent 3.7 | [37] | Europe | 0.048 | kg | |
| Input | Nickel (seal) | smelting and refining of nickel concentrate, 16% Ni|nickel, class 1 | Ecoinvent 3.7 | [37] | Global | 0.018 | kg | |
| Input | Transport | market for transport, freight, lorry 16–32 metric ton, EURO6|transport, freight, lorry 16–32 metric ton, EURO6|Cutoff, U | Ecoinvent 3.7 | [22] | RER | 0.040 | t∙km | |
| Input | Electricity | market for electricity, medium voltage|electricity, medium voltage|Cutoff, U | Ecoinvent 3.7 | Fraunhofer IKTS | DE | 0.009 | kWh | |
| Input | Natural gas | heat production, natural gas, at boiler atm. low-NOx condensing non-modulating <100 kW|heat, central or small-scale, natural gas|Cutoff, U | Ecoinvent 3.7 | Fraunhofer IKTS | Europe | 2.026 | kWh | |
| Cell production | ||||||||
| M00003 | Output | Cell | 1 | pcs | ||||
| Input | Empty cell | empty cell production | M00002 | 1 | pcs | |||
| Input | Nickel powder | smelting and refining of nickel concentrate, 16% Ni|nickel, class 1 | Ecoinvent 3.7 | [37] | Global | 0.153 | kg | |
| Input | Transport | market for transport, freight, lorry 16–32 metric ton, EURO6|transport, freight, lorry 16–32 metric ton, EURO6|Cutoff, U | Ecoinvent 3.7 | [22] | RER | 0.199 | t∙km | |
| Input | Sodium chloride | sodium chloride production, powder|sodium chloride, powder|Cutoff, U | Ecoinvent 3.7 | [37] | Europe | 0.151 | kg | |
| Input | Transport | market for transport, freight, lorry 16–32 metric ton, EURO6|transport, freight, lorry 16–32 metric ton, EURO6|Cutoff, U | Ecoinvent 3.7 | [22] | RER | 0.196 | t∙km | |
| Input | Aluminium chloride anhydrous | aluminium chloride production|aluminium chloride|Cutoff, U | Ecoinvent 3.7 | [37] | Global | 0.106 | kg | |
| Input | Transport | market for transport, freight, lorry 16–32 metric ton, EURO6|transport, freight, lorry 16–32 metric ton, EURO6|Cutoff, U | Ecoinvent 3.7 | [22] | RER | 0.064 | t∙km | |
| Input | Fe powder | pig iron production|pig iron|Cutoff, U | Ecoinvent 3.7 | [37] | Europe | 0.024 | kg | |
| Input | Electricity | market for electricity, medium voltage|electricity, medium voltage|Cutoff, U | Ecoinvent 3.7 | Fraunhofer IKTS | DE | 0.115 | kWh | |
| Production of other battery components | ||||||||
| M00004 | Output | Battery case | 1 | pcs | ||||
| Input | Stainless steel | iron-nickel-chromium alloy production|iron-nickel-chromium alloy|Cutoff, U | Ecoinvent 3.7 | [22] | Europe | 11.00 | kg | |
| Input | Transport | market for transport, freight, lorry 16–32 metric ton, EURO6|transport, freight, lorry 16–32 metric ton, EURO6|Cutoff, U | Ecoinvent 3.7 | [22] | RER | 2.200 | t∙km | |
| M00005 | Output | Thermal insulation | 1 | pcs | ||||
| Input | Glass wool | glass wool mat production|glass wool mat|Cutoff, U | Ecoinvent 3.7 | [22] | CH | 10 | kg | |
| Input | Transport | market for transport, freight, lorry 16–32 metric ton, EURO6|transport, freight, lorry 16–32 metric ton, EURO6|Cutoff, U | Ecoinvent 3.7 | [22] | RER | 8.500 | t∙km | |
| M00006 | Output | Insulation among cells | 1 | pcs | ||||
| Input | Mica | kaolin production|kaolin|Cutoff, U | Ecoinvent 3.7 | [22] | Europe | 0.35 | kg | |
| M00007 | Output | Ohmic heater | 1 | pcs | ||||
| Input | Silicon | silicon production, electronics grade|silicon, electronics grade|Cutoff, U | Ecoinvent 3.7 | [22] | Europe | 0.35 | kg | |
| M00008 | Output | BMI | 1 | pcs | ||||
| Input | Electronics | electronics production, for control units|electronics, for control units|Cutoff, U | Ecoinvent 3.7 | [22] | Europe | 0.7 | kg | |
| Input | Transport | market for transport, freight, lorry 16–32 metric ton, EURO6|transport, freight, lorry 16–32 metric ton, EURO6|Cutoff, U | Ecoinvent 3.7 | [22] | RER | 0.280 | t∙km | |
| M00009 | Output | Electric cables | 1 | pcs | ||||
| Input | Nickel alloy | iron-nickel-chromium alloy production|iron-nickel-chromium alloy|Cutoff, U | Ecoinvent 3.7 | [22] | Europe | 0.2 | kg | |
| Input | Transport | market for transport, freight, lorry 16–32 metric ton, EURO6|transport, freight, lorry 16–32 metric ton, EURO6|Cutoff, U | Ecoinvent 3.7 | [22] | RER | 0.050 | t∙km | |
| M00010 | Output | Cells interconnection | 1 | pcs | ||||
| Input | Nickel | market for nickel, class 1|nickel, class 1|Cutoff, U | Ecoinvent 3.7 | [22] | Global | 0.36 | kg | |
| PCM component production | ||||||||
| M00011 | Output | PCM | 1 | pcs | ||||
| Input | Sodium nitrate | sodium nitrate production|sodium nitrate|Cutoff, U | Ecoinvent 3.7 | Fraunhofer IFAM | RER | 4.4 | kg | |
| Input | Stainless steel | market for iron-nickel-chromium alloy|iron-nickel-chromium alloy|Cutoff, U | Ecoinvent 3.7 | Fraunhofer IFAM | GLO | 4.2 | kg | |
| Input | Aluminium (HTEs) | market for aluminium, wrought alloy|aluminium, wrought alloy|Cutoff, U | Ecoinvent 3.7 | Fraunhofer IFAM | GLO | 3.2 | kg | |
| Na/NiCl2 battery production | ||||||||
| M00012 | Output | Na/NiCl2 battery | 1 | pcs | ||||
| Input | Cell | cell production | M00003 | 100 | pcs | |||
| Input | Battery case | battery case production | M00004 | 1 | pcs | |||
| Input | Thermal insulation | thermal insulation production | M00005 | 1 | pcs | |||
| Input | Insulation amoung cells | insulation among cells production | M00006 | 1 | pcs | |||
| Input | Ohmic heater | ohmic heater production | M00007 | 1 | pcs | |||
| Input | BMI | BMI production | M00008 | 1 | pcs | |||
| Input | Electric cables | electric cables production | M00009 | 1 | pcs | |||
| Input | Cells interconnection | cells interconnection production | M00010 | 1 | pcs | |||
| Input | PCM | PCM component production | M00011 | 1 | pcs | |||
| Use | ||||||||
| U00001 | Output | Na/NiCl2 battery_used | ||||||
| Input | Na/NiCl2 battery | M00012 | 1 | pcs | ||||
| Input | Electricity | market for electricity, medium voltage|electricity, medium voltage|Cutoff, U | Ecoinvent 3.7 | Fraunhofer IKTS | DE | Annual heating demand ∙Lifetime | kWh | |
| End-of-life | ||||||||
| Output | Na/NiCl2 battery_Eol | |||||||
| Input | Na/NiCl2 battery_used | U00001 | 1 | pcs | ||||
| Input | Dismantling | market for manual dismantling of electric scooter|manual dismantling of electric scooter|Cutoff, U | Ecoinvent 3.7 | [6] | GLO | 1 | pcs | |
| Input | Collection | market for transport, freight, lorry 16–32 metric ton, EURO6|transport, freight, lorry 16–32 metric ton, EURO6|Cutoff, U | Ecoinvent 3.7 | [6] | RER | 0.0315 | t ∙ km | |
References
- Kurzweil, P. Lithium Battery Energy Storage. In Electrochemical Energy Storage for Renewable Sources and Grid Balancing; Elsevier: Amsterdam, The Netherlands, 2015; pp. 269–307. ISBN 9780444626165. [Google Scholar]
- Hueso, K.B.; Armand, M.; Rojo, T. High temperature sodium batteries: Status, challenges and future trends. Energy Environ. Sci. 2013, 6, 734. [Google Scholar] [CrossRef]
- Hueso, K.B.; Palomares, V.; Armand, M.; Rojo, T. Challenges and perspectives on high and intermediate-temperature sodium batteries. Nano Res. 2017, 10, 4082–4114. [Google Scholar] [CrossRef]
- Moseley, P.T.; Rand, D.A. High-Temperature Sodium Batteries for Energy Storage. In Electrochemical Energy Storage for Renewable Sources and Grid Balancing; Moseley, Patrick, T., Garche, J., Eds.; Elsevier: Amsterdam, The Netherlands, 2015; pp. 253–268. ISBN 9780444626165. [Google Scholar]
- Trickett, D. Current Status of Health and Safety Issues of Sodium/Metal Chloride (Zebra) Batteries; National Renewable Energy Laboratory: Golden, Colorado, 1998. [Google Scholar]
- Dustmann, C.-H. Advances in ZEBRA batteries. Eighth Ulm. Electrochem. Tage 2004, 127, 85–92. [Google Scholar] [CrossRef]
- Sudworth, J. The sodium/nickel chloride (ZEBRA) battery. J. Power Sources 2001, 100, 149–163. [Google Scholar] [CrossRef]
- Dustmann, C.-H.; Bito, A. Secondary Batteries-High Temperatur Systems|Safety. In Encyclopedia of Electrochemical Power Sources; Garche, J., Ed.; Elsevier: Amsterdam, The Netherlands, 2009; pp. 324–333. ISBN 9780444527455. [Google Scholar]
- Cleaver, B.; Cleaver, D.J.; Littlewood, L.; Demott, D.S. Reversible and irreversible heat effects in ZEBRA cells. J. Appl. Electrochem. 1995, 25, 1128–1132. [Google Scholar] [CrossRef]
- Jaguemont, J.; Omar, N.; van den Bossche, P.; Mierlo, J. Phase-change materials (PCM) for automotive applications: A review. Appl. Therm. Eng. 2018, 132, 308–320. [Google Scholar] [CrossRef]
- Huang, R.; Li, Z.; Hong, W.; Wu, Q.; Yu, X. Experimental and numerical study of PCM thermophysical parameters on lithium-ion battery thermal management. Energy Rep. 2020, 6, 8–19. [Google Scholar] [CrossRef]
- Liu, C.; Xu, D.; Weng, J.; Zhou, S.; Li, W.; Wan, Y.; Jiang, S.; Zhou, D.; Wang, J.; Huang, Q. Phase Change Materials Application in Battery Thermal Management System: A Review. Materials 2020, 13, 4622. [Google Scholar] [CrossRef]
- Malik, M.; Dincer, I.; Rosen, M.A. Review on use of phase change materials in battery thermal management for electric and hybrid electric vehicles. Int. J. Energy Res. 2016, 40, 1011–1031. [Google Scholar] [CrossRef]
- Grimonia, E.; Andhika, M.R.C.; Aulady, M.F.N.; Rubi, R.V.C.; Hamidah, N.L. Thermal Management System Using Phase Change Material for Lithium-ion Battery. J. Phys. Conf. Ser. 2021, 2117, 12005. [Google Scholar] [CrossRef]
- Verma, A.; Shashidhara, S.; Rakshit, D. A comparative study on battery thermal management using phase change material (PCM). Therm. Sci. Eng. Prog. 2019, 11, 74–83. [Google Scholar] [CrossRef]
- Youssef, R.; Hosen, M.S.; He, J.; AL-Saadi, M.; van Mierlo, J.; Berecibar, M. Novel design optimization for passive cooling PCM assisted battery thermal management system in electric vehicles. Case Stud. Therm. Eng. 2022, 32, 101896. [Google Scholar] [CrossRef]
- Cárdenas, B.; León, N. High temperature latent heat thermal energy storage: Phase change materials, design considerations and performance enhancement techniques. Renew. Sustain. Energy Rev. 2013, 27, 724–737. [Google Scholar] [CrossRef]
- Zhou, D.; Eames, P. Thermal characterisation of binary sodium/lithium nitrate salts for latent heat storage at medium temperatures. Sol. Energy Mater. Sol. Cells 2016, 157, 1019–1025. [Google Scholar] [CrossRef][Green Version]
- Restello, S.; Residori, Z.; Crugnola, G.; Zanon, N. Hocheffiziente natriumbasierte Hochtemperatur-Elektrochemiezelle. German Patent and Trade Mark Office DE112014005945T5, 19 December 2014. [Google Scholar]
- Porzio, J.; Scown, C.D. Life-Cycle Assessment Considerations for Batteries and Battery Materials. Adv. Energy Mater. 2021, 11, 2100771. [Google Scholar] [CrossRef]
- Matheys, J.; van Autenboer, W.; van Mierlo, J. SUBAT: Sustainable Batteries—Work Package 5: Overall Assessment; Final Public Report; Vrije Universiteit Brussel and ETEC: Brussel, Belgium, 2004. [Google Scholar]
- Longo, S.; Antonucci, V.; Cellura, M.; Ferraro, M. Life cycle assessment of storage systems: The case study of a sodium/nickel chloride battery. J. Clean. Prod. 2013, 85, 337–346. [Google Scholar] [CrossRef]
- Longo, S.; Cellura, M.; Cusenza, M.A.; Guarino, F.; Mistretta, M.; Panno, D.; D’Urso, C.; Leonardi, S.G.; Briguglio, N.; Tumminia, G.; et al. Life Cycle Assessment for Supporting Eco-Design: The Case Study of Sodium–Nickel Chloride Cells. Energies 2021, 14, 1897. [Google Scholar] [CrossRef]
- European Commission, Joint Research Centre, Institute for Environment and Sustainability. Characterisation Factors of the ILCD Recommended Life Cycle Impact Assessment Methods. Database and Supporting Information, 1st ed.; EUR 25167; Publications Office of the European Union: Luxembourg, 2012. [Google Scholar]
- Bhamidipati, K.; Lindsey, J.; Frutschy, K.; Ajdari, A.; Browell, J.; Hólló, S. Sodium Metal Halide Battery Thermal Design for Improved Reliability. J. Electrochem. Energy Convers. Storage 2018, 15, 041004. [Google Scholar] [CrossRef]
- Rossi, F.; Parisi, M.L.; Greven, S.; Basosi, R.; Sinicropi, A. Life Cycle Assessment of Classic and Innovative Batteries for Solar Home Systems in Europe. Energies 2020, 13, 3454. [Google Scholar] [CrossRef]
- Wei, G.; Wang, G.; Xu, C.; Ju, X.; Xing, L.; Du, X.; Yang, Y. Selection principles and thermophysical properties of high temperature phase change materials for thermal energy storage: A review. Renew. Sustain. Energy Rev. 2018, 81, 1771–1786. [Google Scholar] [CrossRef]
- Bauer, T.; Laing, D.; Tamme, R. Characterization of Sodium Nitrate as Phase Change Material. Int. J. Thermophys. 2012, 33, 91–104. [Google Scholar] [CrossRef]
- Bauer, T.; Laing, D.; Kroener, U.; Tamme, R. Sodium Nitrate for High Temeprature Latent Heat Storage. In Proceedings of the 11th Internation Conference on Thermal Energy Storage, Stockholm, Sweden, 14–17 June 2009. [Google Scholar]
- Cleaver, B. Asymmetric Thermal Effects in High Temperature Cells with Solid Electrolytes. J. Electrochem. Soc. 1995, 142, 3409. [Google Scholar] [CrossRef]
- Rubenbauer, H.; Henninger, S. Definitions and reference values for battery systems in electrical power grids. J. Energy Storage 2017, 12, 87–107. [Google Scholar] [CrossRef]
- COMSOL Multiphysics® v. 5.6. COMSOL AB. Stockholm, Sweden. Available online: www.comsol.com (accessed on 1 November 2021).
- D’Urso, C.; Briguglio, N.; Bonanno, A.; Ferraro, M.; Antonucci, V.; Vasta, S. Thermochemical investigation on a novel sodium-metal-halide battery configuration: Experimental and FEM model results. J. Energy Storage 2019, 25, 100818. [Google Scholar] [CrossRef]
- Nousch, L.; Richter, M.; Herold, D. Simulation based Energy Performance Analysis and Economic Assessment of Na/NiCl2 Batteries compared to Li-Ion Batteries Operating in a PV Home Storage System. In Proceedings of the SBS2-2 International Sodium Battery Symposium, Dresden, Germany, 13–14 January 2021. [Google Scholar]
- openLCA v. 10.3.1. Berlin, Germany. Available online: https://www.openlca.org (accessed on 1 November 2021).
- Ecoinvent v. 3.7. Zurich, Schwitzerland. Available online: https://ecoinvent.org (accessed on 1 November 2021).
- FZSoNick. Product Safety Data Sheet. 2017. Available online: https://www.fzsonick.com/applications/residential-energy-storage (accessed on 23 October 2020).
























| Component | Material | Density kg/m3 | Heat Conductivity W/(m·K) | Specific Heat J/(kg·K) | Phase Change Temperature °C | Latent Heat J/kg |
|---|---|---|---|---|---|---|
| Na/NiCl2 cells | - | 2229 | 2.25 | 750 | - | - |
| Heating elements | Steel | 7850 | 44.5 | 475 | - | - |
| PCM | NaNO3 (solid) | 2113 | 0.6 | 1700 | 306 | 178,000 |
| NaNO3 (liquid) | 1908 | 0.51 | 1670 | |||
| Thermal structures | Al (incl. glimmer layer) | 2700 | 240 | 900 | ||
| Thermal insulation | 300 | 0.042 | 900 |
| Best Case | Worst Case | |
|---|---|---|
| Without PCM | 26 kWh/kWh | 104 kWh/kWh |
| With PCM | 20 kWh/kWh | 104 kWh/kWh |
Publisher’s Note: MDPI stays neutral with regard to jurisdictional claims in published maps and institutional affiliations. |
© 2022 by the authors. Licensee MDPI, Basel, Switzerland. This article is an open access article distributed under the terms and conditions of the Creative Commons Attribution (CC BY) license (https://creativecommons.org/licenses/by/4.0/).
Share and Cite
Richter, M.; Dittrich, R.; Zindel, A.; Nousch, L.; Lehmann, M.; Franke, M.; Eißmann, N.; Hutsch, T.; Cerdas, F.; Zellmer, S.; et al. Development and Environmental Assessment of a Phase Change Material Based Thermal Management System for Na/NiCl2 Batteries. Batteries 2022, 8, 197. https://doi.org/10.3390/batteries8110197
Richter M, Dittrich R, Zindel A, Nousch L, Lehmann M, Franke M, Eißmann N, Hutsch T, Cerdas F, Zellmer S, et al. Development and Environmental Assessment of a Phase Change Material Based Thermal Management System for Na/NiCl2 Batteries. Batteries. 2022; 8(11):197. https://doi.org/10.3390/batteries8110197
Chicago/Turabian StyleRichter, Maria, Robert Dittrich, Annika Zindel, Laura Nousch, Michael Lehmann, Michael Franke, Nadine Eißmann, Thomas Hutsch, Felipe Cerdas, Sabrina Zellmer, and et al. 2022. "Development and Environmental Assessment of a Phase Change Material Based Thermal Management System for Na/NiCl2 Batteries" Batteries 8, no. 11: 197. https://doi.org/10.3390/batteries8110197
APA StyleRichter, M., Dittrich, R., Zindel, A., Nousch, L., Lehmann, M., Franke, M., Eißmann, N., Hutsch, T., Cerdas, F., Zellmer, S., & Herold, D. (2022). Development and Environmental Assessment of a Phase Change Material Based Thermal Management System for Na/NiCl2 Batteries. Batteries, 8(11), 197. https://doi.org/10.3390/batteries8110197

