Influence of the Nitrogen Precursor in the Development of N-Functionalities in a Mesoporous Carbon Material and Its Effect on the Li–S Cells’ Electrochemistry
Abstract
1. Introduction
2. Materials and Methods
2.1. Nitrogen-Doped Mesoporous Carbon Preparation
2.2. Sulfur Incorporation in the Mesoporous Carbon Materials
2.3. Physicochemical Characterization
2.4. Electrochemical Characterization
3. Results
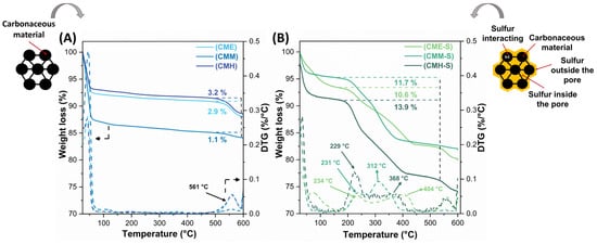
3.1. Physicochemical Characterization of the Carbon Materials and the Corresponding S/C Materials
Effect of Nitrogen Precursor on the Physicochemical Properties
3.2. Electrochemical Performance of the Li–S Cells
4. Conclusions
Supplementary Materials
Author Contributions
Funding
Data Availability Statement
Acknowledgments
Conflicts of Interest
References
- Wang, C.-Y.; Liu, T.; Yang, X.-G.; Ge, S.; Stanley, N.V.; Rountree, E.S.; Leng, Y.; McCarthy, B.D. Fast Charging of Energy-Dense Lithium-Ion Batteries. Nature 2022, 611, 485–490. [Google Scholar] [CrossRef]
- Beaudin, M.; Zareipour, H.; Schellenberglabe, A.; Rosehart, W. Energy Storage for Mitigating the Variability of Renewable Electricity Sources: An Updated Review. Energy Sustain. Dev. 2010, 14, 302–314. [Google Scholar] [CrossRef]
- Bruce, P.G.; Freunberger, S.A.; Hardwick, L.J.; Tarascon, J.M. Li–O2 and Li–S Batteries with High Energy Storage. Nat. Mater. 2012, 11, 19–29. [Google Scholar] [CrossRef]
- Liu, W.; Placke, T.; Chau, K.T. Overview of Batteries and Battery Management for Electric Vehicles. Energy Rep. 2022, 8, 4058–4084. [Google Scholar] [CrossRef]
- Chen, Y.; Wang, T.; Tian, H.; Su, D.; Zhang, Q.; Wang, G. Advances in Lithium–Sulfur Batteries: From Academic Research to Commercial Viability. Adv. Mater. 2021, 33, 2003666. [Google Scholar] [CrossRef]
- Barghamadi, M.; Kapoor, A.; Wen, C. A Review on Li-S Batteries as a High Efficiency Rechargeable Lithium Battery. J. Electrochem. Soc. 2013, 160, A1256–A1263. [Google Scholar] [CrossRef]
- Xu, R.; Lu, J.; Amine, K. Progress in Mechanistic Understanding and Characterization Techniques of Li-S Batteries. Adv. Energy Mater. 2015, 5, 1500408. [Google Scholar] [CrossRef]
- Huang, Y.; Lin, L.; Zhang, C.; Liu, L.; Li, Y.; Qiao, Z.; Lin, J.; Wei, Q.; Wang, L.; Xie, Q.; et al. Recent Advances and Strategies toward Polysulfides Shuttle Inhibition for High-Performance Li–S Batteries. Adv. Sci. 2022, 9, 2106004. [Google Scholar] [CrossRef]
- Shi, C.; Takeuchi, S.; Alexander, G.V.; Hamann, T.; O’Neill, J.; Dura, J.A.; Wachsman, E.D. High Sulfur Loading and Capacity Retention in Bilayer Garnet Sulfurized-Polyacrylonitrile/Lithium-Metal Batteries with Gel Polymer Electrolytes. Adv. Energy Mater. 2023, 13, 2301656. [Google Scholar] [CrossRef]
- Ji, X.; Lee, K.T.; Nazar, L.F. A Highly Ordered Nanostructured Carbon-Sulphur Cathode for Lithium-Sulphur Batteries. Nat. Mater. 2009, 8, 500–506. [Google Scholar] [CrossRef]
- Xiao, Q.; Yang, J.; Wang, X.; Deng, Y.; Han, P.; Yuan, N.; Zhang, L.; Feng, M.; Wang, C.; Liu, R. Carbon-Based Flexible Self-Supporting Cathode for Lithium-Sulfur Batteries: Progress and Perspective. Carbon Energy 2021, 3, 271–302. [Google Scholar] [CrossRef]
- Yao, S.; Zhang, C.; He, Y.; Li, Y.; Wang, Y.; Liang, Y.; Shen, X.; Li, T.; Qin, S.; Xiang, J. Functionalization of Nitrogen-Doped Carbon Nanofibers with Polyamidoamine Dendrimer as a Freestanding Electrode with High Sulfur Loading for Lithium-Polysulfides Batteries. ACS Sustain. Chem. Eng. 2020, 8, 7815–7824. [Google Scholar] [CrossRef]
- Wang, T.; He, J.; Cheng, X.-B.; Zhu, J.; Lu, B.; Wu, Y. Strategies toward High-Loading Lithium-Sulfur Batteries. ACS Energy Lett. 2023, 8, 116–150. [Google Scholar] [CrossRef]
- Sun, F.; Wang, J.; Chen, H.; Li, W.; Qiao, W.; Long, D.; Ling, L. High Efficiency Immobilization of Sulfur on Nitrogen-Enriched Mesoporous Carbons for LI-S Batteries. ACS Appl. Mater. Interfaces 2013, 5, 5630–5638. [Google Scholar] [CrossRef]
- Qiu, D.; Zhang, X.; Zheng, D.; Ji, W.; Ding, T.; Qu, H.; Liu, M.; Qu, D. High-Performance Li-S Batteries with a Minimum Shuttle Effect: Disproportionation of Dissolved Polysulfide to Elemental Sulfur Catalyzed by a Bifunctional Carbon Host. ACS Appl. Mater. Interfaces 2023, 15, 36250–36261. [Google Scholar] [CrossRef]
- Zhang, K.; Wang, L.; Cai, W.; Chen, L.-F.; Wang, D.; Chen, Y.; Pan, H.; Wang, L.; Qian, Y. Pyridinic and Pyrrolic Nitrogen-Enriched Carbon as a Polysulfide Blocker for High-Performance Lithium–Sulfur Batteries. Inorg. Chem. Front. 2019, 6, 955–960. [Google Scholar] [CrossRef]
- Yi, G.S.; Sim, E.S.; Chung, Y.-C. Effect of Lithium-Trapping on Nitrogen-Doped Graphene as an Anchoring Material for Lithium-Sulfur Batteries: A Density Functional Theory Study. Phys. Chem. Chem. Phys. 2017, 19, 28189–28194. [Google Scholar] [CrossRef]
- Dong, W.; Wu, Z.; Zhu, X.; Shen, D.; Zhao, M.; Yang, F.; Chang, Q.; Tang, S.; Hong, X.; Dong, Z.; et al. Synergistic Pyridinic N/Pyrrolic N Configurations in RGO/CNT Composite Sulfur Hosts for High-Performance Lithium-Sulfur Batteries. Chem. Eng. J. 2024, 488, 150872. [Google Scholar] [CrossRef]
- Bosubabu, D.; Sampathkumar, R.; Karkera, G.; Ramesha, K. Facile Approach to Prepare Multiple Heteroatom-Doped Carbon Material from Bagasse and Its Applications toward Lithium-Ion and Lithium−Sulfur Batteries. Energy Fuels 2021, 35, 8286–8294. [Google Scholar] [CrossRef]
- Babu, D.B.; Ramesha, K. Melamine Assisted Liquid Exfoliation Approach for the Synthesis of Nitrogen Doped Graphene-like Carbon Nano Sheets from Bio-Waste Bagasse Material and Its Application towards High Areal Density Li-S Batteries. Carbon 2019, 144, 582–590. [Google Scholar] [CrossRef]
- Xiang, M.; Yang, L.; Zheng, Y.; Huang, J.; Jing, P.; Wu, H.; Zhang, Y.; Liu, H. A Freestanding and Flexible Nitrogen-Doped Carbon Foam/Sulfur Cathode Composited with Reduced Graphene Oxide for High Sulfur Loading Lithium–Sulfur Batteries. J. Mater. Chem. A Mater. 2017, 5, 18020–18028. [Google Scholar] [CrossRef]
- Le, H.T.T.; Dang, T.-D.; Chu, N.T.H.; Park, C.-J. Synthesis of Nitrogen-Doped Ordered Mesoporous Carbon with Enhanced Lithium Storage Performance from Natural Kaolin Clay. Electrochim. Acta 2020, 332, 135399. [Google Scholar] [CrossRef]
- Montiel-Centeno, K.; Barrera, D.; Villarroel-Rocha, J.; Arroyo-Gómez, J.J.; Moreno, M.S.; Sapag, K. CMK-3 Nanostructured Carbon: Effect of Temperature and Time Carbonization on Textural Properties and H2 Storage. Chem. Eng. Commun. 2019, 206, 1581–1595. [Google Scholar] [CrossRef]
- Park, H.Y.; Huang, M.; Yoon, T.-H.; Song, K.H. Electrochemical Properties of Kenaf-Based Activated Carbon Monolith for Supercapacitor Electrode Applications. RSC Adv. 2021, 11, 38515–38522. [Google Scholar] [CrossRef]
- Xu, J.; Dong, G.; Jin, C.; Huang, M.; Guan, L. Sulfur and Nitrogen Co-Doped, Few-Layered Graphene Oxide as a Highly Efficient Electrocatalyst for the Oxygen-Reduction Reaction. ChemSusChem 2013, 6, 493–499. [Google Scholar] [CrossRef]
- Darwent, B.D. Bond Dissociation Energies in Simple Molecules; NSRDS-NBS 31; National Standard Reference Data Series; National Bureau of Standards: Gaithersburg, MD, USA, 1970; 52p. [Google Scholar]
- Yang, X.; Li, X.; Adair, K.; Zhang, H.; Sun, X. Structural Design of Lithium–Sulfur Batteries: From Fundamental Research to Practical Application. Electrochem. Energy Rev. 2018, 1, 239–293. [Google Scholar] [CrossRef]
- Suzuki, K.; Tateishi, M.; Nagao, M.; Imade, Y.; Yokoi, T.; Hirayama, M.; Tatsumi, T.; Kanno, R. Synthesis, Structure, and Electrochemical Properties of a Sulfur-Carbon Replica Composite Electrode for All-Solid-State Li-Sulfur Batteries. J. Electrochem. Soc. 2017, 164, A6178–A6183. [Google Scholar] [CrossRef]
- Thommes, M. Physisorption of Gases, with Special Reference to the Evaluation of Surface Area and Pore Size Distribution (IUPAC Technical Report). Chem. Int. 2016, 38, 25. [Google Scholar] [CrossRef]
- Li, X.; Wang, Y.; Xu, C.; Pan, L. Mesoporous Carbon/Sulfur Composite with N-Doping and Tunable Pore Size for High-Performance Li-S Batteries. J. Solid State Electrochem. 2017, 21, 1101–1109. [Google Scholar] [CrossRef]
- Costa, L.; Camino, G. Thermal Behaviour of Melamine. J. Therm. Anal. 1988, 34, 423–429. [Google Scholar] [CrossRef]
- Trasobares, S.; Kolczewski, C.; Räty, R.; Borglund, N.; Bassan, A.; Hug, G.; Colliex, C.; Csillag, S.; Pettersson, L.G.M. Monitoring the Decomposition of Melamine in the Solid Phase by Electron Energy Loss Chronospectroscopy. J. Phys. Chem. A 2002, 107, 228–235. [Google Scholar] [CrossRef]
- Juárez, J.M.; Venosta, L.F.; Anunziata, O.A.; Gómez Costa, M.B. H2 Storage Using Zr-CMK-3 Developed by a New Synthesis Method. Int. J. Energy Res. 2022, 46, 2893–2903. [Google Scholar] [CrossRef]
- Sun, Y.; Yu, Y.; Li, D.; Kong, W.; Yang, F. Preparation and Characterization of Carex Meyeriana Kunthcellulose Nanofibers by Electrospinning. Sci. Rep. 2022, 12, 22207. [Google Scholar] [CrossRef]
- Deng, Z.; Zhang, Z.; Lai, Y.; Liu, J.; Liu, Y.; Li, J. A Sulfur–Carbon Composite for Lithium/Sulfur Battery Based on Activated Vapor-Grown Carbon Fiber. Solid State Ion. 2013, 238, 44–49. [Google Scholar] [CrossRef]
- Zhao, Z.; Qin, D.; Wang, S.; Chen, G.H.; Li, Z. Fabrication of High Conductive S/C Cathode by Sulfur Infiltration into Hierarchical Porous Carbon/Carbon Fiber Weave-Structured Materials via Vapor-Melting Method. Electrochim. Acta 2014, 127, 123–131. [Google Scholar] [CrossRef]
- Chen, X.; Guo, R.; Liu, Q.; Yue, W. Improved Lithium Storage Performance of Sulfur Loaded by CMK-3 with a Tailored Hierarchical Pore Structure. J. Solid State Electrochem. 2021, 25, 2503–2511. [Google Scholar] [CrossRef]
- Olchowski, R.; Zięba, E.; Giannakoudakis, D.A.; Anastopoulos, I.; Dobrowolski, R.; Barczak, M. Tailoring Surface Chemistry of Sugar-Derived Ordered Mesoporous Carbons towards Efficient Removal of Diclofenac from Aquatic Environments. Materials 2020, 13, 1625. [Google Scholar] [CrossRef]
- Sheng, C. Char Structure Characterised by Raman Spectroscopy and Its Correlations with Combustion Reactivity. Fuel 2007, 86, 2316–2324. [Google Scholar] [CrossRef]
- Khan, S.; Raj, R.P.; Mohan, T.V.R.; Bhuvaneswari, S.; Varadaraju, U.V.; Selvam, P. Electrochemical Performance of Nano-LiFePO4 Embedded Ordered Mesoporous Nitrogenous Carbon Composite as Cathode Material for Li-Ion Battery Applications. J. Electroanal. Chem. 2019, 848, 113242. [Google Scholar] [CrossRef]
- Sadezky, A.; Muckenhuber, H.; Grothe, H.; Niessner, R.; Pöschl, U. Raman Microspectroscopy of Soot and Related Carbonaceous Materials: Spectral Analysis and Structural Information. Carbon 2005, 43, 1731–1742. [Google Scholar] [CrossRef]
- Claramunt, S.; Varea, A.; López-Díaz, D.; Velázquez, M.M.; Cornet, A.; Cirera, A. The Importance of Interbands on the Interpretation of the Raman Spectrum of Graphene Oxide. J. Phys. Chem. C 2015, 119, 10123–10129. [Google Scholar] [CrossRef]
- Bokobza, L.; Bruneel, J.-L.; Couzi, M. Raman Spectra of Carbon-Based Materials (from Graphite to Carbon Black) and of Some Silicone Composites. C 2015, 1, 77–94. [Google Scholar] [CrossRef]
- Hunter, R.D.; Hayward, E.C.; Smales, G.J.; Pauw, B.R.; Kulak, A.; Guan, S.; Schnepp, Z. The Effect of Nitrogen on the Synthesis of Porous Carbons by Iron-Catalyzed Graphitization. Mater. Adv. 2023, 4, 2070–2077. [Google Scholar] [CrossRef]
- Ugwumadu, C.; Olson, R., III; Smith, N.L.; Nepal, K.; Al-Majali, Y.; Trembly, J.; Drabold, D.A. Computer Simulation of Carbonization and Graphitization of Coal. Nanotechnology 2024, 35, 095703. [Google Scholar] [CrossRef]
- Xia, Y.; Wang, C.; Li, R.; Fukuto, M.; Vogt, B.D. Sulfur Diffusion within Nitrogen-Doped Ordered Mesoporous Carbons Determined by in Situ X-Ray Scattering. Langmuir 2018, 34, 8767–8776. [Google Scholar] [CrossRef]
- Li, B.; Xie, M.; Yi, G.; Zhang, C. Biomass-Derived Activated Carbon/Sulfur Composites as Cathode Electrodes for Li–S Batteries by Reducing the Oxygen Content. RSC Adv. 2020, 10, 2823–2829. [Google Scholar] [CrossRef]
- Li, L.; Zhou, G.; Yin, L.; Koratkar, N.; Li, F.; Cheng, H.-M. Stabilizing Sulfur Cathodes Using Nitrogen-Doped Graphene as a Chemical Immobilizer for LiS Batteries. Carbon 2016, 108, 120–126. [Google Scholar] [CrossRef]
- Yamada, Y.; Tanaka, H.; Kubo, S.; Sato, S. Unveiling Bonding States and Roles of Edges in Nitrogen-Doped Graphene Nanoribbon by X-Ray Photoelectron Spectroscopy. Carbon 2021, 185, 342–367. [Google Scholar] [CrossRef]
- Yin, L.-C.; Liang, J.; Zhou, G.-M.; Li, F.; Saito, R.; Cheng, H.-M. Understanding the Interactions between Lithium Polysulfides and N-Doped Graphene Using Density Functional Theory Calculations. Nano Energy 2016, 25, 203–210. [Google Scholar] [CrossRef]
- Song, J.; Gordin, M.L.; Xu, T.; Chen, S.; Yu, Z.; Sohn, H.; Lu, J.; Ren, Y.; Duan, Y.; Wang, D. Strong Lithium Polysulfide Chemisorption on Electroactive Sites of Nitrogen-Doped Carbon Composites for High-Performance Lithium-Sulfur Battery Cathodes. Angew. Chem. Int. Ed. 2015, 54, 4325–4329. [Google Scholar] [CrossRef]
- Li, H.; Li, J.; Xiang, M.; Zhao, Z.; Guo, J.; Yang, Z.; Bai, W.; Yang, X. A Functional Carbon Decorated Separator for the Confinement and Redox Conversion of Lithium Polysulfides in High Sulfur-Loading Lithium Sulfur Batteries. Electrochim. Acta 2023, 469, 143276. [Google Scholar] [CrossRef]
- Cui, X.; Wang, X.; Pan, Q. Achieving Fast and Stable Li+ Transport in Lithium-Sulfur Battery via a High Ionic Conduction and High Adhesion Solid Polymer Electrolyte. Energy Mater. 2023, 3, 300034. [Google Scholar] [CrossRef]
- He, Y.; Shan, Z.; Tan, T.; Chen, Z.; Zhang, Y. Ternary Sulfur/Polyacrylonitrile/Sio2 Composite Cathodes for High-Performance Sulfur/Lithium Ion Full Batteries. Polymers 2018, 10, 930. [Google Scholar] [CrossRef]
- Anunciado, M.B.; De Boskey, M.; Haines, L.; Lindskog, K.; Dombek, T.; Takahama, S.; Dillner, A.M. Stability Assessment of Organic Sulfur and Organosulfate Compounds in Filter Samples for Quantification by Fourier-Transform Infrared Spectroscopy. Atmos. Meas. Tech. 2023, 16, 3515–3529. [Google Scholar] [CrossRef]
- Yu, C.; Jin, Q.; Zhang, L.; Zhao, K.; Zhang, L.; Han, F.; Yao, J.; Lu, H.; Zhang, X.; Wu, L. Synergistic Adsorption-Electrocatalysis of Carbon Nanotubes/Vanadium Sulfide Modified Separator toward High Performance Li–S Batteries. Electrochim. Acta 2023, 438, 141566. [Google Scholar] [CrossRef]
- Zhang, B.; Qin, X.; Li, G.R.; Gao, X.P. Enhancement of Long Stability of Sulfur Cathode by Encapsulating Sulfur into Micropores of Carbon Spheres. Energy Environ. Sci. 2010, 3, 1531–1537. [Google Scholar] [CrossRef]
- Huang, X.; Wang, Z.; Knibbe, R.; Luo, B.; Ahad, S.A.; Sun, D.; Wang, L. Cyclic Voltammetry in Lithium–Sulfur Batteries—Challenges and Opportunities. Energy Technol. 2019, 7, 1801001. [Google Scholar] [CrossRef]
- Zhu, T.; Wu, Q.; Cao, Y.; Wang, W.; Li, Y.; Meng, S.; Liu, L. Study on the Effect of Carbon Nanotubes Loaded with Cobalt Disulfide Modified Multifunctional Separator on Li-S Battery. Electrochim. Acta 2023, 447, 142145. [Google Scholar] [CrossRef]
- Yan, L.; Gao, X.; Thomas, J.P.; Ngai, J.; Altounian, H.; Leung, K.T.; Meng, Y.; Li, Y. Ionically Cross-Linked PEDOT:PSS as a Multi-Functional Conductive Binder for High-Performance Lithium–Sulfur Batteries. Sustain. Energy Fuels 2018, 2, 1574–1581. [Google Scholar] [CrossRef]
- Zhu, W.; Xu, W.; Liu, D.; He, L.; Liu, X.; Zhao, Z. Ionic Transport Kinetics of Selective Electrochemical Lithium Extraction from Bines. Elec. Acta. 2024, 475, 143519–143527. [Google Scholar] [CrossRef]
- Qiu, Z.; Cao, F.; Pan, G.; Li, C.; Chen, M.; Zhang, Y.; He, X.; Xia, Y.; Xia, X.; Zhang, W. Carbon Materials for Metal-Ion Batteries. ChemPhysMater 2023, 2, 267–281. [Google Scholar] [CrossRef]
- Pan, J.; Sun, Y.; Wu, Y.; Li, J.; Huang, W.; Shi, K.; Lin, Y.; Dong, H.; Liu, Q. Yolk-Double Shells Hierarchical N-Doped Carbon Nanosphere as an Electrochemical Nanoreactor for High Performance Lithium-Sulfur Batteries. Carbon 2022, 198, 80–90. [Google Scholar] [CrossRef]
- Srikhaow, A.; Mensing, J.P.; Lohitkarn, J.; Sriprachuabwong, C.; Poochai, C.; Choominjak, Y.; Wisitsoraat, A.; Lomas, T.; Tuantranont, A. Improved Performance of Lithium-Sulfur Batteries Using Nitrogen-Doped Reduced Graphene Oxide-Coated Separators with Optimized Nitrogen Content. Energy Fuels 2022, 36, 13902–13910. [Google Scholar] [CrossRef]
- Ai, W.; Zhou, W.; Du, Z.; Chen, Y.; Sun, Z.; Wu, C.; Zou, C.; Li, C.; Huang, W.; Yu, T. Nitrogen and Phosphorus Codoped Hierarchically Porous Carbon as an Efficient Sulfur Host for Li-S Batteries. Energy Storage Mater. 2017, 6, 112–118. [Google Scholar] [CrossRef]
- Chen, J.; Yang, Y.; Yu, S.; Zhang, Y.; Hou, J.; Yu, N.; Fang, B. MOF-Derived Nitrogen-Doped Porous Carbon Polyhedrons/Carbon Nanotubes Nanocomposite for High-Performance Lithium–Sulfur Batteries. Nanomaterials 2023, 13, 2416. [Google Scholar] [CrossRef]





| Sample | SBET (m2/g) | VT (cm3/g) | Dp (nm) | AD1/AG |
|---|---|---|---|---|
| MCE | 885 | 1.2 | 4.2 | 3.9 |
| MCM | 1219 | 1.5 | 4.2 | 4.4 |
| MCH | 956 | 1.5 | 3.9 | 4.1 |
| MCE-S | 676 | 1.1 | 4.0 | 4.2 |
| MCM-S | 462 | 0.78 | 4.0 | 4.3 |
| MCH-S | 681 | 1.3 | 3.7 | 5.7 |
| Sample | XPS (wt.%) | Elemental Analysis (wt.%) | ||||||||
|---|---|---|---|---|---|---|---|---|---|---|
| C | N | O | H | C/N | C/O | C | N | O | S | |
| MCE-S | 84 | 1.7 | 3.2 | 1.0 | 49 | 26 | 90 | 0.8 | 6.0 | 3.2 |
| MCM-S | 75 | 3.8 | 7.5 | 1.8 | 20 | 10 | 89 | 1.8 | 5.8 | 3.9 |
| MCH-S | 81 | 1.8 | 2.1 | 0.8 | 45 | 37 | 89 | 0.4 | 7.4 | 3.0 |
| Before Cycling | |||||
|---|---|---|---|---|---|
| Sample | Rs Ω | Rct Ω | Goodness of Fit | Warburg Factor Ω s−1/2 | Diffusivity cm2 s−1 |
| MCE-S | 11.8 | 13.3 | 1.26 × 10−4 | 2.989 | 9.99 × 10−21 |
| MCM-S | 6.90 | 59.1 | 1.12 × 10−3 | 14.94 | 3.90 × 10−23 |
| MCH-S | 8.42 | 56.9 | 9.44 × 10−4 | 0.299 | 1.16 × 10−18 |
| Carbon Host Materials | S (wt.%) | C-Rate | Initial Capacity (mA h g−1) | Capacity Retention (mA h g−1) | Cycle # | Contribution | Refs. |
|---|---|---|---|---|---|---|---|
| N-doped carbon nanosphere from Yolk-double shells | 76.0 | 0.2 C | ~900 | 658 | 100 | Design an electrochemical nanoreactor using a yolk-double shell with highly graphitized outer carbon shell with a gradient of nitrogen content. | [63] |
| Nitrogen doped reduced Graphene oxide | 70.0 | 0.1 C | ~900 | 1308 | 200 | modification of a commercial polypropylene film (Celgard 2400) by impregnation with the carbonaceous material doped with nitrogen | [64] |
| Nitrogen-doped porous carbon | 60.4 | 0.2 C | ~1280 | ~900 | 100 | Design of a new nitrogen-doped porous carbon fiber as a host material for Li–S batteries | [65] |
| MOF-derived nitrogen-doped porous carbon | 64.6 | 0.2 C | 1213 | 1114 | 100 | In-situ growth of small-sized zeolitic imidazolate framework-8 nanoparticles on CNTs | [66] |
| Nitrogen and phosphorus co-doped hierarchically porous carbon | 73.0 | 1 C | 810 | 575 | 200 | Novel strategy to efficiently trap polysulfides by using nitrogen and phosphorus co-doped hierarchically porous carbon | [65] |
| Nitrogen-doped mesoporous carbon type CMK3 | 10 | 0.1 | 904 | 394 | 100 | Evaluation of the effect of the nitrogen precursor on the development of nitrogen functionalities | This work |
Disclaimer/Publisher’s Note: The statements, opinions and data contained in all publications are solely those of the individual author(s) and contributor(s) and not of MDPI and/or the editor(s). MDPI and/or the editor(s) disclaim responsibility for any injury to people or property resulting from any ideas, methods, instructions or products referred to in the content. |
© 2024 by the authors. Licensee MDPI, Basel, Switzerland. This article is an open access article distributed under the terms and conditions of the Creative Commons Attribution (CC BY) license (https://creativecommons.org/licenses/by/4.0/).
Share and Cite
Mejía Salazar, C.; Acevedo, J.; Laverde, J.; López, D. Influence of the Nitrogen Precursor in the Development of N-Functionalities in a Mesoporous Carbon Material and Its Effect on the Li–S Cells’ Electrochemistry. Batteries 2024, 10, 169. https://doi.org/10.3390/batteries10060169
Mejía Salazar C, Acevedo J, Laverde J, López D. Influence of the Nitrogen Precursor in the Development of N-Functionalities in a Mesoporous Carbon Material and Its Effect on the Li–S Cells’ Electrochemistry. Batteries. 2024; 10(6):169. https://doi.org/10.3390/batteries10060169
Chicago/Turabian StyleMejía Salazar, Carolina, Julián Acevedo, Jennifer Laverde, and Diana López. 2024. "Influence of the Nitrogen Precursor in the Development of N-Functionalities in a Mesoporous Carbon Material and Its Effect on the Li–S Cells’ Electrochemistry" Batteries 10, no. 6: 169. https://doi.org/10.3390/batteries10060169
APA StyleMejía Salazar, C., Acevedo, J., Laverde, J., & López, D. (2024). Influence of the Nitrogen Precursor in the Development of N-Functionalities in a Mesoporous Carbon Material and Its Effect on the Li–S Cells’ Electrochemistry. Batteries, 10(6), 169. https://doi.org/10.3390/batteries10060169

