Phosphorus-Containing Polymer Electrolytes for Li Batteries
Abstract
1. Introduction
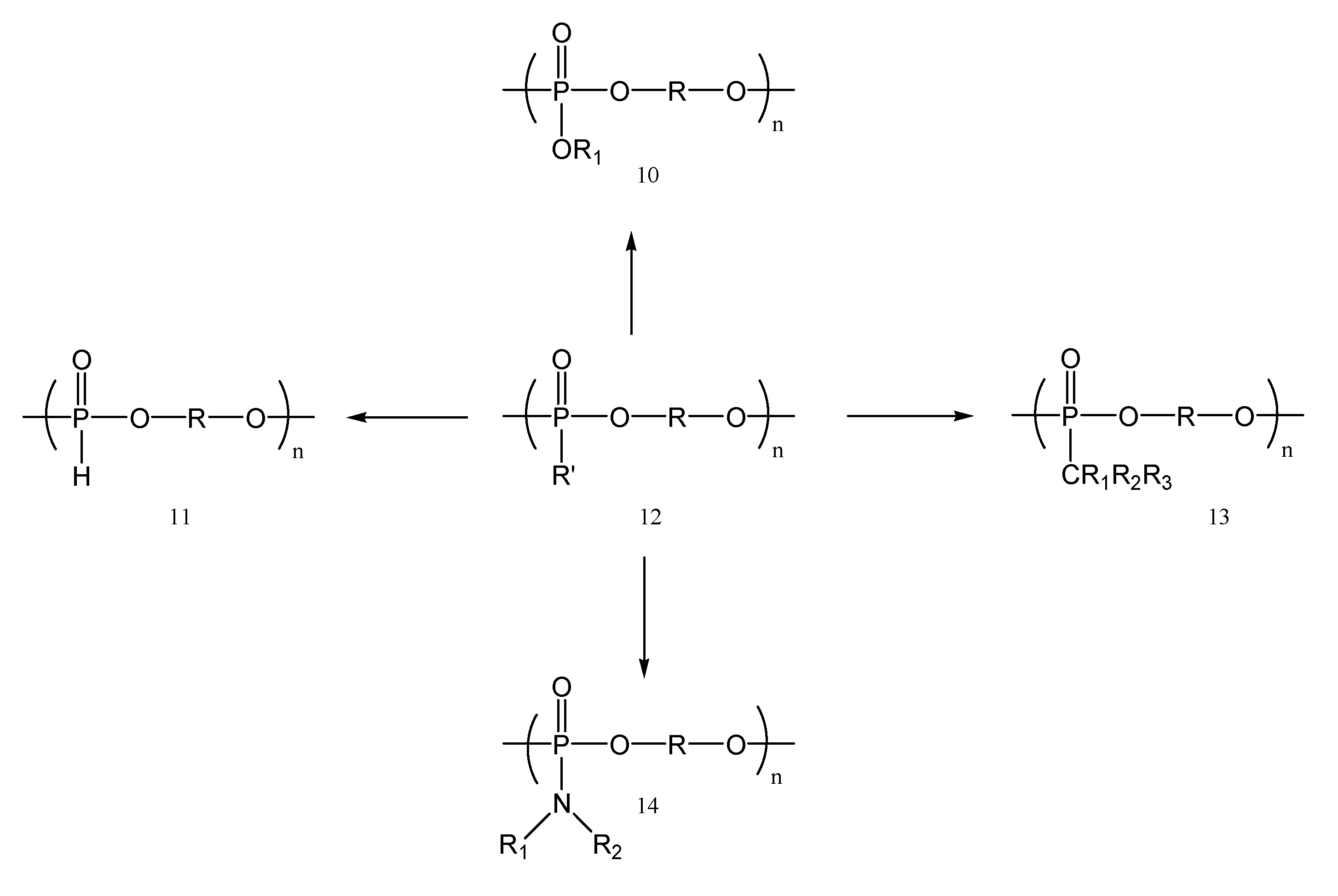
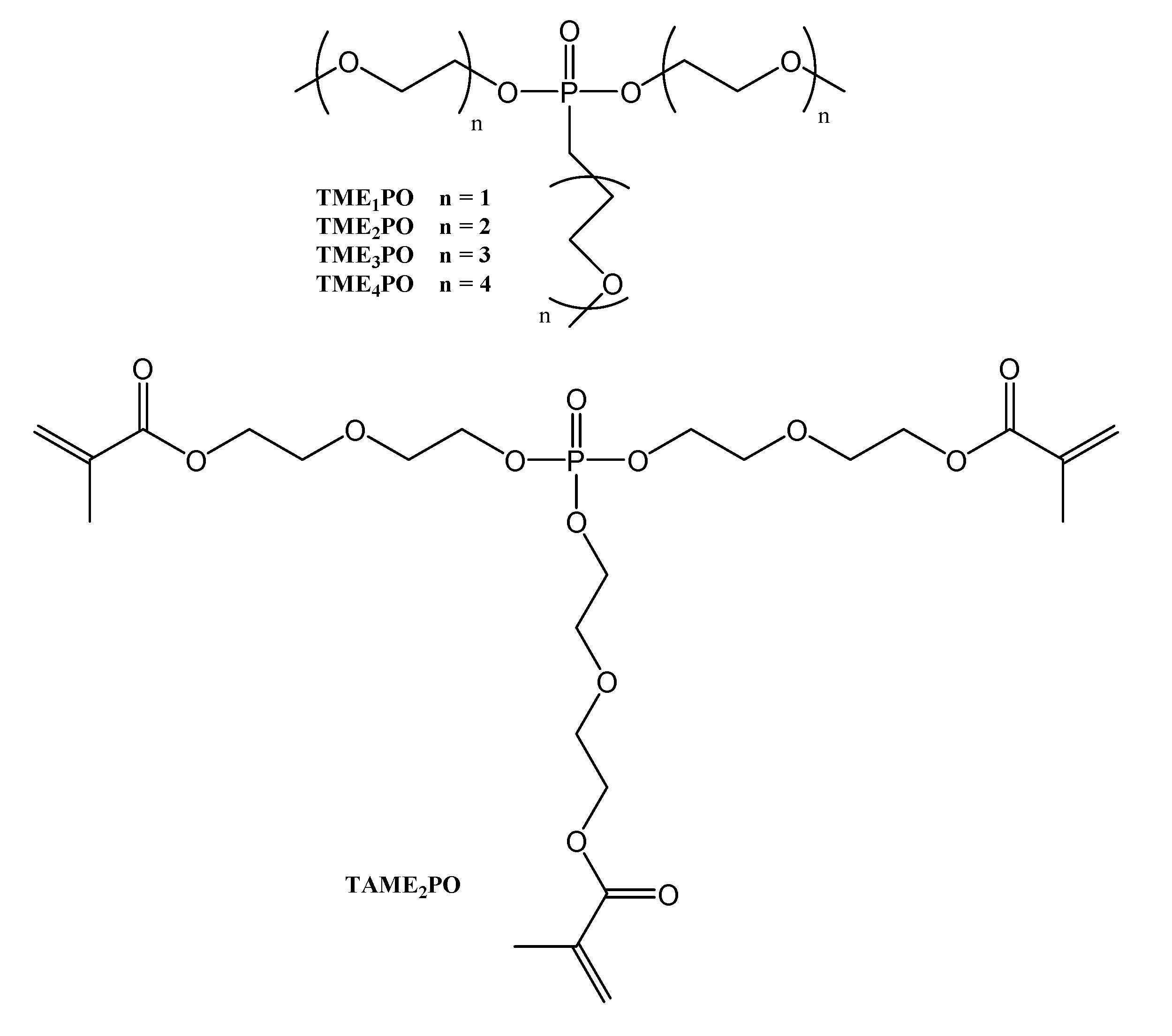
2. Polyphosphonates as Polymer Electrolytes
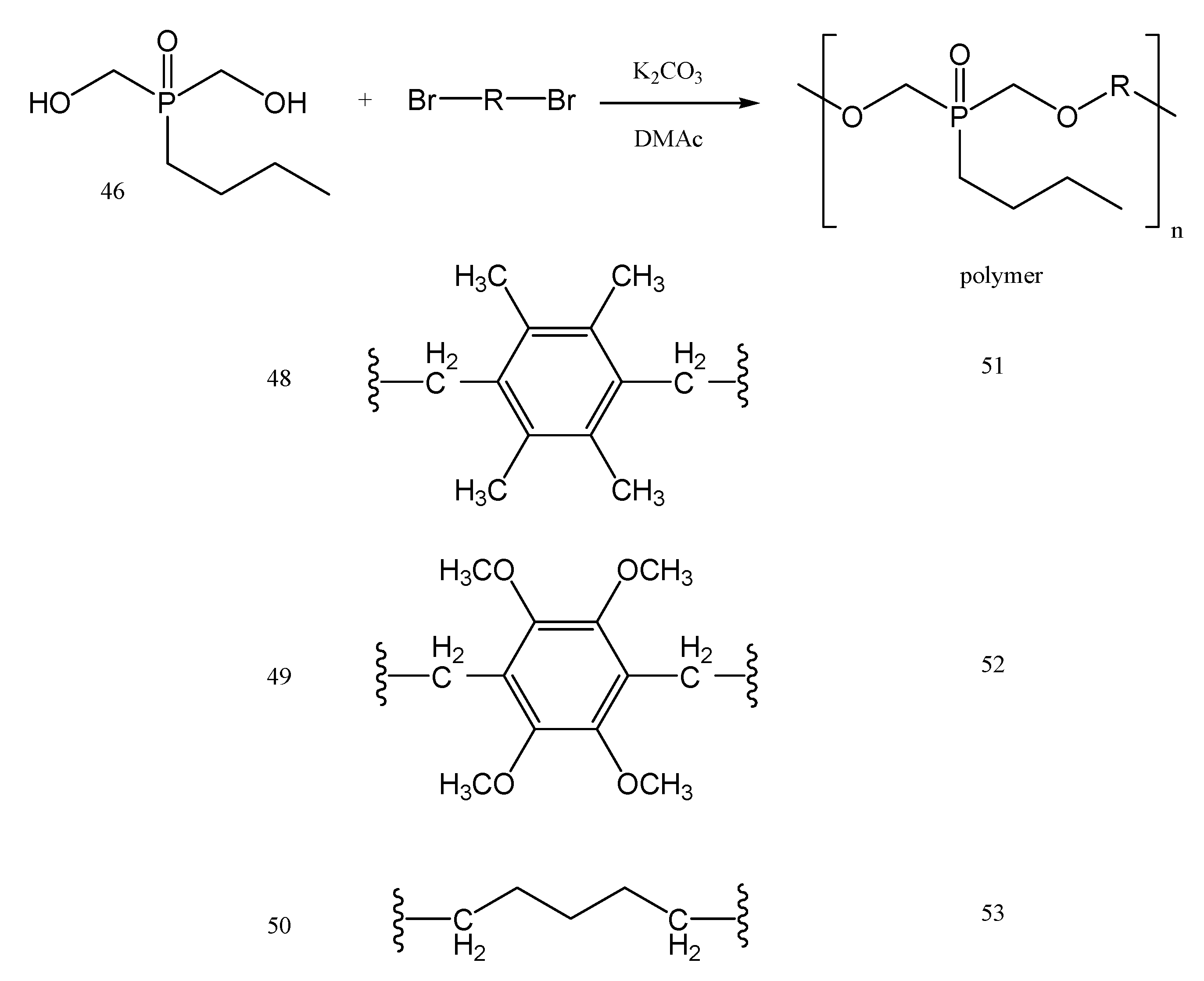
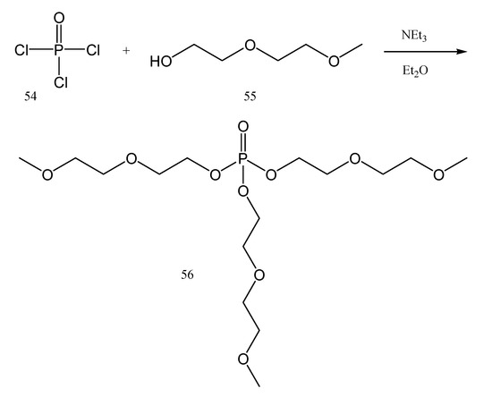
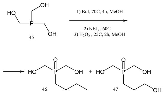
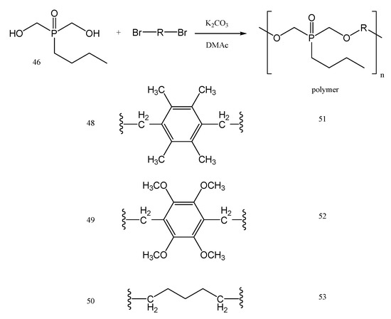
2.1. Solid Polymer Electrolytes
- (1)
- High conductivity of ions.
- (2)
- Considerable transference number of Li+.
- (3)
- Strong mechanical properties.
- (4)
- Broad electrochemical stability window and high thermal and chemical stability.
2.2. Gel Polyphosphonate Electrolytes
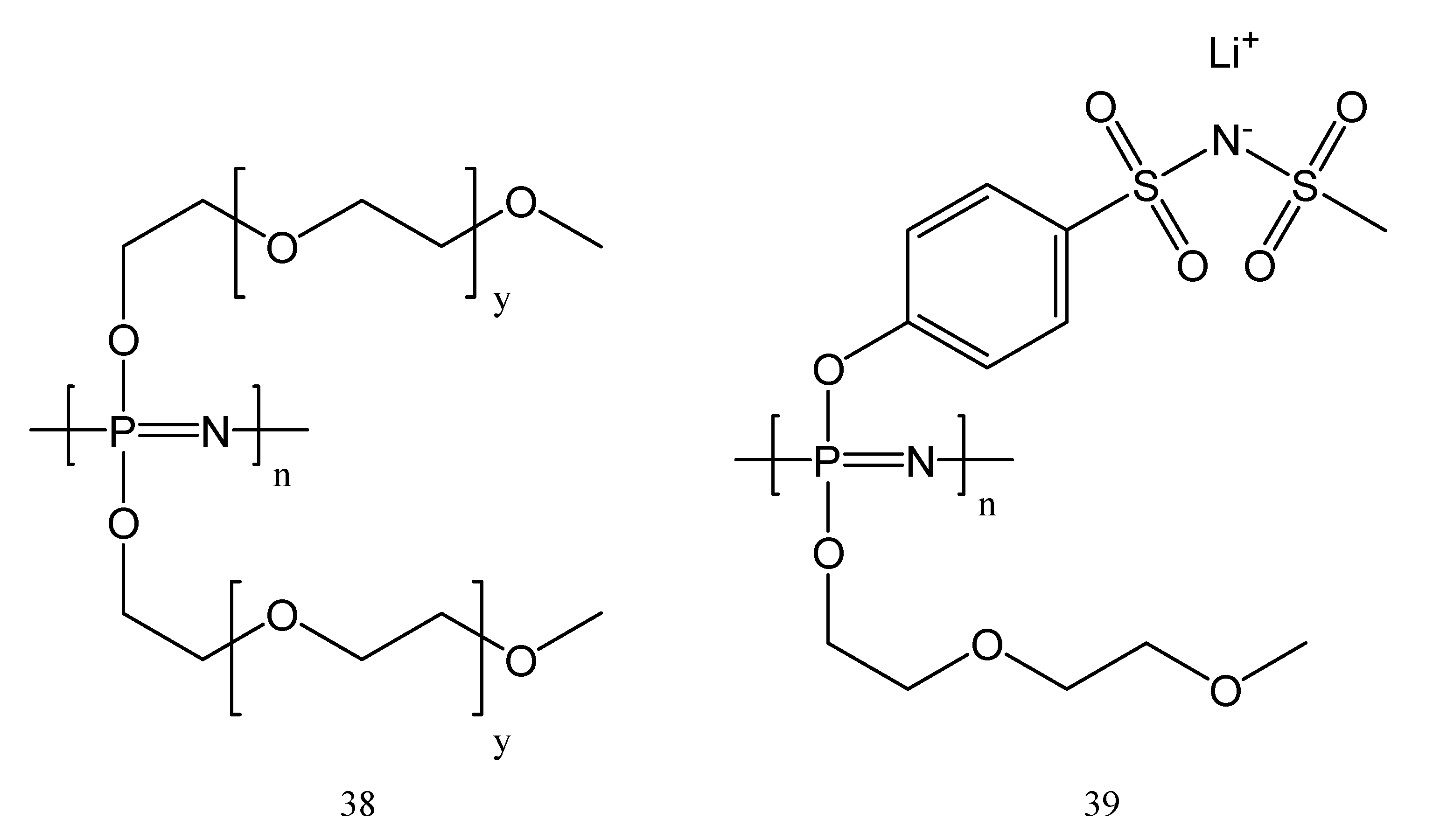
3. Polyphosphazenes Used as Polymer Electrolytes
3.1. Solid Polyphosphazene Electrolytes
- -
- for DOPP (12:1) 2.81 × 10−6 S cm−1
- -
- for THFPP (6:1 at 60 °C) 9.03·10−7 S cm−1
3.2. Gel Polyphosphazene Electrolytes
- (a)
- the two-electrode cell for in situ monitoring of lithium deposition/dissolution by an optical microscope;
- (b)
- a three-electrode cell (Swagelok cell, Figure 20) for electrochemical analysis by cell cycling and EIS (electrochemical impedance spectroscopy) measurements.
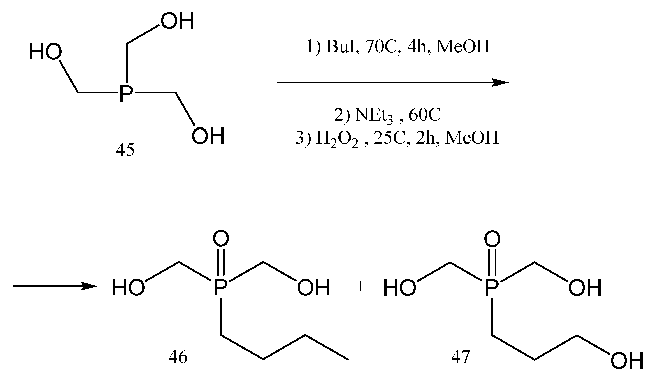
4. Other Phosphorus Containing Polymers Used as Polymer Electrolytes
4.1. Solid Polymer Electrolytes
4.2. Gel Polymer Electrolytes
5. Conclusions
Author Contributions
Funding
Conflicts of Interest
References
- Zhang, S.S.; Xu, K.; Jow, T.R. A Thermal Stabilizer for LiPF6-Based Electrolytes of Li Ion Cells. Electrochem. Sol. State Lett. 2022, 5, A206. [Google Scholar] [CrossRef]
- Manuel, S.A.; Nahm, K.S. Review on composite polymer electrolytes for lithium batteries. Polymer 2006, 47, 5952–5964. [Google Scholar] [CrossRef]
- Meyer, W.H. Polymer electrolytes for lithium-ion batteries. Adv. Mater. 1998, 10, 439–448. [Google Scholar] [CrossRef]
- Fenton, D.E.; Parker, J.M.; Wright, P.V. Complexes of alkali metal ions with poly(ethylene oxide). Polymer 1973, 14, 589. [Google Scholar] [CrossRef]
- Liu, D.F.; Nie, J.; Guan, W.C.; Duan, H.Q.; Zhuo, L.M. Characterizations of a branched ester-type lithium imide in poly(ethylene oxide)-based polymer electrolytes. Solid State Ion. 2004, 167, 131–136. [Google Scholar] [CrossRef]
- Gray, F.M.; Armand, M. Energy Storage Systems for Electronics; Osaka, T., Datta, M., Eds.; Gordon and Breach: Amsterdam, The Netherlands, 2000. [Google Scholar]
- Heitner, K.L. The search for the better polymer electrolyte. J. Power Sources 2000, 89, 128–131. [Google Scholar] [CrossRef]
- Appetecchi, G.B.; Henderson, W.; Villano, P.; Berrettoni, M.; Passerini, S. PEO-LiN (SO2CF2CF3)2 Polymer Electrolytes: I. XRD, DSC, and Ionic Conductivity Characterization. J. Electrochem. Soc. 2001, 148, A1171–A1178. [Google Scholar] [CrossRef]
- Liu, Q.; Peng, B.; Shen, M.; Hu, B.; Chen, Q. Polymer chain diffusion and Li+ hopping of poly(ethylene oxide)/LiAsF6 crystalline polymer electrolytes as studied by solid state NMR and ac impedance. Solid State Ion. 2014, 255, 74–79. [Google Scholar] [CrossRef]
- Homann, G.; Stolz, L.; Nair, J.; Cekic Laskovic, I.; Winter, M.; Kasnatscheew, J. Poly(Ethylene Oxide)-based Electrolyte for Solid-State-Lithium-Batteries with High Voltage Positive Electrodes: Evaluating the Role of Electrolyte Oxidation in Rapid Cell Failure. Sci. Rep. 2020, 10, 4390. [Google Scholar] [CrossRef] [PubMed]
- Shi, C.; Yu, M. Flexible solid-state lithium-sulfur batteries based on structural designs. Energy Storage Mat. 2023, 57, 429–459. [Google Scholar] [CrossRef]
- Shi, C.; Hamann, T.; Takeuchi, S.; Alexander, G.V.; Nolan, A.M.; Limpert, M.; Fu, Z.; O’Neill, J.; Godbey, G.; Dura, J.A.; et al. 3D Asymmetric Bilayer Garnet-Hybridized High-Energy-Density Lithium–Sulfur Batteries. ACS Appl. Mater. Interfaces 2023, 15, 751–760. [Google Scholar] [CrossRef] [PubMed]
- Li, X.; Deng, Y.; Li, K.; Yang, Z.; Hu, X.; Liu, Y.; Zhang, Z. Advancements in Performance Optimization of Electrospun Polyethylene Oxide-Based Solid-State Electrolytes for Lithium-Ion Batteries. Polymers 2023, 15, 3727. [Google Scholar] [CrossRef]
- Petric, M.; Crisan, L.; Crisan, M.; Micle, A.; Maranescu, B.; Ilia, G. Synthesis and QSRR Study for a Series of Phosphoramidic Acid Derivatives. Heteroat. Chem. 2013, 24, 138–145. [Google Scholar] [CrossRef]
- Drehe, M.; Simulescu, V.; Ilia, G. Progress in the development of flame retardants. Rev. Chem. Eng. 2008, 24, 263–302. [Google Scholar]
- Wang, J.; Yamada, Y.; Sodeyama, K.; Watanabe, E.; Takada, K.; Tateyama, Y.; Yamada, A. Fire-extinguishing organic electrolytes for safe batteries. Nat. Energy 2018, 3, 22–29. [Google Scholar] [CrossRef]
- Liu, X.; Zhang, C.; Gao, S.; Cai, S.; Wang, Q.; Liu, J.; Liu, Z. A novel polyphosphonate flame-retardant additive towards safety-reinforced all-solid-state polymer electrolyte. Mat. Chem. Phys. 2020, 239, 122014. [Google Scholar] [CrossRef]
- Kaczorowska, M.A.; Cooper, H.J. Characterization of polyphosphoesters by fourier transform ion cyclotron resonance mass spectrometry. J. Am. Soc. Mass Spectrom. 2009, 20, 2238–2247. [Google Scholar] [CrossRef]
- Jia, H.; Onishi, H.; Wagner, R.; Winter, M.; Cekic-Laskovic, I. Intrinsically Safe Gel Polymer Electrolyte Comprising Flame-Retarding Polymer Matrix for Lithium Ion Battery Application. ACS Appl. Mater. Interfaces 2018, 10, 42348–42355. [Google Scholar] [CrossRef]
- Song, B.; Yang, S.; Hong, Y.; Zhang, G.; Jin, L.; Hu, D. Synthesis and bioactivity of fluorine compounds containing isoxazolylamino and phosphonate groups. J. Fluor. Chem. 2005, 126, 1419–1424. [Google Scholar] [CrossRef]
- Xu, W.; Wang, J.; Ding, F.; Chen, X.; Nasybulin, E.; Zhang, Y.; Zhang, J.-G. Lithium metal anodes for rechargeable batteries. Energy Environ. Sci. 2014, 7, 513–537. [Google Scholar] [CrossRef]
- Li, Z.; Lu, J.; Xingang, L.; Chuhong, Z. A Novel Silicon/Phosphorus Co-Flame Retardant Polymer Electrolyte for High-Safety All-Solid-State Lithium Ion Batteries. Polymers 2020, 12, 2937. [Google Scholar]
- Tosch, R.T.; Popov, I.; Stanford, V.L.; Lucius, A.R.; Foulger, S.H.; Gray, G.M. Polyphosphonates as ionic conducting polymers. J. Polym. Sci. 2021, 59, 139–145. [Google Scholar] [CrossRef]
- Jorge, L.; Olmedo-Martínez, L.M.; Raphael, R.; Gregorio, G.-G.; Luca, P.; Maria, F.; Agurtzane, M.; Itxaso, C.; Alejando, J.M.; Philippe, L.; et al. Flame retardant polyphosphoester copolymers as solid polymer electrolyte for lithium batteries. Polym. Chem. 2021, 12, 3441–3450. [Google Scholar]
- Lu, B.; Mohammad, W.; Guillaume, D.; Bruno, A.; Jean-François, G. Solid Polymer Electrolytes from Copolymers Based on Vinyl Dimethyl Phosphonate and Vinylidene Fluoride. Macromol. Chem. Phys. 2020, 222, 2000389. [Google Scholar] [CrossRef]
- He, X.; Schmohl, S.; Wiemhöfer, H.-D. Comparative study of interfacial behavior for polyphosphazene based polymer electrolytes and LiPF6 in EC/DMC against lithium metal anodes. Polym. Test. 2019, 76, 505–512. [Google Scholar] [CrossRef]
- Han, P.; Zhu, Y.; Liu, J. An all-solid-state lithium ion battery electrolyte membrane fabricated by hot-pressing method. J. Power Sources 2015, 284, 459–465. [Google Scholar] [CrossRef]
- Babu, H.V.; Muralidharan, K. Polyethers with phosphate pendant groups by monomer activated anionic ring opening polymerization: Syntheses, characterization and their lithium-ion conductivities. Polymer 2014, 55, 83–94. [Google Scholar] [CrossRef]
- Benoît, N.; Fernand, G.; Vincent, F.; Jean-François, G. Solid Polymer Electrolytes Based on Phosphonate and Cyclocarbonate Units for Safer Full Solid State Lithium Metal Batteries. Macromol. Chem. Phys. 2022, 223, 2200152. [Google Scholar]
- Dan, H.; Dong, W.K.; Ji, S.P.; Song, Y.C.; Yongku, K. Electrochemical properties of semi-interpenetrating polymer network solid polymer electrolytes based on multi-armed oligo(ethyleneoxy) phosphate. J. Power Sources 2013, 244, 170–176. [Google Scholar]
- Ryo, S.; Hiromori, T. Fire-retardant solid polymer electrolyte films prepared from oxetane derivative with dimethyl phosphate ester group. J. Power Sources 2012, 202, 369–373. [Google Scholar]
- Zheng, J.; Yang, Y.; Feng, X.; Li, X.; Zhen, X.; Chen, W.; Zhao, Y. The polymerization capability of alkenyl phosphates and application as gel copolymer electrolytes for lithium ion batteries with high flame-retardancy. React. Funct. Polym. 2020, 149, 104535. [Google Scholar] [CrossRef]
- Li, M.; Lu, J.; Chen, Z.; Amine, K. 30 years of lithium-ion batteries. Adv. Mater. 2018, 30, 1800561. [Google Scholar] [CrossRef]
- Zubi, G.; Dufo-López, R.; Carvalho, M.; Pasaoglu, G. The lithium-ion battery: State of the art and future perspectives. Renew. Sust. Energy Rev. 2018, 89, 292–308. [Google Scholar] [CrossRef]
- Zhang, X.; Gao, Y.; Huang, F. Analysis on safety problems of dynamic lithium-ion batteries and review on prevention and control technologies. Mod. Chem. Indus. 2019, 39, 7–10. [Google Scholar]
- Abada, S.; Marlair, G.; Lecocq, A.; Petit, M.; Sauvant-Moynot, V.; Huet, F. Safety focused modeling of lithium-ion batteries: A review. J. Power Sources 2016, 306, 178–192. [Google Scholar] [CrossRef]
- Zhang, S.S.; Xu, K.; Jow, T.R. Tris(2,2,2-trifluoroethyl) phosphite as a co-solvent for nonflammable electrolytes in Li-ion batteries. J. Power Sources 2003, 116, 166–179. [Google Scholar] [CrossRef]
- Zeng, G.; An, Y.; Xiong, S.; Feng, J. Nonflammable fluorinated carbonate electrolyte with high salt-to-solvent ratios enables stable silicon-based anode for next-generation lithium-ion batteries. ACS Appl. Mater. Interfaces 2019, 11, 23229–23235. [Google Scholar] [CrossRef]
- Zhu, Y.; Wang, F.; Liu, L.; Xiao, S.; Chang, Z.; Wu, Y. Composite of a nonwoven fabric with poly(vinylidene fluoride) as a gel membrane of high safety for lithium ion battery. Energy Environ. Sci. 2013, 6, 618–624. [Google Scholar] [CrossRef]
- Hess, A.; Barber, G.; Chen, C.; Mallouk, T.E.; Allcock, H.R. Organophosphates as solvents for electrolytes in electrochemical devices. ACS Appl. Mater. Interfaces 2013, 5, 13029–13034. [Google Scholar] [CrossRef] [PubMed]
- Zeng, Z.; Murugesan, V.; Han, K.S.; Jiang, X.; Cao, Y.; Xiao, L.; Ai, X.; Yang, H.; Zhang, J.-G.; Sushko, M.L.; et al. Non-flammable electrolytes with high salt-to-solvent ratios for Li-ion and Li-metal batteries. Nat. Energy 2018, 3, 674–681. [Google Scholar] [CrossRef]
- Cao, X.; Xu, Y.; Zhang, L.; Engelhard, M.H.; Zhong, L.; Pen, X.; Jia, H.; Liu, B.; Niu, C.; Mathews, B.E.; et al. Nonflammable electrolytes for lithium ion batteries enabled by ultraconformal passivation interphases. ACS Energy Lett. 2019, 4, 2529–2534. [Google Scholar] [CrossRef]
- Zhao, H.; Deng, N.; Ju, J.; Li, Z.; Kang, W.; Cheng, B. Novel configuration of heat-resistant gel polymer electrolyte with electrospun poly (vinylidene fluoride-cohexafluoropropylene) and poly-m-phenyleneisophthalamide composite separator for high-safety lithium-ion battery. Mater. Lett. 2019, 236, 101–105. [Google Scholar] [CrossRef]
- Liu, B.; Huang, Y.; Cao, H.; Zhao, L.; Huang, Y.; Song, A.; Lin, Y.; Li, X.; Wang, M. A novel porous gel polymer electrolyte based on poly(acrylonitrile-polyhedral oligomeric silsesquioxane) with high performances for lithium ion batteries. J. Membr. Sci. 2018, 545, 140–149. [Google Scholar] [CrossRef]
- Hu, J.; Wang, W.; Zhou, B.; Feng, Y.; Xie, X.; Xue, Z. Poly(ethylene oxide)-based composite polymer electrolytes embedding with ionic bond modified nanoparticles for all-solid-state lithium-ion battery. J. Membr. Sci. 2019, 575, 200–208. [Google Scholar] [CrossRef]
- Chen, L.; Li, Y.; Li, S.; Fan, L.-Z.; Nan, C.-W.; Goodenough, J.B. PEO/garnet composite electrolytes for solid-state lithium batteries: From “ceramic-in-polymer” to “polymer-in-ceramic”. Nano Energy 2018, 46, 176–184. [Google Scholar] [CrossRef]
- Macarie, L.; Pekař, M.; Simulescu, V.; Plesu, N.; Iliescu, S.; Ilia, G.; Tara-Lunga-Mihali, M. Properties in aqueous solution of homo- and copolymers of vinylphosphonic acid derivatives obtained by UV-curing. Macromol. Res. 2017, 25, 214–221. [Google Scholar] [CrossRef]
- Kim, S.H.; Kim, J.Y.; Kim, H.S.; Cho, H.N. Ionic conductivity of polymer electrolytes based on phosphate and polyether copolymers. Solid State Ion. 1999, 116, 63–71. [Google Scholar] [CrossRef]
- Dixon, B.G.; Morris, R.S.; Dallek, S. Non-flammable polyphosphonate electrolytes. J. Power Sources 2004, 138, 274–276. [Google Scholar] [CrossRef]
- Scott Morris, R.; Dixon, B.G. A novel approach for development of improved polymer electrolytes for lithium batteries. J. Power Sources 2003, 119, 487–491. [Google Scholar] [CrossRef]
- Baskoro, F.; Wong, H.Q.; Yen, H.-J. Strategic structural design of a gel polymer electrolyte toward a high efficiency lithium-ion battery. ACS Appl. Energy Mater. 2019, 2, 3937–3971. [Google Scholar] [CrossRef]
- Choi, J.-A.; Kang, Y.; Shim, H.; Kim, D.; Song, H.-K.; Kim, D.-W. Effect of the crosslinking agent on cycling performances of lithium-ion polymer cells assembled by in situ chemical cross-linking with tris(2-(acryloyloxy)ethyl) phosphate. J. Power Sources 2009, 189, 809–813. [Google Scholar] [CrossRef]
- Zheng, J.; Zhao, Y.; Feng, X.; Chen, W.; Zhao, Y. Novel safer phosphonate-based gel polymer electrolytes for sodium-ion batteries with excellent cycling performance. J. Mater. Chem. A 2018, 6, 6559–6564. [Google Scholar] [CrossRef]
- Zheng, J.; Liu, X.; Duan, Y.; Chen, L.; Zhang, X.; Feng, X.; Chen, W.; Zhao, Y. Stable cross-linked gel terpolymer electrolyte containing methyl phosphonate for sodium ion batteries. J. Membr. Sci. 2019, 583, 163–170. [Google Scholar] [CrossRef]
- Maranescu, B.; Visa, A.; Mracec, M.; Ilia, G.; Maranescu, V.; Simon, Z.; Mracec, M. Lamellar Co2+ vinylphosphonate metal organic framework. PM3 semi-empirical analysis of structural properties. Rev. Roum. Chim. 2011, 56, 473–482. [Google Scholar]
- Zheng, J.; Li, X.; Yu, Y.; Zhen, X.; Song, Y.; Feng, X.; Zhao, Y. Cross-linking copolymers of acrylates gel electrolytes with high conductivity for lithium-ion batteries. J. Solid State Electrochem. 2014, 18, 2013–2018. [Google Scholar] [CrossRef]
- Allcock, H.R.; Steely, L.; Singh, A.; Hindenlang, M.D. Hydrophobic and Superhydrophobic Polyphosphazene. J. Adhesion Sci. Technol. 2009, 23, 435–445. [Google Scholar] [CrossRef]
- Blonsky, P.M.; Shriver, D.F.; Austin, P.; Allcock, H.R. Polyphosphazene solid electrolytes. J. Am. Chem. Soc. 1984, 106, 6854–6855. [Google Scholar] [CrossRef]
- Blonsky, P.M.; Shriver, D.F.; Austin, P.; Allcock, H.R. Complex formation and ionic conductivity of polyphosphazene solid electrolytes. Solid State Ion. 1986, 18–19, 258–264. [Google Scholar] [CrossRef]
- Kurachi, Y.; Okuyama, T.; Oohasi, T. Synthesis and properties of urethane foams having a N3P3 ring compound. J. Mater. Sci. 1989, 24, 2671–2764. [Google Scholar] [CrossRef]
- Nelson, C.J.; Coggio, W.D.; Allcock, H.R. Ultraviolet radiation-induced crosslinking of poly[bis(2-(2-methoxyethoxy)ethoxy)phosphazene]. Chem. Mat. 1991, 3, 786–787. [Google Scholar] [CrossRef]
- Bennett, J.L.; Dembek, A.A.; Allcock, H.R.; Heyen, B.J.; Shriver, D.F. Radiation Crosslinking of Poly[bis(2-(2-methoxyethoxy)ethoxy)]phosphazene: Effect on Solid State Ionic Conductivity. Chem. Mat. 1989, 1, 14–16. [Google Scholar] [CrossRef]
- Allcock, H.R.; Chang, Y.; Welna, D.T. Ionic conductivity of covalently interconnected polyphosphazene–silicate hybrid networks. Solid State Ion. 2006, 177, 569–572. [Google Scholar] [CrossRef]
- Mutin, P.H.; Guerrero, G.; Alauzun, J.G. Sol–gel processing of phosphonate-based organic–inorganic hybrid materials. J. Ceram. Soc. Jpn. 2015, 123, 709–713. [Google Scholar] [CrossRef]
- Ilia, G.; Simulescu, V.; Mak, C.A.; Crasmareanu, E. The use of transesterification method for obtaining phosphorus-containing polymers. Adv. Polymer Technol. 2014, 33, 21437. [Google Scholar] [CrossRef]
- Sanchez, C.; Lebeau, B.; Ribot, F.; In, M. Molecular Design of Sol-Gel Derived Hybrid Organic-Inorganic Nanocomposites. J. Sol-Gel Sci. Technol. 2000, 19, 31–38. [Google Scholar] [CrossRef]
- Mehring, M.; Lafond, V.; Mutin, P.H.; Vioux, A. New Sol-Gel Routes to Organic-Inorganic Hybrid Materials: Modification of Metal Alkoxide by Phosphonic or Phosphinic Acids. J. Sol-Gel Sci. Technol. 2003, 26, 99–102. [Google Scholar] [CrossRef]
- Gheonea, R.; Crasmareanu, E.; Plesu, N.; Sauca, S.; Simulescu, V.; Ilia, G. New hybrid materials synthesized with different dyes by sol-gel method. Adv. Mater. Sci. Eng. 2017, 2017, 4537039. [Google Scholar] [CrossRef]
- Guerrero, G.; Mutin, P.H.; Vioux, A. Mixed Nonhydrolytic/Hydrolytic Sol−Gel Routes to Novel Metal Oxide/Phosphonate Hybrids. Chem. Mater. 2000, 12, 1268–1272. [Google Scholar] [CrossRef]
- Hiller, M.M.; Joost, M.; Gores, H.J.; Passerini, S.; Wiemhöfer, H.D. The influence of interface polarization on the determination of lithium transference numbers of salt in polyethylene oxide electrolytes. Electrochim. Acta 2013, 114, 21–29. [Google Scholar] [CrossRef]
- David Kim, Y.L. Ion Conduction Mechanisms in Polymer Electrolytes for Lithium Batteries and Fuel Cells, and Crystal Engineering of Cyclophosphazenes. In Dissertation in Chemistry; The Pennsylvania State University: State College, PA, USA, 2010. [Google Scholar]
- Jankowsky, S.; Hiller, M.M.; Wiemhöfer, H.-D. Preparation and electrochemical performance of polyphosphazene based salt-in-polymer electrolyte membranes for lithium ion batteries. J. Power Sources 2014, 253, 256–262. [Google Scholar] [CrossRef]
- Jankowsky, S.; Hiller, M.M.; Fromm, O.; Winter, M.; Wiemhöfer, H.D. Enhanced Lithium-Ion Transport in Polyphosphazene based Gel Polymer Electrolytes. Electrochim. Acta 2015, 155, 364–371. [Google Scholar] [CrossRef]
- Jankowsky, S.; Hiller, M.M.; Stolina, R.; Wiemhöfer, H.D. Performance of polyphosphazene based gel polymer electrolytes in combination with lithium metal anodes. J. Power Sources 2015, 273, 574–579. [Google Scholar] [CrossRef]
- Fiedler, C.; Luerssen, B.; Luchtb, B.; Janek, J. Synthesis and characterization of polyphosphazene electrolytes including cyclic ether side groups. J. Power Sources 2018, 384, 165–171. [Google Scholar] [CrossRef]
- Tsao, C.-H.; Ueda, M.; Kuo, P.-L. Synthesis and Characterization of Polymer Electrolytes Based on Cross-linked Phenoxy-Containing Polyphosphazenes. J. Pol. Sci. Part A Polym. Chem. 2016, 54, 352–358. [Google Scholar] [CrossRef]
- Schmohl, S.; He, X.; Wiemhöfer, H.-D. Boron Trifluoride Anionic Side Groups in Polyphosphazene Based Polymer Electrolyte with Enhanced Interfacial Stability in Lithium Batteries. Polymers 2018, 10, 1350. [Google Scholar] [CrossRef]
- Hu, Y.; Fan, W.; Wang, Q.; Kawamora, T.; Koseki, N.; Akutsu, Y.; Tamura, M. Study on gas phase long-lived radicals in combustion of polyurethane modified by phosphazene. Prog. Nat. Sci. 1999, 9, 103–108. [Google Scholar]
- Feng, S.W.; Shi, D.Y.; Liu, F.; Zheng, L.P.; Nie, J.; Feng, W.F.; Huang, X.J.; Armand, M.; Zhou, Z.B. Single lithium-ion conducting polymer electrolytes based on poly (4-styrenesulfonyl)(trifluoromethanesulfonyl)imide anions. Electrochim. Acta 2013, 93, 254–263. [Google Scholar] [CrossRef]
- Xia, Y.; Wang, X.; Xia, X.; Xu, R.; Zhang, S.; Wu, J.; Liang, Y.; Gu, C.; Tu, J. A newly designed composite gel polymer electrolyte based on poly (vinylidene fluoride-hexafluoropropylene)(pvdf-hfp) for enhanced solid-state lithium-sulfur batteries. Chem. A Euro. J. 2017, 23, 15203–15209. [Google Scholar] [CrossRef]
- Allcock, H.R.; Welna, D.T.; Maher, A.E. Single ion conductors–polyphosphazenes with sulfonimide functional groups. Solid State Ion. 2006, 177, 741–747. [Google Scholar] [CrossRef]
- Wang, B. Development of a One-Pot in Situ Synthesis of Poly(dichlorophosphazene) from PCl. Macromolecules 2005, 38, 643–645. [Google Scholar] [CrossRef]
- Wang, B.; Rivard, E.; Manners, I. A New High-Yield Synthesis of Cl3P=NSiMe3, a Monomeric Precursor for the Controlled Preparation of High Molecular Weight Polyphosphazenes. Inorg. Chem. 2002, 41, 1690–1691. [Google Scholar] [CrossRef]
- Babu, H.V.; Srinivas, B.; Praveen, K.; Naik, K.; Muralidharan, K. Polymerization behaviour of butyl bis(hydroxymethyl)phosphine oxide: Phosphorus containing polyethers for Li-ion conductivity. J. Chem. Sci. 2015, 127, 635–641. [Google Scholar] [CrossRef]
- Chen, X.-T.; Sun, H.; Tang, X.-D.; Wang, C.-Y. Synthesis and properties of novel phosphorus-containing poly(ether ether ketone ketone)s. J. Appl. Polym. Sci. 2008, 110, 1304. [Google Scholar] [CrossRef]
- Morford, R.V.; Kellam III, E.C.; Hofmann, M.A.; Baldwin, R.; Allcock, H.R. A fire-resistant organophosphorus gel polymer electrolyte additive for use in rechargeable lithium batteries. Solid State Ion. 2000, 133, 171–177. [Google Scholar] [CrossRef]
- Wang, X.; Zhu, H.; Girard, G.M.; Yunis, R.; MacFarlane, D.R.; Mecerreyes, D.; Bhattacharyya, A.J.; Howlett, P.C.; Forsyth, M. Preparation and characterization of gel polymer electrolytes using poly (ionic liquids) and high lithium salt concentration ionic liquids. J. Mater. Chem. 2017, A5, 23844–23852. [Google Scholar] [CrossRef]
- Zuo, X.; Ma, X.; Wu, J.; Deng, X.; Xiao, X.; Liu, J.; Nan, J. Self-supporting ethyl cellulose/poly (vinylidene fluoride) blended gel polymer electrolyte for 5 v high-voltage lithium-ion batteries. Electrochim. Acta 2018, 271, 582–590. [Google Scholar] [CrossRef]
- Shi, J.; Yang, Y.; Shao, H. Co-polymerization and blending based peo/pmma/p (vdf-hfp) gel polymer electrolyte for rechargeable lithium metal batteries. J. Membr. Sci. 2018, 547, 1–10. [Google Scholar] [CrossRef]
- Lv, P.; Xie, S.; Sun, Q.; Chen, X.; He, Y. Flame-Retardant Solid Polymer Electrolyte Based on Phosphorus-Containing Polyurethane Acrylate/Succinonitrile for Lithium-Ion Batteries. ACS Appl. Energy Mater. 2022, 5, 7199–7209. [Google Scholar] [CrossRef]
- Horrocks, A.R.; Pric, D. Fire Retardant Materials; Woodhead Publishing Limited: Sawston, UK, 2001; p. 128. [Google Scholar]
- Liu, W.; Zhi, H.; Yu, X. Recent progress in phosphorus based anode materials for lithium/sodium ion batteries. Energy Storage Mat. 2019, 16, 290–332. [Google Scholar] [CrossRef]
- Baboukani, A.R.; Khakpour, I.; Adelowo, E.; Drozd, V.; Shang, W.; Wang, C. High-performance red phosphorus-sulfurized polyacrylonitrile composite by electrostatic spray deposition for lithium-ion batteries. Electrochim. Acta 2020, 345, 136227. [Google Scholar] [CrossRef]
- Allcock, H.R. Chemistry and Applications of Polyphosphazenes; Wiley-Interscience: New Jersey, NJ, USA, 2003. [Google Scholar]
- Winter, R.; Brodd, J. What Are Batteries, Fuel Cells, and Supercapacitors? Chem. Rev. 2004, 104, 4245–4270. [Google Scholar] [CrossRef] [PubMed]
- Bieker, G.; Winter, M.; Bieker, P. Electrochemical in situ investigations of SEI and dendrite formation on the lithium metal anode. Phys. Chem. Chem. Phys. 2015, 17, 8670–8679. [Google Scholar] [CrossRef] [PubMed]
























| Monomers | Mn g/mol | Mw g/mol | PDI | 
|---|---|---|---|
| DEAP | 5000 | 5350 | 1.07 | 
| ADEP | 1350 | 2050 | 1.51 | 
| AEDEP | 33,500 | 35,050 | 1.05 | 
| DEAP/MMA | 88,800 | 99,450 | 1.12 | 
| ADEP/MMA | 12,450 | 29,450 | 2.36 | 
| AEDEP/styrene | 71,750 | 78,450 | 1.09 | 
| Co-Monomer | Polymer | Td °C | Tg °C | Mn g/mol | Mw g/mol | PDI | 
|---|---|---|---|---|---|---|
| 48 | 51 | 308.2 | 65.1 | 9414 | 15,156 | 1.61 | 
| 49 | 52 | 279.9 | 43.4 | 8420 | 14,230 | 1.69 | 
| 50 | 53 | 240.7 | −40.5 | 10,077 | 16,425 | 1.63 | 
| SPE % LiTFSI | σ [S cm−1] at 30 °C | σ [S cm−1] at 80 °C | Td °C | Tg °C | 
|---|---|---|---|---|
| SPE1 (10%) | 5.1 × 10−7 | 5.6 × 10−6 | 324.1 | 78.9 | 
| SPE1 (20%) | 6.5 × 10−7 | 8.3 × 10−6 | 332.5 | 86.7 | 
| SPE1 (30%) | 9.5 × 10−7 | 4.4 × 10−5 | 341.6 | 102.4 | 
| SPE1 (40%) | 2.6 × 10−6 | 7.3 × 10−5 | 355.8 | 116.2 | 
| SPE2 (10%) | 3.2 × 10−6 | 2.3 × 10−5 | 290.2 | 52.4 | 
| SPE2 (20%) | 6.5 × 10−6 | 8.8 × 10−5 | 298.1 | 65.3 | 
| SPE2 (30%) | 1.2 × 10−5 | 1.4 × 10−4 | 310.5 | 70.6 | 
| SPE2 (40%) | 2.1 × 10−5 | 3.7 × 10−4 | 321.7 | 78.1 | 
| Disclaimer/Publisher’s Note: The statements, opinions and data contained in all publications are solely those of the individual author(s) and contributor(s) and not of MDPI and/or the editor(s). MDPI and/or the editor(s) disclaim responsibility for any injury to people or property resulting from any ideas, methods, instructions or products referred to in the content. | 
© 2024 by the authors. Licensee MDPI, Basel, Switzerland. This article is an open access article distributed under the terms and conditions of the Creative Commons Attribution (CC BY) license (https://creativecommons.org/licenses/by/4.0/).
Share and Cite
Varan, N.; Merghes, P.; Plesu, N.; Macarie, L.; Ilia, G.; Simulescu, V. Phosphorus-Containing Polymer Electrolytes for Li Batteries. Batteries 2024, 10, 56. https://doi.org/10.3390/batteries10020056
Varan N, Merghes P, Plesu N, Macarie L, Ilia G, Simulescu V. Phosphorus-Containing Polymer Electrolytes for Li Batteries. Batteries. 2024; 10(2):56. https://doi.org/10.3390/batteries10020056
Chicago/Turabian StyleVaran, Narcis, Petru Merghes, Nicoleta Plesu, Lavinia Macarie, Gheorghe Ilia, and Vasile Simulescu. 2024. "Phosphorus-Containing Polymer Electrolytes for Li Batteries" Batteries 10, no. 2: 56. https://doi.org/10.3390/batteries10020056
APA StyleVaran, N., Merghes, P., Plesu, N., Macarie, L., Ilia, G., & Simulescu, V. (2024). Phosphorus-Containing Polymer Electrolytes for Li Batteries. Batteries, 10(2), 56. https://doi.org/10.3390/batteries10020056
 
        



 
       