Coupled Electro-Thermal-Aging Battery Pack Modeling—Part 1: Cell Level
Abstract
1. Introduction
2. Model Description
2.1. Electrical Model
2.2. Thermal Model
2.3. Aging Model
3. Experimental Method
3.1. Electro-Thermal Model Tests
3.2. Aging Model Tests
- 1
- Initialization: The test cells are placed in environmental chambers for two hours to establish the target temperature.
- 2
- Charge: The cells undergo charging through a constant current (CC) step, reaching a cut-off voltage of (dependent on DOD). This is followed by a constant voltage (CV) step at (dependent on DOD) until the charge current drops below 50 .
- 3
- Pause: A 10 min rest period between the charge and discharge phases.
- 4
- Discharge: The cells undergo discharge at a constant current until the cut-off voltage is reached.
- 5
- Pause: A 10 min rest period precedes the initialization of the subsequent cycle.
- 6
- Steps 2 to 5 are repeated over a span of 3–4 weeks.
- 7
- Reference tests: All aging tests are intermittently interrupted every 3–4 weeks to perform a reference performance test (RPT) and resistance measurement.
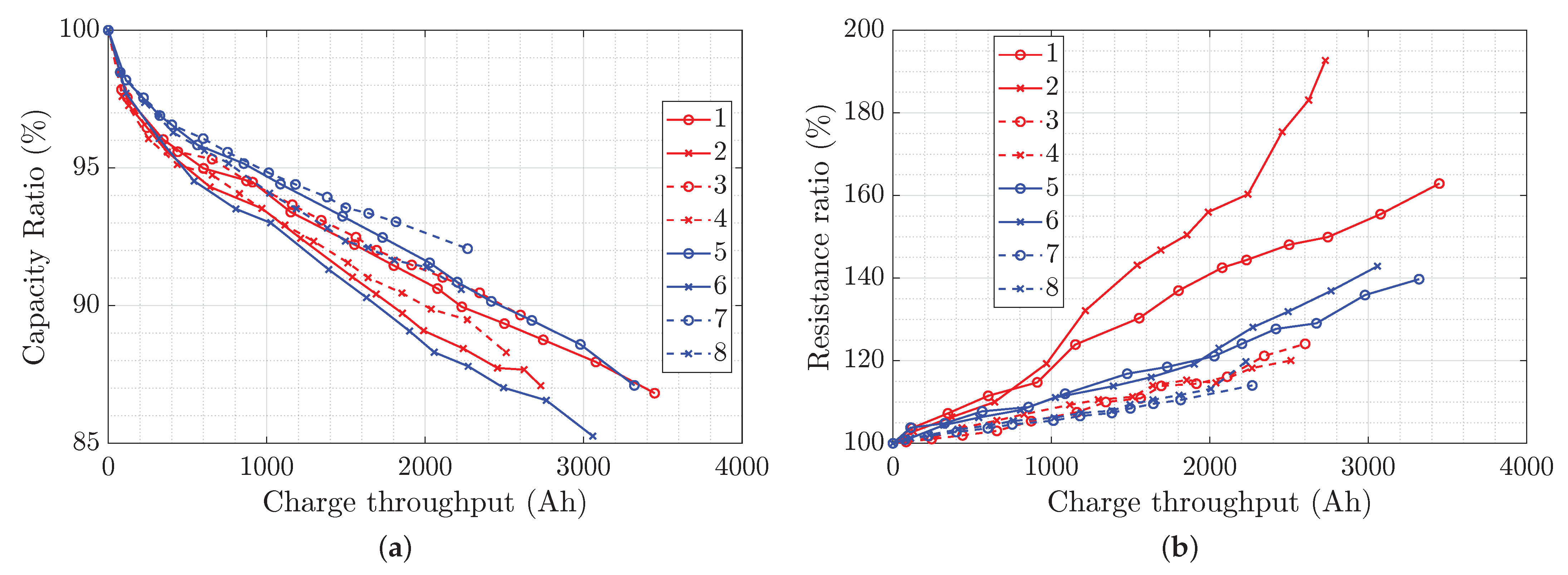
4. Results and Discussion
4.1. Equivalent Circuit Model Parameters
4.2. Aging Model Parameters
4.3. Coupled Electro-Thermal Aging Model
5. Conclusions
Author Contributions
Funding
Data Availability Statement
Acknowledgments
Conflicts of Interest
Abbreviations
| CCCV | Constant current, constant voltage |
| DOD | Depth of discharge |
| ECM | Equivalent circuit model |
| ETA | Electro-thermal aging |
| HPPC | Hybrid power pulse characterization |
| IRG | Internal resistance growth |
| LAM | Loss of active material |
| Li-ion | Lithium-ion |
| LLI | Loss of lithium inventory |
| OCV | Open circuit voltage |
| RPT | Reference performance test |
| SOC | State of charge |
| SOH | State of health |
References
- Zheng, Y.; Che, Y.; Hu, X.; Sui, X.; Stroe, D.I.; Teodorescu, R. Thermal state monitoring of lithium-ion batteries: Progress, challenges, and opportunities. Prog. Energy Combust. Sci. 2024, 100, 101120. [Google Scholar] [CrossRef]
- Lucaferri, V.; Quercio, M.; Laudani, A.; Fulginei, F.R. A Review on Battery Model-Based and Data-Driven Methods for Battery Management Systems. Energies 2023, 16, 7807. [Google Scholar] [CrossRef]
- Hosen, M.S.; Jaguemont, J.; van Mierlo, J.; Berecibar, M. Battery lifetime prediction and performance assessment of different modeling approaches. iScience 2021, 24, 102060. [Google Scholar] [CrossRef] [PubMed]
- Jafari, M.; Khan, K.; Gauchia, L. Deterministic models of Li-ion battery aging: It is a matter of scale. J. Energy Storage 2018, 20, 67–77. [Google Scholar] [CrossRef]
- Barcellona, S.; Colnago, S.; Dotelli, G.; Latorrata, S.; Piegari, L. Aging effect on the variation of Li-ion battery resistance as function of temperature and state of charge. J. Energy Storage 2022, 50, 104658. [Google Scholar] [CrossRef]
- Krupp, A.; Beckmann, R.; Diekmann, T.; Ferg, E.; Schuldt, F.; Agert, C. Calendar aging model for lithium-ion batteries considering the influence of cell characterization. J. Energy Storage 2022, 45, 103506. [Google Scholar] [CrossRef]
- Atalay, S.; Sheikh, M.; Mariani, A.; Merla, Y.; Bower, E.; Widanage, W.D. Theory of battery ageing in a lithium-ion battery: Capacity fade, nonlinear ageing and lifetime prediction. J. Power Sources 2020, 478, 229026. [Google Scholar] [CrossRef]
- Wikner, E. Lithium ion Battery Aging: Battery Lifetime Testing and Physics-Based Modeling for Electric Vehicle Applications. Master’s Thesis, Chalmers University of Technology, Göteborg, Sweden, 2017. [Google Scholar]
- Attia, P.M.; Bills, A.; Planella, F.B.; Dechent, P.; dos Reis, G.; Dubarry, M.; Gasper, P.; Gilchrist, R.; Greenbank, S.; Howey, D.; et al. Review—“Knees” in Lithium-Ion Battery Aging Trajectories. J. Electrochem. Soc. 2022, 169, 060517. [Google Scholar] [CrossRef]
- Vermeer, W.; Chandra-Mouli, G.R.; Bauer, P. A Comprehensive Review on the Characteristics and Modeling of Lithium-Ion Battery Aging. IEEE Trans. Transp. Electrif. 2022, 8, 2205–2232. [Google Scholar] [CrossRef]
- Barré, A.; Deguilhem, B.; Grolleau, S.; Gérard, M.; Suard, F.; Riu, D. A review on lithium-ion battery ageing mechanisms and estimations for automotive applications. J. Power Sources 2013, 241, 680–689. [Google Scholar] [CrossRef]
- Roy, P.; Shahjalal, M.; Shams, T.; Fly, A.; Stoyanov, S.; Ahsan, M.; Haider, J. A Critical Review on Battery Aging and State Estimation Technologies of Lithium-Ion Batteries: Prospects and Issues. Electronics 2023, 12, 4105. [Google Scholar] [CrossRef]
- Ali, M.; Da Silva, C.; Amon, C. Multiscale Modelling Methodologies of Lithium-Ion Battery Aging: A Review of Most Recent Developments. Batteries 2023, 9, 434. [Google Scholar] [CrossRef]
- Guo, J.; Li, Y.; Pedersen, K.; Stroe, D.-I. Lithium-Ion Battery Operation, Degradation, and Aging Mechanism in Electric Vehicles: An Overview. Energies 2021, 14, 5220. [Google Scholar] [CrossRef]
- Xiao, Y.; Wen, J.; Yao, L.; Zheng, J.; Fang, Z.; Shen, Y. A comprehensive review of the lithium-ion battery state of health prognosis methods combining aging mechanism analysis. J. Energy Storage 2023, 65, 107347. [Google Scholar] [CrossRef]
- Collath, N.; Tepe, B.; Englberger, S.; Jossen, A.; Hesse, H. Aging aware operation of lithium-ion battery energy storage systems: A review. J. Energy Storage 2022, 55 Pt C, 105634. [Google Scholar] [CrossRef]
- Kucinskis, G.; Bozorgchenani, M.; Feinauer, M.; Kasper, M.; Wohlfahrt-Mehrens, M.; Waldmann, T. Arrhenius plots for Li-ion battery ageing as a function of temperature, C-rate, and ageing state—An experimental study. J. Power Sources 2022, 549, 232129. [Google Scholar] [CrossRef]
- Karger, A.; Wildfeuer, L.; Aygül, D.; Maheshwari, A.; Singer, J.P.; Jossen, A. Modeling capacity fade of lithium-ion batteries during dynamic cycling considering path dependence. J. Energy Storage 2022, 52 Pt A, 104718. [Google Scholar] [CrossRef]
- Schmalstieg, J.; Käbitz, S.; Ecker, M.; Sauer, D.U. A holistic aging model for Li(NiMnCo)O2 based 18650 lithium-ion batteries. J. Power Sources 2014, 257, 325–334. [Google Scholar] [CrossRef]
- Gasper, P.; Gering, K.; Dufek, E.; Smith, K. Challenging Practices of Algebraic Battery Life Models through Statistical Validation and Model Identification via Machine-Learning. J. Electrochem. Soc. 2021, 168, 020502. [Google Scholar] [CrossRef]
- Wang, J.; Liu, P.; Hicks-Garner, J.; Sherman, E.; Soukiazian, S.; Verbrugge, M.; Tataria, H.; Musser, J.; Finamore, P. Cycle-life model for graphite-LiFePO4 cells. J. Power Sources 2011, 196, 3942–3948. [Google Scholar] [CrossRef]
- Nájera, J.; Arribas, J.R.; de Castro, R.M.; Núñez, C.S. Semi-empirical ageing model for LFP and NMC Li-ion battery chemistries. J. Energy Storage 2023, 72 Pt A, 108016. [Google Scholar] [CrossRef]
- Baghdadi, I.; Briat, O.; Delatage, J.Y.; Vinassa, J.M.; Gyan, P. Dynamic Battery Aging Model: Representation of Reversible Capacity Losses Using First Order Model Approach. In Proceedings of the 2015 IEEE Vehicle Power and Propulsion Conference (VPPC), Montreal, QC, Canada, 19–22 October 2015; pp. 1–4. [Google Scholar] [CrossRef]
- Severson, K.A.; Attia, P.M.; Jin, N.; Perkins, N.; Jiang, B.; Yang, Z.; Chen, M.H.; Aykol, M.; Herring, P.K.; Fraggedakis, D.; et al. Data-driven prediction of battery cycle life before capacity degradation. Nat. Energy 2019, 4, 383–391. [Google Scholar] [CrossRef]
- Calearo, L.; Thingvad, A.; Ziras, C.; Marinelli, M. A methodology to model and validate electro-thermal-aging dynamics of electric vehicle battery packs. J. Energy Storage 2022, 55 Pt B, 105538. [Google Scholar] [CrossRef]
- Perez, H.E.; Hu, X.; Dey, S.; Moura, S.J. Optimal Charging of Li-Ion Batteries with Coupled Electro-Thermal-Aging Dynamics. IEEE Trans. Veh. Technol. 2017, 66, 7761–7770. [Google Scholar] [CrossRef]
- Saqli, K.; Bouchareb, H.; M’sirdi, N.K.; Bentaie, M.O. Lithium-ion battery electro-thermal modelling and internal states co-estimation for electric vehicles. J. Energy Storage 2023, 63, 107072. [Google Scholar] [CrossRef]
- Han, J.; Liu, W.; Zheng, Y.; Khalatbarisoltani, A.; Yang, Y.; Hu, X. Health-conscious predictive energy management strategy with hybrid speed predictor for plug-in hybrid electric vehicles: Investigating the impact of battery electro-thermal-aging models. Appl. Energy 2023, 352, 121986. [Google Scholar] [CrossRef]
- Petit, M.; Prada, E.; Sauvant-Moynot, V. Development of an empirical aging model for Li-ion batteries and application to assess the impact of Vehicle-to-Grid strategies on battery lifetime. Appl. Energy 2016, 172, 398–407. [Google Scholar] [CrossRef]
- Nikolian, A.; Jaguemont, J.; de Hoog, J.; Goutam, S.; Omar, N.; van Den Bossche, P.; van Mierlo, J. Complete cell-level lithium-ion electrical ECM model for different chemistries (NMC, LFP, LTO) and temperatures (−5 °C to 45 °C)—Optimized modelling techniques. Int. J. Electr. Power Energy Syst. 2018, 98, 133–146. [Google Scholar] [CrossRef]
- Veilleux, É.; Pasdarshahri, H.; Rancourt, D.; Daoudji, D. Passive Thermal Management of an Electric Trainer Aircraft Battery Pack Considering Aging. J. Aircr. 2025; accepted. [Google Scholar]
- Santhanagopalan, S.; Smith, K.; Neubauer, J.; Kim, G.H.; Keyser, M.; Pesaran, A. Design and Analysis of Large Lithium-Ion Battery Systems, 1st ed.; Artech: London, UK, 2015. [Google Scholar]
- Wilke, S.; Schweitzer, B.; Khateeb, S.; Al-Hallaj, S. Semi-Empirical Modeling of Capacity Fade: A Practical Approach for Battery Pack Manufacturers. ECS Trans. 2016, 73, 109–119. [Google Scholar] [CrossRef]
- Smith, K.; Saxon, A.; Keyser, M.; Lundstrom, B.; Cao, Z.; Roc, A. Life prediction model for grid-connected Li-ion battery energy storage system. In Proceedings of the 2017 American Control Conference (ACC), Seattle, WA, USA, 24–26 May 2017; pp. 4062–4068. [Google Scholar] [CrossRef]
- Nacu, R.C.; Fodorean, D. Lithium-Ion Cell Characterization, Using Hybrid Current Pulses, for Subsequent Battery Simulation in Mobility Applications. Processes 2022, 10, 2108. [Google Scholar] [CrossRef]
- Plett, G. Battery Management Systems, Volume I: Battery Modeling; Artech: London, UK, 2015. [Google Scholar]
- Plett, G. Battery Management Systems, Volume II: Equivalent-Circuit Methods; Artech: London, UK, 2015. [Google Scholar]







| Test Number | 1 | 2 | 3 | 4 | 5 | 6 | 7 | 8 | 9 | 10 | 11 | 12 |
|---|---|---|---|---|---|---|---|---|---|---|---|---|
| Temperature, °C | 55 | 35 | 45 | 45 | 25 | 35 | 25 | 25 | 45 | 55 | 25 | 35 |
| Average state of charge (SOC), % | 50 | 50 | 50 | 80 | 50 | 80 | 80 | 95 | 95 | 80 | 100 | 100 |
| Test Number | 1 | 2 | 3 | 4 | 5 | 6 | 7 | 8 |
|---|---|---|---|---|---|---|---|---|
| Temperature, °C | 40 | 40 | 40 | 40 | 25 | 25 | 25 | 25 |
| Depth of discharge, % | 80 | 80 | 40 | 40 | 80 | 80 | 40 | 40 |
| Discharge C-rate, 1/h | 1.0 | 1.9 | 1.0 | 1.9 | 1.0 | 1.9 | 1.0 | 1.9 |
| SOC, % | Voc, V | , | , | , F | ||||||||
|---|---|---|---|---|---|---|---|---|---|---|---|---|
| 15 °C | 25 °C | 35 °C | 15 °C | 25 °C | 35 °C | 15 °C | 25 °C | 35 °C | 15 °C | 25 °C | 35 °C | |
| 10 | 3.37 | 3.32 | 3.38 | 0.1126 | 0.0623 | 0.0438 | 0.1289 | 0.0857 | 0.0407 | 461.6 | 321.4 | 1043.8 |
| 20 | 3.49 | 3.47 | 3.49 | 0.0656 | 0.0473 | 0.0451 | 0.0551 | 0.0239 | 0.0257 | 3142.0 | 2775.6 | 5886.4 |
| 30 | 3.52 | 3.53 | 3.56 | 0.0420 | 0.0397 | 0.0327 | 0.0464 | 0.0246 | 0.0342 | 493.0 | 1207.8 | 642.0 |
| 40 | 3.58 | 3.60 | 3.62 | 0.0512 | 0.0424 | 0.0397 | 0.0279 | 0.0257 | 0.0261 | 3459.9 | 2214.9 | 3558.1 |
| 50 | 3.66 | 3.67 | 3.68 | 0.0436 | 0.0413 | 0.0362 | 0.0343 | 0.0254 | 0.0226 | 1280.1 | 1959.4 | 1955.8 |
| 60 | 3.78 | 3.78 | 3.79 | 0.0477 | 0.0401 | 0.0372 | 0.0378 | 0.0253 | 0.0232 | 1639.8 | 1538.7 | 2163.0 |
| 70 | 3.86 | 3.87 | 3.87 | 0.0473 | 0.0414 | 0.0362 | 0.0297 | 0.0204 | 0.0161 | 1752.1 | 2192.3 | 2575.7 |
| 80 | 3.97 | 3.98 | 3.99 | 0.0477 | 0.0411 | 0.0372 | 0.0341 | 0.0297 | 0.0269 | 1266.0 | 1822.8 | 1898.1 |
| 90 | 4.03 | 4.07 | 4.07 | 0.0531 | 0.0471 | 0.0432 | 0.0099 | 0.0139 | 0.0094 | 13,422.0 | 6160.1 | 13,234.0 |
| 100 | 4.17 | 4.17 | 4.17 | 0.0585 | 0.0472 | 0.0390 | 0.0295 | 0.0292 | 0.0250 | 956.3 | 1225.6 | 1170.0 |
| Cycle Aging | Capacity Fade | Internal Resistance Growth |
| z | 0.5750 | 1.1351 |
| B | 0.3239 | 4.6815 |
| 481.85 | 1060 | |
| 33,040 | 37,800 | |
| 0.1765 | 1.4564 | |
| Calendar Aging | Capacity Fade [33] | Internal Resistance Growth |
| 0.6562 | 0.9020 | |
| 0.02986 | 0.03042 | |
| 54,054 | 53,889 | |
| 0.0054 | −0.1814 | |
| 6.5858 | 0.6996 | |
| −3.2929 | −0.6079 |
Disclaimer/Publisher’s Note: The statements, opinions and data contained in all publications are solely those of the individual author(s) and contributor(s) and not of MDPI and/or the editor(s). MDPI and/or the editor(s) disclaim responsibility for any injury to people or property resulting from any ideas, methods, instructions or products referred to in the content. |
© 2024 by the authors. Licensee MDPI, Basel, Switzerland. This article is an open access article distributed under the terms and conditions of the Creative Commons Attribution (CC BY) license (https://creativecommons.org/licenses/by/4.0/).
Share and Cite
Pasdarshahri, H.; Veilleux, É.; Mooney, W.; Fréchette, L.G.; Grondin, F.; Rancourt, D. Coupled Electro-Thermal-Aging Battery Pack Modeling—Part 1: Cell Level. Batteries 2024, 10, 404. https://doi.org/10.3390/batteries10110404
Pasdarshahri H, Veilleux É, Mooney W, Fréchette LG, Grondin F, Rancourt D. Coupled Electro-Thermal-Aging Battery Pack Modeling—Part 1: Cell Level. Batteries. 2024; 10(11):404. https://doi.org/10.3390/batteries10110404
Chicago/Turabian StylePasdarshahri, Hadi, Émile Veilleux, William Mooney, Luc G. Fréchette, François Grondin, and David Rancourt. 2024. "Coupled Electro-Thermal-Aging Battery Pack Modeling—Part 1: Cell Level" Batteries 10, no. 11: 404. https://doi.org/10.3390/batteries10110404
APA StylePasdarshahri, H., Veilleux, É., Mooney, W., Fréchette, L. G., Grondin, F., & Rancourt, D. (2024). Coupled Electro-Thermal-Aging Battery Pack Modeling—Part 1: Cell Level. Batteries, 10(11), 404. https://doi.org/10.3390/batteries10110404

