Superconducting Gap Structure of the Noncentrosymmetric Topological Superconductor Candidate HfRuP
Abstract
1. Introduction
2. Experimental Details
3. Results and Discussion
3.1. Crystal Structure and Magnetization
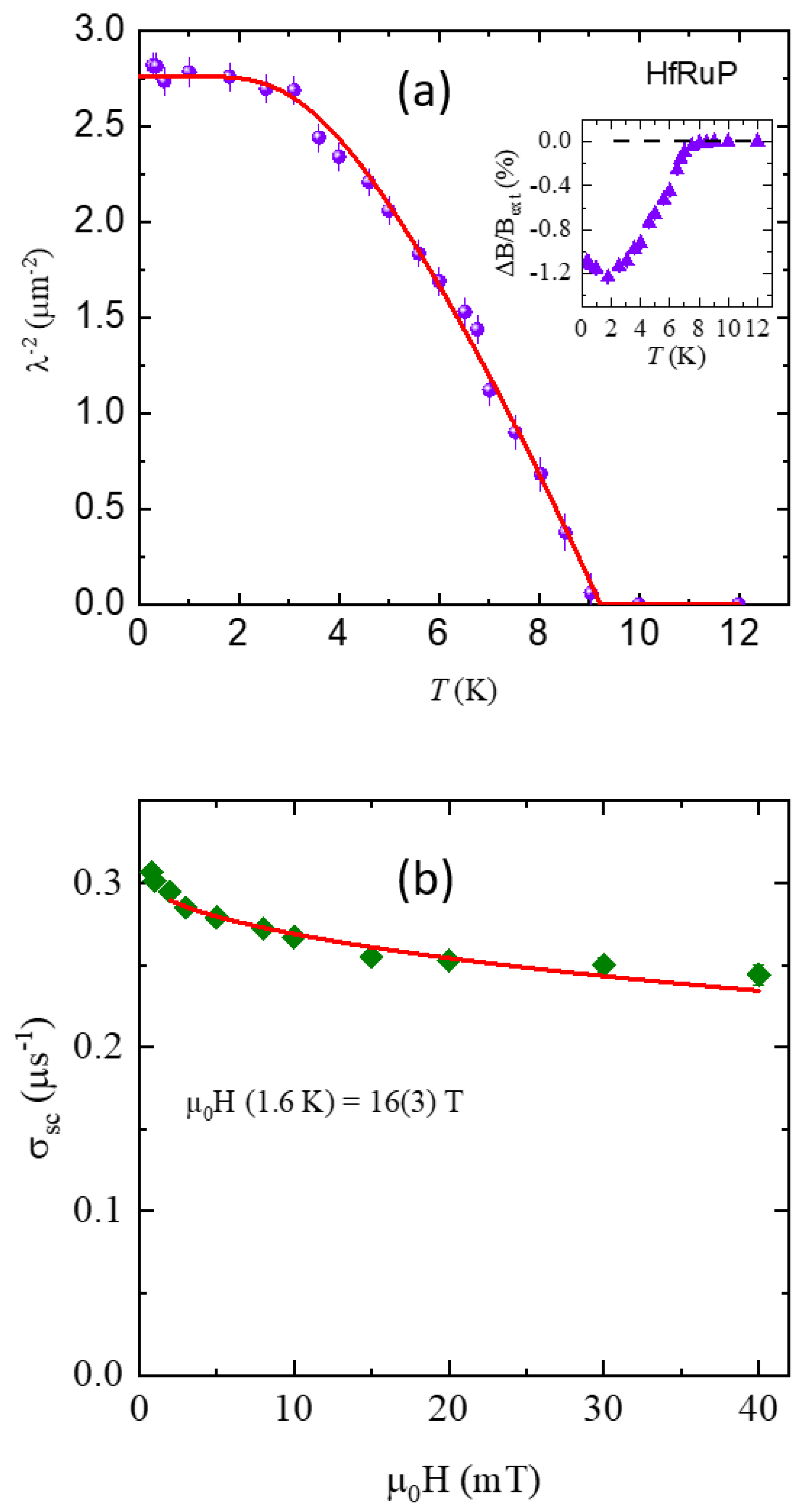
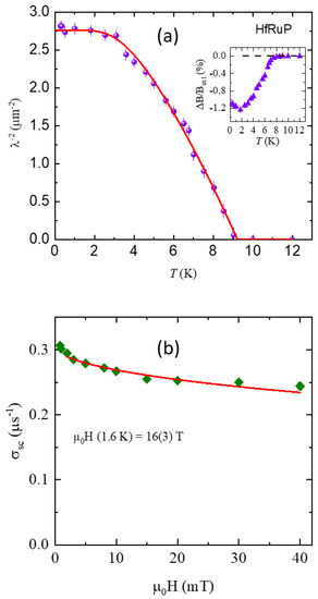
3.2. TF-SR Measurements
3.3. ZF-SR Measurements
4. Summary
Author Contributions
Funding
Institutional Review Board Statement
Informed Consent Statement
Data Availability Statement
Acknowledgments
Conflicts of Interest
References
- Qi, X.-L.; Zhang, S.-C. Topological insulators and superconductors. Rev. Mod. Phys. 2011, 83, 1057. [Google Scholar] [CrossRef]
- Ando, Y.; Fu, L. Topological crystalline insulators and topological superconductors: From concepts to materials. Annu. Rev. Condens. Matter Phys. 2015, 6, 361. [Google Scholar] [CrossRef]
- Tanaka, Y.; Sato, M.; Nagaosa, N. Symmetry and topology in superconductors-odd-frequency pairing and edge states. J. Phys. Soc. Jpn. 2012, 81, 011013. [Google Scholar] [CrossRef]
- Sato, M.; Ando, Y. Topological superconductors: A review. Rep. Prog. Phys. 2017, 80, 076501. [Google Scholar] [CrossRef]
- Hasan, M.Z.; Kane, C.L. Colloquium: Topological insulators. Rev. Mod. Phys. 2010, 82, 3045. [Google Scholar] [CrossRef]
- Kitaev, A.Y. Unpaired Majorana fermions in quantum wires. Physics-Uspekhi 2001, 44, 131. [Google Scholar] [CrossRef]
- Wilczek, F. Majorana returns. Nat. Phys. 2009, 5, 614. [Google Scholar] [CrossRef]
- Beenakker, C.W.J. Search for Majorana fermions in superconductors. Annu. Rev. Condens. Matter Phys. 2013, 4, 113. [Google Scholar] [CrossRef]
- Barz, H.; Ku, H.; Meisner, G.; Fisk, Z.; Matthias, B. Ternary transition metal phosphides: High-temperature superconductors. Proc. Natl. Acad. Sci. USA 1980, 77, 3132. [Google Scholar] [CrossRef]
- Meisner, G.P. Superconductivity and structural transformation in HfRuAs. Phys. Lett. A 1983, 96, 483. [Google Scholar] [CrossRef]
- Meisner, G.P.; Ku, H.C. The superconductivity and structure of equiatomic ternary transition metal pnictides. Appl. Phys. A 1983, 31, 201. [Google Scholar] [CrossRef]
- Meisner, G.P.; Ku, H.C.; Barz, H. Superconducting equiatomic ternary transition metal arsenides. Mat. Res. Bull. 1983, 18, 983. [Google Scholar] [CrossRef]
- Shirotani, I.; Tachi, K.; Konno, Y.; Todo, S.; Yagi, T. Superconductivity of the ternary ruthenium compounds HfRuP and ZrRuX (X = P, As, Si or Ge) prepared at a high pressure. Phil. Mag. B 1999, 79, 767. [Google Scholar] [CrossRef]
- Shirotani, I.; Tachi, K.; Takeda, K.; Todo, S.; Yagi, T.; Kanoda, K. Superconductivity of ZrRuSi prepared at high pressure. Phys. Rev. B 1995, 52, 6197. [Google Scholar] [CrossRef]
- Ivanov, V.; Savrasov, S.Y. Monopole mining method for high-throughput screening for Weyl semimetals. Phys. Rev. B 2019, 99, 125124. [Google Scholar] [CrossRef]
- Yamakage, A.; Yamakawa, Y.; Tanaka, Y.; Okamoto, Y.J. Line-Node Dirac Semimetal and Topological Insulating Phase in Noncentrosymmetric Pnictides CaAgX (X = P, As). Phys. Soc. Jpn. 2016, 85, 013708. [Google Scholar] [CrossRef]
- Qian, Y.; Nie, S.; Yi, C.; Kong, L.; Fang, C.; Qian, T.; Ding, H.; Shi, Y.; Wang, Z.; Weng, H.; et al. Topological electronic states in HfRuP family superconductors. NPJ Comput. Mater. 2019, 5, 121. [Google Scholar] [CrossRef]
- Bauer, E.; Hilscher, G.; Michor, H.; Paul, C.; Scheidt, E.W.; Gribanov, A.; Seropegin, Y.; Noël, H.; Sigrist, M.; Rogl, P. Heavy fermion superconductivity and magnetic order in noncentrosymmetric CePt3Si. Phys. Rev. Lett. 2004, 92, 027003. [Google Scholar] [CrossRef]
- Bauer, E.; Sigrist, M. (Eds.) Non-Centrosymmetric Superconductors: Introduction and Overview; Springer: Berlin/Heidelberg, Germany, 2012. [Google Scholar]
- Tanaka, Y.; Mizuno, Y.; Yokoyama, T.; Yada, K.; Sato, M. Anomalous Andreev bound state in noncentrosymmetric superconductors. Phys. Rev. Lett. 2010, 105, 097002. [Google Scholar] [CrossRef]
- Yaouanc, A.; de Réotier, P.D. Muon Spin Rotation, Relaxation, and Resonance Applications to Condensed Matter; Oxford University Press: Oxford, UK, 2010. [Google Scholar]
- Amato, A.; Luetkens, H.; Sedlak, K.; Stoykov, A.; Scheuermann, R.; Elender, M.; Raselli, A.; Graf, D. The new versatile general purpose surface-muon instrument (GPS) based on silicon photomultipliers for μSR measurements on a continuous-wave beam. Rev. Sci. Instrum. 2017, 88, 093301. [Google Scholar] [CrossRef]
- Suter, A.; Wojek, B. Musrfit: A free platform-independent framework for μSR data analysis. Phys. Procedia 2012, 30, 69. [Google Scholar] [CrossRef]
- Shirotani, I.; Ichihashi, N.; Nozawa, K.; Kinshirta, M.; Yagi, T.; Suzuki, K.; Enoki, T. In Proceedings of the 9th International Conference Ternary and Multinary Compounds, Yokohama, Japan, 8–12 August 1993. Jpn. J. Appl. Phys. 1993, 32, 695–697. [Google Scholar] [CrossRef]
- Brandt, E.H. Flux distribution and penetration depth measured by muon spin rotation in high TC superconductors. Phys. Rev. B 1988, 37, 2349. [Google Scholar] [CrossRef] [PubMed]
- Brandt, E.H. Properties of the ideal Ginzburg-Landau vortex lattice. Phys. Rev. B 2003, 68, 054506. [Google Scholar] [CrossRef]
- Tinkham, M. Introduction to Superconductivity, 2nd ed.; Dover: Mineola, NY, USA, 1996. [Google Scholar]
- Prozorov, R.; Giannetta, R.W. Magnetic penetration depth in unconventional superconductors. Supercond. Sci. Technol. 2006, 19, R41. [Google Scholar] [CrossRef]
- Carrington, A.; Manzano, F. Magnetic penetration depth of MgB2. Phys. C 2003, 385, 205. [Google Scholar] [CrossRef]
- Duan, W.; Nie, Z.; Yan, D.; Su, H.; Chen, Y.; Chen, Y.; Shi, Y.; Song, Y.; Yuan, H. Nodeless superconductivity in topologically nontrivial materials HfRuP and ZrRuAs. J. Phys. Condens. Matter 2022, 34, 455601. [Google Scholar] [CrossRef]
- Sonier, J.E.; Brewer, J.H.; Kiefl, R.F. μSR studies of the vortex state in type-II superconductors. Rev. Mod. Phys. 2000, 72, 769. [Google Scholar] [CrossRef]
- McMillan, W. Transition temperature of strong-coupled superconductors. Phys. Rev. 1968, 167, 331. [Google Scholar] [CrossRef]
- Stewart, G.R.; Meisner, G.P.; Ku, H.C. Superconductivity in d- and f-Band Metal; Buckel, W., Weber, W., Eds.; Kernforschungszentrum: Karlsruhe, Germany, 1982; p. 331. [Google Scholar]
- Keiber, H.; Wuhl, H.; Meisner, G.P.; Stewart, G.R. Phonon anomalies in ZrRuP. Low. Temp. Phys. 1984, 55, 11. [Google Scholar] [CrossRef]
- Anand, V.; Tennant, D.; Lake, B.J. Investigations of the effect of nonmagnetic Ca substitution for magnetic Dy on spin-freezing in Dy2Ti2O7. Phys. Condens. Matter 2015, 27, 436001. [Google Scholar] [CrossRef]
- Das, D.; Adroja, D.T.; Lees, M.R.; Taylor, R.W.; Bishnoi, Z.S.; Anand, V.K.; Bhattacharyya, A.; Guguchia, Z.; Baines, C.; Luetkens, H.; et al. Probing the superconducting gap structure in the noncentrosymmetric topological superconductor ZrRuAs. Phys. Rev. B 2021, 103, 144516. [Google Scholar] [CrossRef]
- Bhattacharyya, A.; Panda, K.; Adroja, D.T.; Kase, N.; Biswas, P.K.; Saha, S.; Das, T.; Lees, M.R.; Hillier, A.D. Investigation of superconducting gap structure in HfIrSi using muon spin relaxation/rotation. J. Phys. Condens. Matter 2020, 32, 085601. [Google Scholar] [CrossRef]
- Panda, K.; Bhattacharyya, A.; Adroja, D.T.; Kase, N.; Biswas, P.K.; Saha, S.; Das, T.; Lees, M.R.; Hillier, A.D. Probing the superconducting ground state of ZrIrSi: A muon spin rotation and relaxation study. Phys. Rev. B. 2019, 99, 174513. [Google Scholar] [CrossRef]
- Das, D.; Kobayashi, K.; Smylie, M.P.; Mielke, C., III; Takahashi, T.; Willa, K.; Yin, J.-X.; Welp, U.; Hasan, M.Z.; Amato, A.; et al. Time-reversal invariant and fully gapped unconventional superconducting state in the bulk of the topological compound Nb0.25Bi2Se3. Phys. Rev. B 2020, 102, 134514. [Google Scholar] [CrossRef]
- Guguchia, Z.; von Rohr, F.; Shermadini, Z.; Lee, A.T.; Banerjee, S.; Wieteska, A.R.; Marianetti, C.A.; Frandsen, B.A.; Luetkens, H.; Gong, Z.; et al. Signatures of the topological s+− superconducting order parameter in the type-II Weyl semimetal Td-MoTe2. Nat. Commun. 2017, 8, 1082. [Google Scholar] [CrossRef]
- Uemura, Y.J.; Luke, G.M.; Sternlieb, B.J.; Brewer, J.H.; Carolan, J.F.; Hardy, W.N.; Kadono, R.; Kempton, J.R.; Kiefl, R.F.; Kreitzman, S.R.; et al. Universal Correlations between TC and (Carrier Density over Effective Mass) in High-TC Cuprate Superconductors. Phys. Rev. Lett. 1989, 62, 2317. [Google Scholar] [CrossRef]
- Uemura, Y.J.; Keren, A.; Le, L.P.; Luke, G.M.; Sternlieb, B.J.; Wu, W.D.; Brewer, J.H.; Whetten, R.L.; Huang, S.M.; Lin, S.; et al. Magnetic-field penetration depth in K3C60 measured by muon spin relaxation. Nature 1991, 352, 605. [Google Scholar] [CrossRef]
- Shengelaya, A.; Khasanov, R.; Eshchenko, D.G.; Castro, D.D.; Savić, I.M.; Park, M.S.; Kim, K.H.; Lee, S.; Müller, K.A.; Keller, H. Muon-Spin-Rotation Measurements of the Penetration Depth of the Infinite-Layer Electron-Doped Sr0.9La0.1CuO2 Cuprate Superconductor. Phys. Rev. Lett. 2005, 94, 127001. [Google Scholar] [CrossRef]
- Kubo, R.; Toyabe, T. Magnetic Resonance and Relaxation; Blinc, R., Ed.; North-Holland: Amsterdam, The Netherlands, 1967; p. 810. [Google Scholar]




Disclaimer/Publisher’s Note: The statements, opinions and data contained in all publications are solely those of the individual author(s) and contributor(s) and not of MDPI and/or the editor(s). MDPI and/or the editor(s) disclaim responsibility for any injury to people or property resulting from any ideas, methods, instructions or products referred to in the content. |
© 2023 by the authors. Licensee MDPI, Basel, Switzerland. This article is an open access article distributed under the terms and conditions of the Creative Commons Attribution (CC BY) license (https://creativecommons.org/licenses/by/4.0/).
Share and Cite
Das, D.; Adroja, D.; Tripathi, R.; Guguchia, Z.; Hotz, F.; Luetkens, H.; Wang, Z.; Yan, D.; Luo, H.; Shi, Y. Superconducting Gap Structure of the Noncentrosymmetric Topological Superconductor Candidate HfRuP. Magnetochemistry 2023, 9, 135. https://doi.org/10.3390/magnetochemistry9050135
Das D, Adroja D, Tripathi R, Guguchia Z, Hotz F, Luetkens H, Wang Z, Yan D, Luo H, Shi Y. Superconducting Gap Structure of the Noncentrosymmetric Topological Superconductor Candidate HfRuP. Magnetochemistry. 2023; 9(5):135. https://doi.org/10.3390/magnetochemistry9050135
Chicago/Turabian StyleDas, Debarchan, Devashibhai Adroja, Rajesh Tripathi, Zurab Guguchia, Fabian Hotz, Hubertus Luetkens, Zhijun Wang, Dayu Yan, Huiqian Luo, and Youguo Shi. 2023. "Superconducting Gap Structure of the Noncentrosymmetric Topological Superconductor Candidate HfRuP" Magnetochemistry 9, no. 5: 135. https://doi.org/10.3390/magnetochemistry9050135
APA StyleDas, D., Adroja, D., Tripathi, R., Guguchia, Z., Hotz, F., Luetkens, H., Wang, Z., Yan, D., Luo, H., & Shi, Y. (2023). Superconducting Gap Structure of the Noncentrosymmetric Topological Superconductor Candidate HfRuP. Magnetochemistry, 9(5), 135. https://doi.org/10.3390/magnetochemistry9050135

