Vegetative Characteristics of Three Apricot Cultivars Grafted on Six Different Rootstocks
Abstract
1. Introduction
2. Materials and Methods
3. Statistical Analysis
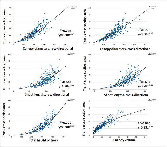
4. Results
5. Discussion
Author Contributions
Funding
Institutional Review Board Statement
Data Availability Statement
Conflicts of Interest
References
- Janick, J. The origins of fruits, fruit growing, and fruit breeding. Plant Breed. Rev. 2005, 25, 255–320. [Google Scholar]
- Bourguiba, H.; Audergon, J.M.; Krichen, L.; Trifi-Farah, N.; Mamouni, A.; Trabelsi, S.; D’Onofrio, C.; Asma, B.M.; Santoni, S.; Khadari, B. Loss of genetic diversity as a signature of apricot domestication and diffusion into the Mediterranean Basin. BMC Plant Biol. 2012, 12, 49. [Google Scholar] [CrossRef] [PubMed]
- Herrera, S.; Hormaza, J.I.; Lora, J.; Ylla, G.; Rodrigo, J. Molecular characterization of genetic diversity in apricot cultivars: Current situation and future perspectives. J. Agron. 2021, 11, 1714. [Google Scholar] [CrossRef]
- FAOSTAT. Available online: http://www.fao.org/faostat/en/ (accessed on 18 September 2022).
- Ercisli, S. Apricot culture in Turkey. J. Sci. Res. Essay 2009, 4, 715–719. [Google Scholar]
- Miodragović, M.; Magazin, N.; Keserović, Z.; Milić, B.; Popović, B.; Blagojević, B.; Kalajdžić, J. The early performance and fruit properties of apricot cultivars grafted on Prunus spinosa L. interstock. Sci. Hortic. 2019, 250, 199–206. [Google Scholar] [CrossRef]
- Hungarian Statistics Office. Available online: https://www.ksh.hu/docs/hun/xstadat/xstadat_eves/i_omn006h.html (accessed on 18 September 2022).
- CPVO. Community Plant Variety Office. Available online: https://cpvo.europa.eu/en (accessed on 18 September 2022).
- Herrera, S.; Lora, J.; Hormaza, J.I.; Herrero, M.; Rodrigo, J. Optimizing production in the new generation of apricot cultivars: Self-incompatibility, S-RNase allele identification, and incompatibility group assignment. Front. Plant Sci. 2018, 9, 527. [Google Scholar] [CrossRef]
- Krška, B. Genetic Apricot Resources and Their Utilization in Breeding. In Breeding and Health Benefits of Fruit and Nut Crops; Soneji, J.R., Nageswara-Rao, M., Eds.; IntechOpen: London, UK, 2018. [Google Scholar]
- Zhebentyayeva, T.; Ledbetter, C.; Burgos, L.; Lláce, G. Apricot. In Fruit Breeding; Badenes, M.L., Byrne, D.H., Eds.; Springer: Boston, MA, USA, 2012. [Google Scholar]
- Giovannini, D.; Neri, D.; Di Vaio, C.; Sansavini, S.; Del Vecchio, G.; Guarino, F.; Mennone, C.; Abeti, D.; Colombo, R. Efficienza gestionale degli impianti di pesco in un confronto Nord-Sud. Riv. Fruttic. Ortofloric. 2010, 7–8, 16–26. (In Italian) [Google Scholar]
- Dorigoni, A.; Lezzer, P.; Dallabetta, N.; Serra, S.; Musacchi, S. Bi-axis: An alternative to slender spindle for apple orchards. Acta Hortic. 2011, 903, 581–588. [Google Scholar] [CrossRef]
- Meland, M. Early performance of European plum high density production systems. Acta Hortic. 2001, 557, 265–273. [Google Scholar] [CrossRef]
- Musacchi, S. Bibaum®: A new training system for pear orchards. Acta Hortic. 2008, 800, 763–768. [Google Scholar] [CrossRef]
- Robinson, T.L.; Hoying, S.A.; Reginato, G.H. The tall spindle planting system: Principles and performance. Acta Hortic. 2011, 903, 571–579. [Google Scholar] [CrossRef]
- Stănică, F. New tendencies in fruit trees training and orchard planting systems. Sci. Pap. 2019, 2, 25–34. [Google Scholar]
- Stănică, F.; Butcaru, A.C.; Mihai, C.A.; Florea, I.M.; Şerban, D. Preliminary results regarding the behavior of some new apricot cultivars in Bucureşti area. Rom. J. Hortic. 2020, 1, 59–66. [Google Scholar] [CrossRef]
- Montanaro, G.; Dichio, B.; Xiloyannis, C. Pesco: Sfruttare bene la luce per migliorare qualità e rese. Inf. Agrar. 2011, 26, 48–51. (In Italian) [Google Scholar]
- Taaren, M.J.; Abbasi, A.N.; Rahman, H. Tree vigor, nutrients uptake efficiency and yield of ‘Flordaking’ peach cultivar as affected by different rootstocks. In Proceedings of the Pakistan Society for Horticultural Science, Faisalabad, Pakistan, 18–20 February 2016; pp. 134–143. [Google Scholar]
- Beckman, T.G.; Okie, W.R.; Meyers, S.C. Rootstocks affect bloom date and fruit maturation of ‘Redhaven’ peach. J. Am. Soc. Hortic. Sci. 1992, 117, 377–379. [Google Scholar] [CrossRef]
- Boyhan, G.E.; Norton, J.D.; Pitts, J.A. Establishment, growth, and foliar nutrient content of plum trees on various rootstocks. J. Am. Soc. Hortic. Sci. 1995, 30, 219–221. [Google Scholar] [CrossRef]
- Duval, H.; Masse, M.; Jay, M.; Loquet, B. Results of French apricot rootstock trials. Acta Hortic. 2012, 966, 37–41. [Google Scholar] [CrossRef]
- Layne, R.E.C. Prunus rootstocks affect long-term orchard performance of ‘Redhaaven’ peach on Brookston clay loam. J. Am. Soc. Hortic. Sci. 1994, 29, 167–171. [Google Scholar]
- Mendelné Pászti, E.; Mendel, Á. Frost tolerance of flower buds of Hungarian apricot cultivars. In Őshonos—és Tájfajták—Ökotermékek—Egészséges Táplálkozás—Vidékfejlesztés; Tóth, C., Ed.; University of Nyíregyháza: Nyíregyháza, Hungary, 2021; pp. 37–43. [Google Scholar]
- Pászti, E.; Mendel, Á. Életképességi vizsgálatok összehasonlítása csonthájas alanyok magvain. Kertgazdaság 2018, 50, 15–21. (In Hungarian) [Google Scholar]
- Hrotkó, K. Alanyhasználat a Kajszitermesztésben. In Gyümölcsfaiskola; Hrotkó, K., Ed.; Mezőgazda Kiadó: Budapest, Hungary, 1999. (In Hungarian) [Google Scholar]
- Hrotkó, K.; Nagy, Á.; Csigai, K. A gyümölcsfajták és alanyok szaporítása a magyar faiskolákban. III. Őszibarack, kajszi, dió és mandala. Kertgazdaság 2006, 38, 29–38. (In Hungarian) [Google Scholar]
- Hernández, F.; Pinochet, J.; Moreno, M.A.; Martínez, J.J.; Legua, P. Performance of Prunus rootstocks for apricot in Mediterranean conditions. Sci. Hortic. 2010, 124, 354–359. [Google Scholar] [CrossRef]
- Bujdosó, G.; Magyar, L.; Hrotkó, K. Long term evaluation of growth and cropping of sweet cherry varieties on different rootstocks under Hungarian soil and climatic conditions. Sci. Hortic. 2019, 256, 108613. [Google Scholar] [CrossRef]
- Southwick, S.M.; Weis, K.G. Selecting and propagating rootstocks to produce apricots. HortTechnology 1998, 8, 164–170. [Google Scholar] [CrossRef]
- Crossa-Raynaud, P.; Audergon, J.M. Apricot Rootstocks; Rootstocks for Fruit Crops: New York, NY, USA, 1987; pp. 295–520. [Google Scholar]
- Darikova, J.A.; Savva, Y.V.; Eugene, A.; Vaganov, E.A.; Grachev, A.M.; Kuznetsova, G.V. Grafts of woody plants and the problem of incompatibility between scion and rootstock (a review). J. Sib. Fed. Univ. Biol. 2011, 4, 54–63. [Google Scholar]
- Milatovic, D.; Keserovic, Z.; Milosevic, T. Savremeni Sortiment i Tehnologija Gajenja Kajsije. In Proceedings of the 50th Conference “Savramena Proizvodnja Voća”, Banja Koviljača, Serbia, 9 December 2017; pp. 23–26. (In Serbian). [Google Scholar]
- Yilmaz, C.H.; Remzi, U.Ğ.U.R.; Sünbül, M.R.; Özelçi, D. Performance of some Prunus rootstocks to transmit micronutrients to leaves. Int. J. Agric. Environ. Food Sci. 2021, 5, 656–665. [Google Scholar] [CrossRef]
- Oprita, V.A.; Gavat, C. Behavior of some apricot cultivars grafted on new vegetative rootstocks. Sci. Pap. 2018, 62, 115–117. [Google Scholar]
- Dobos, E.; Bialko, T.; Micheli, E.; Kobza, J. Legacy Soil Data Harmonization and Database Development. In Digital Soil Mapping. Progress in Soil Science; Boettinger, J.L., Howell, D.W., Moore, A.C., Hartemink, A.E., Kienast-Brown, S., Eds.; Springer: Dordrecht, The Netherlands, 2010; Volume 2, pp. 309–323. [Google Scholar]
- Mendelné Pászti, E.; Mendel, Á. Vegetative growth of apricot (P. armeniaca L.) cultivars and rootstocks. Columella 2021, 8, 5–12. [Google Scholar] [CrossRef]
- Nagy, P.; Lantos, A. Breeding stone fruit rootstocks in Hungary. Acta Hortic. 1996, 484, 199–202. [Google Scholar] [CrossRef]
- Nyujtó, F. Apricot rootstock research in Cegléd. Acta Hortic. 1973, 85, 97–103. [Google Scholar] [CrossRef]
- Nagy, P. Szilva Klónalanyok Kajszi Számára. In A Csonthéjas Gyümölcsűek Termelésének Fejlesztése (Újabb Kutatási Eredmények a Gyümölcstermesztésben); GYDKI: Érd, Hungary, 1979; Volume 7, pp. 37–45. (In Hungarian) [Google Scholar]
- Sitarek, M.; Bartosiewicz, B. Influence of a few seedling rootstocks on the growth, yield and fruit quality of apricot trees. J. Fruit Ornam. Plant Res. 2011, 19, 81–86. [Google Scholar]
- Foschi, S.; Bassi, D.; Lama, M.; Buscaroli, C.; Rizzo, M. Nuovi portinnesti dell’albicocco: Meno polloni e buona affinità. Inf. Agrar. 2012, 21, 56–59. (In Italian) [Google Scholar]
- Stefanova, B.; Dragoyski, K.; Dinkova, H. Reaction of some rootstocks for plums to soil and climatic conditions of Troyan. Acta Hortic. 2009, 825, 435–440. [Google Scholar]
- Murri, G.; Massetani, F.; Giusti, S.; Funari, A.; Neri, D. Yield and fruit quality of ‘Fortune’ plum grafted on 17 rootstocks in replant soil conditions of Central Italy. Acta Hortic. 2013, 985, 121–126. [Google Scholar] [CrossRef]
- Bassi, D.; Foschi, S. Trends in Apricot and Peach Industries in Italy. In Proceedings of the 4th Conference “Innovations in Fruit Growing-Improving Peach and Apricot Production”, Belgrade, Serbia, 11 February 2013; pp. 49–73. [Google Scholar]
- Agromillora Group. Available online: https://www.agromillora.com/wp-content/uploads/2020/05/Agromillora_Rootpac_English.pdf (accessed on 18 September 2022).
- Bujdosó, G.; Ercisli, S.; Ratiu, A.; Cseke, K. Walnut ‘Esterhazy kesei’ for small-scale cultivation. HortScience 2022, 57, 523–524. [Google Scholar] [CrossRef]
- Mendelné Pászti, E.; Mendel, Á. Ceglédi bájos: A new apricot cultivar of Hungary. J. Am. Soc. Hortic. Sci. 2021, 56, 10. [Google Scholar]
- Bujdosó, G.; Fodor, A.; Végh, A. BD6 walnut. HortScience 2020, 55, 1393–1394. [Google Scholar]
- Games, P.A.; Howell, J.F. Pairwise multiple comparison procedures with unequal n’s and/or variances: A Monte Carlo study. J. Educ. Stat. 1976, 1, 113–125. [Google Scholar]
- IBM Corporation. IBM SPSS Statistics for Windows, Version 27.0; IBM Corporation: New York, NY, USA, 2020.
- Nyujtó, F.; Surányi, D. Kajszibarack; Mezőgazdasági Kiadó: Budapest, Hungary, 1981. (In Hungarian) [Google Scholar]
- Suranyi, D. Wild apricot and myrobalan (generative) rootstocks for apricot cultivars. Acta Hortic. 1999, 488, 445–449. [Google Scholar]
- Pérez-Romero, L.F.; Arroyo, F.T.; Santamaría, C.; Camacho, M.; Daza, A. Comparative fruit quality parameters of ‘Ninfa’ apricot (Prunus armeniaca L.) grafted on two different rootstocks in a newly established organic orchard. Acta Aliment. 2014, 43, 273–279. [Google Scholar] [CrossRef]
- Wurm, L. Efficiency test of new cultivars and rootstocks for apricot. Mitt. Klosterneubg. Rebe Wein Obstbau Fruchteverwert. 2014, 64, 30–38. [Google Scholar]
- Wurm, L.; Staples, M.; Riedle-Bauer, M. Influence of plant protection strategies and variety on tree soundness as well as vegetative and generative development with apricot. Mitt. Klosterneubg. Rebe Wein Obstbau. Fruchteverwert. 2018, 68, 46–66. [Google Scholar]
- Yordanov, I.A.; Tabakov, G.S.; Kaymakanov, V.P. Comparative study of Wavit® rootstock with two plum and two apricot cultivars in nursery. J. Agric. Sci. 2015, 60, 159–168. [Google Scholar] [CrossRef]
- Ondradu, G.; Casula, G.; Scalas, B. The influence of the rootstocks on the behavior of ´San Castrese´ apricot cultivar in south Sardinia. Acta Hortic. 2001, 701, 673–678. [Google Scholar]
- Pennone, F.; Abbate, V. Preliminary observations on the biological and horticultural behavior of different apricot rootstocks. Acta Hortic. 2001, 701, 347–350. [Google Scholar]
- Dhaliwal, G.S.; Dhillon, S.K. Effect of tree size on physico-chemical characteristics of fruits of guava cv. Sardar. Indian J. Hortic. 2003, 60, 312–317. [Google Scholar]
- Kumar, D.; Ahmed, N.; Srivastava, K.K.; Dar, T.A. Effect of trunk cross sectional area of rootstock on growth, yield, quality and leaf nutrient status in apricot (Prunus armeniaca) cv CITH-Apricot-2. Indian J. Agric. Sci. 2014, 84, 236–240. [Google Scholar]
- Westwood, M.N.; Roberts, A.N. The Relationship Between Trunk Cross-sectional Area and Weight of Apple Trees1. J. Am. Soc. Hortic. Sci. 1970, 95, 28–30. [Google Scholar] [CrossRef]
- Hartmann, H.T.; Kester, D.E. Plant Propagation: Principles and Practices; Prentice-Hall Inc.: Hoboken, NJ, USA, 1997. [Google Scholar]





| Soil Properties | Value | Limits | Evaluation |
|---|---|---|---|
| pH (KCl) | 7.24 | 0–14 | Slightly alkaline |
| Organic matter (%) | 3.27 | 1–5 | Medium |
| Total saline (%) | 0.03 | 0.01–0.50 | Non-saline |
| CaCO3 (%) | 7.25 | 1–20 | High |
| Available nitrogen (mg × kg−1) | 5.06 | 1–10 | Medium |
| Available phosphorous-pentoxide (mg × kg−1) | 197.13 | 0–350 | Excellent |
| Available potassium-oxide (mg × kg−1) | 257.87 | 0–350 | Medium |
| Available sodium (mg × kg−1) | 70.93 | 0–100 | Medium |
| Available magnesium (mg × kg−1) | 246.60 | 40–300 | Good |
| Available sulphate sulphur (mg × kg−1) | 15.68 | 4–35 | Medium |
| Available manganese (mg × kg−1) | 36.00 | 10–50 | Good |
| Available zinc (mg × kg−1) | 1.50 | 0.7–3 | Good |
| Available copper (mg × kg−1) | 4.11 | 0–6 | Good |
| Arany-type cohension index | 40.27 | 1–100 | Medium |
| Parameters | Value |
|---|---|
| Average yearly temperature | 10.7 °C |
| Average yearly temperature during the growing season | 15.7 °C |
| (between April and September) | |
| Average yearly precipitation | 536 mm |
| Annual mean number of shine hours | 2100 |
| Mean number of sunshine hours during the growing season | 850 |
| Rootstock Cultivar | Species |
|---|---|
| ‘Fehér besztercei’ (Fb) | Prunus domestica L. |
| Apricot seedling (As) | Prunus armeniaca L |
| ‘Myrobalan 29C’ (My) | Prunus cerasifera myrobalana Ehrh. |
| ‘Wavit’ (Wv) | Prunus domestica L. |
| ‘Montclar’ (Mc) | Prunus persica L. |
| ‘Rootpac R’ (RR) | P. cerasifera myr. X P. dulcis Mill. |
Publisher’s Note: MDPI stays neutral with regard to jurisdictional claims in published maps and institutional affiliations. |
© 2022 by the authors. Licensee MDPI, Basel, Switzerland. This article is an open access article distributed under the terms and conditions of the Creative Commons Attribution (CC BY) license (https://creativecommons.org/licenses/by/4.0/).
Share and Cite
Mendelné Pászti, E.; Bujdosó, G.; Mendel, Á. Vegetative Characteristics of Three Apricot Cultivars Grafted on Six Different Rootstocks. Horticulturae 2022, 8, 1004. https://doi.org/10.3390/horticulturae8111004
Mendelné Pászti E, Bujdosó G, Mendel Á. Vegetative Characteristics of Three Apricot Cultivars Grafted on Six Different Rootstocks. Horticulturae. 2022; 8(11):1004. https://doi.org/10.3390/horticulturae8111004
Chicago/Turabian StyleMendelné Pászti, Edina, Géza Bujdosó, and Ákos Mendel. 2022. "Vegetative Characteristics of Three Apricot Cultivars Grafted on Six Different Rootstocks" Horticulturae 8, no. 11: 1004. https://doi.org/10.3390/horticulturae8111004
APA StyleMendelné Pászti, E., Bujdosó, G., & Mendel, Á. (2022). Vegetative Characteristics of Three Apricot Cultivars Grafted on Six Different Rootstocks. Horticulturae, 8(11), 1004. https://doi.org/10.3390/horticulturae8111004
