A Novel Technique Using Advanced Oxidation Process (UV-C/H2O2) Combined with Micro-Nano Bubbles on Decontamination, Seed Viability, and Enhancing Phytonutrients of Roselle Microgreens
Abstract
:1. Introduction
2. Materials and Methods
2.1. Seeds and Decontamination Treatments
2.2. Seed Germination
2.3. Seed Sprouting and Microgreen Growth
2.4. Microbiological Analysis
2.5. Measurement of Hydroxyl Radical Concentration
2.6. Microgreens Physio-Biochemical Properties
2.6.1. Fresh Weight, Color, and Total Chlorophyll Content
2.6.2. Total Ascorbic Acid Content
2.6.3. Total Flavonoid and Phenolic Content, and Antioxidant Activity
2.7. Statistical Analysis
3. Results
3.1. Effects of Decontamination Treatments on Microbial Reduction of Roselle Seeds and OH• Radicals’ Generation
3.2. Effects of Decontamination Treatments on Seed Germination
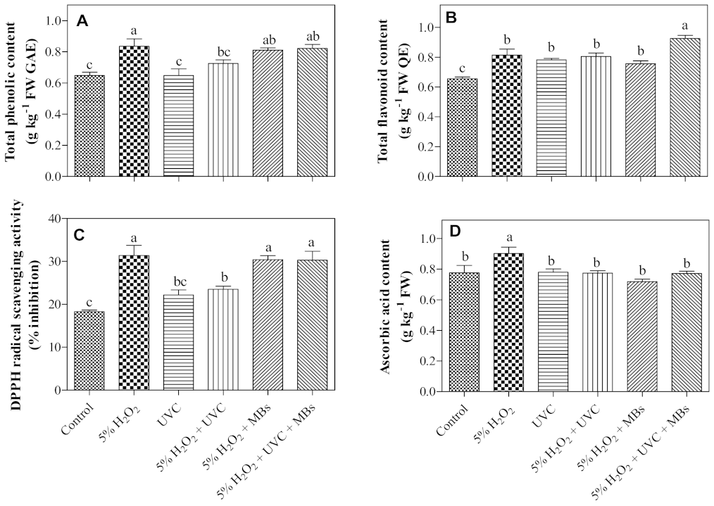
3.3. Physio-Biochemicals Properties of Roselle Microgreens Grown from Treated Seeds
4. Conclusions
Author Contributions
Funding
Institutional Review Board Statement
Informed Consent Statement
Data Availability Statement
Conflicts of Interest
References
- Darmanin, M.; Kozak, D.; Mallia, J.O.; Blundell, R.; Gatt, R.; Valdramidis, V.P. Generation of plasma functionalized water: Antimicrobial assessment and impact on seed germination. Food Control 2020, 113, 107168. [Google Scholar] [CrossRef]
- Kyriacou, M.C.; Rouphael, Y.; Gioia, F.D.; Kyratzis, A.; Serio, F.; Renna, M.; Pascale, S.D.; Santamaria, P. Micro-scale vegetable production and the rise of microgreens. Trends Food Sci. Technol. 2016, 57, 103–115. [Google Scholar] [CrossRef]
- Xiao, Z.; Lester, G.E.; Luo, Y.; Wang, Q. Assessment of vitamin and carotenoid concentrations of emerging food products: Edible microgreens. J. Agric. Food Chem. 2012, 60, 7644–7651. [Google Scholar] [CrossRef]
- Ghoora, M.D.; Babu, D.R.; Srividya, N. Nutrient composition, oxalate content ant nutritional ranking of ten culinary microgreens. J. Food Compos. Anal. 2020, 91, 103495. [Google Scholar] [CrossRef]
- Holliday, S.L.; Scouten, A.J.; Beuchat, L.R. Efficacy of chemical treatments in eliminating Salmonella and Escherichia coli O157:H7 on sacrified and polished alfalfa seeds. J. Food Prot. 2001, 64, 1489–1495. [Google Scholar] [CrossRef]
- Islam, A.K.M.A.; Jamini, T.S.; Islam, A.K.M.M.; Yeasmin, S. Roselle: A functional food with high nutritional and medicinal values. Fundam. Appl. Agric. 2016, 1, 44–49. [Google Scholar]
- Xiao, Z.; Nou, X.; Luo, Y.; Wang, Q. Comparison of the growth of Escherichia coli O157: H7 and O104: H4 during sprouting and microgreen production from contaminated radish seeds. Food Microbiol. 2014, 44, 60–63. [Google Scholar] [CrossRef]
- Riggio, G.M.; Wang, Q.; Kniel, K.E.; Gibson, K.E. Microgreens-a review of food safety consideration along the farm to fork continuum. Int. J. Food Microbiol. 2019, 290, 76–85. [Google Scholar] [CrossRef]
- Wang, Q.; Kniel, K.E. Survival and transfer of murin norovirus within a hydroponic system during kale and mustard microgreen harvesting. Appl. Environ. Microbiol. 2016, 82, 705–713. [Google Scholar] [CrossRef] [PubMed] [Green Version]
- U.S. Food and Drug Administration. Guidance for Industry: Reducing Microbial Food Safety Hazards for Sprouted Seeds; U.S. Food and Drug Administration: Maryland, MD, USA, 1999. [Google Scholar]
- McDonald, T.; Komulainen, H. Carcinogenicity of the chlorination disinfection by-product MX. J. Environ. Sci. Health C. Environ. Carcinog. Ecotoxicol. Rev. 2005, 23, 163–214. [Google Scholar] [CrossRef]
- Wang, W.; Zhang, X.; Wu, Q.; Du, Y.; Hu, H. Degradation of natural organic matter by UV/chlorine oxidation: Molecular decomposition, formation of oxidation byproducts and cytotoxicity. Water Res. 2017, 124, 251–258. [Google Scholar] [CrossRef]
- Fan, X.; Song, Y. Advanced oxidation process as a postharvest decontamination technology to improve microbial safety of fresh produce. J. Agric. Food Chem. 2020, 68, 12916–12926. [Google Scholar] [CrossRef] [PubMed]
- Wang, S.; Chen, J.; Wakeling, C.; Bach, S.; Orban, S.; Delaquis, P. Disinfection of alfalfa and radish sprouting seed using oxidizing agents and treatments compliant with organic food production principles. J. Food Prot. 2020, 83, 779–787. [Google Scholar] [CrossRef]
- Barba-Espin, G.; Hernandez, A.; Diaz-Vivancos, P. Role of H2O2 in pea seed germination. Plant Signal. Behav. 2012, 7, 193–195. [Google Scholar] [CrossRef] [PubMed] [Green Version]
- Szopinska, D. Effects of hydrogen peroxide treatment on the germination, vigour and health of Zizinnia elegans seeds. Folia Hortic. 2014, 26, 19–29. [Google Scholar] [CrossRef] [Green Version]
- Santhirasegaram, V.; Razali, Z.; George, D.S.; Somasundram, C. Comparison of UV-C treatment and thermal pasteurization on quality of Chokanan mango (Mangifera indica L.) juice. Food Bioprod. Processing 2015, 94, 313–321. [Google Scholar] [CrossRef]
- Siddiqui, A.; Dawar, S.; Zaki, M.J.; Hamid, N. Role of ultra violet (UV-C) radiation in the control of root infecting fungi on groundnut and mung bean. Pak. J. Bot. 2011, 43, 2221–2224. [Google Scholar]
- Turtoi, M. Ultraviolet light treatment of fresh fruits and vegetables surface: A review. J. Agroaliment. Processes Technol. 2013, 19, 325–337. [Google Scholar]
- Crowe, K.M.; Bushway, A.A.; Bushway, R.J.; Davis-Dentici, K.; Hazen, R.A. A comparison of single oxidants versus advanced oxidation processes as chlorine-alternaltives for wild strawberry processing (Vaccinium angustifolium). Int. J. Food Microbiol. 2007, 116, 25–31. [Google Scholar] [CrossRef] [PubMed]
- Xiang, Y.Y.; Fang, J.Y.; Shang, C. Kinetics and pathways of ibuprofen degradation by the UV/chlorine advanced oxidation processes. Water Res. 2016, 90, 301–308. [Google Scholar] [CrossRef]
- Agarwal, A.; Ng, W.G.; Liu, Y.Y. Principal and application of microbuble and nanobubble technology for water treatment. Chemosphere 2011, 84, 1175–1180. [Google Scholar] [CrossRef] [PubMed]
- Takahashi, M.; Chiba, K.; Li, P. Free-radical generation from collapsing microbubbles in the absence of a dynamic stimulus. J. Phys. Chem. B 2007, 111, 1343–1347. [Google Scholar] [CrossRef] [PubMed]
- Klintham, P.; Tongchitpakdee, S.; Chinsirikul, W.; Mahakarnchanakul, W. Combination of microbubbles with oxidizing sanitizers to eliminate Escherichia coli and Salmonella Typhimurium on Thai leafy vegetables. Food Control 2017, 77, 260–269. [Google Scholar] [CrossRef]
- Takahashi, M.; Ishikawa, H.; Asano, T.; Horibe, H. Effect of microbubbles on ozonized water for photoresist removal. J. Phys. Chem. C 2012, 116, 12578–12583. [Google Scholar] [CrossRef]
- ISTA. International Rules for Seed Testing; The International Seed Testing Association (ISTA): Zurich, Switzerland, 2022. [Google Scholar]
- Park, J.; Choi, H.; Cho, J. Kinetic decomposition of ozone and para-chlorobenzoic zcid (pCBA) during catalytic ozonation. Water Res. 2004, 38, 2285–2292. [Google Scholar] [CrossRef]
- Moran, R. Formulae for determination of chlorophyllous pigments extracted with N,N-dimethylformamide. Plant Physiol. 1982, 69, 1376–1381. [Google Scholar] [CrossRef] [Green Version]
- Roe, J.H.; Milles, M.B.; Oesterling, M.J.; Damron, C.M. The determination of diketo-l-gulonic acid, dehydro-l-ascorbic acid and l-ascorbic acid in the same tissue extract by the 2,4-dinitrophenylhydrazine method. J. Biol. Chem. 1948, 174, 201–208. [Google Scholar] [CrossRef]
- Rajurkar, N.S.; Hande, S.M. Estimation of phytochemical content and antioxidant activity of some selected traditional Indian medicinal plants. Indian J. Pharm. Sci. 2011, 73, 146–151. [Google Scholar] [CrossRef] [Green Version]
- Toor, R.K.; Savage, G.P. Antioxidant activity in different fractions of tomatoes. Food Res. Int. 2005, 38, 487–494. [Google Scholar] [CrossRef]
- Lin, Y.; Tang, C. Determination of total phenolic and flavonoid contents in selected fruits and vegetables, as well as their stimulatory effects on mouse splenocyte proliferation. Food Chem. 2007, 101, 140–147. [Google Scholar] [CrossRef]
- Linley, E.; Denyer, S.P.; McDonnell, G.; Simons, C.; Maillard, J. Use of hydrogen peroxide as a biocide: New consideration of its mechanisms of biocidal action. J. Antimicrob. Chemother. 2012, 67, 1589–1596. [Google Scholar] [CrossRef] [Green Version]
- Guan, W.; Fan, X.; Yan, R. Effect of combination of ultraviolet light and hydrogen peroxide on inactivation of Escherichia coli O157:H7, native microbial loads, and quality of button mushrooms. Food Control 2013, 34, 554–559. [Google Scholar] [CrossRef]
- Wang, J.; Li, D. Enhancing advanced oxidation process by microbubbles technology and the analysis of its degradation process. IOP Conf. Ser. Earth Environ. Sci. 2018, 146, 012048. [Google Scholar] [CrossRef]
- Phaephiphat, A.; Mahakarnchanakul, W. Surface decontamination of Salmonella Typhimurium and Escherichia coli on sweet basil by ozone microbubbles. Cogent Food Agric. 2018, 4, 1558496. [Google Scholar] [CrossRef]
- Xie, Y.; Hajdok, C.; Mittal, G.S.; Warriner, K. Inactivation of MS2 F(+) coliphage on lettuce by a combionation of UV light and hydrogen peroxide. J. Food Prot. 2008, 71, 903–907. [Google Scholar] [CrossRef]
- Yoon, J.; Lee, S. Review: Comparison of the effectiveness of decontaminating strategies for fresh fruits and vegetables and related limitations. Crit. Rev. Food Sci. Nutr. 2019, 58, 3189–3208. [Google Scholar] [CrossRef] [PubMed]
- Ogawa, K.; Iwabuchi, M.A. Mechanism for promoting the germination of Zinnia elegans seeds by hydrogen peroxide. Plant Cell Physiol. 2001, 42, 286–291. [Google Scholar] [CrossRef] [Green Version]
- Barba-Espín, G.; Diaz-Vivancos, P.; Clemente-Moreno, M.J.; Faize, M.; Albacete, A.; Perez-Alfocea, F.; Hernandez, J.A. Hydrogen peroxide as an inducer of seed germination: Its effects on antioxidative metabolism and plant hormone contents in pea seedlings. Acta Hortic. 2011, 898, 229–236. [Google Scholar] [CrossRef]
- Swieca, M. Hydrogen peroxide treatment and the phenylpropanoid pathway precursors feeding improve phenolics and antioxidant capacity of quinoa sprouts via an induction of L-tyrosine and L-phenylalanine ammonia-lases activities. J. Chem. 2016, 2016, 1936516. [Google Scholar] [CrossRef] [Green Version]
- Hao, L.H.; Wang, W.X.; Chen, C.; Wang, Y.F.; Liu, T.; Li, X.; Shang, Z.L. Extracellular ATP promotes stomatal opening of Arabidopsis thaliana through heterotrimeric G protein a subunit and reactive oxygen species. Mol. Plant 2012, 5, 852–864. [Google Scholar] [CrossRef] [Green Version]
- Kim, Y.X.; Steudel, E. Gating of aquaporins by light and reactive oxygen species in leaf parenchyma cells of the midrib of Zea mays. J. Exp. Bot. 2009, 60, 547–556. [Google Scholar] [CrossRef] [PubMed] [Green Version]




| Treatments | [OH•] (M) | 
|---|---|
| 5% H2O2 + UV-C | 3.32 × 10−14 c | 
| 5% H2O2 + MBs | 1.24 × 10−13 b | 
| 5% H2O2 + UV-C + MBs | 5.25 × 10−13 a | 
| Treatment | Germination Rate (%) | Germination Index | DTE | No. of Fungal- Infected Seeds z | No. of Abnormal Seedlings z | 
|---|---|---|---|---|---|
| No wash | 56.00 ± 2.08 d | 20.30 ± 1.28 c | 1.20 ± 0.03 a | 3.15 ± 0.14 a | 4.63 ± 0.44 a | 
| Control | 74.00 ± 3.61 c | 31.56 ± 0.27 b | 1.03 ± 0.00 b | 1.93 ± 0.22 b | 3.08 ± 0.11 b | 
| 5% H2O2 | 85.67 ± 0.67 a | 38.27 ±0.41 a | 1.04 ± 0.02 b | 1.44 ± 0.35 bc | 1.71 ± 0.60 c | 
| UV-C | 74.67 ± 1.76 bc | 34.19 ± 0.30 b | 1.06 ± 0.02 b | 1.89 ± 0.38 b | 3.23 ± 0.33 b | 
| 5% H2O2 + UV-C | 84.67 ± 2.85 a | 37.97 ± 0.26 a | 1.03 ± 0.01 b | 0.85 ± 0.30 c | 2.78 ± 0.31 bc | 
| 5% H2O2 + MBs | 83.00 ± 1.73 a | 38.70 ± 1.63 a | 1.01 ± 0.01 b | 0.60 ± 0.38 c | 3.16 ± 0.26 b | 
| 5% H2O2 + UV-C + MBs | 80.98 ± 0.02 ab | 38.08 ± 0.85 a | 1.01 ± 0.01 b | 0.50 ± 0.29 c | 3.36 ± 0.71 ab | 
| Treatment | Fresh Weight (g/100 Plants) | Total Chlorophyll Content (g kg−1 FW) | L* | a* | b* | Hue Angle (ho) | 
|---|---|---|---|---|---|---|
| Control | 27.62 ± 0.49 bc | 0.62 ± 0.01 a | 44.71 ± 6.04 a | −13.21 ± 0.58 a | 19.80 ± 0.49 a | 121.20 ± 2.02 a | 
| 5% H2O2 | 28.64 ± 0.84 ab | 0.63 ± 0.01 a | 46.09 ± 3.63 a | −12.62 ± 0.82 a | 21.83 ± 1.38 a | 122.30 ± 2.16 a | 
| UV-C | 27.31 ± 0.37 bc | 0.60 ± 0.02 a | 42.44 ± 3.82 a | −13.57 ± 0.41 a | 22.15 ± 1.93 a | 122.60 ± 2.22 a | 
| 5% H2O2 + UV-C | 26.91 ± 0.61 c | 0.64 ± 0.04 a | 44.36 ± 4.55 a | −13.80 ± 0.39 a | 21.98 ± 1.22 a | 121.90 ± 1.51 a | 
| 5% H2O2 + MBs | 30.08 ± 0.42 a | 0.60 ± 0.01 a | 47.38 ± 5.34 a | −13.28 ± 0.70 a | 22.43 ± 0.22 a | 120.40 ± 1.06 a | 
| 5% H2O2 + UV-C + MBs | 26.40 ± 0.29 c | 0.58 ± 0.02 a | 44.18 ± 4.81 a | −13.66 ± 0.95 a | 19.68 ± 0.55 a | 122.90 ± 2.45 a | 
| Publisher’s Note: MDPI stays neutral with regard to jurisdictional claims in published maps and institutional affiliations. | 
© 2022 by the authors. Licensee MDPI, Basel, Switzerland. This article is an open access article distributed under the terms and conditions of the Creative Commons Attribution (CC BY) license (https://creativecommons.org/licenses/by/4.0/).
Share and Cite
Phornvillay, S.; Yodsarn, S.; Oonsrithong, J.; Srilaong, V.; Pongprasert, N. A Novel Technique Using Advanced Oxidation Process (UV-C/H2O2) Combined with Micro-Nano Bubbles on Decontamination, Seed Viability, and Enhancing Phytonutrients of Roselle Microgreens. Horticulturae 2022, 8, 53. https://doi.org/10.3390/horticulturae8010053
Phornvillay S, Yodsarn S, Oonsrithong J, Srilaong V, Pongprasert N. A Novel Technique Using Advanced Oxidation Process (UV-C/H2O2) Combined with Micro-Nano Bubbles on Decontamination, Seed Viability, and Enhancing Phytonutrients of Roselle Microgreens. Horticulturae. 2022; 8(1):53. https://doi.org/10.3390/horticulturae8010053
Chicago/Turabian StylePhornvillay, Surisa, Suwanan Yodsarn, Jiraporn Oonsrithong, Varit Srilaong, and Nutthachai Pongprasert. 2022. "A Novel Technique Using Advanced Oxidation Process (UV-C/H2O2) Combined with Micro-Nano Bubbles on Decontamination, Seed Viability, and Enhancing Phytonutrients of Roselle Microgreens" Horticulturae 8, no. 1: 53. https://doi.org/10.3390/horticulturae8010053
APA StylePhornvillay, S., Yodsarn, S., Oonsrithong, J., Srilaong, V., & Pongprasert, N. (2022). A Novel Technique Using Advanced Oxidation Process (UV-C/H2O2) Combined with Micro-Nano Bubbles on Decontamination, Seed Viability, and Enhancing Phytonutrients of Roselle Microgreens. Horticulturae, 8(1), 53. https://doi.org/10.3390/horticulturae8010053
 
         
                                                

 
                         
       