Efficacy of Entomopathogenic Trichoderma Isolates against Sugarcane Woolly Aphid, Ceratovacuna lanigera Zehntner (Hemiptera: Aphididae)
Abstract
:1. Introduction
2. Materials and Methods
2.1. Collection of Soil Samples
2.2. Collection of Insect Samples
2.3. Isolation of Fungi by Insect Bait Method (IBM)
2.4. Morphological Characterization
2.4.1. Macroscopic Characterization
2.4.2. Microscopic Characterization
2.5. Fungi Identification Using the DNA Sequences of the ITS 1-5.8 S-ITS 2 Regions of the rDNA
2.5.1. DNA Amplification and Visualization
2.5.2. Sequencing and Phylogenetic Analysis
2.6. Fungi Conidia Suspensions Preparation
2.7. Sugarcane Woolly Aphids Rearing and Bioassay Chamber Preparation
2.8. Efficacy Determination Bioassay
2.9. Determination of Lethal Concentrations and Lethal Times
2.10. Statistical Analysis
3. Results
3.1. Fungi Isolates
3.2. Morphological Characterization
3.3. Molecular Analysis
3.3.1. DNA Amplification
3.3.2. Sequence Analysis of the ITS 1-5.8 S-ITS 2 Regions of the rDNA
3.3.3. Phylogenetic Analysis
3.4. Efficacy Evaluation
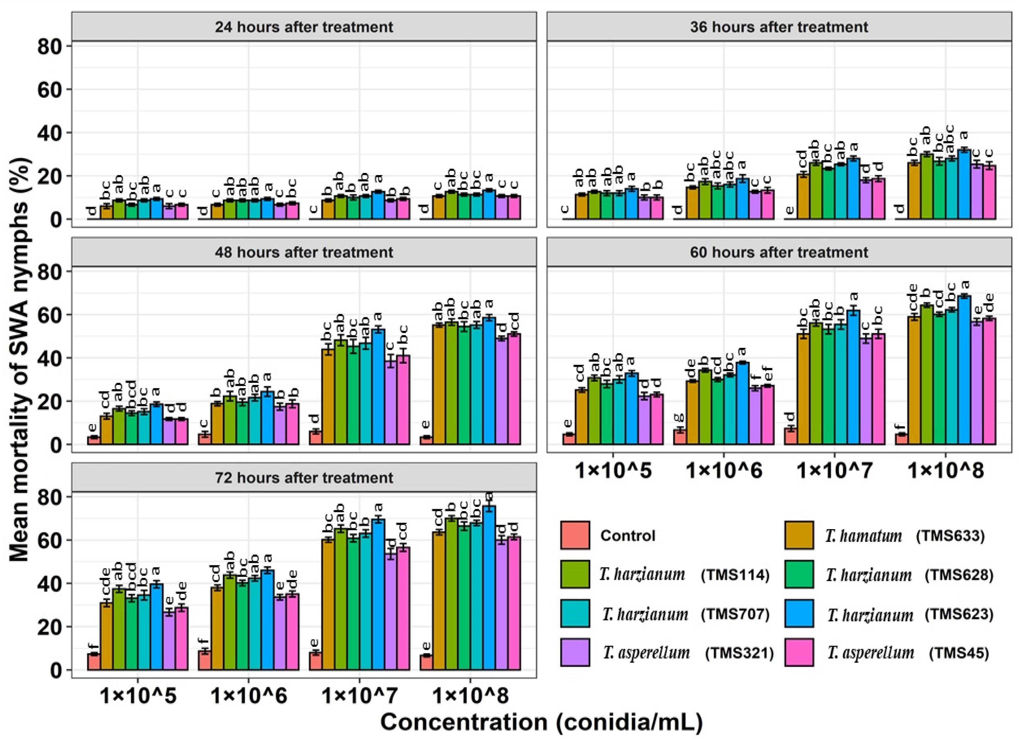
3.4.1. Efficacy Evaluation against Nymphs
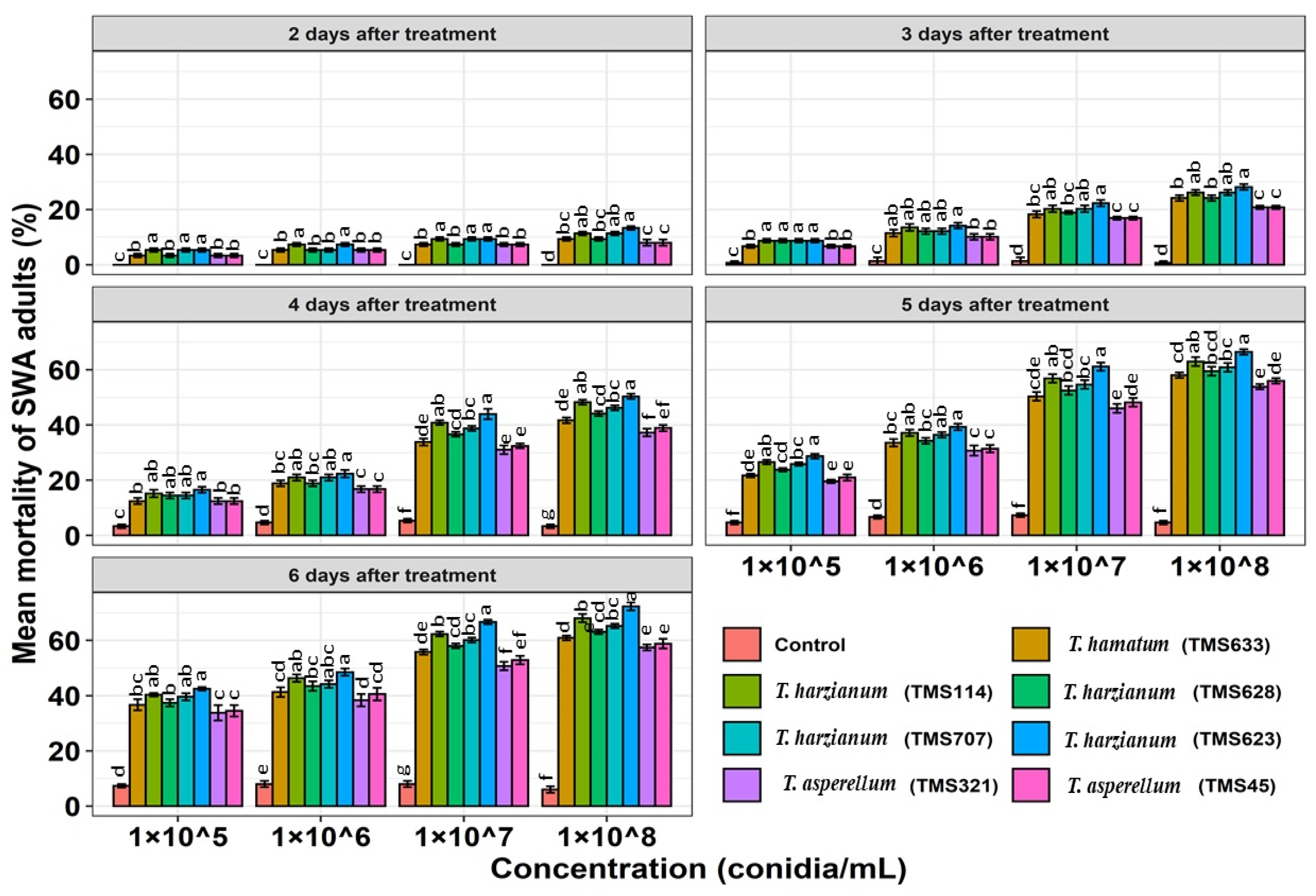
3.4.2. Efficacy Evaluation against Adults
3.5. Lethal Concentrations and Lethal Times for Isolates against C. lanigera
4. Discussion
5. Conclusions
Author Contributions
Funding
Institutional Review Board Statement
Informed Consent Statement
Data Availability Statement
Acknowledgments
Conflicts of Interest
References
- Patil, A.S.; Magar, S.B.; Shinde, V.D. Biological control of the sugarcane Woolly Aphid (Ceratovacuna lanigera) in Indian sugarcane through the release of predators. In Proceedings of the XXVI Congress, International Society of Sugar Cane Technologists (ISSCT), Durban, South Africa, 29 July–2 August 2007; pp. 797–804. [Google Scholar]
- Patil, N.B.; Mallapur, C.P.; Sujay, Y.H. Efficacy of Acremonium zeylanicum against sugarcane wooly aphid under laboratory conditions. J. Biol. Control 2011, 25, 124–126. [Google Scholar]
- Mukunthan, N.; Srikanth, J.; Singaravelu, B.; Asokan, S.; Kurup, N.K.; Goud, Y.S. Assessment of woolly aphid impact on growth, yield and quality parameters of sugarcane. Sugar Tech. 2008, 10, 143–149. [Google Scholar] [CrossRef]
- Khosravi, R.; Sendi, J.J.; Zibaee, A.; Shokrgozar, M.A. Virulence of four Beauveria bassiana (Balsamo) (Asc., Hypocreales) isolates on rose sawfly, Arge rosae under laboratory condition. J. King Saud Univ. Sci. 2015, 27, 49–53. [Google Scholar] [CrossRef] [Green Version]
- Roy, H.E.; Brodie, E.L.; Chandler, D.; Goettel, M.S.; Pell, J.K.; Wajnberg, E.; Vega, F.E. Deep space and hidden depths: Understanding the evolution and ecology of fungal entomopathogens. In The Ecology of Fungal Entomopathogens; Springer: Dordrecht, The Netherlands, 2009; pp. 1–6. [Google Scholar]
- Roberts, D.W.; Humber, R.A. Entomopathogenic Fungi. In Biology of Conidial Fungi; Cole, G.T., Kendrick, B., Eds.; Academic Press: New York, NY, USA, 1981; pp. 201–236. [Google Scholar]
- Inglis, G.D.; Goettel, M.S.; Butt, T.M.; Strasser, H. Use of hyphomycetous fungi for managing insect pests. In Fungi as Biocontrol Agents: Progress, Problems and Potential; Butt, T.M., Jackson, C.W., Magan, N., Eds.; CABI International/AAFC: Wallingford, UK, 2001; pp. 23–69. [Google Scholar]
- Barbarin, A.M.; Jenkins, N.E.; Rajotte, E.G.; Thomas, M.B. A preliminary evaluation of the potential of Beauveria bassiana for bed bug control. J. Invertebr. Pathol. 2012, 111, 82–85. [Google Scholar] [CrossRef]
- Wakil, W.; Schmitt, T.; Kavallieratos, N.G. Persistence and efficacy of enhanced diatomaceous earth, imidacloprid, and Beauveria bassiana against three coleopteran and one psocid stored-grain insects. Environ. Sci. Pollut. Res. 2021, 28, 23459–23472. [Google Scholar] [CrossRef]
- Usman, M.; Wakil, W.; Piñero, J.C.; Wu, S.; Toews, M.D.; Shapiro-Ilan, D.I. Evaluation of Locally Isolated Entomopathogenic Fungi Against Multiple Life Stages of Bactrocera zonata and Bactrocera dorsalis (Diptera: Tephritidae): Laboratory and Field Study. Microorganisms 2021, 9, 1791. [Google Scholar] [CrossRef] [PubMed]
- Gulzar, S.; Wakil, W.; Shapiro-Ilan, D. Combined Effect of Entomopathogens against Thrips tabaci Lindeman (Thysanoptera: Thripidae): Laboratory, Greenhouse and Field Trials. Insects 2021, 12, 456. [Google Scholar] [CrossRef]
- Shah, F.A.; Wang, C.S.; Butt, T.M. Nutrition influences growth and virulence of the insect-pathogenic fungus Metarhizium anisopliae. FEMS Microbiol. Lett. 2005, 251, 259–266. [Google Scholar] [CrossRef] [PubMed] [Green Version]
- Khaleil, M.M.M. Biocontrol potential of entomopathogenic fungus, Trichoderma hamatum against the cotton aphid, Aphis Gossypii. IOSR J. Environ. Sci. Toxicol. Food Technol. (IOSR-JESTFT) 2016, 10, 11–20. [Google Scholar]
- Abdelaziz, O.; Mourad, M.S.; Oufroukh, A.; Kemal, A.B.; Karaca, I.; Kouadri, F.; Naima, B.; Bensegueni, A. Pathogenicity of three entomopathogenic fungi, to the aphid species Metopolophium dirhodum (Walker). (Homoptera: Aphididae). Egypt. J. Biol. Pest Control 2018, 28, 24. [Google Scholar] [CrossRef]
- Dong, C.; Zhang, J.; Chen, W.; Huang, H.; Hu, Y. Characterization of a newly discovered China variety of Metarhizium anisopliae (M. anisopliae var. dcjhyium) for virulence to termites, isoenzyme, and phylogenic analysis. Microbiol. Res. 2007, 162, 53–61. [Google Scholar] [CrossRef]
- Jung, H.S.; Lee, H.B.; Kim, K.; Lee, E.Y. Selection of Lecanicillium strains for aphid (Myzus persicae) control. Korean J. Mycol. 2006, 34, 112–118. [Google Scholar]
- Meitkeiaski, R.T.; Pell, J.K.; Clark, S.J. Influence of pesticide use on the natural occurance of entomopathogenic fungi in arable soils in UK: Field and laboratory comparison. Biocontrol Sci. Technol. 1997, 7, 565–757. [Google Scholar]
- Kepenekci, İ.; Yesilayer, A.; Atay, T.; Tulek, A. Pathogenicity of the entomopathogenic fungus, Purpureocillium lilacium TR1 against the Black Cherry Aphid, Myzus cerasi Fabricus (Hemiptera: Aphididae). Munis Entomol. Zool. 2014, 10, 53–60. [Google Scholar]
- Grinyer, J.; McKay, M.; Nevalainen, H.; Herbert, B.R. Fungal proteomics: Initial mapping of biological control strain Trichoderma harzianum. Curr. Genet. 2004, 45, 163–169. [Google Scholar] [CrossRef]
- Samuels, G.J. Trichoderma: Systematics, the sexual state, and ecology. Phytopathology 2006, 96, 195–206. [Google Scholar] [CrossRef] [Green Version]
- Zhang, C.L.; Liu, S.P.; Lin, F.C.; Kubicek, C.P.; Druzhinina, I.S. Trichoderma taxi sp. nov., an endophytic fungus from Chinese yew Taxus mairei. FEMS Microbiol. Lett. 2007, 270, 90–96. [Google Scholar] [CrossRef] [PubMed]
- Howell, C.R. Mechanisms employed by Trichoderma species in the biological control of plant diseases: The history and evolution of current concepts. Plant Dis. 2003, 87, 4–10. [Google Scholar] [CrossRef] [Green Version]
- Küçük, Ç.; Kivanç, M. Isolation of Trichoderma spp. and determination of their antifungal, biochemical and physiological features. Turk. J. Biol. 2004, 27, 247–253. [Google Scholar]
- Chaverri, P.; Castlebury, L.A.; Overton, B.E.; Samuels, G.J. Hypocrea/Trichoderma: Species with conidiophore elongations and green conidia. Mycologia 2003, 95, 1100–1140. [Google Scholar] [CrossRef]
- Rey, M.; Delgado-Jarana, J.; Benitez, T. Improved antifungal activity of a mutant of Trichoderma harzianum CECT 2413 which produces more extracellular proteins. Appl. Microbiol. Biotechnol. 2001, 55, 604–608. [Google Scholar] [CrossRef]
- Lu, B.; Druzhinina, I.S.; Fallah, P.; Chaverri, P.; Gradinger, C.; Kubicek, C.P.; Samuels, G.J. Hypocrea/Trichoderma species with pachybasium-like conidiophores: Teleomorphs for T. minutisporum and T. polysporum and their newly discovered rela-tives. Mycologia 2004, 96, 310–342. [Google Scholar] [CrossRef]
- Weindling, R. Trichoderma lignorum as a parasite of other soil fungi. Phytopathology 1932, 22, 837–845. [Google Scholar]
- Nawaz, A.; Gogi, M.D.; Naveed, M.; Arshad, M.; Sufyan, M.; Binyameen, M.; Islam, S.U.; Waseem, M.; Ayyub, M.B.; Arif, M.J.; et al. In vivo and in vitro assessment of Trichoderma species and Bacillus thuringiensis integration to mitigate insect pests of brinjal (Solanum melongena L.). Egypt. J. Biol. Pest Control 2020, 30, 60. [Google Scholar] [CrossRef]
- Mukherjee, A.; Debnath, P.; Ghosh, S.K.; Medda, P.K. Biological control of papaya aphid (Aphis gossypii Glover) using entomopathogenic fungi. Vegetos 2020, 33, 1–10. [Google Scholar] [CrossRef]
- Nasution, L.; Corah, R.; Nuraida, N.; Siregar, A.Z. Effectiveness Trichoderma and Beauveria bassiana on Larvae of Oryctes rhinoceros On Palm Oil Plant (Elaeis Guineensis Jacq.) In Vitro. Int. J. Environ. Agric. Biotechnol. 2018, 3, 239050. [Google Scholar] [CrossRef] [Green Version]
- Khaskheli, X.C.; Gong, G.; Poussio, G.B.; Otho, S.A. The use of promising entomopathogenic fungi for eco-friendly man-agement of Helicoverpa armigera Hubner in chickpea. Int. J. Environ. Agric. Biotechnol. 2019, 4, 704–712. [Google Scholar]
- Ganassi, S.; Moretti, A.; Stornelli, C.; Fratello, B.; Pagliai, A.B.; Logrieco, A.; Sabatini, M.A. Effect of Fusarium, Paecilomyces and Trichoderma formulations against aphid Schizaphis graminum. Mycopathologia 2001, 151, 131–138. [Google Scholar] [CrossRef]
- Rodríguez-González, Á.; Carro-Huerga, G.; Mayo-Prieto, S.; Lorenzana, A.; Gutiérrez, S.; Peláez, H.J.; Casquero, P.A. Investigations of Trichoderma spp. and Beauveria bassiana as biological control agent for Xylotrechus arvicola, a major insect pest in Spanish vineyards. J. Econ. Entomol. 2018, 111, 2585–2591. [Google Scholar] [CrossRef] [PubMed] [Green Version]
- Pacheco, J.C.; Poltronieri, A.S.; Porsani, M.V.; Zawadneak, M.A.C.; Pimentel, I.C. Entomopathogenic potential of fungi isolated from intertidal environments against the cabbage aphid Brevicoryne brassicae (Hemiptera: Aphididae). Biocontrol Sci. Technol. 2017, 27, 496–509. [Google Scholar] [CrossRef]
- Siddiquee, S. Practical Handbook of the Biology and Molecular Diversity of Trichoderma Species from Tropical Regions; Springer International Publishing: Cham, Swizerland, 2017; pp. 22–23. [Google Scholar]
- Zimmermann, G. The ‘Galleria bait method’ for detection of entomopathogenic fungi in soil. J. Appl. Entomol. 1986, 102, 213–215. [Google Scholar] [CrossRef]
- Hasyim, A. Patogenisitas Isolat Beauveria bassiana (Balsamo) Vuillemin dalam Mengendalikan Hama Penggerek Bonggol Pisang, Cosmopolites sordidus Germar. J. Horti. 2003, 13, 120–130. [Google Scholar]
- Zimmerman, G. Suggestions for a standardised method for reisolation of entomopathogenic fungi from soil using the bait method (G. Zimmermann, J. Appl. Ent. 102,213-215, 1986). IOBC/WPRS Bull. Insect Pathog. Insect Parasit. Nematodes 1998, 21, 289. [Google Scholar]
- Inglis, G.D.; Enkerli, J.; Goettel, M.S. Laboratory techniques used for entomopathogenic fungi: Hypocreales. Man. Tech. Invertebr. Pathol. 2012, 2, 18–53. [Google Scholar]
- Cubero, O.F.; Crespo, A.N.A.; Fatehi, J.; Bridge, P.D. DNA extraction and PCR amplification method suitable for fresh, herbarium-stored, lichenized, and other fungi. Plant Syst. Evol. 1999, 216, 243–249. [Google Scholar] [CrossRef]
- White, T.J.; Bruns, T.; Lee, S.; Taylor, J.W. Amplification and direct sequencing of fungal ribosomal RNA genes for phylogenetics. PCR Protoc. A Guide Methods Appl. 1990, 18, 315–322. [Google Scholar]
- Castillo, M.G.; Rivera, I.A.; Padilla, A.B.; Lara, F.; Victoriano, C.N.; Herrera, R.R. Isolation and identification of novel entomopathogenic fungal strains of the Beauveria and Metarhizium generous. BioTechnol. Indian J. 2012, 6, 386–395. [Google Scholar]
- Sneath, P.H.A.; Sokal, R.R. Numerical Taxonomy; Freeman: San Francisco, LA, USA, 1973. [Google Scholar]
- Kumar, S.; Stecher, G.; Li, M.; Knyaz, C.; Tamura, K. MEGA X: Molecular Evolutionary Genetics Analysis across computing platforms. Mol. Biol. Evol. 2018, 35, 1547–1549. [Google Scholar] [CrossRef]
- Kimura, M. A simple method for estimating evolutionary rate of base substitutions through comparative studies of nucleotide sequences. J. Mol. Evol. 1980, 16, 111–120. [Google Scholar] [CrossRef] [PubMed]
- Javed, K.; Javed, H.; Mukhtar, T.; Qiu, D. Efficacy of Beauveria bassiana and Verticillium lecanii for the management of whitefly and aphid. Pak. J. Agric. Sci. 2019, 56, 669–674. [Google Scholar]
- Umaru, F.F.; Simarani, K. Evaluation of the Potential of Fungal Biopesticides for the Biological Control of the Seed Bug, Elasmolomus pallens (Dallas) (Hemiptera: Rhyparochromidae). Insects 2020, 11, 277. [Google Scholar] [CrossRef] [PubMed]
- Herlinda, S. Spore density and viability of entomopathogenic fungal isolates from Indonesia, and their virulence against Aphis gossypii Glover (Homoptera: Aphididae). Trop. Life Sci. Res. 2010, 21, 11. [Google Scholar]
- Ujjan, A.A.; Shahzad, S. Use of entomopathogenic fungi for the control of mustard aphid (Lipaphis erysimi) on canola (Brassica napus L.). Pak. J. Bot. 2012, 44, 2081–2086. [Google Scholar]
- Shrestha, G.; Enkegaard, A.; Steenberg, T. Laboratory and semi-field evaluation of Beauveria bassiana (Ascomycota: Hypocreales) against the lettuce aphid, Nasonovia ribisnigri (Hemiptera: Aphididae). Biol. Control. 2015, 85, 37–45. [Google Scholar] [CrossRef]
- Shi, W.B.; Feng, M.G. Lethal effect of Beauveria bassiana, Metarhizium anisopliae, and Paecilomyces fumosoroseus on the eggs of Tetranychus cinnabarinus (Acari: Tetranychidae) with a description of a mite egg bioassay system. Biol. Control. 2004, 30, 165–173. [Google Scholar] [CrossRef]
- Abbott, W.S. A method of computing the effectiveness of an insecticide. J. Econ. Entomol. 1925, 18, 265–267. [Google Scholar] [CrossRef]
- Finney, D.J. Probit Analysis; Cambridge University Press: Cambridge, UK, 1952. [Google Scholar]
- Gams, W.; Bissett, J. Morphology and identification of Trichoderma. In Trichoderma and Gliocladium; Basic Biology, Taxonomy and Genetics; Kubicek, C.P., Harman, G.E., Eds.; Taylors and Francies Ltd.: London, UK, 1998; Volume 1, pp. 3–34. [Google Scholar]
- Hoyos-Carvajal, L.; Bissett, J. Biodiversity of Trichoderma in neotropics. In The Dynamical Processes of Biodiversi-Ty-Case Studies of Evolution and Spatial Distribution; InTech: London, UK, 2011; pp. 303–320. [Google Scholar]
- Kaushik, N.; Díaz, C.E.; Chhipa, H.; Julio, L.F.; Andrés, M.F.; González-Coloma, A. Chemical composition of an Aphid antifeedant extract from an Endophytic Fungus, Trichoderma sp. EFI671. Microorganisms 2020, 8, 420. [Google Scholar] [CrossRef] [Green Version]
- Akmal, M.; Freed, S.; Malik, M.N.; Gul, H.T. Efficacy of Beauveria bassiana (Deuteromycotina: Hypomycetes) against different aphid species under laboratory conditions. Pak. J. Zool. 2013, 45, 71–78. [Google Scholar]
- Liu, H.; Skinner, M.; Parker, B.L.; Brownbridge, M. Pathogenicity of Beauveria bassiana, Metarhizium anisopliae (Deutero-mycotina: Hyphomycetes), and other entomopathogenic fungi against Lygus lineolaris (Hemiptera: Miridae). J. Econ. Entomol. 2002, 95, 675–681. [Google Scholar] [CrossRef]
- Wright, C.; Brooks, A.; Wall, R. Toxicity of the entomopathogenic fungus, Metarhizium anisopliae (Deuteromycotina: Hy-phomycetes) to adult females of the blowfly Lucilia sericata (Diptera: Calliphoridae). Pest Manag. Sci. Former. Pestic. Sci. 2004, 60, 639–644. [Google Scholar] [CrossRef]
- Ansari, M.A.; Vestergaard, S.; Tirry, L.; Moens, M. Selection of a highly virulent fungal isolate, Metarhizium anisopliae CLO 53, for controlling Hoplia philanthus. J. Invertebr. Pathol. 2004, 85, 89–96. [Google Scholar] [CrossRef] [PubMed]
- Saranya, S.; Ushakumari, R.; Jacob, S.; Philip, B.M. Efficacy of different entomopathogenic fungi against cowpea aphid, Aphis craccivora (Koch). J. Biopestic. 2010, 3, 138. [Google Scholar]
- Mweke, A.; Ulrichs, C.; Nana, P.; Akutse, K.S.; Fiaboe, K.K.M.; Maniania, N.K.; Ekesi, S. Evaluation of the Entomopathogenic Fungi Metarhizium anisopliae, Beauveria bassiana and Isaria sp. for the management of Aphis craccivora (Hemiptera: Aphididae). J. Econ. Entomol. 2018, 111, 1587–1594. [Google Scholar] [CrossRef] [PubMed]





| Isolates Code | Fungi Species | Identity Percentages | GenBank Accession Number | Vegetation | Geographic Origin |
|---|---|---|---|---|---|
| TMS114 | T. harzianum | 100.00 | MN258613.1 | Brinjal | Menggatal, Sabah, Malaysia |
| TMS623 | T. harzianum | 100.00 | MK738146.1 | Pumpkin | Tuaran, Sabah Malaysia |
| TMS628 | T. harzianum | 99.80 | KJ191344.1 | Okra | Penampang, Sabah, Malaysia |
| TMS707 | T. harzianum | 100.00 | KC847189.1 | Sugarcane | Papar, Sabah Malaysia |
| TMS45 | T. asperellum | 100.00 | MT367901.1 | Mustard | Menggatal, Sabah, Malaysia |
| TMS321 | T. asperellum | 99.78 | MN452469.1 | Brinjal | Penampang, Sabah, Malaysia |
| TMS633 | T. hamatum | 100.00 | MT256289.1 | Maize | Tuaran, Sabah Malaysia |
| Isolate Codes | Fungi Species | Conidia Conc. (Conidia mL−1) | Mortality (%) after 72 h. | Log of Conidia Conc. | Probit Mortality | Regression Statistics, a = Slope b = Intercept | Regression Equation, Y = aX + b | LC50 (In LC50 Calculation, Y = 5, LC50 = antilogX) | LC90 (In LC90 Calculation, Y = 6.28, LC90 = antilogX) |
|---|---|---|---|---|---|---|---|---|---|
| TMS114 | T. harzianum | 1 × 105 | 37.40 | 5 | 4.67 | a = 0.309 b = 3.099 | Y = 0.309X + 3.099 | 2.13 × 106 | 3.98 × 1010 |
| 1 × 106 | 43.81 | 6 | 4.85 | ||||||
| 1 × 107 | 65.17 | 7 | 5.39 | ||||||
| 1 × 108 | 70.00 | 8 | 5.52 | ||||||
| TMS623 | T. harzianum | 1 × 105 | 39.54 | 5 | 4.75 | a = 0.350 b = 2.945 | Y = 0.350X + 2.945 | 6.30 × 105 | 3.01 × 109 |
| 1 × 106 | 46.00 | 6 | 4.90 | ||||||
| 1 × 107 | 69.52 | 7 | 5.52 | ||||||
| 1 × 108 | 75.70 | 8 | 5.71 | ||||||
| TMS628 | T. harzianum | 1 × 105 | 33.07 | 5 | 4.56 | a = 0.305 b = 3.01 | Y = 0.305X + 3.01 | 3.31 × 106 | 5.24 × 1010 |
| 1 × 106 | 40.14 | 6 | 4.75 | ||||||
| 1 × 107 | 60.42 | 7 | 5.25 | ||||||
| 1 × 108 | 66.00 | 8 | 5.41 | ||||||
| TMS707 | T. harzianum | 1 × 105 | 34.5 | 5 | 4.61 | a = 0.302 b = 3.082 | Y = 0.302X + 3.082 | 2.51 × 106 | 5.01 × 1010 |
| 1 × 106 | 42.33 | 6 | 4.80 | ||||||
| 1 × 107 | 63.00 | 7 | 5.33 | ||||||
| 1 × 108 | 67.85 | 8 | 5.44 | ||||||
| TMS45 | T. asperellum | 1 × 105 | 28.75 | 5 | 4.45 | a = 0.303 b = 2.903 | Y = 0.303X + 2.903 | 8.31 × 106 | 1.38 × 1011 |
| 1 × 106 | 35.05 | 6 | 4.61 | ||||||
| 1 × 107 | 56.43 | 7 | 5.15 | ||||||
| 1 × 108 | 61.42 | 8 | 5.28 | ||||||
| TMS321 | T. asperellum | 1 × 105 | 26.39 | 5 | 4.36 | a = 0.319 b = 2.739 | Y = 0.319X + 2.739 | 1.47 × 107 | 1.73 × 1011 |
| 1 × 106 | 33.37 | 6 | 4.56 | ||||||
| 1 × 107 | 53.36 | 7 | 5.08 | ||||||
| 1 × 108 | 59.99 | 8 | 5.25 | ||||||
| TMS633 | T. hamatum | 1 × 105 | 30.91 | 5 | 4.48 | a = 0.320 b = 2.865 | Y = 0.320X + 2.865 | 4.67 × 106 | 5.49 × 1010 |
| 1 × 106 | 37.95 | 6 | 4.69 | ||||||
| 1 × 107 | 60.11 | 7 | 5.25 | ||||||
| 1 × 108 | 63.56 | 8 | 5.36 |
| Isolate Codes | Fungi Species | Conidia Conc. (Conidia mL−1) | Mortality (%) after 6 Days | Log of Conidia Conc. | Probit Mortality | Regression Statistics, a = Slope b = Intercept | Regression Equation, Y = aX + b | LC50 (In LC50 Calculation, Y = 5, LC50 = antilogX) | LC90 (In LC90 Calculation, Y = 6.28, LC90 = antilogX) |
|---|---|---|---|---|---|---|---|---|---|
| TMS114 | T. harzianum | 1 × 105 | 40.28 | 5 | 4.75 | a = 0.257 b = 3.437 | Y = 0.257X + 3.437 | 1.20 × 106 | 1.14 × 1011 |
| 1 × 106 | 46.34 | 6 | 4.90 | ||||||
| 1 × 107 | 62.30 | 7 | 5.31 | ||||||
| 1 × 108 | 68.09 | 8 | 5.47 | ||||||
| TMS623 | T. harzianum | 1 × 105 | 42.44 | 5 | 4.80 | a = 0.281 b = 3.371 | Y = 0.281X + 3.371 | 6.16 × 105 | 2.23 × 1010 |
| 1 × 106 | 48.52 | 6 | 4.97 | ||||||
| 1 × 107 | 66.66 | 7 | 5.44 | ||||||
| 1 × 108 | 72.31 | 8 | 5.58 | ||||||
| TMS628 | T. harzianum | 1 × 105 | 37.40 | 5 | 4.67 | a = 0.236 b = 3.471 | Y = 0.236X + 3.471 | 2.95 × 106 | 7.94 × 1011 |
| 1 × 106 | 43.44 | 6 | 4.82 | ||||||
| 1 × 107 | 57.99 | 7 | 5.20 | ||||||
| 1 × 108 | 63.10 | 8 | 5.33 | ||||||
| TMS707 | T. harzianum | 1 × 105 | 39.36 | 5 | 4.72 | a = 0.241 b = 3.486 | Y = 0.241X + 3.486 | 1.90 × 106 | 3.89 × 1011 |
| 1 × 106 | 44.17 | 6 | 4.85 | ||||||
| 1 × 107 | 60.13 | 7 | 5.25 | ||||||
| 1 × 108 | 65.24 | 8 | 5.39 | ||||||
| TMS45 | T. asperellum | 1 × 105 | 34.32 | 5 | 4.59 | a = 0.232 b = 3.422 | Y = 0.232X + 3.422 | 6.30 × 106 | 3.31 × 1012 |
| 1 × 106 | 40.54 | 6 | 4.75 | ||||||
| 1 × 107 | 52.88 | 7 | 5.08 | ||||||
| 1 × 108 | 58.80 | 8 | 5.23 | ||||||
| TMS321 | T. asperellum | 1 × 105 | 33.49 | 5 | 4.56 | a = 0.217 b = 3.447 | Y = 0.217X + 3.447 | 1.38 × 107 | 1.12 × 1013 |
| 1 × 106 | 38.37 | 6 | 4.69 | ||||||
| 1 × 107 | 50.41 | 7 | 5.00 | ||||||
| 1 × 108 | 57.45 | 8 | 5.18 | ||||||
| TMS633 | T. hamatum | 1 × 105 | 36.38 | 5 | 4.64 | a = 0.221 b = 3.516 | Y = 0.221X + 3.516 | 5.12 × 106 | 3.16 × 1012 |
| 1 × 106 | 41.27 | 6 | 4.77 | ||||||
| 1 × 107 | 55.78 | 7 | 5.15 | ||||||
| 1 × 108 | 60.91 | 8 | 5.25 |
| Isolate Codes | Fungi Species | Mortality Time (h) | Mortality (%) | Log of Mortality Time (h) | Probit Mortality | Regression Statistics, a = Slope b = Intercept | Regression Equation, Y = aX + b | LT50 (In LT50 Calculation, Y = 5, LT50 = antilogX) (h) | LT90 (In LT90 Calculation, Y = 6.28, LT90 = antilogX) (h) |
|---|---|---|---|---|---|---|---|---|---|
| TMS114 | T. harzianum | 24 | 12.33 | 1.38 | 3.82 | a = 3.706 b = −1.252 | Y = 3.706X − 1.252 | 47.86 | 107.15 |
| 36 | 30.00 | 1.56 | 4.48 | ||||||
| 48 | 56.43 | 1.68 | 5.15 | ||||||
| 60 | 64.34 | 1.78 | 5.36 | ||||||
| 72 | 70.00 | 1.86 | 5.52 | ||||||
| TMS623 | T. harzianum | 24 | 13.33 | 1.38 | 3.87 | a = 3.997 b = −1.630 | Y = 3.997X − 1.630 | 42.65 | 93.32 |
| 36 | 32.00 | 1.56 | 4.53 | ||||||
| 48 | 58.60 | 1.68 | 5.23 | ||||||
| 60 | 68.54 | 1.78 | 5.5 | ||||||
| 72 | 75.70 | 1.86 | 5.71 | ||||||
| TMS628 | T. harzianum | 24 | 11.33 | 1.38 | 3.77 | a = 3.611 b = −1.183 | Y = 3.611X − 1.183 | 51.28 | 117.48 |
| 36 | 26.33 | 1.56 | 4.36 | ||||||
| 48 | 54.46 | 1.68 | 5.1 | ||||||
| 60 | 60.15 | 1.78 | 5.25 | ||||||
| 72 | 66.42 | 1.86 | 5.41 | ||||||
| TMS707 | T. harzianum | 24 | 11.33 | 1.38 | 3.77 | a = 3.680 b = −1.256 | Y = 3.680X − 1.256 | 50.11 | 112.20 |
| 36 | 28.00 | 1.56 | 4.42 | ||||||
| 48 | 55.76 | 1.68 | 5.15 | ||||||
| 60 | 62.25 | 1.78 | 5.31 | ||||||
| 72 | 67.85 | 1.86 | 5.44 | ||||||
| TMS45 | T. asperellum | 24 | 10.00 | 1.38 | 3.72 | a = 3.460 b = −1.014 | Y = 3.460X − 1.014 | 53.70 | 125.89 |
| 36 | 24.46 | 1.56 | 4.29 | ||||||
| 48 | 51.02 | 1.68 | 5.03 | ||||||
| 60 | 58.21 | 1.78 | 5.2 | ||||||
| 72 | 61.42 | 1.86 | 5.25 | ||||||
| TMS321 | T. asperellum | 24 | 10.00 | 1.38 | 3.72 | a = 3.371 b = −0.885 | Y = 3.371X − 0.885 | 54.95 | 134.89 |
| 36 | 25.33 | 1.56 | 4.33 | ||||||
| 48 | 48.45 | 1.68 | 4.95 | ||||||
| 60 | 56.36 | 1.78 | 5.15 | ||||||
| 72 | 59.99 | 1.86 | 5.25 | ||||||
| TMS633 | T. hamatum | 24 | 10.00 | 1.38 | 3.72 | a = 3.622 b = −1.219 | Y = 3.622X − 1.219 | 52.48 | 120.22 |
| 36 | 26.00 | 1.56 | 4.36 | ||||||
| 48 | 55.16 | 1.68 | 5.13 | ||||||
| 60 | 58.92 | 1.78 | 5.23 | ||||||
| 72 | 63.56 | 1.86 | 5.36 |
| Isolate Codes | Fungi Species | Mortality Time (day) | Mortality (%) | Log of Mortality Time (day) | Probit Mortality | Regression Statistics, a = Slope b = Intercept | Regression Equation, Y = aX + b | LT50 (In LT50 Calculation, Y = 5, LT50 = antilogX) (day) | LT90 (In LT90 Calculation, Y = 6.28, LT90 = antilogX) (day) |
|---|---|---|---|---|---|---|---|---|---|
| TMS114 | T. harzianum | 2 | 11.33 | 0.30 | 3.77 | a = 3.709 b = 2.641 | Y = 3.709X + 2.641 | 4.26 | 9.54 |
| 3 | 26.16 | 0.48 | 4.36 | ||||||
| 4 | 46.21 | 0.60 | 4.9 | ||||||
| 5 | 62.36 | 0.70 | 5.31 | ||||||
| 6 | 68.09 | 0.78 | 5.47 | ||||||
| TMS623 | T. harzianum | 2 | 13.33 | 0.30 | 3.87 | a = 3.778 b = 2.702 | Y = 3.778X + 2.702 | 3.98 | 8.70 |
| 3 | 28.17 | 0.48 | 4.42 | ||||||
| 4 | 50.35 | 0.60 | 5.00 | ||||||
| 5 | 66.54 | 0.70 | 5.44 | ||||||
| 6 | 72.31 | 0.78 | 5.58 | ||||||
| TMS628 | T. harzianum | 2 | 9.33 | 0.30 | 3.66 | a = 3.679 b = 2.569 | Y = 3.679X + 2.569 | 4.57 | 10.71 |
| 3 | 24.15 | 0.48 | 4.29 | ||||||
| 4 | 44.14 | 0.60 | 4.85 | ||||||
| 5 | 59.45 | 0.70 | 5.23 | ||||||
| 6 | 63.10 | 0.78 | 5.33 | ||||||
| TMS707 | T. harzianum | 2 | 11.33 | 0.30 | 3.77 | a = 3.539 b = 2.711 | Y = 3.539X + 2.711 | 4.36 | 10.00 |
| 3 | 26.16 | 0.48 | 4.36 | ||||||
| 4 | 46.21 | 0.60 | 4.90 | ||||||
| 5 | 60.35 | 0.70 | 5.25 | ||||||
| 6 | 65.24 | 0.78 | 5.39 | ||||||
| TMS45 | T. asperellum | 2 | 8.00 | 0.30 | 3.59 | a = 3.653 b = 2.481 | Y = 3.653X + 2.481 | 4.89 | 12.30 |
| 3 | 20.00 | 0.48 | 4.16 | ||||||
| 4 | 38.91 | 0.60 | 4.72 | ||||||
| 5 | 55.96 | 0.70 | 5.15 | ||||||
| 6 | 58.80 | 0.78 | 5.23 | ||||||
| TMS321 | T. asperellum | 2 | 8.00 | 0.30 | 3.59 | a = 3.507 b = 2.531 | Y = 3.507X + 2.531 | 5.05 | 12.58 |
| 3 | 20.00 | 0.48 | 4.16 | ||||||
| 4 | 37.25 | 0.60 | 4.67 | ||||||
| 5 | 53.35 | 0.70 | 5.08 | ||||||
| 6 | 57.45 | 0.78 | 5.18 | ||||||
| TMS633 | T. hamatum | 2 | 9.33 | 0.30 | 3.66 | a = 3.569 b = 2.606 | Y = 3.569X + 2.606 | 4.78 | 11.22 |
| 3 | 24.15 | 0.48 | 4.29 | ||||||
| 4 | 41.66 | 0.60 | 4.80 | ||||||
| 5 | 58.04 | 0.70 | 5.20 | ||||||
| 6 | 60.91 | 0.78 | 5.28 |
Publisher’s Note: MDPI stays neutral with regard to jurisdictional claims in published maps and institutional affiliations. |
© 2021 by the authors. Licensee MDPI, Basel, Switzerland. This article is an open access article distributed under the terms and conditions of the Creative Commons Attribution (CC BY) license (https://creativecommons.org/licenses/by/4.0/).
Share and Cite
Islam, M.S.; Subbiah, V.K.; Siddiquee, S. Efficacy of Entomopathogenic Trichoderma Isolates against Sugarcane Woolly Aphid, Ceratovacuna lanigera Zehntner (Hemiptera: Aphididae). Horticulturae 2022, 8, 2. https://doi.org/10.3390/horticulturae8010002
Islam MS, Subbiah VK, Siddiquee S. Efficacy of Entomopathogenic Trichoderma Isolates against Sugarcane Woolly Aphid, Ceratovacuna lanigera Zehntner (Hemiptera: Aphididae). Horticulturae. 2022; 8(1):2. https://doi.org/10.3390/horticulturae8010002
Chicago/Turabian StyleIslam, Md. Shafiqul, Vijay Kumar Subbiah, and Shafiquzzaman Siddiquee. 2022. "Efficacy of Entomopathogenic Trichoderma Isolates against Sugarcane Woolly Aphid, Ceratovacuna lanigera Zehntner (Hemiptera: Aphididae)" Horticulturae 8, no. 1: 2. https://doi.org/10.3390/horticulturae8010002
APA StyleIslam, M. S., Subbiah, V. K., & Siddiquee, S. (2022). Efficacy of Entomopathogenic Trichoderma Isolates against Sugarcane Woolly Aphid, Ceratovacuna lanigera Zehntner (Hemiptera: Aphididae). Horticulturae, 8(1), 2. https://doi.org/10.3390/horticulturae8010002

