Investigating the Effect of Fruit Size on Ripening Recovery of Banana Treated with 1-Methylcyclopropene
Abstract
:1. Introduction
2. Materials and Methods
2.1. Plant Materials
2.2. Postharvest Treatments, Storage, and Sampling
2.3. Determination of Peel Colour and Colour Index
2.4. Determination of Firmness and Mass Loss
2.5. Determination of Total Chlorophyll and Carotenoids
2.6. Determination of Pulp Starch
2.7. Determination of Pulp Sucrose, Fructose, and Glucose
2.8. Morphology of the Starch Granules
2.9. Statistical Analysis
3. Results
3.1. Maturity Parameters at Harvest
3.2. Effect of Fruit Size and 1-MCP on Peel Colour Change
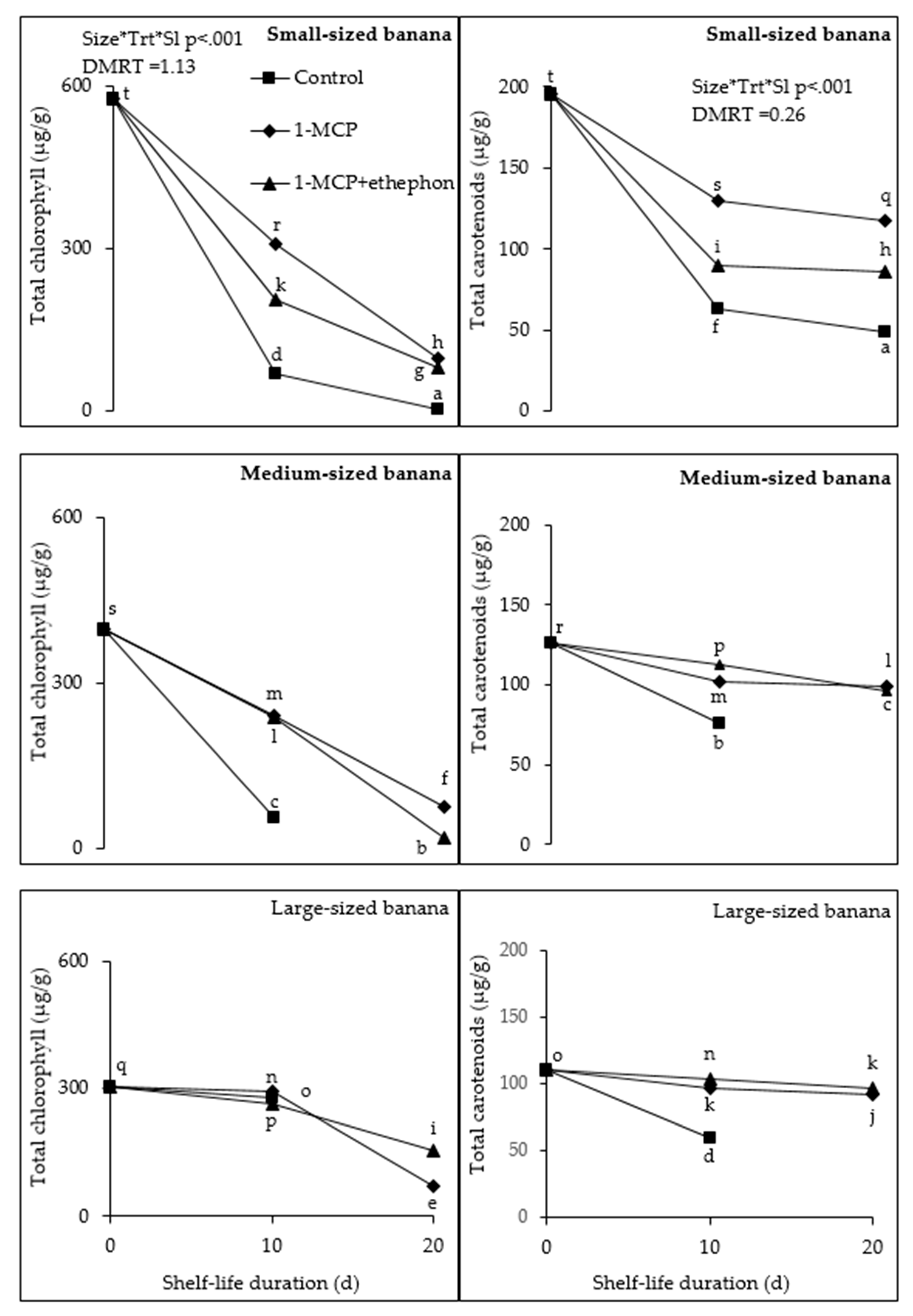
3.3. Effect of Fruit Size and 1-MCP on Total Chlorophyll and Carotenoids
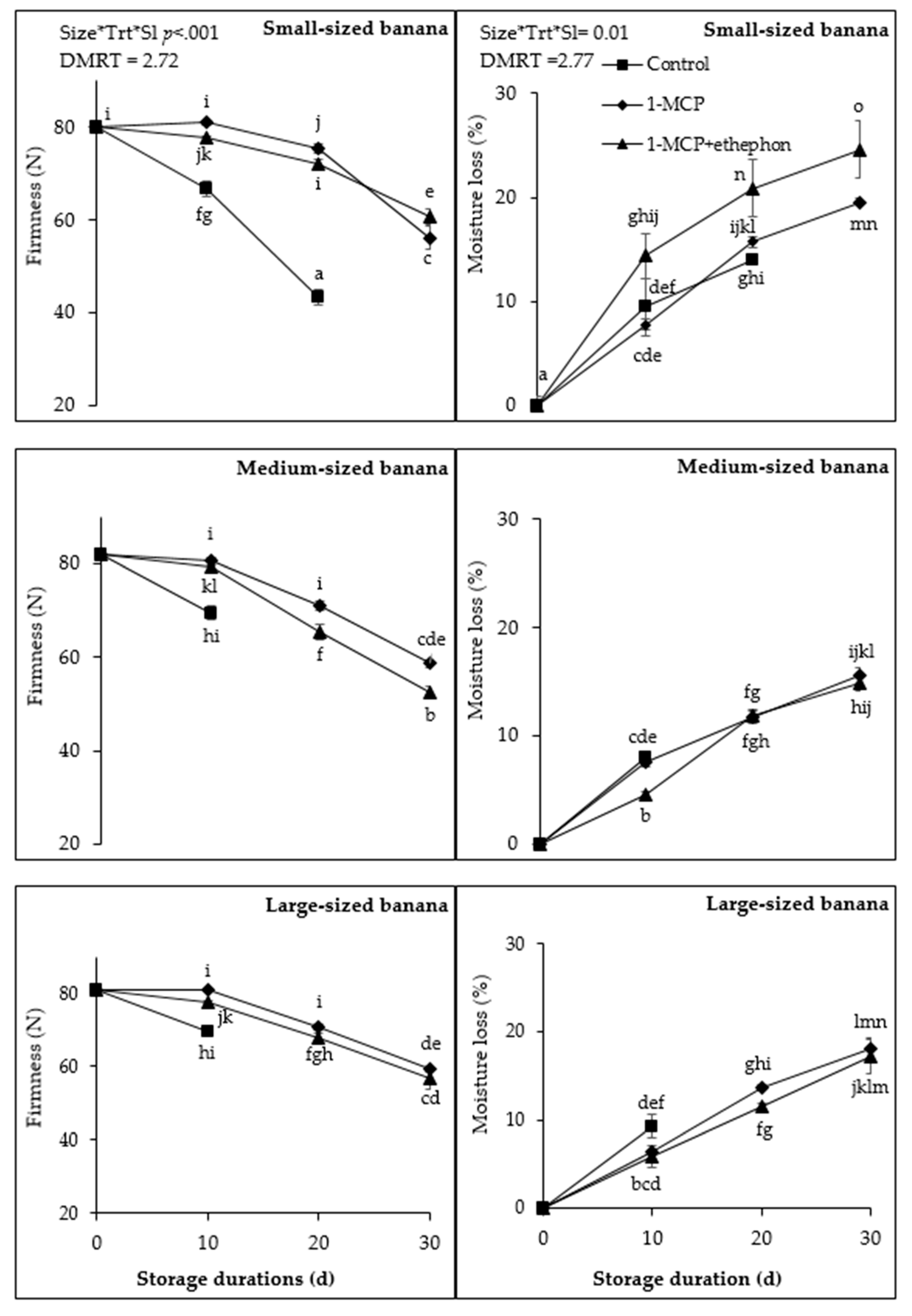
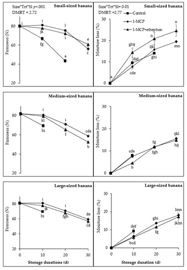
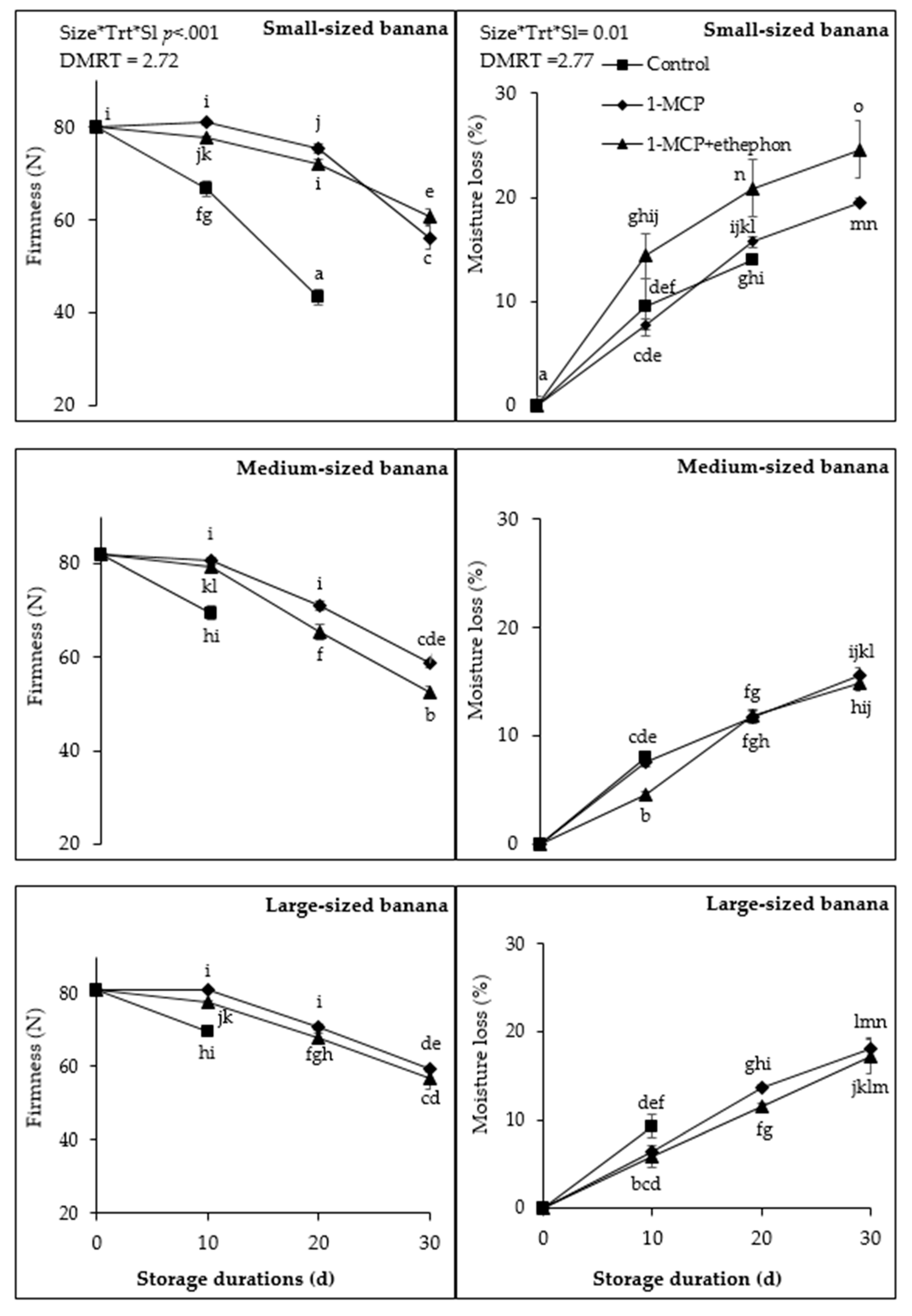
3.4. Effect of Fruit Size and 1-MCP on Fruit Firmness
3.5. Effect of Fruit Size and 1-MCP on Moisture Loss
3.6. Effect of Fruit Size and 1-MCP on Starch Concentration
3.7. Effect of Fruit Size and 1-MCP on Sucrose, Glucose, and Fructose Concentration
3.8. Effect of Fruit Size and 1-MCP on Starch Granules
4. Discussion
5. Conclusions
Author Contributions
Funding
Institutional Review Board Statement
Informed Consent Statement
Data Availability Statement
Acknowledgments
Conflicts of Interest
References
- Anyasi, T.A.; Jideani, A.I.; Mchau, G.R. Functional properties and postharvest utilization of commercial and noncommercial banana cultivars. Compr. Rev. Food Sci. Food Saf. 2013, 12, 509–522. [Google Scholar] [CrossRef]
- Cordenunsi-Lysenko, B.R.; Nascimento, J.R.O.; Castro-Alves, V.C.; Purgatto, E.; Fabi, J.P.; Peroni-Okyta, F.H.G. The starch is (not) just another brick in the wall: The primary metabolism of sugars during banana ripening. Front. Plant Sci. 2019, 10, 391. [Google Scholar] [CrossRef] [Green Version]
- Jullien, A.; Malézieux, E.; Michaux-Ferrière, N.; Chillet, M.; Ney, B. Within-bunch variability in banana fruit weight: Importance of developmental lag between fruits. Ann. Bot. 2001, 87, 101–108. [Google Scholar] [CrossRef] [Green Version]
- do Nascimento, J.R.O.; Júnior, A.V.; Bassinello, P.Z.; Cordenunsi, B.R.; Mainardi, J.A.; Purgatto, E.; Lajolo, F.M. Beta-amylase expression and starch degradation during banana ripening. Postharvest Biol. Technol. 2006, 40, 41–47. [Google Scholar] [CrossRef]
- Xiao, Y.y.; Kuang, J.f.; Qi, X.n.; Ye, Y.j.; Wu, Z.X.; Chen, J.y.; Lu, W.j. A comprehensive investigation of starch degradation process and identification of a transcriptional activator Mab HLH 6 during banana fruit ripening. Plant Biotechnol. J. 2018, 16, 151–164. [Google Scholar] [CrossRef] [PubMed] [Green Version]
- Jullien, A.; Munier-Jolain, N.G.; Malézieux, E.; Chillet, M.; Ney, B. Effect of pulp cell number and assimilate availability on dry matter accumulation rate in a banana fruit [Musa sp. AAA group ‘Grande Naine’ (Cavendish subgroup)]. Ann. Bot. 2001, 88, 321–330. [Google Scholar] [CrossRef] [Green Version]
- Watkins, C.B. The use of 1-methylcyclopropene (1-MCP) on fruits and vegetables. Biotechnol. Adv. 2006, 24, 389–409. [Google Scholar] [CrossRef]
- Sisler, E.C.; Grichko, V.P.; Serek, M. Interaction of ethylene and other compounds with the ethylene receptor: Agonists and antagonists. In Ethylene Action in Plants; Springer: Berlin/Heidelberg, Germany, 2006; pp. 1–34. [Google Scholar]
- Sisler, E.C.; Serek, M. Inhibitors of ethylene responses in plants at the receptor level: Recent developments. Physiol. Plant. 1997, 100, 577–582. [Google Scholar] [CrossRef]
- Satekge, T.K.; Magwaza, L.S. The Combined Effect of 1-methylcyclopropene (1-MCP) and Ethylene on Green-life and Postharvest Quality of Banana Fruit. Int. J. Fruit Sci. 2020, 1–13. [Google Scholar] [CrossRef]
- Zhu, X.; Shen, L.; Fu, D.; Si, Z.; Wu, B.; Chen, W.; Li, X. Effects of the combination treatment of 1-MCP and ethylene on the ripening of harvested banana fruit. Postharvest Biol. Technol. 2015, 107, 23–32. [Google Scholar] [CrossRef]
- Botondi, R.; De Sanctis, F.; Bartoloni, S.; Mencarelli, F. Simultaneous application of ethylene and 1-MCP affects banana ripening features during storage. J. Sci. Food Agric. 2014, 94, 2170–2178. [Google Scholar] [CrossRef]
- Moradinezhad, F.; Sedgley, M.; Klieber, A.; Able, A. Variability of responses to 1-methylcyclopropene by banana: Influence of time of year at harvest and fruit position in the bunch. Ann. Appl. Biol. 2008, 152, 223–234. [Google Scholar] [CrossRef]
- Harris, D.; Seberry, J.; Wills, R.; Spohr, L. Effect of fruit maturity on efficiency of 1-methylcyclopropene to delay the ripening of bananas. Postharvest Biol. Technol. 2000, 20, 303–308. [Google Scholar] [CrossRef]
- Pereira, M.E.C.; Sargent, S.A.; Sims, C.A.; Huber, D.J.; Crane, J.H.; Brecht, J.K. Ripening and sensory analysis of Guatemalan-West Indian hybrid avocado following ethylene pretreatment and/or exposure to gaseous or aqueous 1-methylcyclopropene. Postharvest Biol. Technol. 2014, 92, 121–127. [Google Scholar] [CrossRef]
- Wang, Y.; Sugar, D. 1-MCP efficacy in extending storage life of ‘Bartlett’ pears is affected by harvest maturity, production elevation, and holding temperature during treatment delay. Postharvest Biol. Technol. 2015, 103, 1–8. [Google Scholar] [CrossRef]
- Chiriboga, M.A.; Schotsmans, W.C.; Larrigaudière, C.; Dupille, E.; Recasens, I. Responsiveness of ‘Conference’ pears to 1-methylcyclopropene: The role of harvest date, orchard location and year. J. Sci. Food Agric. 2013, 93, 619–625. [Google Scholar] [CrossRef] [PubMed]
- Blankenship, S.M.; Dole, J.M. 1-Methylcyclopropene: A review. Postharvest Biol. Technol. 2003, 28, 1–25. [Google Scholar] [CrossRef]
- Deng, L.; Jiang, C.-Z.; Mu, W.; Wang, Q. Influence of 1-MCP treatments on eating quality and consumer preferences of ‘Qinmei’ kiwifruit during shelf life. J. Food Sci. Technol. 2015, 52, 335–342. [Google Scholar] [CrossRef]
- Lichtenthaler, H.K.; Buschmann, C. Chlorophylls and carotenoids: Measurement and characterization by UV-VIS spectroscopy. Curr. Protoc. Food Anal. Chem. 2001, 1, F4. 3.1–F4. 3.8. [Google Scholar] [CrossRef]
- Lo’ay, A.; El-Khateeb, A. Impact of exogenous pyridoxin treatments of ‘Williams’ banana on the activities of starch degrading enzymes. Sci. Hortic. 2019, 243, 48–54. [Google Scholar] [CrossRef]
- Ncama, K.; Tesfay, S.Z.; Fawole, O.A.; Opara, U.L.; Magwaza, L.S. Non-destructive prediction of ‘Marsh’ grapefruit susceptibility to postharvest rind pitting disorder using reflectance Vis/NIR spectroscopy. Sci. Hortic. 2018, 231, 265–271. [Google Scholar] [CrossRef]
- Gamrasni, D.; Ben-Arie, R.; Goldway, M. 1-Methylcyclopropene (1-MCP) application to Spadona pears at different stages of ripening to maximize fruit quality after storage. Postharvest Biol. Technol. 2010, 58, 104–112. [Google Scholar] [CrossRef]
- Villalobos-Acuna, M.G.; Biasi, W.V.; Flores, S.; Jiang, C.-Z.; Reid, M.S.; Willits, N.H.; Mitcham, E.J. Effect of maturity and cold storage on ethylene biosynthesis and ripening in ‘Bartlett’ pears treated after harvest with 1-MCP. Postharvest Biol. Technol. 2011, 59, 1–9. [Google Scholar] [CrossRef]
- Johnston, J.W.; Hewett, E.W.; Hertog, M.L. Postharvest softening of apple (Malus domestica) fruit: A review. N. Z. J. Crop Hortic. Sci. 2002, 30, 145–160. [Google Scholar] [CrossRef]
- Díaz-Pérez, J.C.; Muy-Rangel, M.D.; Mascorro, A.G. Fruit size and stage of ripeness affect postharvest water loss in bell pepper fruit (Capsicum annuum L.). J. Sci. Food Agric. 2007, 87, 68–73. [Google Scholar] [CrossRef]
- Ahmad, S.; Nasir, M.A.; Anwar, Z.; Thompson, A. Effect of fruit size and temperature on the shelf life and quality of ripe banana fruit. Sarhad J. Agric. 2007, 23, 45. [Google Scholar]
- Mainardi, J.A.; Purgatto, E.; Vieira, A.; Bastos, W.A.; Cordenunsi, B.R.; Oliveira do Nascimento, J.R.; Lajolo, F.M. Effects of ethylene and 1-methylcyclopropene (1-MCP) on gene expression and activity profile of α-1, 4-glucan-phosphorylase during banana ripening. J. Agric. Food Chem. 2006, 54, 7294–7299. [Google Scholar] [CrossRef]
- Bekele, E.A.; Beshir, W.F.; Hertog, M.L.; Nicolai, B.M.; Geeraerd, A.H. Metabolic profiling reveals ethylene mediated metabolic changes and a coordinated adaptive mechanism of ‘Jonagold’ apple to low oxygen stress. Physiol. Plant. 2015, 155, 232–247. [Google Scholar] [CrossRef]
- In, B.-C.; Binder, B.M.; Falbel, T.G.; Patterson, S.E. Recovery of ethylene sensitivity and responses in carnation petals post-treatment with 1-methylcyclopropene. Postharvest Biol. Technol. 2016, 121, 78–86. [Google Scholar] [CrossRef]
- Zhang, Z.; Huber, D.J.; Hurr, B.M.; Rao, J. Delay of tomato fruit ripening in response to 1-methylcyclopropene is influenced by internal ethylene levels. Postharvest Biol. Technol. 2009, 54, 1–8. [Google Scholar] [CrossRef]





| Fruit Size | |||
|---|---|---|---|
| Parameters | Small | Medium | Large |
| Colour index a | ns | ns | ns |
| Hue a | 117.5 ± 0.24 a | 117.8 ± 0.21 a,b | 118.06 ± 0.23 b |
| Lightness (L*) a | 54.29 ± 0.47 a | 56.07 ± 0.53 b | 54.74 ± 0.55 a |
| Total chlorophyll (µg/g) a | 578.1 ± 0.22 c | 397.9 ± 0.16 b | 302.7 ± 0.27 a |
| Total carotenoids (µg/g) a | 195.8 ± 0.07 c | 126.0 ± 0.02 b | 110.8 ± 0.06 a |
| Firmness (N) b | 80.56 ± 0.55 a | 81.87 ± 0.27 b | 80.84 ± 0.52 a |
| Width (mm) b | 38.07 ± 1.70 a | 44.23 ± 0.28 b | 45.01 ± 0.48 b |
| Length (mm) b | 131.6 ± 3.84 a | 154.6 ± 0.18 b | 160.0 ± 0.91 c |
| Fresh mass (g) b | 157.5 ± 3.87 a | 202.6 ± 3.59 b | 258.2 ± 6.25 c |
| Dry matter c | ns | ns | ns |
| Sucrose (mg/g) c | 0.21 ± 0.01 a | 0.45 ± 0.01 c | 0.32 ± 0.01 b |
| Starch (mg/g) c | 8.10 ± 0.01 b | 9.15 ± 0.00 c | 5.65 ± 0.20 a |
| Starch granule length (mm) c | ns | ns | ns |
| Starch granule width (mm) c | ns | ns | ns |
| Fruit Size | Treatment | Shelf-Life Duration (d) | Significance p α 0.05 | |||||
|---|---|---|---|---|---|---|---|---|
| 0 | 10 | 20 | Size | Trt | Sl | S*Trt*Sl | ||
| Small | Control | 8.10 ± 0.01 t | 5.42 ± 0.00 q | 0.25 ± 0.04 b | <0.001 | <0.001 | <0.001 | <0.001 |
| 1-MCP | 8.10 ± 0.01 t | 6.14 ± 0.01 s | 0.68 ± 0.00 d | |||||
| 1-MCP + ethephon | 8.10 ± 0.01 t | 1.14 ± 0.00 f | 0.91 ± 0.01 e | |||||
| Medium | Control | 9.15 ± 0.00 u | 3.26 ± 0.04 j | * | ||||
| 1-MCP | 9.15 ± 0.00 u | 4.04 ± 0.02 m | 5.09 ± 0.02 p | |||||
| 1-MCP + ethephon | 9.15 ± 0.00 u | 4.34 ± 0.01 n | 4.82± 0.03 o | |||||
| Large | Control | 5.65 ± 0.02 r | 0.08 ± 0.00 a | * | ||||
| 1-MCP | 5.65 ± 0.02 r | 1.31 ± 0.02 h | 1.36 ± 0.01 i | |||||
| 1-MCP + ethephon | 5.65 ± 0.02 r | 1.18 ± 0.04 g | 0.56 ± 0.02 c | |||||
| Fruit Size | Treatment | Shelf-Life Duration (d) | Significance p α 0.05 | ||||||
|---|---|---|---|---|---|---|---|---|---|
| 0 | 10 | 20 | 30 | Size | Trt | Sl | S*Trt*Sl | ||
| SUCROSE (mg/g) | <0.001 | <0.001 | <0.001 | <0.001 | |||||
| Small | Control | 0.21 ± 0.01 a | 0.55 ± 0.01 a | 3.89 ± 0.77 d,e | * | ||||
| 1-MCP | 0.21 ± 0.01 a | 0.47 ± 0.20 a | 2.24 ± 0.07 b | 2.57 ± 0.37 b | |||||
| 1-MCP + ethephon | 0.21 ± 0.01 a | 0.65 ± 0.03 a | 2.73 ± 0.52 b | 4.31 ± 0.10 d,e | |||||
| Medium | Control | 0.45 ± 0.01 a | 3.53 ± 0.11 c,d | * | * | ||||
| 1-MCP | 0.45 ± 0.01 a | 0.31 ± 0.01 a | 4.24 ± 0.44 d,e | 3.87 ± 0.46 d,e | |||||
| 1-MCP + ethephon | 0.45 ± 0.01 a | 0.38 ± 0.03 a | 2.03 ± 0.61 b | 2.66 ± 0.24 b | |||||
| Large | Control | 0.32 ± 0.01 a | 2.86 ± 0.44 b,c | * | * | ||||
| 1-MCP | 0.32 ± 0.01 a | 0.53 ± 0.33 a | 2.47 ± 0.59 b | 4.65 ± 0.14 e | |||||
| 1-MCP + ethephon | 0.32 ± 0.01 a | 0.44 ± 0.06 a | 2.49 ± 0.12 b | 3.69 ± 0.15 d | |||||
| GLUCOSE (mg/g) | <0.001 | <0.001 | <0.001 | 0.008 | |||||
| Small | Control | Nd | Nd | 2.87 ± 0.01 i,j,k | * | ||||
| 1-MCP | Nd | Nd | 0.40 ± 0.01 a | 0.86 ± 0.12 a,b | |||||
| 1-MCP + ethephon | Nd | Nd | 0.46 ± 0.08 a | 1.55 ± 0.04 b–f | |||||
| Medium | Control | Nd | 1.26 ± 0.02 a–e | * | * | ||||
| 1-MCP | Nd | Nd | 1.02 ± 0.08 a–d | 1.11 ± 0.12 a–d | |||||
| 1-MCP + ethephon | Nd | Nd | 1.06 ± 0.04 a–d | 1.00 ± 0.09 a–d | |||||
| Large | Control | Nd | 1.15 ± 0.16 a–e | * | * | ||||
| 1-MCP | Nd | Nd | 1.52 ± 0.87 b–f | 1.76 ± 0.06 d–g | |||||
| 1-MCP + ethephon | Nd | Nd | 0.58 ± 0.04 a | 1.74 ± 0.05 c–g | |||||
| FRUCTOSE (mg/g) | <0.001 | 0.414 | 0.401 | 0.158 | |||||
| Small | Control | Nd | Nd | 0.86 ± 0.01 a,b,c | * | ||||
| 1-MCP | Nd | Nd | 0.32 ± 0.01 a | 0.66 ± 0.11 a,b,c | |||||
| 1-MCP + ethephon | Nd | Nd | 0.36 ± 0.07 a,b | 1.17 ± 0.03 a,b,c | |||||
| Medium | Control | Nd | 0.99 ± 0.2 a | * | * | ||||
| 1-MCP | Nd | Nd | 0.78 ± 0.06 a,b,c | 0.85 ± 0.09 a,b,c | |||||
| 1-MCP + ethephon | Nd | Nd | 0.69 ± 0.03 a,b,c | 0.78 ± 0.06 a,b,c | |||||
| Large | Control | Nd | 0.91 ± 0.13 a | * | * | ||||
| 1-MCP | Nd | Nd | 1.29 ± 0.44 a,b,c | 1.33 ± 0.05 a,b,c | |||||
| 1-MCP + ethephon | Nd | Nd | 1.73 ± 0.91 c | 1.22 ± 0.04 a,b,c | |||||
Publisher’s Note: MDPI stays neutral with regard to jurisdictional claims in published maps and institutional affiliations. |
© 2021 by the authors. Licensee MDPI, Basel, Switzerland. This article is an open access article distributed under the terms and conditions of the Creative Commons Attribution (CC BY) license (https://creativecommons.org/licenses/by/4.0/).
Share and Cite
Satekge, T.K.; Magwaza, L.S. Investigating the Effect of Fruit Size on Ripening Recovery of Banana Treated with 1-Methylcyclopropene. Horticulturae 2021, 7, 357. https://doi.org/10.3390/horticulturae7100357
Satekge TK, Magwaza LS. Investigating the Effect of Fruit Size on Ripening Recovery of Banana Treated with 1-Methylcyclopropene. Horticulturae. 2021; 7(10):357. https://doi.org/10.3390/horticulturae7100357
Chicago/Turabian StyleSatekge, Thabiso Kenneth, and Lembe Samukelo Magwaza. 2021. "Investigating the Effect of Fruit Size on Ripening Recovery of Banana Treated with 1-Methylcyclopropene" Horticulturae 7, no. 10: 357. https://doi.org/10.3390/horticulturae7100357
APA StyleSatekge, T. K., & Magwaza, L. S. (2021). Investigating the Effect of Fruit Size on Ripening Recovery of Banana Treated with 1-Methylcyclopropene. Horticulturae, 7(10), 357. https://doi.org/10.3390/horticulturae7100357

