Identification of Heat Tolerance in Chinese Wildgrape Germplasm Resources
Abstract
1. Introduction
2. Materials and Methods
2.1. Plant Materials
2.2. Heat Treatment and Measurement of Fv/Fm
2.3. Data Analysis
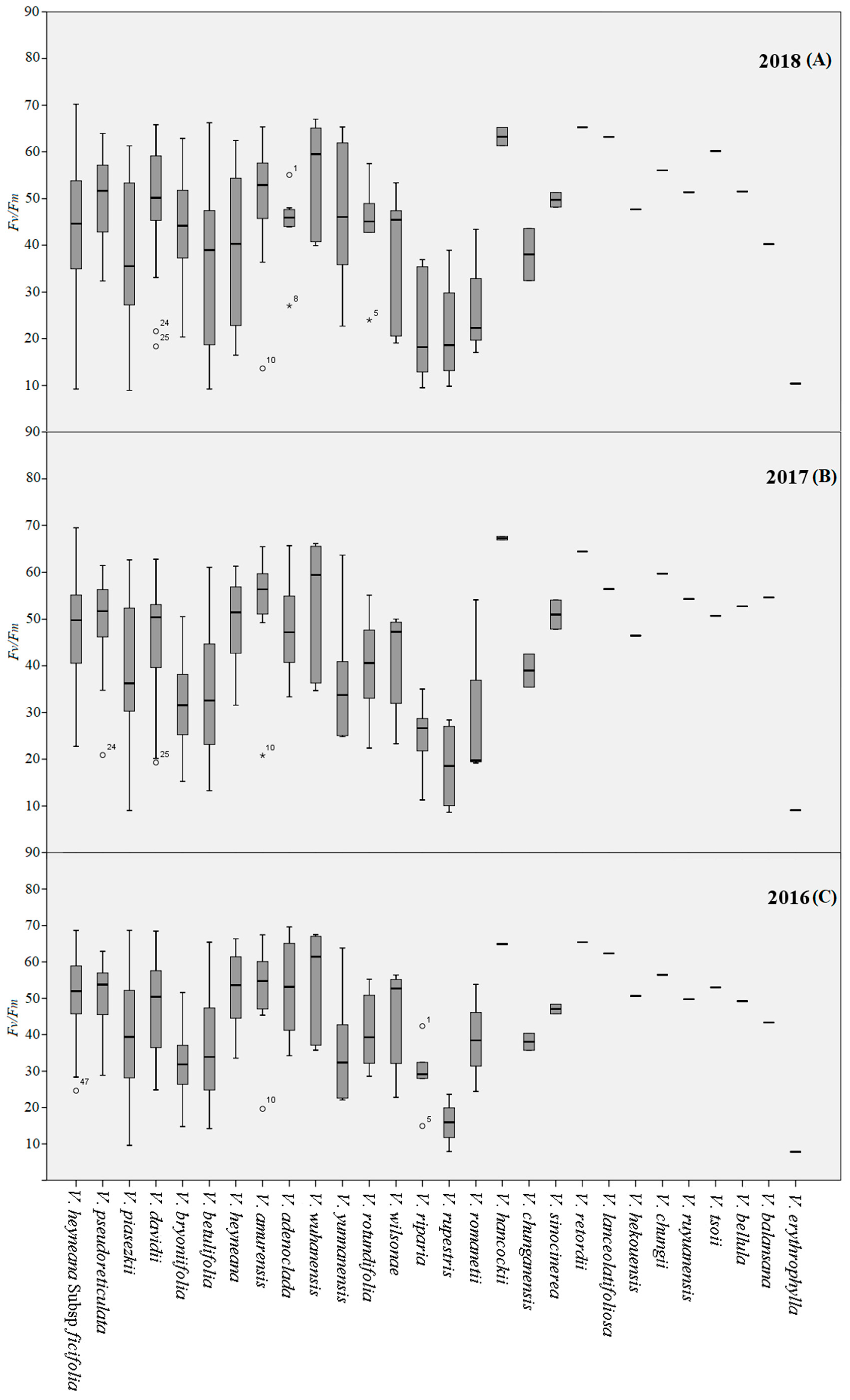
3. Results
4. Discussion
Supplementary Materials
Author Contributions
Funding
Conflicts of Interest
References
- Vidya, S.M.; Vijay, K.H.S.; Bhatt, R.M.; Laxman, R.H.; Ravishankar, K.V. Transcriptional profiling and genes involved in acquired thermotolerance in Banana: A non-model crop. Sci. Rep. 2018, 8, 10683. [Google Scholar] [CrossRef]
- Greer, D.H.; Weedon, M.M. Can a small differential in canopy temperature influence performance of Semillon in a vineyard? N. Z. J. Crop Hort. Sci. 2018, 47, 63–82. [Google Scholar] [CrossRef]
- Webb, L.B.; Whetton, P.H.; Bhend, J.; Darbyshire, R.; Briggs, P.R.; Barlwo, E.W.R. Earlier wine-grape ripening driven by climatic warming and drying and management practices. Nat. Clim. Chang. 2012, 2, 259–264. [Google Scholar] [CrossRef]
- Parra, C.S.; Aguirreolea, J.; Sánchez-Díaz, M.; Irigoyen, J.J.; Morales, F. Effects of climate change scenarios on Tempranillo grapevine (Vitis vinifera L.) ripening: Response to a combination of elevated CO2, and temperature, and moderate drought. Plant Soil 2010, 337, 179–191. [Google Scholar] [CrossRef]
- Teslić, N.; Zinzani, G.; Parpinello, G.P.; Versari, A. Climate change trends, grape production, and potential alcohol concentration in wine from the Romagna Sangiovese appellation area (Italy). Theor. Appl. Clim. 2018, 131, 793–803. [Google Scholar] [CrossRef]
- Ollat, N.; Leeuwen, C.V.; Cortázar-Atauri, I.G.D.; Touzard, J.M. The challenging issue of climate change for sustainable grape and wine production. OENO One 2017, 51, 59–60. [Google Scholar] [CrossRef]
- Greer, D.H.; Weston, C. Heat stress affects flowering, berry growth, sugar accumulation and photosynthesis of Vitis vinifera cv. Semillon grapevines grown in a controlled environment. Funct. Plant Biol. 2010, 37, 206–214. [Google Scholar] [CrossRef]
- Zha, Q.; Xi, X.J.; Jiang, A.L.; Wang, S.P.; Tian, Y.H. Changes in the protective mechanism of photosystem II and molecular regulation in response to high temperature stress in grapevines. Plant Physiol. Biochem. 2016, 101, 43–53. [Google Scholar] [CrossRef]
- Koutalianou, M.; Orfanidis, S.; Katsaros, C. Effects of high temperature on the ultrastructure and microtubule organization of interphase and dividing cells of the seagrass Cymodocea nodosa. Protoplasma 2016, 253, 299–310. [Google Scholar] [CrossRef] [PubMed]
- Xu, H.G.; Liu, G.J.; Liu, G.T.; Yan, B.F.; Duan, W.; Wang, L.J.; Li, S.H. Comparison of investigation methods of heat injury in grapevine (Vitis) and assessment to heat tolerance in different cultivars and species. BMC Plant Biol. 2014, 14, 156–165. [Google Scholar] [CrossRef]
- Kadir, S.; Weihe, W.; Alkhatib, K. Photochemical efficiency and recovery of photosystem II in grapes after exposure to sudden and gradual heat stress. J. Am. Soc. Hort. Sci. 2007, 132, 764–769. [Google Scholar] [CrossRef]
- Luo, H.B.; Ma, L.; Xi, H.F.; Duan, W.; Li, S.H.; Loescher, W.; Wang, J.F.; Wang, L.J. Photosynthetic responses to heat treatments at different temperatures and following recovery in grapevine (Vitis amurensis L.) leaves. PLoS ONE 2011, 6, e23033. [Google Scholar] [CrossRef] [PubMed]
- Camejo, D.; Rodriguez, P.; Morales, M.A.; Dell Amico, J.M.; Torrecillas, A.; Alarcon, J.J. High temperature effects on photosynthetic activity of two tomato cultivars with different heat susceptibility. J. Plant Physiol. 2005, 162, 281–289. [Google Scholar] [CrossRef] [PubMed]
- Zha, Q.; Xi, X.J.; Jiang, A.L.; Tian, Y.H. Comparison of the activities of photosystem II of four table grapevine cultivars during high-temperature stress. Hortic. Environ. Biotechnol. 2018, 59, 363–371. [Google Scholar] [CrossRef]
- Sage, R.F.; Kubien, D.S. The temperature response of C3 and C4 photosynthesis. Plant Cell Environ. 2007, 30, 1086–1106. [Google Scholar] [CrossRef]
- Baker, N.R. Chlorophyll fluorescence: A probe of photosynthesis in vivo. Ann. Rev. Plant Biol. 2008, 59, 89–113. [Google Scholar] [CrossRef] [PubMed]
- Araldi, R.; Corniani, N.; Tropaldi, L.; Gitotto, M.; Belapart, D.; Simoes, P.S. Chlorophyll fluorescence in guanandi tree (Calophyllum brasiliense) after herbicide application. Planta Daninha 2015, 33, 77–82. [Google Scholar] [CrossRef]
- Ogaya, R.; Peñuelas, J.; Asensio, D.; Llusia, J. Chlorophyll fluorescence responses to temperature and water availability in two co-dominant Mediterranean shrub and tree species in a long-term field experiment simulating climate change. Environ. Exp. Bot. 2011, 73, 89–93. [Google Scholar] [CrossRef]
- Sharma, D.K.; Andersen, S.B.; Ottosen, C.O.; Rosenqvist, E. Phenotyping of wheat cultivars for heat tolerance using chlorophyll a fluorescence. Funct. Plant Biol. 2012, 39, 936–947. [Google Scholar] [CrossRef]
- Ehlert, B.; Hincha, D.K. Chlorophyll fluorescence imaging accurately quantifies freezing damage and cold acclimation responses in Arabidopsis leaves. Plant Methods 2008, 4, 1–7. [Google Scholar] [CrossRef]
- Sierra-Almeida, A.; Cavieres, L.A. Summer freezing resistance of high-elevation plant species changes with ontogeny. Environ. Exp. Bot. 2012, 80, 10–15. [Google Scholar] [CrossRef]
- Perera-Castro, A.V.; Brito, P.; González-Rodríguez, A.M. Changes in thermic limits and acclimation assessment for an alpine plant by chlorophyll fluorescence analysis: Fv/Fm vs. Rfd. Photosynthetica 2018, 56, 527–536. [Google Scholar] [CrossRef]
- Shahsavandi, F.; Eshghi, S.; Gharaghani, A. Physiological responses of two grapevine cultivars to combined drought and high temperature stresses in the presence of arbuscular mycorrhiza. Acta Hortic. 2018, 1190, 45–52. [Google Scholar] [CrossRef]
- Jiang, J.F.; Ma, Y.F.; Fan, X.C.; Zhang, Y.; Sun, H.S.; Wang, L.J.; Liu, C.H. Evaluation of 196 Vitis L. germplasm resources to heat tolerance. J. Plant. Gen. Res. 2017, 18, 70–79. [Google Scholar] [CrossRef]
- Zhang, J.L.; Cao, Z.Y.; Ma, J.F. Screening of cold-resistant seedlings of a Chinese wild grape (Vitis piasezkii Maxim var. pagnucii) native to loess plateau of eastern Gansu province, China, as rootstocks. Sci. Hortic. 2009, 122, 125–128. [Google Scholar] [CrossRef]
- Wang, L.X.; Zhang, F.R.; Li, R.F.; Liang, Y.R.; Liu, Y. The morphologic characteristics of starch grain in grape shoots and its relationship to cold resistance. Acta Hortic. 2000, 27, 85–89. [Google Scholar]
- Zhang, J.L.; Xu, R.; Cao, Z.Y.; Wang, S.M.; Ren, J.Z. Factors affecting in vitro propagation of a Chinese wild grape (Vitis piasezkii var. pagnucii): Shoot production and rhizogenesis. N. Z. J. Agric. Res. 2006, 34, 217–223. [Google Scholar] [CrossRef][Green Version]
- Wani, R.A.; Sheema, S.; Dar, N.A.; Angchuk, S.; Parray, G.A. Irrigation regimes effecting drought tolerance of grape root-stocks under cold arid conditions. Int. J. Sci. Technol. Res. 2013, 2, 113–117. [Google Scholar]
- Lavania, D.; Siddiqui, M.H.; Al-Whaibi, M.H.; Singh, A.K.; Kumar, R.; Grover, A. Genetic approaches for breeding heat stress tolerance in faba bean (Vicia faba L.). Acta Physiol. Plant 2015, 37, 1–9. [Google Scholar] [CrossRef]
- De-Orduna, R.M. Climate change associated effects on grape and wine quality and production. Food Res. Int. 2010, 43, 1844–1855. [Google Scholar] [CrossRef]
- Zha, Q.; Xi, X.J.; He, Y.N.; Jiang, A.L. Comprehensive evaluation of heat resistance in 68 Vitis germplasm resources. Vitis 2018, 57, 75–81. [Google Scholar] [CrossRef]
- Wang, L.J.; Loescher, W.; Duan, W.; Li, W.D.; Yang, S.H.; Li, S.H. Heat acclimation induced acquired heat tolerance and cross adaptation in different grape cultivars: Relationships to photosynthetic energy partitioning. Funct. Plant Biol. 2009, 36, 5116–5526. [Google Scholar] [CrossRef] [PubMed]

| No. | Species | Accession | Origin | 2016 | 2017 | 2018 | Average Value 1 | Rank 2 |
|---|---|---|---|---|---|---|---|---|
| Fv/Fm | Fv/Fm | Fv/Fm | ||||||
| 1 | V. heyneana Subsp ficifolia | Shibanyan 11 | Henan | 0.6870 ± 0.0097a | 0.6652 ± 0.0274b | 0.7022 ± 0.0110a | 0.6848 ± 0.0160 | I |
| 2 | Shibanyan 5 | Henan | 0.6096 ± 0.0233de | 0.6610 ± 0.0194b | 0.6694 ± 0.0103b | 0.6467 ± 0.0177 | I | |
| 106 | V. davidii | Meilingshan 1301 | Jiangxi | 0.6850 ± 0.0066a | 0.6272 ± 0.0311a | 0.6580 ± 0.0073a | 0.6567 ± 0.0150 | I |
| 181 | V. amurensis | Shuangyou | Unknown | 0.6574 ± 0.0212a | 0.6546 ± 0.0035a | 0.6540 ± 0.0107a | 0.6553 ± 0.0118 | I |
| 199 | V. wuhanensis | Dawu 1701 | Hubei | 0.6698 ± 0.0057ab | 0.6554 ± 0.0045a | 0.6704 ± 0.0021a | 0.6652 ± 0.0041 | I |
| 200 | Jingshan 1708 | Hubei | 0.6744 ± 0.0038a | 0.6612 ± 0.0058a | 0.6406 ± 0.0043c | 0.6587 ± 0.0047 | I | |
| 201 | Xianning 1710 | Hubei | 0.6602 ± 0.0047b | 0.6508 ± 0.0051a | 0.6516 ± 0.0090b | 0.6542 ± 0.0063 | I | |
| 233 | V. hancockii | Ruian 1610 | Zhejiang | 0.6478 ± 0.0019a | 0.6764 ± 0.0067a | 0.6528 ± 0.0028a | 0.6590 ± 0.0038 | I |
| 234 | Lingye 945 | Unknown | 0.6498 ± 0.0111a | 0.6692 ± 0.0129a | 0.6130 ± 0.0069b | 0.6440 ± 0.0103 | I | |
| 239 | V. retordii | Luocheng 1602 | Guangxi | 0.6538 ± 0.0038 | 0.6444 ± 0.0250 | 0.6532 ± 0.0044 | 0.6505 ± 0.0111 | I |
Publisher’s Note: MDPI stays neutral with regard to jurisdictional claims in published maps and institutional affiliations. |
© 2020 by the authors. Licensee MDPI, Basel, Switzerland. This article is an open access article distributed under the terms and conditions of the Creative Commons Attribution (CC BY) license (http://creativecommons.org/licenses/by/4.0/).
Share and Cite
Liu, Y.; Jiang, J.; Fan, X.; Zhang, Y.; Wu, J.; Wang, L.; Liu, C. Identification of Heat Tolerance in Chinese Wildgrape Germplasm Resources. Horticulturae 2020, 6, 68. https://doi.org/10.3390/horticulturae6040068
Liu Y, Jiang J, Fan X, Zhang Y, Wu J, Wang L, Liu C. Identification of Heat Tolerance in Chinese Wildgrape Germplasm Resources. Horticulturae. 2020; 6(4):68. https://doi.org/10.3390/horticulturae6040068
Chicago/Turabian StyleLiu, Yongxiang, Jianfu Jiang, Xiucai Fan, Ying Zhang, Jiuyun Wu, Lijun Wang, and Chonghuai Liu. 2020. "Identification of Heat Tolerance in Chinese Wildgrape Germplasm Resources" Horticulturae 6, no. 4: 68. https://doi.org/10.3390/horticulturae6040068
APA StyleLiu, Y., Jiang, J., Fan, X., Zhang, Y., Wu, J., Wang, L., & Liu, C. (2020). Identification of Heat Tolerance in Chinese Wildgrape Germplasm Resources. Horticulturae, 6(4), 68. https://doi.org/10.3390/horticulturae6040068

