You are currently on the new version of our website. Access the old version .
HorticulturaeHorticulturae
  • Article
  • Open Access

17 August 2017

Yield Performance of Organic Sweetpotato Varieties in Various Mulches

,
and
Department of Agricultural and Environmental Sciences, College of Agriculture, Human and Natural Sciences, Tennessee State University, Nashville, TN 37209, USA
*
Author to whom correspondence should be addressed.

Abstract

Interest in organic sweetpotato production in the United States has been growing as consumers and producers are becoming increasingly concerned about how their food is cultivated. Thus, there is a growing need for information on sweetpotato production and variety selection under an organic management production system. The objective of this study was to evaluate the effects of various mulches on yields—total and marketable—of fourteen sweetpotato varieties grown under organic management. Three types of mulch, wheat straw, pine needle, and black plastic, and a control (no mulch) were evaluated during the 2016 growing season. The wheat straw mulch yielded significantly higher yields than the black plastic and pine needle mulch treatments, though it was not significantly different from the control. The total and marketable yields of sweetpotato roots also varied significantly among the varieties, ranging from 39,719 kg·ha−1 for Beauregard to 4925 kg·ha−1 for O’Henry. There was a significant interaction between variety and mulch treatment on total but not marketable yield. More research is needed to ascertain the stability of the effects of varieties, mulch treatment, and their interactions on total and marketable yields and to elucidate other treatments and varieties with better potential to improve sweetpotato yields in organically managed production systems.

1. Introduction

Organic farming is becoming more popular in the United States and around the world [1,2]. Sweetpotato, a tropical root crop, is the fifth most valuable commodity in total sales of all organic vegetables grown in the open field [3]. Industry interest in organically produced sweetpotato has increased in recent years; however, organic sweetpotato production is perceived to be well below the demand [4]. According to the USDA National Agricultural Statistics Service (NASS) 2014 organic survey, California was the highest producer of organic sweetpotato (66,804,779 kg) from 29 farms and 1492 hectares of organic land, while Tennessee produced 24,689 kg of sweetpotato from seven farms and three hectares of organic land [5]. Generally, one of the key drivers for the increased consumption of sweetpotato is the health benefit and the development of value-added products [6].
According to the Center for Environmental Farming Systems, organic farmers cite weed management as their number one research priority [7]. The California Sweetpotato Council stated that hand-weeding is customary for weed control in organic sweetpotato fields [1]. Hand-weeding is impractical if significant human labor is needed, and the cost of organic herbicides makes their use impractical when used over the entire field at rates necessary for adequate weed suppression [8]. Although tillage has been a keystone in weed management, it has not been without some challenges such as exorbitant costs of buying and sustaining equipment, unwarranted disruption of soil, encouraging the growth of dormant weed seed, restrictions in suitable soil categories, alteration of soil water content and effectiveness based on maturity levels of the weeds present [8].
Mulching can be an efficient practice managing weeds. The underlying mechanism of weed suppression is to limit light penetration [9]. Utilizing mulches as ground cover around the plant as an enrichment/protection of the soil in most cases culminates in better yield characteristics of vegetable plants and increases the financial gain of the farmer [9]. Conflicting studies exist on the impact of mulch on sweetpotato yields. A study by Laurie et al. [10] in South Africa, which assessed the effect of different types of mulching and plant spacing on weed control, canopy cover and yield of sweetpotato, demonstrated that mulching (plastic and newspapers) and narrow plant spacing could be used to improve weed management in sweetpotato, since they provided effective weed control and earlier canopy closure. However, they did not find any significant differences in the total and marketable yields between grass straw and black plastic mulch, although both types provided significantly higher yields than that of the control plots. A two-year study by Sideman [11] observed highest total yields of the sweetpotato Beauregard on biodegradable mulch-covered sweetpotato beds, in contrast to the beds without mulch treatment. Nonetheless, the proportion of unmarketable sweetpotato roots was greater in mulch-treated beds primarily as a result of losses during digging at harvest and the negligible increment in production of marketable sweetpotato roots [11]. Wees et al. [12] also compared studies in relatively cool climates of Croatia [13] and Massachusetts [14], where the use of black plastic mulches significantly increased marketable yields of sweetpotato because of increased soil temperatures. Mulching, either by synthetic plastic sheets or organic materials, has a long-lasting impact on yields, produce quality, and time-scale from planting to harvest. The reasons are mainly a result of improved quality soil, better water retention, fluctuating soil temperature, enhanced accessibility to plant nutrient materials, and reduced weed population [15].
Plastic mulch has been used for blocking weed growth, but it is a non-biodegradable synthetic material which must be removed after harvest is complete. Tearing and wind blowing can be a problem, although correct laying of the mulch and rapid crop establishment are the keys to success [16]. This process is not less expensive than other mulch options. Its soil-warming effect is especially advantageous when an early harvest is desired [17]. Inorganic mulches are not encouraged for horticultural use because they do not contribute to soil fertility, do not provide benefits to plants and turf, and may have an adverse effect on plant growth. Maintenance can be expensive and time-consuming. There also is the cost of machinery, the energy required to run the machinery and the labor costs, including disposal issues [8]. Despite these limitations, many growers consider plastic mulch highly cost-effective [18]. Substances such as dried stalks of grain, unwanted grassy forage in urban areas and woody tree bark can allow for effectual weed management; however, the depth of mulch required to repress the development of the weeds could make the price of hauling exorbitant unless the materials are assembled on the farm [18]. Organic mulch not only discourages the development of weeds, it improves nutrient availability, retains soil moisture content, and provides shelter to helpful beneficial organisms [18]. Straw mulches may also harbor seeds of unwanted plants or other toxic substances detrimental to plants. Nevertheless, organic mulches remain popular due to their low cost and ready availability. Further economic analysis would be required to determine if the type of mulches selected in our study are cost-effective, especially when considering labor, cost of mulch and ease of removal.
The objective of the study was to evaluate the yield potential of sweetpotato varieties grown in various mulch treatments in an organic management system. The choice of sweetpotato variety along with the recommended mulch type would certainly be beneficial to local producers regardless of their management system, organic or conventional.

2. Materials and Methods

2.1. Field Preparation, Planting and Harvesting

Field experiments were conducted at the Tennessee State University (TSU) Certified Organic Farm (latitude 36°10′ N and longitude 86°49′ W) in Nashville, TN. Figure 1 depicts the mean monthly temperatures and precipitation for the growing season in 2016. Both July and August months received higher rainfall and were warmer as compared to other months (Figure 1).
Figure 1. Monthly average climate data (2016)—rainfall and temperature in Nashville, TN, USA. Data were made available from the U.S. Climate Data (www.usclimatedata.com).
Slips (rooted cuttings) of fourteen sweetpotato varieties—Beauregard (BD), Porto Rico (PO), Carolina Ruby (CY), Ginseng (GG), Covington (CN), Burgundy (BY), Orleans (OS), Centennial (CL), Hernandez (HZ), Murasaki (MI), O’Henry (OY), Japanese Purple (JP), All Purple (AE) and Old Yellow (OW) were obtained from the Slade’s farm, VA, and Jones family farm, NC. Land was tilled and raised beds (0.76 m high and 0.91 m wide) with 1.22 m spacing between beds were prepared with a bed maker (John Deere, Franklin, TN, USA). Each row was divided into 3 m long plots (0.61 m spacing between plots), which were assigned randomly for the treatments (varieties and mulches). In June 2016, ten slips of the selected variety were planted in the designated plot in a single row maintaining 0.30 m apart between the slips. Three mulches, black plastic, wheat straw and pine needles (Lowe’s, Nashville, TN, USA), were applied immediately after planting. The control consisted of no mulch (bare ground). Wheat straw and pine needle mulches were applied by hand while plastic mulch covering (Hummert’s International, Earth City, MO, USA) was laid mechanically. Drip tape was placed on all plots including the control plots before mulch treatments were applied. Wheat straw and pine needle mulches were applied at a 7.5 cm thickness to ensure that they were not displaced easily by wind or water. Plastic mulch was 0.5 mm thick and was laid over a drip tape. Before planting, holes were cut in the black plastic mulch to align with emitters in the drip tape. All plots including control were drip-irrigated (Dripworks, Willits, CA, USA) at 3 day intervals or twice a week. Plots were maintained per National Organic Program (NOP) standards throughout the growing season [3].
The experiment was designed using a randomized complete block design (RCBD) with four replicates. Each replicate was a plot (3.0 m × 0.91 m in size) containing ten plants grown in a single row with 0.30 m spacing between plants. Yields per unit area (kg·ha−1) are reported; however, yields for all plants in a plot were recorded in which the plot was an experimental unit. Two applications of Nutri-rich organic fertilizer (4–3–2) in pellet form (Planet Natural, Bozeman, OR, USA) were broadcast at 0.5 kg for every 3 m of a sweetpotato bed row/furrow during the crop cycle. The field was scouted periodically for insect pests and diseases by an Extension entomologist and plant pathologist. M-Pede fungicide (20 mL/L) (Dow Agrosciences, Indianapolis, IN, USA) and Mycotrol (7.5 mL/L) (Laverlam International Corporation, Butt, MT, USA) were applied twice for insect pest control. Sweetpotato roots were harvested in October (116–137 days after planting). Vines were removed by hand and rotary mower (John Deere, Franklin, TN, USA), and roots were harvested by a sweetpotato harvester (Spedo Inc., Castagnaro, Italy).

2.2. Sorting, Curing, Storage, and Data Collection

Roots were sorted and stored for curing (30 °C, 80–90% relative humidity). After seven days, roots were further sorted and grouped for grading. Sweetpotato roots were sorted based on USDA sweetpotato grading and standards [19]: marketable (at least 3.81 cm in diameter and free of blemish, spot and disease) and culls (roots of any size that exhibited wounds, breakage, or severe cracking that would reduce storage life) were separated. Total yields (marketable and culls) were weighed with digital scales (Berry Hill Drip Inc., Buffalo Junction, VA, USA). Culls were weighed before discarding. Flesh color of sweetpotato roots was visually characterized according to the descriptors of the sweetpotato rating system [20].

2.3. Statisical Analysis

Data on total and marketable sweetpotato root yields were subjected to analysis of variance (ANOVA) using PROC GLM in SAS (ver. 9.4, SAS, Inc., Cary, NC, USA). Tukey’s Honestly Significant Difference (HSD) post-hoc test (α = 0.05) was used for multiple comparisons among treatments, varieties and their interaction. Data were reported as means ± one standard error of the mean.

3. Results

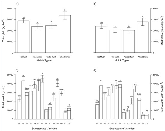
The total and marketable yields significantly varied among sweetpotato varieties and mulch types; however, there was no significant interaction between the varieties and mulch types on marketable yields (Table 1). For total yield, the interaction was statistically significant; however, it had no practical significance due to the lack of an interaction on marketable yield, the goal of a sweetpotato grower. Wheat straw mulch produced significantly greater total and marketable yield than pine needle and black plastic mulches; however, no mulch was significantly different from the unmulched control (Figure 2). The varieties Ginseng and Beauregard produced significantly higher total and marketable yields than All Purple, Hernandez, Japanese Purple, Murasaki, Old Yellow, O’Henry and Porto Rico, but did not significantly differ from Burgundy, Centennial, Covington, Carolina Ruby and Orleans. Over 25% of All Purple, Hernandez and O’Henry varieties, including half the harvested Porto Rico sweetpotato variety roots were culls (difference between total and marketable yields, Figure 2). The total yields of Beauregard was significantly different from half of the sweetpotato varieties evaluated (Figure 2). No serious insect pest and disease were observed during the crop cycle. Some root damage was observed as a result of mechanical injury, and black or soft rot.
Table 1. ANOVA table partitioning the sources of variance for total and marketable sweetpotato yields (kg·ha−1).
Figure 2. Main effects of different mulch types and varieties on total and marketable yields of sweetpotato roots. Error bars are one standard error of the mean. Different letters denote a significant difference by Tukey’s Honestly Significant Difference at α < 0.05. (a) Total yields of sweetpotato across by mulch type with control as no mulch; (b) marketable yields of sweetpotato across by mulch type with control as no mulch; (c) total yields of sweetpotato across varieties: AE = All Purple; BD = Beauregard; BY = Burgundy; CL = Centennial; CN = Covington; CY = Carolina Ruby; GG = Ginseng; HZ = Hernandez; JP = Japanese Purple; MI = Murasaki; OS = Orleans; OW = Old Yellow; OY = O’Henry; PO = Porto Rico; (d) marketable yields of sweetpotato across varieties.

4. Discussion

Both mulch and variety significantly influenced the marketable and total yields of sweetpotato roots; however, the lack of an interaction between the main effects on marketable yield suggested that there was additive effect between mulch types and varieties. The interaction of mulch and variety on total yield without the same effect on marketable yield has no practical significance. For the future, data from multiple growing seasons are needed.
Varieties. Marketable yield in our study was comparable to California averages at 34,522 kg·ha−1 [21]; our highest-yielding sweetpotato variety, Beauregard, averaged 39,719 kg·ha−1 (Figure 2). Lebot [22], as cited by Sideman [11], reported that high light intensity and long days have been shown to increase the number of sweetpotato storage roots, whereas formation and development of storage roots is promoted by short days. Sideman [12] concluded that the combination of longer days during summer months that decrease at a more rapid rate during late summer may, therefore, contribute to production of high yields. Closer spacing between plants may be another contributing factor to higher yields.
The top five highest-yielding sweetpotato varieties were orange-fleshed (Figure 2). The white- and purple-fleshed varieties O’Henry, Porto Rico, Hernandez, Japanese Purple, All Purple and Murasaki (with the exception of two orange-fleshed variety Porto Rico and Hernandez) produced the lowest yields, largely due to the small size of roots, cracking, lenticel formation (roots that darken when washed), and breakage of long roots. On the other hand, the orange-fleshed varieties (Beauregard, Ginseng, Carolina Ruby, Orleans and Covington) were observed to possess longer, heavier roots and to be higher yielding. Yields of Beauregard and Covington were not significantly different from each other and were acceptable when compared to other varieties.
Vambron et al. [23], in a trial on organic land in Kentucky in 2011 and 2012, reported that the orange-fleshed Beauregard produced a significantly higher yield (15,691.9 kg·ha−1) than the Hernandez (8967 kg·ha−1), also a popular orange-fleshed food variety, and the Stokes purple variety (12,329 kg·ha−1) (cultivated for anthocyanin production). Steve and Ballerstein [24] carried out sweetpotato field trials in Geneva, NY from 2005 to 2007 and found yields of Carolina Ruby to consistently outperform Beauregard at 30.5, 38.1 and 45.7 cm plant spacings and that yields of O’Henry and Japanese Purple were consistently lower.
Mulches. Organic mulches are advantageous in preserving the water content and decreasing the heat intensity of the soil by −13 °C to −12 °C throughout the warmest season of the year. When spread to a recommended thickness of 7.6 cm to 10.1 cm, they show good weed control properties. Mulches lay flat on the surface of the soil, giving rise to a barrier that prevents the movement of moisture and air in the space separating the soil and the atmosphere.
Yields in the control (no mulch) plots did not significantly differ from yields of any mulch (Figure 2). Straw mulch might initially influence the maturation of plants in a way that is not desirable due to the vast difference in proportion between their carbon and nitrogen content [25], stemming from the fungi and bacteria which degrade the straw mulch and take nitrogen from the surrounding soil [26,27]. Nevertheless, the lighter color and greater reflectivity of wheat straw mulch may cool soil more along with providing good moisture retention [25,28].
Yields of sweetpotato roots in the pine needle mulch treatment were significantly lower when compared to wheat straw mulch (Figure 2). Pine needles appeared to absorb little moisture, so it was inferior to wheat straw for reducing the need to water [29]. Pine needle mulches are lower in nutrients, tougher, and of high acidity [25]. However, pine needles when used as mulch, despite their acidic nature, will not alter soil pH substantially [30,31] and would manage weed populations when applied with an appropriate thickness. Pine needles are highly effective in preventing run-off, and they are renewable and sustainable [32]. Nevertheless, mulches can keep the soil too moist, restricting oxygen in the root zone on poorly drained soils [33], perhaps reducing yield.
Black plastic mulch had no significant influence on sweetpotato yields when compared with the pine needle mulch and the control (Figure 2). Plastic mulch, an inorganic mulch, is not as efficient as organic mulches in allowing oxygen and carbon dioxide into and out of the plant’s root zone [32], and it also reduces outgoing radiation [33]. It is not as moisture-retentive as organic mulch [34]. Nevertheless, using the variety Covington planted in either infra-red transmitting (IRT) mulch or the standard black plastic mulch, Bornt [35] found that black mulch gave the highest marketable root numbers, total weights and average root size across the different size categories compared to IRT mulches. Also, of the six varieties tested, the orange skin, orange-fleshed varieties Beauregard and Covington produced some of the highest marketable yields [35]. Furthermore, Hector et al. [36] used black plastic mulches in combination with drip irrigation and noted an increase in both earliness and total marketable yields when compared to bare-ground plants.
Yield loss, i.e., from culling, was highest for Porto Rico and O’Henry (Figure 2). Production issues that may have brought about yield losses could have occurred during harvest, in curing and storage, by insect pests and diseases that cause cracking, partial root decay, uneven root development (e.g., by root knot nematode damage), and physiological issues like blisters, growth cracks as a result of uneven expansion of the roots, and internal stress development [37], as well as from postharvest injury. Lower total yields in such varieties indicate that they may require a longer growing season and/or that such varieties are less adaptable to the southeastern region. The canopy layer may also be thinner in some varieties resulting in different levels of weed interference so such varieties may not be very tolerant to weed competition [38,39,40].
From our study, the use of wheat straw mulch was more effective than the other mulch treatments in sustaining yields of sweetpotato, although it was not significantly different from the control. The results of this study therefore show that sweetpotato using wheat straw mulch treatments may be a viable crop production system for organic growers. However, the white northern and purple Asian sweetpotato varieties produced lesser yields.

5. Conclusions

Fourteen sweetpotato varieties were successfully grown in an organic management system with wheat straw, pine needle, and black plastic mulches, as compared to a no mulch control. The marketable yields in this study were comparable to the average marketable yield of organic sweetpotato grown in the U.S., with a number of varieties producing over 22,417 kg·ha−1. The mulch effect on sweetpotato root yield was not significantly different from unmulched plots (control). However, wheat straw mulch was a better option for growers in terms of improving yields of sweetpotato than pine needle and black plastic mulches, even though it did not differ from no mulch. These results may be due to differences in soil moisture content, soil and air temperatures around the mulches, and the reality that different varieties could respond to different mulches in a myriad of ways. Although the black plastic mulch, for example, has been reported by various studies to increase soil temperatures and air temperatures above and around the mulch (which may be beneficial in giving rise to early yields) and to conserve water in the early stages of the growing season by reducing the rate at which evaporation occurs, it may eventually lead to the soil being increasingly dry when compared with unmulched plots. The interaction between variety and mulch types on root yields was not significant, suggesting any effect was additive. There is potential for use of wheat straw mulch in weed control, and labor management in organic sweetpotato production. Black plastic mulch was very effective in managing weeds; however, it had significantly lower yield compared to wheat straw. Nevertheless, a cost benefit analysis of the utilization of black plastic versus wheat straw may determine their profitability to the grower in the long term. Black plastic mulch shows superior weed suppression and could therefore result in the reduction of the costs of labor for weed management, offsetting costs associated with disposing it and yield reductions compared to wheat straw. Further studies are warranted to confirm the possible effects of variety and mulches on total and marketable yields and to elucidate other treatments and varieties with better potential to increase yield under organically managed production systems.

Acknowledgments

This research was conducted with funding assistance from the Evans Allen project (DN). The authors sincerely thank the organic research team for the field assistance. The authors appreciate Ramasamy Ravi for his feedback on the manuscript and Joan Kite and Kemi Elufiede for proofreading.

Author Contributions

Dilip Nandwani and Sochinwechi Nwosisi conceived the idea and designed the experiments; Sochinwechi Nwosisi performed the field experiments and collected data; Sochinwechi Nwosisi and Bharat Pokharel analyzed the data and interpreted the results; Sochinwechi Nwosisi, Dilip Nandwani and Bharat Pokharel wrote the manuscript.

Conflicts of Interest

The authors declare no conflict of interest.

References

  1. Katherine, L.A. Sweetpotato: Organic Production; National Sustainable Agriculture Information service operated by the National Center for Appropriate Technology: Fayetteville, AR, USA, (ATTRA, NCAT), 2005; 14p, Available online: https://attar.ncat.org/attar-pub/download.php?id=32 (accessed on 12 September 2016).
  2. Anonymous. National Organic Standards Board; USDA Agricultural Marketing Service: Washington, DC, USA, 2015. Available online: https://www.ams.usda.gov/sites/default/files/media/NOSB%20Fact%20Sheet.pdf (accessed on 3 February 2017).
  3. Anonymous. Organic Farming Results from the 2014 Organic Survey. 2012 Census of Agriculture, Highlights. United States Department of Agriculture National Statistical Service; ACH12-29/September; 2015; 4p. Available online: https://www.agcensus.usda.gov/Publications/2012/Online_Resources/Highlights/Organics/2014_Organic_Survey_Highlights.pdf (accessed on 3 February 2017).
  4. Meyers, S.L. Assessing and Addressing the Needs of a Growing United States Organic Sweetpotato Industry; Non-Technical Summary; United States Department of Agriculture, Research, Education and Economics Information Systems: Mississippi, MS, USA, 2015. Available online: http://portal.nifa.usda.gov/web/crisprojectpages/1007205-assessing-and-addressing-the-needs-of-a-growing-united-states-organic-sweetpotato-industry.html (accessed on 10 September 2016).
  5. Anonymous. Organic Survey. In 2012 Census of Agriculture; Special Studies, Part 4, AC-12-SS-4; USDA National Agricultural Statistics Service: Washington, DC, USA, 2014; Volume 3. Available online: https://www.agcensus.usda.gov/Publications/2012/Online_Resources/Organics/organics_1_005_005.pdf (accessed on 3 February 2017).
  6. Schultheis, J.R. Tips from the Sweetpotato Experts: Sweetpotato Production in North Carolina; Department of Horticultural Science: Raleigh, NC, USA, 2013. Available online: http://www.newenglandvfc.org/2013_conference/proceedings2013/Schultheis%20SweetPotato%20Production%20.pdf (accessed on 10 November 2016).
  7. Cerruti, R.H.; Leslie, A.W.; Guihua, C. Managing Weeds in Vegetables Organically; UMD Department of Entomology, University of Maryland Cooperative extension: Baltimore, MD, USA, 2015; 18p, Available online: https://extension.umd.edu/sites/default/files/_images/programs/mdvegetables/OrganicWeedMgntVeg21May2016(1).pdf (accessed on 3 February 2017).
  8. Finney, D.M.; Creamer, N.G. Organic production: Weed management on organic farms. In Special Topic: Cultivation Practices for Organic Crops; David, W.M., Jennings, K.M., Mitchem, W.E., Eds.; North Carolina Cooperative Extension Service: Raleigh, NC, USA, 2008; 33p, Available online: https://content.ces.ncsu.edu/weed-management-on-organic-farms (accessed on 3 February 2017).
  9. Coolong, T.; Seebold, K.; Bessin, R.; Woods, T.; Fannin, S. Sweetpotato Production for Kentucky; ID-195.; Cooperative Extension Service, University of Kentucky College of Agriculture: Lexington, KY, USA, 2012; Available online: http://www2.ca.uky.edu/agcomm/pubs/id/id195/id195.pdf (accessed on 3 February 2017).
  10. Laurie, M.; Maja, M.N.; Ngobeni, H.M.; Du Plooy, C.P. Effect of Different Types of Mulching and Plant Spacing on Weed Control, Canopy Cover and Yield of Sweetpotato (Ipomoea batatas (L.) Lam) S. Am. J. Exp. Agric. 2015, 5, 1–9. Available online: http://www.journalrepository.org/media/journals/AJEA_2/2014/Nov/Laurie_552014AJEA12404_1.pdf (accessed on 2 February 2017).
  11. Sideman, R.G. Performance of sweetpotato varieties grown using biodegradable black plastic mulch in New Hampshire. HortTechnology 2015, 25, 412–416. [Google Scholar]
  12. Wees, D.; Seguin, P.; Boisclair, J.; Gendre, C. Performance and Quality of Sweetpotato Varieties Grown in Quebec, Canada with Biodegradable Plastic Mulch. HortTechnology 2015, 25, 815–823. [Google Scholar]
  13. Novak, B.; Zutic, I.; Toth, N.; Dobricevic, N. Sweetpotato [Ipomoea batatas (L.) Lam] yield influenced by seedlings and mulching. Agric. Conspec. Sci. 2007, 72, 357–359. [Google Scholar]
  14. Hochmuth, J.G.; Howell, J.C. Effect of black plastic mulch and raised beds on sweetpotato growth and root yield in a northern region. HortScience 1983, 18, 467–468. [Google Scholar]
  15. Sharma, R.R. Growing Strawberries, 1st ed.; International Book Distributing Co.: Lucknow, India, 2002; 164p, ISBN 8185860890. [Google Scholar]
  16. Runham, S. Clear Edge for Paper Mulch; Grower, Nexus Horticulture: Swanley, UK, 1998; Volume 129, pp. 21–22. [Google Scholar]
  17. Schonbeck, M.; Tillage, B. Principles of Sustainable Weed Management in Organic Cropping Systems, 3rd ed.; Workshop for Farmers and Agricultural Professionals on Sustainable Weed Management; Clemson University: Clemson, SC, USA, 2011; Available online: https://www.clemson.edu/public/sustainableag/pdfs/weedmanagement.pdf (accessed on 26 November 2016).
  18. Merwin, I.A.; Rosenberger, D.A.; Engle, C.A.; Rist, D.L.; Fargione, M. Comparing mulches, herbicides, and cultivation as orchard groundcover management systems. HortTechnology 1995, 5, 151–158. [Google Scholar]
  19. Anonymous. Sweetpotato Grades and Standards; United States Department of Agriculture, Agricultural Marketing Service: Washington, DC, USA, 2005. Available online: https://www.ams.usda.gov/sites/default/files/media/Sweetpotato_Standard%5B1%5D.pdf (accessed on 10 January 2017).
  20. The International Potato Center (CIP)/The Asian Vegetable, Research and Development Center (AVRDC)/International Board for Plant Genetic Resources (IBPGR). Descriptors for Sweet Potato; Huamán, Z., Ed.; International Board for Plant Genetic Resources: Rome, Italy; 1991; 134p. [Google Scholar]
  21. Johnson, T.; Wilson, N.; Michelle, R.W.; Deacue, F.; Jennifer, K.B. Vegetables and Pulses Outlook: Special Article Commodity Highlight: Sweetpotato. USDA Economic Research Service, 2015. Available online: http://www.ers.usda.gov/media/1834605/vgs-355-sa1.pdf (accessed on 4 December 2016).
  22. Lebot, V. Tropical Root and Tuber Crops: Cassava, Sweetpotato, Yams and Aroids; CABI Publishing: Wallingford, UK, 2008; Volume 17, 413p. [Google Scholar]
  23. Vambron, J.; Michael, B.; Silvernail, T.; Nelson, J. Assessing Sweetpotato Varieties for Organic Production of Food and Biofuel in Kentucky. Southern Sustainable Agriculture Working Group (SSAWG) Conference Poster Presentation, College of Agriculture Food Science and Sustainable Systems Kentucky State University: Frankfort, KY, USA, 2013. Available online: http://organic.kysu.edu/SweetPotato(SSAWG2013).pdf (accessed on 31 January 2017).
  24. Steve, R.; Ballerstein, J. Organic Vegetable Production. Sweetpotato: The Next Big Crop for up North Michigan Greenhouse Growers Expo. Great Lakes Fruit, Vegetable & Farm Market. Grand Rapids, MI, USA, 2009. Available online: https://www.glexpo.com/summaries/2009summaries/OrganicVegetableProduction.pdfsweet_potatoes.html (accessed on 7 January 2017).
  25. Schonbeck, M. Organic Agriculture. Organic Mulching Materials for Weed Management. Extension Issues, Innovation and Impact. 2012. ID 65025. Available online: http://articles.extension.org/pages/65025/organic-mulching-materials-for-weed-management (accessed on 3 February 2017).
  26. Gillman, J. The Truth About Organic Gardening: Benefits, Drawnbacks, and the Bottom Line; Timber Press: Portland, OR, USA, 2008; pp. 51–52. [Google Scholar]
  27. Lugo-Perez, J.; Lloyd, J.E. Ecological Implications of Organic Mulches in Arboriculture: A Mechanistic Pathway Connecting the Use of Organic Mulches with Tree Chemical Defenses. Arboric. Urban For. 2009, 35, 211–217. [Google Scholar]
  28. Johnson, J.M.; Hough-Goldstein, J.A.; Vangessel, M.J. Effects of straw mulch on pest insects, predators, and weeds in watermelons and potatoes. Environ. Entomol. 2004, 33, 1632–1643. [Google Scholar] [CrossRef]
  29. Anonymous. Backyard Conservation. Soil and Water Conservation District, Cumberland County, NC, USA, 2010. Available online: https://www.co.cumberland.nc.us/soil_water/education/backyard_conservation.asp (accessed on 12 July 2017).
  30. Meyer, S. Complete guide to organic mulch. Org. Gard. 1997, 44, 50–55. [Google Scholar]
  31. Huxta, B. Mulch Materials Research Report. Which Mulch Materials Are Best for Your Garden Needs? Rodale’s Organic Life; Rodale Inc.: Emmaus, PA. USA, 2010; Available online: https://www.rodalesorganiclife.com/garden/mulch-materials-research-report (accessed on 4 August 2017).
  32. Anonymous. Mulches for Horticultural and Non-Horticultural Use. Approved E04 Specifications. Newyork Office of General Services. Available online: https://www.ogs.ny.gov/greenny/specs/green-specs-mulch.asp (accessed on 12 July 2017).
  33. Patil, S.S.; Kelkar, T.S.; Bhalerao, S.A. Mulching: A Soil and Water Conservation Practice. Res. J. Agric. For. Sci. 2013, 1, 26–29. [Google Scholar]
  34. Chalker-Scott, L. Impact of mulches on landscape plants and the environment—A review. J. Environ. Hortic. 2007, 25, 239–240. [Google Scholar]
  35. Bornt, C. Improving the Yield and Quality of Sweetpotato Grown in New York. In Sustainable Agriculture Research and Education Final Report Summary; Cornell Cooperative Extension Capital District Vegetable & Small Fruit Program: Troy, NY, USA, 2010; 9p, Available online: http://rvpadmin.cce.cornell.edu/uploads/doc_15.pdf (accessed on 1 February 2017).
  36. Hector, V.; Fukuda, S.; Arakaki, A. Crop production guidelines. In Sweet Potato Crop Production Guidelines for Hawaii; College of Tropical Agriculture and Human Resources, University of Hawaii at Manoa: Honolulu, Hawaii, HI, USA, 2015; Available online: http://www.extento.hawaii.edu/kbase/reports/sweetpot_prod.htm (accessed on 12 April 2015).
  37. Bertelson, D.; Robert, D.; Joy, H.; Fred, H.; Hyunok, L.; John, L.; Gary, L.; Agapi, S.; Glenn, Z. Sweetpotatoes: An Economic Assessment of the Feasibility of Providing Multiple-Peril Crop Insurance. Available online: http://www.rma.usda.gov/pilots/feasible/pdf/sweetpot.pdf (accessed on 26 November 2016).
  38. Schultheis, J.R.; Walters, S.A.; Adams, D.E.; Estes, E.A. In row plant spacing and date of harvest of Beauregard sweetpotato affect yield and return on investment. HortScience 1999, 34, 1229–1233. [Google Scholar]
  39. Rolston, L.H.; Clark, C.A.; Cannon, J.M.; Randle, W.M.; Riley, E.G.; Wilson, P.W.; Robbins, M.L. ‘Beauregard’ sweetpotato. HortScience 1987, 22, 1338–1339. [Google Scholar]
  40. LaBonte, D.R.; Cannon, J.M.; Clark, C.A.; Villordon, A.Q.; Wilson, P.W.; Hammond, A.H.; Story, R.N. Bienville sweetpotato. HortScience 2003, 38, 473–474. [Google Scholar]

Article Metrics

Citations

Article Access Statistics

Multiple requests from the same IP address are counted as one view.