Next Article in Journal
Spectral Quality and Infrared Radiation from Supplemental Lighting Shape the Physiology and Phytochemical Profile of Swiss Chard (Beta vulgaris L.)
Previous Article in Journal
Genome-Wide Analysis of Shaggy-like Kinase (SK) Family Genes in Brassica rapa and Functional Characterization of BrSKβ-2 in Pollen Development
 
 
Font Type:
Arial Georgia Verdana
Font Size:
Aa Aa Aa
Line Spacing:
Column Width:
Background:
Article

Optimizing Light Spectra for Cannabis: Effects of End-of-Day and Continuous Far-Red on Plant Morphology and Flower Induction

1
Department of Agricultural and Food Sciences (DISTAL), Alma Mater Studiorum—University of Bologna, 40127 Bologna, Italy
2
Nova Era SARL, 42030 Vezzano sul Crostolo, Italy
*
Author to whom correspondence should be addressed.
Horticulturae 2026, 12(4), 456; https://doi.org/10.3390/horticulturae12040456
Submission received: 13 March 2026 / Revised: 31 March 2026 / Accepted: 1 April 2026 / Published: 7 April 2026
(This article belongs to the Section Protected Culture)

Abstract

Light quality plays a decisive role in controlled-environment agriculture, shaping plant morphology, physiology, and productivity. This study investigated the impact of far-red (FR) light on Cannabis sativa L. by comparing two different application strategies: continuous FR supplementation throughout 12 h of the photoperiod and end-of-day (EOD) FR exposure applied only at the end of the light period. In both treatments, FR was added to a background spectrum of red and blue (RB) light, while a control group grown under RB light alone was included to assess the specific effects of FR on plant growth, physiological responses, and flowering. Continuous FR exposure induced pronounced shade-avoidance traits, increasing plant height by 9% and petiole length by 17% relative to the control, and raised leaf dry weight to 12.9 g, 9% higher than under EOD (11.7 g) and 16.3% higher than under RB alone (10.8 g). Besides plant height and petiole length, both FR and EOD treatment induced limited morphological adjustments but increased chlorophyll content by 9%, resulting in greater canopy expansion and photosynthetic potential. However, flowering time was unaffected by spectral treatment, confirming that Cannabis floral induction is tightly regulated by photoperiod rather than light quality. Energy-use analysis revealed that EOD supplementation achieved many of the benefits of continuous FR while reducing overall consumption, but energy-use efficiency analysis proved FR as the more efficient treatment. These findings highlight the potential of FR light, particularly when applied continuously, to optimize vegetative growth and canopy physiology in controlled-environment Cannabis cultivation, while EOD strategies offer a practical compromise between cost savings and physiological benefits.

Graphical Abstract

1. Introduction

With the rapid expansion of controlled environment agriculture, light has emerged not only as a source of photosynthetic energy but also as a precise tool for shaping plant morphology, physiology, and metabolism. In Cannabis sativa L., where the accumulation of bioactive compounds is highly sensitive to environmental conditions, optimizing spectral regimes offers new opportunities to refine lighting cultivation strategies [1,2,3,4].
Conventionally, photosynthetically active radiation (PAR) is defined as the range between 400 and 700 nm [5]. However, several studies have shown wavelengths beyond PAR, particularly far-red (FR) light (700–750 nm), can significantly contribute to both photosynthetic and morphological processes in plants [6]. As early as 1957, Emerson demonstrated that photosynthetic yield depends on the balance between red and FR light, and that their simultaneous application can synergistically enhance photosynthetic efficiency through the so-called Emerson effect [7,8]. Building on this, recent advances in LED technology have enabled researchers and growers to precisely manipulate specific spectral regions, including FR, to optimize plant physiology and productivity [9]. Accordingly, the effects of FR on plants have been extensively studied, and it has been observed that for food crop cultivation and transplant production, the photosynthetic rate was saturated at a low dosage of FR at around 2–4 mmol m−2 d−1 [10]. The influence of FR light on seed germination, photosynthesis, flowering, and overall plant morphology has also been addressed for Cannabis plants [9,10]. Magagnini et al. [1] suggested that in Cannabis plants, the lower cannabinoid concentrations under high-pressure sodium light fixtures may be the result of their lower R:FR ratio, which is consistent with FR radiation’s known impact of decreasing secondary metabolite pathways in various plant species [11,12]. These results were further confirmed [13] when a lower R:FR ratio on Cannabis plants resulted in increased plant height and decreased secondary metabolite activity in both leaves and inflorescences [14,15].
Additionally, numerous physiological studies conducted on various crops have consistently demonstrated that light plays a crucial role in regulating flowering [16]. This regulatory influence is exerted by modulating three primary variables: spectrum, intensity, and photoperiod duration [17]. Plants can detect changes in light parameters and adjust their growth through a process known as photomorphogenesis. This light perception is carried on by specific proteins called photoreceptors. Various families of photoreceptors have been identified, each associated with detecting and signaling in response to different wavelengths of light [18]. Phytochromes are photoreceptors involved in the detection of red (660–680 nm) and FR (700–750 nm) light. They exist in two interconvertible forms, Pr (inactive) and Pfr (active), which allows them to detect variations in light quality, intensity, and duration through the so-called phytochrome photostationary state (PSS) [19]. This process of photoreversibility plays a fundamental role in regulating photomorphogenesis [20] and key phenological events such as seed germination, seedling development, and the timing of flowering [21].
One of the most promising applications of FR light in Cannabis cultivation is the use of end-of-day (EOD) treatments. Unlike continuous FR exposure, EOD involves brief FR light exposure at the end of the photoperiod to modulate phytochrome equilibrium, alter plant morphology, and trigger the Emerson effect. This strategy has been successfully applied across various plant species to optimize biomass allocation and flowering responses, while minimizing the negative effects of prolonged FR exposure [22,23,24]. However, extended end-of-day (EOD) treatments with a low red-to-far-red (R:FR) ratio and high FR intensity may also trigger responses typically observed under continuous low R:FR conditions, such as increased internode, stem, and petiole elongation [25]. Excessive elongation, if not carefully managed, can adversely affect growth and compromise plant quality. Thus, the effective use of EOD lighting in plant production requires a careful balance between stimulating flowering and preventing undesirable stem elongation [22].
It has also been observed that the presence of low R:FR and/or EOD can speed up flowering in numerous long-day plants, emphasizing the significance of light quality in the regulation of phenology [26,27,28]. Other experiments studied the effects of FR light and EOD light on growth and flowering of other species like Arabidopsis thaliana [28,29,30], winter barley [31] and Petunia x hybrida [32]. For those plants that require long-day conditions for blooming, studies indicate that optimal flowering occurs when exposed to red light during the initial phase of the photoperiod and FR light towards its end [33]. However, because Cannabis sativa is a short-day species, the relevance of these findings to its cultivation remains uncertain. Nevertheless, accumulating evidence suggests that elements of the long-day plant sensing model also play a role in short-day plants. Genetic studies have shown that species with short-day responses share key regulatory components with long-day plants, suggesting a conserved genetic framework underlying flowering regulation across plant species [34,35].
Across available literature on Cannabis sativa, the study of the effects of EOD was addressed only by Peterswald et al. [36], with exposition of Cannabis plants to 0, 2, or 4 h EOD FR light, although the experiment lacked a full-day FR control treatment. The 4 h EOD treatment led to significantly earlier flowering (~4.5 days) and stronger shade-avoidance traits. Both EOD durations increased stem elongation and internode length, while no significant differences were found in biomass or inflorescence yield, and cannabinoids levels remained stable, though minor terpene shifts occurred with longer FR exposure.
In this study, we investigated the effects of FR and EOD light treatments on morphological and physiological traits in Cannabis sativa, with a focus on biomass accumulation, plant architecture, and flower induction. By examining growth responses to controlled light spectra, the research aimed to elucidate the role of EOD lighting in short-day plants and to assess its potential to optimize cultivation strategies in controlled environment agriculture.

2. Materials and Methods

2.1. Experimental Setup

The study was conducted at the experimental greenhouses of the Department of Agricultural and Food Sciences (DISTAL) of ALMA MATER STUDIORUM University of Bologna from 19 March to 6 May 2024. After a three-week acclimatization period (Figure 1a), plants were subjected to different lighting treatments structured into two main stages: a vegetative growth phase in a semi-controlled greenhouse environment, followed by a flowering phase under fully controlled indoor conditions.
During the vegetative phase (Figure 1b), which ran from April 8 to April 25 for 18 days after transplanting (DAT), Cannabis sativa plants were cultivated under natural sunlight, with the day length naturally exceeding 12 h and progressively lengthening as the season advanced, fostering steady vegetative growth (Figure 1c). Environmental conditions were controlled at 25 ± 3 °C and 55–70% relative humidity. In addition to natural light, dimmable LED fixtures (Hemera, Hangarlab, Verona, Italy) were used to supplement lighting, providing 12 h of light per day (from 8:00 to 20:00). The natural photoperiod was sufficient to maintain Cannabis sativa in the vegetative phase, as this species is a short-day plant.
A total of 72 plants were arranged in a randomized block design with three lighting treatments (see Section 2.2), each replicated four times. Each experimental unit consisted of one grow box containing six plants, of which three were used for data collection and three as buffer plants to minimize edge effects. In total, 36 plants (3 plants × 3 treatments × 4 replicates) were included in the statistical analysis. Plants were cultivated at a density of 12 plants m−2.
In the second phase, starting at DAT 38, the 36 plants (3 plants per replicate) used for measurements were moved into fully enclosed 1 m2 indoor grow boxes (Flytech, Belluno, Italy) (Figure 1d). Here, a 12:12 h light/dark cycle was implemented to induce flowering. Within the grow boxes, the same artificial light spectrum and intensity as those supplied in the greenhouse were adopted. However, being fully enclosed, they allowed for precise photoperiod control, enabling a reliable transition to the reproductive stage. Throughout this phase, environmental parameters were maintained at stable levels, with a temperature of 25 ± 3 °C and a relative humidity range of 55% to 70%. The flowering phase lasted 12 days, from DAT 38 to DAT 49.
Although this period was too short to allow full inflorescence development and final yield assessment, it was intentionally chosen to monitor the early physiological and morphological responses to photoperiodic induction under different light spectra. The experiment was therefore designed to investigate the onset of flowering and its modulation by FR light, rather than the commercial biomass yield. The absence of inflorescence weight data does not compromise the validity of the experiment, since the measured variables, such as stem diameter, plant height, and leaf traits, serve as reliable indicators of early reproductive transition and plant vigor. Furthermore, extending the trial until complete flowering would have introduced additional environmental and nutritional variability, potentially confounding the specific effects of light spectra. It is also important to note that far-red radiation has been reported to exert detrimental effects on the accumulation of secondary metabolites in Cannabis sativa, such as cannabinoids and terpenes, when applied in excessive amounts or during late flowering stages [2]. Therefore, limiting the exposure to FR light during the short initial flowering phase was a deliberate choice to avoid potential suppression of secondary metabolism while still enabling the evaluation of photomorphogenic effects on reproductive induction. The vegetative period of 38 days was chosen because Cannabis sativa plants can be maintained in a vegetative state for extended periods under long-day photoperiods, and the selected timeframe allowed sufficient canopy development prior to flowering induction [37].

2.2. Plant Cultivation

Cannabis sativa rooted cuttings (var. Mango, Chemotype III, CBD dominant) supplied by Nova Era SARL were transplanted into 3 L plastic pots containing a growing medium consisting of 80% (v/v) peat (VigorPlant, Lodi, Italy) and 20% (v/v) perlite. At transplanting, plants were carefully selected to ensure uniformity in plant height (13 ± 2 cm), and leaf number (3 leaves), thereby minimizing initial variability among treatments. Fertigation was managed to achieve a leaching fraction of approximately 10%, thereby minimizing salt accumulation in the substrate. The fertigation strategy was adapted to the plant growth stages. During the vegetative phase, plants were treated with a nutrient solution having an electrical conductivity (EC) of 1.6 dS m−1 and a pH of 6.0. This solution supplied macronutrients at the following concentrations: 230 mg L−1 N, 59 mg L−1 P, 100 mg L−1 K, 120 mg L−1 Ca, 45 mg L−1 Mg, and 60 mg L−1 S. Micronutrients were included at concentrations of 2.1 mg L−1 Fe, 0.6 mg L−1 Mo, 0.12 mg L−1 Zn, 0.03 mg L−1 Cu, 0.39 mg L−1 B, and 0.018 mg L−1 Mo. In the flowering phase, the EC of the nutrient solution was increased to 1.8 dS m−1, and the pH was adjusted to 5.5. Nitrogen concentration was reduced to 194 mg L−1, while the concentrations of other nutrients remained the same. Throughout both phases, the ammonium-to-nitrate nitrogen ratio was maintained at 1:10 [38,39,40,41,42].

2.3. Lighting Treatments

Lighting treatments were applied for 12 h a day, using supplemental light in the greenhouse and white reflective plastic curtains to separate the replicates with different light spectra, with buffer plants to prevent light contamination between different treatments. After 18 days, plants were moved to the grow boxes to induce flowering (Figure 1d). Three light regimes were used (Figure 2), including:
(RB) The RB treatment, used as a control treatment, consisted of red (R) and blue (B) radiation applied from 8:00 to 20:00, providing a total photon flux density of 320 µmol m−2 s−1. The red component contributed 240 µmol m−2 s−1, while the blue component accounted for 80 µmol m−2 s−1, resulting in a RB ratio of 3:1.
(FR) The FR treatment was applied from 8:00 to 20:00 and was based on the RB setup but incorporated a continuous FR light component. This modification involved adding 20 µmol m−2 s−1 of FR radiation, slightly reducing the red light to 225 µmol m−2 s−1 and the blue radiation to 75 µmol m−2 s−1, resulting in a R:FR ratio of 10 but preserving the same RB ratio of 3:1.
(EOD) The EOD treatment followed the same setup of RB treatment for 11 h from 8:00 to 19:00, but at an intensity of 303 µmol m−2 s−1. For the last hour of the day, from 19:00 to 20:00, FR light was applied, delivering 220 µmol m−2 s−1 of FR radiation in addition to 220 µmol m−2 s−1 of red, and 73 µmol m−2 s−1 of blue light. In this way, the same DLI and RB ratio was maintained through all the treatments, resulting in a significantly lower R:FR ratio of 1 for the EOD treatment.
All lighting fixtures were positioned 30 cm above the plant canopy to ensure uniform light distribution. Light was supplied by LED fixtures with peak emissions at 630 nm (red), 470 nm (blue), and 730 nm (far-red), with the daily light integral (DLI) maintained at a constant value of 13.83 ± 0.02 mol m−2 d−1 to standardize light exposure across treatments. Daily energy consumption amounted to 1.44 kWh m−2 for RB, 1.47 kWh m−2 for EOD, and 1.51 kWh m−2 for FR.

2.4. Measurements

Morphological parameters were assessed by systematically counting the number of internodes and leaves per plant. Plant height was measured from the base to the apical meristem with a measuring tape, and internode length was measured with a ruler. Stem diameter was measured at a standardized height of 2 cm above the substrate using a digital caliper, held perpendicular to the stem to ensure consistency. Stem robustness index was subsequently calculated as the ratio of plant height to stem diameter.
The energy consumption was monitored using a plug-in wattmeter. At harvest, fresh biomass was quantified using a digital scale (Kern and Sohn, Balingen, Germany).
Leaves, stems, and roots were weighed separately to define biomass partitioning between organs. Roots were separated from the substrate by gently rinsing them in water until all residues were removed. They were then carefully dried with an absorbent paper towel and weighed. Subsequently, the plant material was dried in a forced-air oven at 65 °C until constant weight was achieved. Afterward, the dry biomass was assessed using a precision balance (Kern and Sohn, Balingen, Germany). Energy-use efficiency for lighting (EUE) was calculated as the ratio of dry biomass accumulated to the lighting system’s electric consumption [43].
Flowering-related traits, including the timing of pistil emergence and apical bud development, were documented through direct visual observation and manual note-taking, enabling characterization of phenological progression.
For detailed leaf morphological analysis, during destructive measurements, leaves were removed and displayed on a black surface, and digital photographs were captured with the rear 12 MP camera of a smartphone under uniform lighting conditions, using a ruler as a reference and maintaining the camera at a constant distance with a metal frame. Leaf area and petiole length were then quantified using ImageJ software (Version 1.54g National Institutes of Health, Bethesda, MD, USA). Specifically, for each plant, the length of the petiole was measured for the first five completely developed fan leaves below the apical meristem, counting from the top of the plant. The chosen leaves were defined by comparing the leaf pixel counts of each individual plant to ensure standardized, representative sampling.
After the onset of pistil emergence, physiological traits were further evaluated using a PlantExplorer Pro+ phenotyping cabinet (PhenoVation, Wageningen, The Netherlands). This high-resolution multispectral imaging system collected leaf reflectance data from which a series of physiological spectral indices were computed to assess plant health, photosynthetic performance, and pigment content. Key indices included the Chlorophyll Index (Chl.Idx), Normalized Difference Vegetation Index (NDVI), and the Anthocyanin Index [44]. These indices provided quantitative estimates of chlorophyll concentration, anthocyanin accumulation, and overall canopy vigor. Multispectral images were processed using “Data Analysis Software v5.8.3–64b” from PhenoVation, enabling pixel-level extraction of reflectance values and calculation of physiological indices. Chl.Idx images, in particular, were visualized as pseudo-colored maps segmented into five classes based on pixel intensity. Each class represented a defined range of Chl.Idx values, allowing intuitive visualization of spatial heterogeneity in chlorophyll distribution across the plant canopy and under different lighting treatments. To define the class thresholds, the histogram distribution of pixel intensity values (ranging from 0 to 65,535 in 16-bit images) was analyzed. Thresholds were empirically determined to balance sensitivity to physiological variation with interpretability, avoiding over-segmentation while preserving biologically meaningful patterns. Furthermore, chlorophyll-to-anthocyanin ratio (Chl/Ari) was calculated.

2.5. Statistical Analysis

Statistical analyses were performed using R (version 4.4.2; R Core Team, Vienna, Austria) within RStudio (version 2024/12.0) environment. The experimental design followed a randomized complete block structure with four independent replicates per lighting treatment. The replicate (experimental unit) was considered the unit of analysis. For each response variable, measurements from the three sampled plants within each replicate were averaged prior to statistical analysis. Treatment effects were evaluated using one-way analysis of variance (ANOVA), with lighting treatment as a fixed factor. When the overall F-test was significant (p < 0.05), comparisons among treatment means were performed using Fisher’s protected Least Significant Difference (LSD). Model assumptions were assessed by inspecting residual distributions and testing for normality (Shapiro–Wilk and QQ plot test) and homogeneity of variances (Levene’s test).

3. Results

3.1. Morphological Traits

3.1.1. Plant Height, Number of Leaves, and Internodes

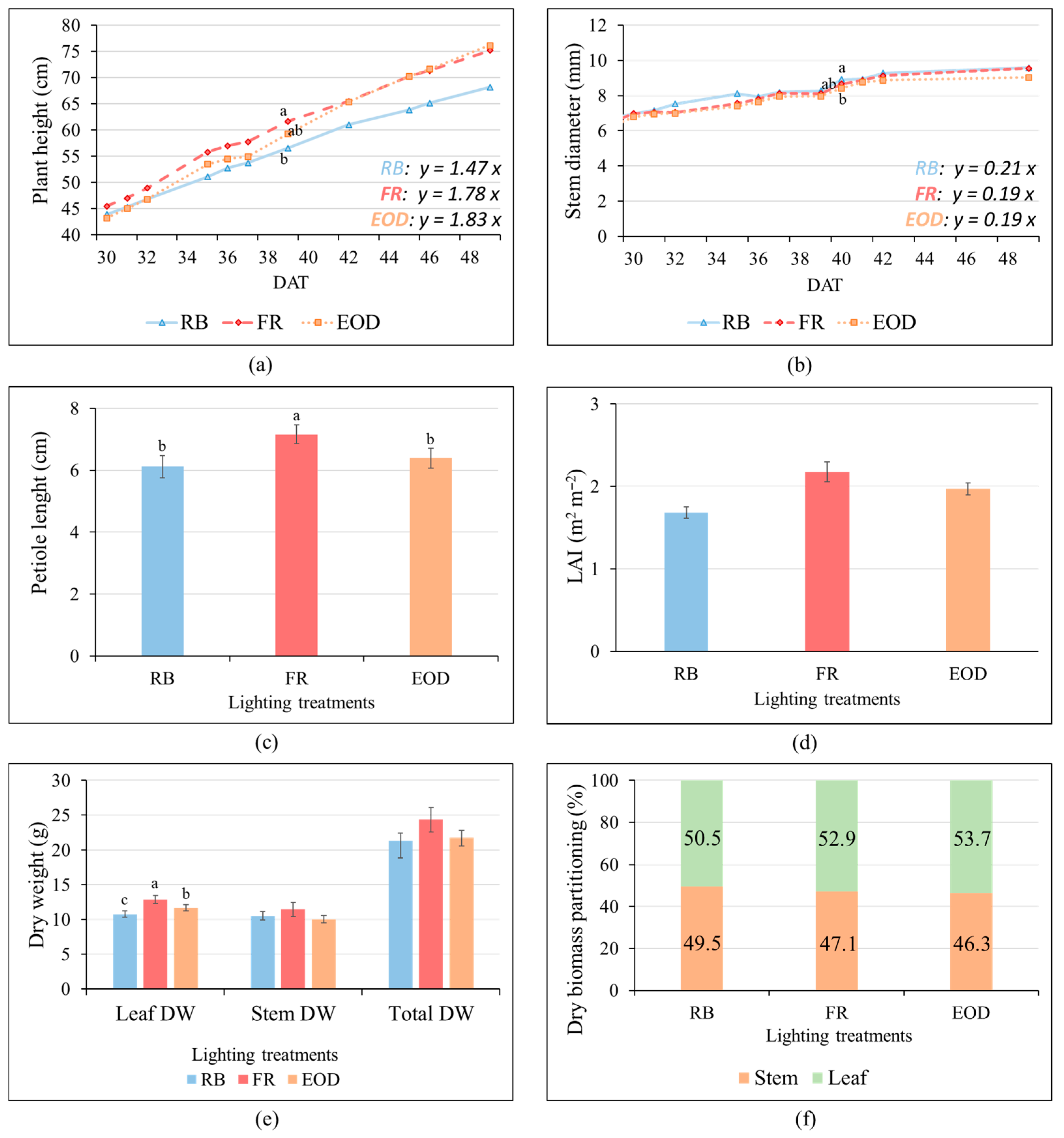
Plant height did not differ significantly among treatments throughout most of the experimental period. However, on DAT 39, plants exposed to continuous FR light were significantly taller than those grown under RB (+9.0%), while plants receiving EOD treatment exhibited intermediate height (Figure 3a). At the end of the experiment, FR-treated plants reached an average final height of 75.2 cm, comparable to the EOD-treated plants (76.2 cm). In contrast, RB-treated plants remained approximately 10% shorter, although this difference was not statistically significant compared to the other two treatments. Throughout the growth cycle, the number of internodes remained consistent across all light treatments, with no statistically significant differences observed. At the conclusion of the experiment, plants from all treatments exhibited an average internode number of approximately 23 (Supplementary Figure S1). Similarly, no significant differences were detected for the number of leaves, which averaged 97 per plant at the end of the cycle across all treatments (Supplementary Figure S2).

3.1.2. Stem Diameter and Robustness

Stem diameter measurements revealed notable differences only at the intermediate assessment (39 DAT). At this stage, plants exposed to the FR treatment had the greatest stem diameter of 8.9 mm, followed by those under EOD (8.6 mm, −4%) and RB (8.4 mm, −6%). However, by the end of the experiment, no statistically significant differences were observed among treatments (average stem diameter of 9.4 mm) (Figure 3b). The plant height/stem diameter ratio showed statistically significant differences among treatments. Plants grown under the EOD treatment exhibited the highest index value (79.9), followed by those under FR (77.8), while RB-treated plants had the lowest (73.4) (Supplementary Table S1).

3.1.3. Petiole Length and LAI

Analysis of petiole length (PL) (Figure 3c) revealed a significant response to the light treatment. ANOVA results indicated a strong treatment effect (p = 5.21 × 10−6), with plants exposed to continuous FR light exhibiting the longest petioles (7.16 cm). Petiole length in the continuous FR treatment significantly exceeded that observed under EOD (6.4 cm) and RB (6.1 cm) spectra, corresponding to increases of +12.1% and +17.0%, respectively (Figure 3c). In contrast, the leaf area index (LAI), representing the total leaf area per unit ground area, showed a suggestive trend but did not reach statistical significance (Figure 3d). Although mean LAI values increased from RB (1.7) to EOD (2.0) and further to FR (2.2), post hoc comparisons did not reveal statistically significant group separations.

3.2. Biomass Accumulation and Partitioning

Fresh and Dry Biomass Production

At the end of the growing cycle, the fresh weight of roots, stems, leaves, and total plant biomass did not differ significantly among treatments (Supplementary Figure S3). In contrast, even though no differences were identified for stem and root dry weights (on average 10.7 g and 4.6 g, respectively) dry weight of leaves was enhanced by FR exposure. Plants subjected to FR had significantly greater leaf dry weight (12.9 g), followed by those under EOD (11.7 g) and RB (10.8 g), respectively, at −9.0 and 16.3% as compared to FR. (Figure 3e). However, both fresh and dry biomass partitioning between organs remained relatively balanced across all treatments (Supplementary Figure S4), with subtle differences in allocation patterns of dry biomass with EOD treatment showing higher allocation to leaves (53.7%) compared to RB plants (50.5%), while FR treatment showed intermediate average values (52.9%) (Figure 3f).

3.3. Physiology and Phenology

3.3.1. Photosynthetic Efficiency and Pigment Content Estimation

Chlorophyll content, evaluated through the Chl.Idx, was higher (+9%) in plants grown under FR and EOD treatments as compared to plants grown under RB light (Figure 4 and Figure 5). The Normalized Difference Vegetation Index (NDVI) followed the same pattern: RB-treated plants recorded lower values of approximately −1.6% (0.847) than those under FR and EOD treatments (both 0.861) (Figure 5). Statistical analysis also revealed significant differences in the anthocyanin index (Ari.Idx), but this time, RB-treated plants showed the highest value (+10% in respect to EOD and +5.2% compared to FR) (Figure 5). The chlorophyll-to-anthocyanin ratio (Chl/Ari) was significantly higher in FR (0.25) and EOD (0.24) treatments compared to RB (0.20).

3.3.2. Flowering Time

Despite the observed morphological and physiological responses to FR and EOD treatments, no significant differences were detected in the timing of floral initiation. All plants, regardless of spectral treatment, initiated flowering at the same time once photoperiod conditions were adjusted to short-day length. Unfortunately, no histological analysis or dissection has been practiced due to the low number of individuals. Moreover, all plants showed a very synchronized flowering response: within two days of the first pistil emergence, pistils were present at the apical meristem of every plant across all treatments.

3.4. Energy Consumption

Energy-use efficiency (EUE), expressed as gram of dry biomass produced per kilowatt hour of energy consumed, was comparable among the light treatments, with an overall average value of 0.65 g kWh−1 (Supplementary Table S2).

4. Discussion

4.1. FR Light Supplementation Promotes Elongation and Canopy Expansion Through Shade-Avoidance Responses in Cannabis sativa

The results of this study demonstrate that FR supplementation influences Cannabis morphology, particularly by promoting elongation-related traits, such as plant height and petiole length. Continuous FR treatment produced significantly taller plants than RB at DAT 39, though this difference was not maintained until the end of the experiment (Figure 3a). The response does not persist after flower induction, suggesting that the photoreceptors either adapt to prolonged far-red (FR) light or exert a stronger influence during the vegetative phase than during flowering [18]. Importantly, while EOD treatment produced intermediate values, it was insufficient to consistently induce elongation, confirming that the short FR exposure window cannot fully activate the shade-avoidance response unless provided for extended durations [36]. These elongation effects align with classical models of shade avoidance syndrome, in which a reduced R:FR ratio promotes internode elongation and vertical expansion via phytochrome-mediated signaling pathways [45]. The observed morphological responses can be interpreted in the context of phytochrome photostationary state (PSS), which shifts toward the inactive Pr form under low R:FR ratios, thereby triggering shade-avoidance responses. Continuous FR likely maintained a consistently low PSS, while EOD induced only transient shifts insufficient to fully activate downstream signaling pathways [19].
In Cannabis, this response is further manifested in the significant elongation of petioles under FR treatment, enhancing leaf display and potential canopy expansion. By contrast, petiole length under EOD and RB conditions remained shorter, suggesting that EOD exposure does not provide sufficient duration or intensity to fully trigger the phytochrome-controlled developmental cascade (Figure 3c). This interpretation is consistent with the regulation of phytochrome activity, in which both the timing and duration of FR exposure critically modulate morphological outcomes [19,20].
Stem diameter dynamics also revealed that the response to FR supplementation varied over time. At the intermediate stage (DAT 39), FR- and EOD-treated plants developed thicker stems, consistent with enhanced photosynthetic activity and higher biomass accumulation (Supplementary Figure S2). However, RB-treated plants had a sturdier overall architecture (characterized by a lower plant height/stem diameter ratio), while FR and EOD plants were taller, but their stem diameter did not increase proportionally, indicating a mechanically weaker structure (Supplementary Table S1). This suggests that the increase in elongation mediated by FR exposure may not be fully compensated by stem thickening, which may play an important role in supporting increased canopy size and may be detrimental to the stability of reproductive structure formation at later stages.
Taken together, these findings underscore the morphological plasticity of Cannabis in response to spectral composition. Continuous FR supplementation induced a suite of shade-avoidance traits, including increased height and longer petioles, whereas EOD treatment was considerably less effective, highlighting the importance of exposure duration and light intensity in shaping developmental responses to FR light. From an applied perspective, these architectural changes may affect crop management, as taller plants with expanded canopies can alter light interception, transpiration, and potentially flowering dynamics in controlled environments [22,23,24,25,26,27,28,29,30,31,32,33]. The ability to fine-tune these traits through spectral manipulation provides an important tool for optimizing Cannabis production systems.
Although LAI differences among treatments were not statistically significant, a trend toward higher values in the EOD and FR treatments was observed (Figure 3c). Accordingly, further studies should investigate the role of FR in increasing LAI in Cannabis controlled production.

4.2. FR Induced a Shift in Biomass Allocation Toward the Leaves

The present results demonstrate that continuous FR supplementation significantly increased leaf dry biomass compared with RB and EOD treatments (Figure 3e), whereas stem and root dry weights were unaffected. Importantly, despite the increase in absolute leaf dry mass, the relative biomass partitioning among leaves, stems, and roots did not differ statistically among treatments (Figure 3f). These findings indicate that FR did not induce a redistribution of assimilates among organs, but rather promoted an overall enhancement of leaf biomass accumulation.
Far-red radiation is known to influence both morphogenesis and photosynthetic performance through phytochrome-mediated signaling [18,20,21]. In addition, when supplied simultaneously with red wavelengths, FR photons contribute to photosynthetic carbon gain through the Emerson enhancement effect [7,8]. Therefore, the higher leaf dry weight observed under continuous FR may reflect improved canopy-level photon capture and photosynthetic efficiency rather than altered carbon allocation. This interpretation is further supported by the higher chlorophyll index and NDVI values observed under FR-enriched spectra (Figure 5), suggesting enhanced pigment content and canopy vigor. Similar enhancements in vegetative growth under FR supplementation have been reported in several horticultural crops, where FR promoted leaf expansion and biomass accumulation [9,10]. In Cannabis specifically, spectral manipulation of the R:FR ratio has been shown to influence morphology and growth trajectories [11], although biomass responses may be genotype-dependent. Notably, leaf number did not differ among treatments in the present study, indicating that the increase in leaf dry weight under FR was not associated with enhanced leaf initiation, but rather with greater leaf expansion or increased dry matter accumulation per unit leaf area.
Under the tested conditions, Cannabis maintained a stable biomass partitioning pattern despite spectral modification, indicating that FR effects were expressed as organ-level growth stimulation rather than altered source–sink dynamics.

4.3. FR Radiation Modulates Physiological Traits Without Affecting Phenological Timing

Variations in spectral composition not only influence photosynthetic performance by altering photosystem excitation balance and pigment biosynthesis but can also modulate secondary metabolism and stress responses, ultimately affecting plant vigor and productivity [46].
The results presented here demonstrate that FR and EOD treatments enhanced chlorophyll content (Figure 5) and canopy reflectance indices relative to RB light, as shown by the chlorophyll index and NDVI (Figure 4). These findings suggest that spectral conditions enriched with FR promote a more favorable photosynthetic apparatus configuration, potentially through increased chlorophyll biosynthesis or improved maintenance of pigment stability. The similarity in response between FR and EOD treatments supports the hypothesis that even limited FR exposure can have beneficial effects on pigment-related traits, consistent with the findings of Peterswald et al. [36] on Cannabis. The observed enhancement in pigment-related indices under FR and EOD treatments may also be linked to the Emerson enhancement effect [7,8], whereby simultaneous excitation of photosystem I and II by red and FR light increases the overall quantum efficiency of photosynthesis [10]. Importantly, the congruence between NDVI and Chl.Idx strengthens the conclusion that FR promotes not only pigment abundance but also canopy-level light-use efficiency. The anthocyanin index (Ari.Idx) further corroborates these observations.
RB-treated plants accumulated higher levels of anthocyanins, pigments often associated with photoprotection and stress responses [47]. The higher chlorophyll-to-anthocyanin ratio observed under FR and EOD treatments suggests a shift in pigment balance toward photosynthetic capacity rather than photoprotective responses, indicating that FR-enriched spectra may reduce stress-related anthocyanin accumulation while promoting chlorophyll-associated light harvesting efficiency [44]. Elevated anthocyanin content, combined with reduced Chl.Idx and NDVI under RB suggests a trade-off between protective pigment biosynthesis and the maintenance of chlorophyll pools. This pattern suggests that RB conditions may impose relative stress, leading to chlorophyll degradation or reduced biosynthetic activity, whereas FR-enriched conditions mitigate these responses by stabilizing chlorophyll accumulation.
Despite clear physiological responses, no significant differences in flowering initiation were observed across treatments. All plants simultaneously entered reproductive development when photoperiod conditions were shifted to short-day length. This uniformity indicates that floral induction in Cannabis is primarily governed by photoperiodic control, with spectral quality exerting little to no influence [48]. Although dissection of the apical meristem or histological validation was not performed due to limited sample size, the strong synchrony observed, with all plants displaying pistil emergence within 2 days of the first observed event, supports the conclusion that flowering responses were homogeneous across spectral treatments. Together, these findings reinforce the notion that spectral composition, particularly the presence of FR, strongly modulates vegetative physiology (chlorophyll content, pigment partitioning, and canopy light use efficiency) but plays a negligible role in regulating reproductive timing in short-day species like Cannabis. These findings contrast with the results of Peterswald et al. [36], who observed an anticipation of flowering time in Cannabis sativa when EOD was applied. This difference may not be only due to the longer vegetative phase applied in our experiment, and having more mature plants at the time of floral induction may have smoothed out differences in flowering time. It could also be that the extended EOD far-red treatments (up to 4 h) applied in Peterswald et al. [36] can induce a more sustained shift in phytochrome equilibrium and thereby affect flowering regulation. In contrast, the shorter and temporally restricted FR exposure adopted here may have been insufficient to significantly alter phytochrome-mediated signaling controlling floral transition.

4.4. Energy Efficiency in Controlled Cannabis Cultivation Cost Dynamics and the Role of Time-of-Use Tariffs

The relatively low energy-use efficiency (EUE) observed in our study can be partly explained by the suboptimal supplementary light intensity of 320 µmol m−2 s−1, which, coupled with natural sunlight, was still well below the recommended 1500 µmol m−2 s−1 for maximizing Cannabis sativa biomass accumulation [49]. Moreover, plants were grown in peat rather than hydroponically, which generally provides higher aeration and more favorable root-zone physical properties [50]. These factors likely limited growth and photosynthetic efficiency, contributing to the lower EUE observed. Although energy-use efficiency (EUE) did not differ significantly among treatments, daily energy demand varied, with RB lighting consuming 1.44 kWh m−2 day−1, EOD 1.47 kWh m−2 day−1, and FR 1.51 kWh m−2 day−1 (Supplementary Table S2). The EOD strategy consisted of 11 h of RB lighting (1.22 kWh m−2) followed by 1 h of FR enrichment (0.25 kWh m−2), resulting in an intermediate total energy input. Given the comparable EUE across treatments, these results highlight a trade-off between energy savings and growth performance when optimizing lighting strategies. From a practical perspective, EOD offers a more energy-efficient approach by enhancing morphological traits and developmental responses to RB, whereas continuous FR maximizes dry biomass accumulation through improved photosynthesis and shade-avoidance responses, albeit at higher energy consumption.
The implications for commercial cultivation are considerable. Indoor Cannabis production is an energy-intensive process, and even marginal reductions in daily consumption can add up to substantial savings across large facilities [51]. Therefore, adopting targeted light strategies, such as EOD or FR enrichment, may not only lower costs but also improve the environmental footprint of controlled-environment agriculture. Based on the measured energy consumption and assuming an average electricity price of 0.20 € kWh−1, the estimated daily lighting costs were approximately 0.29 € m−2 for RB, 0.30 € m−2 for FR, and 0.29 € m−2 for EOD. As energy consumption was comparable among treatments, the conversion into operational costs indicates only minor economic differences under the tested conditions. However, when combined with treatment-specific biomass responses, these results suggest that cost-effectiveness rather than absolute cost may represent the most relevant metric for commercial applications.
However, further optimization can be achieved if FR supplementation is strategically aligned with periods of peak renewable energy generation. For instance, solar energy production peaks around midday and is not available during nighttime, or is scheduled during off-peak electricity tariff windows, when energy prices are lower. In Italy, peak and off-peak electricity rates differ significantly, with reduced costs during evening and nighttime hours [52]. This dynamic pricing model enhances the strategic value of EOD treatments: the additional spectral enrichment with FR wavelengths can be scheduled precisely during lower-cost periods, thereby minimizing financial impact while preserving the physiological benefits of FR supplementation.
This strategy may have some limitations for applying supplementary lighting in greenhouses due to constraints imposed by the natural sunlight photoperiod. Such synchronization between plant photobiology and energy market dynamics offers a dual advantage: economic savings for growers and more sustainable energy management. By aligning supplemental light application with off-peak tariffs, producers can optimize operational efficiency while reducing their reliance on high-cost energy windows.

4.5. Future Perspectives

While this study highlights the potential of FR supplementation, particularly EOD strategies, to optimize growth and energy efficiency in Cannabis sativa, several questions remain open. Future research should focus on identifying the optimal timing, duration, and intensity of EOD supplementation to maximize its physiological benefits while minimizing energy costs.
Moreover, integrating FR management with dynamic lighting schedules, real-time energy cost, and environmental monitoring could further enhance production efficiency. Expanding these investigations to different cultivars and growth stages will be crucial to develop tailored lighting protocols that support both yield optimization and sustainable energy-use in controlled-environment agriculture.
Future studies should also investigate the effects of EOD light treatments specifically during flowering, which was not explored in our study. Research should investigate how EOD lighting affects flower biomass, bud morphology, and cannabinoid content, while also examining underlying physiological mechanisms, such as phytochrome-mediated signaling, transcriptional regulation, cannabinoid biosynthetic pathways, and trichome development.
This will provide a more comprehensive understanding of the trade-offs between growth, morphology, and secondary metabolite production.
Several studies have demonstrated that responses to light quality and spectrum in Cannabis sativa are not uniform across genotypes, indicating genotype-specific variability in photobiological responses. For example, Bernstein et al. (2021) reported that morphological, physiological, and cannabinoid profile responses to different light spectra varied among three medicinal cannabis cultivars with distinct chemotypes, with some spectrum treatments influencing yield and cannabinoid accumulation differently, depending on the genotype tested, thereby suggesting genetic variance in light responses [53]. Similarly, experimental work comparing several strains under varying light spectra found that although overall morphological trends could be established, specific traits such as height, branch allocation, and biomass distribution were influenced by both the light treatment and the cultivar, implying that genetic background modulates light-induced morphology and biomass responses [15]. This high variability in response to the light spectra in Cannabis sativa implies that further studies should assess the effect of EOD treatment on different chemovars.

5. Conclusions

This study demonstrates that FR light exerts a decisive influence on the vegetative development of Cannabis sativa, shaping both morphology and physiology without altering its photoperiod-controlled flowering schedule. Continuous FR supplementation promoted a suite of shade-avoidance traits, including taller plants and elongated petioles, thereby optimizing the canopy light environment for photosynthesis. EOD exposure, by contrast, produced milder morphological adjustments but nonetheless improved pigment-related traits, highlighting its capacity to trigger beneficial physiological responses with reduced energy demand. Importantly, our findings confirm that flowering in Cannabis sativa remains tightly regulated by photoperiod rather than spectral quality, ensuring that FR supplementation does not compromise reproductive timing. Although EOD supplementation reduced overall energy consumption in respect to FR, its energy-use efficiency remained similar to RB, whereas continuous FR achieved the highest efficiency. This suggests that, during the vegetative phase, continuous FR remains the most effective lighting strategy for maximizing growth and biomass accumulation. Compared to previous studies, which have largely focused on the morphological or photosynthetic effects of FR light, this work provides a novel integrated assessment of both plant performance and energy-use efficiency, allowing for the identification of optimal FR lighting strategies for controlled-environment Cannabis cultivation. By delivering targeted FR enrichment during low-tariff hours, EOD treatments represent a cost-effective compromise, maintaining much of the physiological benefit of continuous FR while minimizing additional energy costs. Together, these results validate EOD supplementation as a tool for refining controlled-environment Cannabis cultivation. By integrating spectral management with energy-use strategies, growers can simultaneously enhance plant performance, reduce operational costs, and move toward more sustainable production systems.

Supplementary Materials

The following supporting information can be downloaded at: https://www.mdpi.com/article/10.3390/horticulturae12040456/s1. Figure S1: Effects of far-red light treatments on the number of leaf per plant of Cannabis sativa L. Figure S2. Stem diameter. Figure S3. Fresh biomass (g) of leaf, stem, root and total weight at DAT 49. Different letters indicate significant differences among treatments within each organ. Figure S4. Fresh biomass partitioning among plant organs: Partitioning of total fresh biomass into leaves, stem, and roots. Table S1. Plant height to stem diameter ratio. Table S2. Energy consumption and energy-use efficiency.

Author Contributions

Conceptualization, F.P., F.O. and G.P.; methodology, F.P., G.P. and M.L.; validation, F.O., G.P. and G.G.; formal analysis, F.P., F.O. and G.P.; investigation, F.P.; resources, W.M. and C.G.; data curation, F.P., F.O. and G.P.; writing—original draft preparation, F.P.; writing—review and editing, F.O., G.G. and G.P.; supervision, F.O. and G.P. All authors have read and agreed to the published version of the manuscript.

Funding

The research leading to this publication has received funding from the EU—NextGenerationEU with funds made available by the National Recovery and Resilience Plan (NRRP) Mission 4, Component 2, Investment 3.3 (M.D. 117/2023). This manuscript reflects only the authors’ views and opinions, neither the European Union nor the European Commission can be considered responsible for them.

Data Availability Statement

The data presented in this study are openly available in [AMS Acta] at [https://amsacta.unibo.it/id/eprint/8644/].

Conflicts of Interest

Authors Carlo Gravina and Walter Menozzi were employed by the company Nova Era SARL. The remaining authors declare that the research was conducted in the absence of any commercial or financial relationships that could be construed as a potential conflict of interest.

Abbreviations

The following abbreviations are used in this manuscript:
DLIDaily light integral
EODEnd-of-day far-red
FRFar-red
RBRed–blue
DATDays after transplanting
NDVINormalized difference vegetation index
Chl.IdxChlorophyll index
Ari.idxAnthocyanin reflectance index
PSSPhytochrome photostationary state
LAILeaf area index

References

  1. Magagnini, G.; Grassi, G.; Kotiranta, S. The Effect of Light Spectrum on the Morphology and Cannabinoid Content of Cannabis sativa L. Med. Cannabis Cannabinoids 2018, 1, 19–27. [Google Scholar] [CrossRef] [PubMed]
  2. Arora, A.S.; Yun, C.M. Dynamic spectrum lighting impact on plant morphology and cannabinoid profile of medical and recreational cannabis—A novel leapfrog strategy towards shaping the future of horticulture lighting. Ind. Crops Prod. 2023, 199, 116799. [Google Scholar] [CrossRef]
  3. Holweg, M.M.S.F.; Kaiser, E.; Kappers, I.F.; Heuvelink, E.; Marcelis, L.F.M. The role of red and white light in optimizing growth and accumulation of plant specialized metabolites at two light intensities in medical cannabis (Cannabis sativa L.). Front. Plant Sci. 2024, 15, 1393803. [Google Scholar] [CrossRef] [PubMed]
  4. Carranza-Ramírez, J.E.; Borda, A.M.; Moreno-Fonseca, L.P. LED light modifies plant architecture, physiological parameters and cannabinoid content in three varieties of Cannabis sativa L. S. Afr. J. Bot. 2025, 176, 231–240. [Google Scholar] [CrossRef]
  5. McCree, K.J. The action spectrum, absorptance and quantum yield of photosynthesis in crop plants. Agric. Meteorol. 1971, 9, 191–216. [Google Scholar] [CrossRef]
  6. Zhen, S.; Bugbee, B. Substituting Far-Red for Traditionally Defined Photosynthetic Photons Results in Equal Canopy Quantum Yield for CO2 Fixation and Increased Photon Capture During Long-Term Studies: Implications for Re-Defining PAR. Front. Plant Sci. 2020, 11, 581156. [Google Scholar] [CrossRef]
  7. Emerson, R. National Academy of Sciences: Abstracts of Papers to be Presented at the Annual Meeting, 22–24 April 1957, Washington, D.C. Science 1957, 125, 746–752. [Google Scholar] [CrossRef]
  8. Emerson, R. National Academy of Sciences: Abstracts of Papers Presented at the Annual Meeting, 28–30 April 1958, Washington, D.C. Science 1958, 127, 1058–1063. [Google Scholar] [CrossRef]
  9. Demotes-Mainard, S.; Péron, T.; Corot, A.; Bertheloot, J.; Gourrierec, J.L.; Pelleschi-Travier, S.; Crespel, L.; Morel, P.; Huché-Thélier, L.; Boumaza, R.; et al. Plant responses to red and far-red lights, applications in horticulture. Environ. Exp. Bot. 2016, 121, 4–21. [Google Scholar] [CrossRef]
  10. Kubota, C.; Chia, P.; Yang, Z.; Li, Q. Applications of far-red light emitting diodes in plant production under controlled environments. Acta Hortic. 2012, 952, 59–66. [Google Scholar] [CrossRef]
  11. Kotiranta, S.; Pihlava, J.-M.; Kotilainen, T.; Palonen, P. The morphology, inflorescence yield, and secondary metabolite accumulation in hemp type Cannabis sativa can be influenced by the R:FR ratio or the amount of short wavelength radiation in a spectrum. Ind. Crops Prod. 2024, 208, 117772. [Google Scholar] [CrossRef]
  12. Kusuma, P.; Bugbee, B. Far-red Fraction: An Improved Metric for Characterizing Phytochrome Effects on Morphology. J. Am. Soc. Hortic. Sci. 2021, 146, 3–13. [Google Scholar] [CrossRef]
  13. Brown, C.S.; Schuerger, A.C.; Sager, J.C. Growth and Photomorphogenesis of Pepper Plants under Red Light-emitting Diodes with Supplemental Blue or Far-red Lighting. J. Am. Soc. Hortic. Sci. 1995, 120, 808–813. [Google Scholar] [CrossRef]
  14. Kong, Y.; Nemali, K. Blue and Far-Red Light Affect Area and Number of Individual Leaves to Influence Vegetative Growth and Pigment Synthesis in Lettuce. Front. Plant Sci. 2021, 12, 667407. [Google Scholar] [CrossRef] [PubMed]
  15. Reichel, P.; Munz, S.; Hartung, J.; Präger, A.; Kotiranta, S.; Burgel, L.; Schober, T.; Graeff-Hönninger, S. Impact of Three Different Light Spectra on the Yield, Morphology and Growth Trajectory of Three Different Cannabis sativa L. Strains. Plants 2021, 10, 1866. [Google Scholar] [CrossRef]
  16. Wang, F.; Li, S.; Kong, F.; Lin, X.; Lu, S. Altered regulation of flowering expands growth ranges and maximizes yields in major crops. Front. Plant Sci. 2023, 14, 1094411. [Google Scholar] [CrossRef]
  17. Thomas, B. Light signals and flowering. J. Exp. Bot. 2006, 57, 3387–3393. [Google Scholar] [CrossRef]
  18. Tripathi, S.; Hoang, Q.T.N.; Han, Y.-J.; Kim, J.-I. Regulation of Photomorphogenic Development by Plant Phytochromes. Int. J. Mol. Sci. 2019, 20, 6165. [Google Scholar] [CrossRef]
  19. Sager, J.C.; Smith, W.O.; Edwards, J.L.; Cyr, K.L. Photosynthetic Efficiency and Phytochrome Photoequilibria Determination Using Spectral Data. Trans. ASAE 1988, 31, 1882–1889. [Google Scholar] [CrossRef]
  20. Quail, P.H. Phytochrome photosensory signalling networks. Nat. Rev. Mol. Cell Biol. 2002, 3, 85–93. [Google Scholar] [CrossRef] [PubMed]
  21. Rockwell, N.C.; Su, Y.-S.; Lagarias, J.C. Phytochrome structure and signaling mechanisms. Annu. Rev. Plant Biol. 2006, 57, 837–858. [Google Scholar] [CrossRef]
  22. Shibuya, T.; Izumi, M.; Endo, R. Effects of end-of-day far-red light and relative humidity on flowering and stem elongation of petunia (Petunia × hybrida) seedlings. Sci. Hortic. 2024, 324, 112600. [Google Scholar] [CrossRef]
  23. Percival, A.C.; Van Buiten, C.B.; Craver, J.K. Temperature and End-of-day Light Quality Independently Affect Red Leaf Lettuce Seedling Growth, but Cool Nights May Limit Far-red-induced Leaf Expansion. HortScience 2025, 60, 801–809. [Google Scholar] [CrossRef]
  24. Appolloni, E.; Pennisi, G.; Paucek, I.; Cellini, A.; Crepaldi, A.; Spinelli, F.; Gianquinto, G.; Gabarrell, X.; Orsini, F. Potential application of pre-harvest LED interlighting to improve tomato quality and storability. Postharvest Biol. Technol. 2023, 195, 112113. [Google Scholar] [CrossRef]
  25. Kalaitzoglou, P.; Van Ieperen, W.; Harbinson, J.; Van Der Meer, M.; Martinakos, S.; Weerheim, K.; Nicole, C.C.S.; Marcelis, L.F.M. Effects of Continuous or End-of-Day Far-Red Light on Tomato Plant Growth, Morphology, Light Absorption, and Fruit Production. Front. Plant Sci. 2019, 10, 322. [Google Scholar] [CrossRef] [PubMed]
  26. Haliapas, S.; Yupsanis, T.A.; Syros, T.D.; Kofidis, G.; Economou, A.S. Petunia × hybrida during transition to flowering as affected by light intensity and quality treatments. Acta Physiol. Plant. 2008, 30, 807–815. [Google Scholar] [CrossRef]
  27. Shibuya, T.; Tsuchida, M.; Endo, R.; Kitaya, Y. Far-red Light Interacts with Plant Density to Change Photosynthate Allocation of Cucumber Seedlings and Their Subsequent Early Growth after Transplanting. HortScience 2020, 55, 1433–1437. [Google Scholar] [CrossRef]
  28. Srikanth, A.; Schmid, M. Regulation of flowering time: All roads lead to Rome. Cell. Mol. Life Sci. 2011, 68, 2013–2037. [Google Scholar] [CrossRef]
  29. Cerdán, P.D.; Chory, J. Regulation of flowering time by light quality. Nature 2003, 423, 881–885. [Google Scholar] [CrossRef]
  30. Halliday, K.J.; Koornneef, M.; Whitelam, G.C. Phytochrome B and at Least One Other Phytochrome Mediate the Accelerated Flowering Response of Arabidopsis thaliana L. to Low Red/Far-Red Ratio. Plant Physiol. 1994, 104, 1311–1315. [Google Scholar] [CrossRef] [PubMed]
  31. Deitzer, G.F.; Hayes, R.; Jabben, M. Kinetics and Time Dependence of the Effect of Far Red Light on the Photoperiodic Induction of Flowering in Wintex Barley. Plant Physiol. 1979, 64, 1015–1021. [Google Scholar] [CrossRef] [PubMed]
  32. Ilias, R.; Rajapaske, N.C. Growth and Flowering Responses of petunia × hybrida to different Photoperiods, Light qualities and Temperatures. Does Light Quality affect Photosynthetic Apparatus of Petunia. Phyton Ann. Rei Bot. 2013, 52, 163–175. [Google Scholar]
  33. Munyanont, M.; Lu, N.; Ruangsangaram, T.; Takagaki, M. Effect of Far-Red Light and Nutrient Solution Formulas on Calendula Production in a Plant Factory. Biology 2025, 14, 716. [Google Scholar] [CrossRef] [PubMed]
  34. Searle, I.; Coupland, G. Induction of flowering by seasonal changes in photoperiod. EMBO J. 2004, 23, 1217–1222. [Google Scholar] [CrossRef] [PubMed]
  35. Liu, J.; Yu, J.; McIntosh, L.; Kende, H.; Zeevaart, J.A.D. Isolation of a CONSTANS Ortholog from Pharbitis nil and Its Role in Flowering. Plant Physiol. 2001, 125, 1821–1830. [Google Scholar] [CrossRef]
  36. Peterswald, T.J.; Mieog, J.C.; Kretzschmar, T.; Purdy, S.J. Far Out!—The effects of far-red light on Cannabis. Res. Sq. 2024, in review. [Google Scholar] [CrossRef]
  37. Dang, M.; Arachchige, N.M.; Campbell, L.G. Optimizing Photoperiod Switch to Maximize Floral Biomass and Cannabinoid Yield in Cannabis sativa L.: A Meta-Analytic Quantile Regression Approach. Front. Plant Sci. 2022, 12, 797425. [Google Scholar] [CrossRef]
  38. Saloner, A.; Bernstein, N. Nitrogen Source Matters: High NH4/NO3 Ratio Reduces Cannabinoids, Terpenoids, and Yield in Medical Cannabis. Front. Plant Sci. 2022, 13, 830224. [Google Scholar] [CrossRef]
  39. Shiponi, S.; Bernstein, N. Response of medical cannabis (Cannabis sativa L.) genotypes to P supply under long photoperiod: Functional phenotyping and the ionome. Ind. Crops Prod. 2021, 161, 113154. [Google Scholar] [CrossRef]
  40. Bevan, L.; Jones, M.; Zheng, Y. Optimisation of Nitrogen, Phosphorus, and Potassium for Soilless Production of Cannabis sativa in the Flowering Stage Using Response Surface Analysis. Front. Plant Sci. 2021, 12, 764103. [Google Scholar] [CrossRef]
  41. Morad, D.; Bernstein, N. Response of Medical Cannabis to Magnesium (Mg) Supply at the Vegetative Growth Phase. Plants 2023, 12, 2676. [Google Scholar] [CrossRef]
  42. Westmoreland, F.M.; Bugbee, B. Sustainable Cannabis Nutrition: Elevated root-zone phosphorus significantly increases leachate P and does not improve yield or quality. Front. Plant Sci. 2022, 13, 1015652. [Google Scholar] [CrossRef]
  43. Sheibani, F.; Bourget, M.; Morrow, R.C.; Mitchell, C.A. Close-canopy lighting, an effective energy-saving strategy for overhead sole-source LED lighting in indoor farming. Front. Plant Sci. 2023, 14, 1215919. [Google Scholar] [CrossRef] [PubMed]
  44. Gitelson, A.A.; Chivkunova, O.B.; Merzlyak, M.N. Nondestructive estimation of anthocyanins and chlorophylls in anthocyanic leaves. Am. J. Bot. 2009, 96, 1861–1868. [Google Scholar] [CrossRef] [PubMed]
  45. Franklin, K.A.; Whitelam, G.C. Phytochromes and Shade-avoidance Responses in Plants. Ann. Bot. 2005, 96, 169–175. [Google Scholar] [CrossRef]
  46. Zheng, Q.; He, X.; Ouyang, W.; Li, K.; Rang, Y.; Xiao, Q.; Du, G.; Chen, X.; Liu, Y.; Tang, K. Combination of red and UV-A light enhances hemp (Cannabis sativa L.) inflorescence yield and cannabinoid content. Sci. Rep. 2025, 15, 44735. [Google Scholar] [CrossRef] [PubMed]
  47. Hatier, J.-H.; Gould, K. Anthocyanin Function in Vegetative Organs. In Anthocyanins, Biosyn Thesis, Functions, and Applications; Springer: New York, NY, USA, 2008; pp. 1–19. [Google Scholar] [CrossRef]
  48. Ahrens, A.; Llewellyn, D.; Zheng, Y. Is Twelve Hours Really the Optimum Photoperiod for Promoting Flowering in Indoor-Grown Cultivars of Cannabis sativa? Plants 2023, 12, 2605. [Google Scholar] [CrossRef]
  49. Chandra, S.; Lata, H.; Khan, I.A.; Elsohly, M.A. Photosynthetic response of Cannabis sativa L. to variations in photosynthetic photon flux densities, temperature and CO2 conditions. Physiol. Mol. Biol. Plants 2008, 14, 299–306. [Google Scholar] [CrossRef]
  50. Malík, M.; Tlustoš, P. Soilless Growing Media for Cannabis Cultivation. Agriculture 2025, 15, 1955. [Google Scholar] [CrossRef]
  51. Mills, E. Energy-intensive indoor cultivation drives the cannabis industry’s expanding carbon footprint. One Earth 2025, 8, 101179. [Google Scholar] [CrossRef]
  52. G. Servizi Energetici GSE. Prezzi Medi Mensili per Fascia Oraria e Zona di Mercato (Articolo 13.4, ‘Allegato A’, Deliberazione AEEG 280/07) 2025. Available online: https://www.gse.it/documenti_site/Documenti%20GSE/Servizi%20per%20te/RITIRO%20DEDICATO/Altri%20contenuti/Prezzi%20medi%20RID%202026.pdf (accessed on 1 October 2025).
  53. Danziger, N.; Bernstein, N. Light matters: Effect of light spectra on cannabinoid profile and plant development of medical cannabis (Cannabis sativa L.). Ind. Crops Prod. 2021, 164, 113351. [Google Scholar] [CrossRef]
Figure 1. Plant cultivation system. (a) Acclimation period before the beginning of the experiment. (b) Data collection. (c) Start of the experiment with the vegetative growth phase carried out in the greenhouse. (d) Flowering phase conducted in the grow box.
Figure 1. Plant cultivation system. (a) Acclimation period before the beginning of the experiment. (b) Data collection. (c) Start of the experiment with the vegetative growth phase carried out in the greenhouse. (d) Flowering phase conducted in the grow box.
Horticulturae 12 00456 g001
Figure 2. Lighting treatments. PSS: Phytochrome photostationary state [19].
Figure 2. Lighting treatments. PSS: Phytochrome photostationary state [19].
Horticulturae 12 00456 g002
Figure 3. Morphological and biomass accumulation responses of plants under RB, FR and EOD light treatments. (a) Plant height increase over time, the equations in the graph correspond to the linear regression functions fitted to the data for each light treatment (y = slope × x), indicating the average daily rate of increase in height (n = 4) (DAT: Days After Transplanting). (b) Stem diameter growth over time, the equations shown in the legend correspond to the linear regression functions fitted to the data for each light treatment (y = slope × x), indicating the average daily rate of increase in height or stem diameter (n = 4). (c) Petiole length at final harvest (n = 180). (d) Leaf area index (LAI) (n = 4). (e) Dry weight (n = 4). (f) Dry weight partitioning between stem and leaves (n = 4). Vertical bars represent standard deviation of the mean. Different letters indicate statistically significant differences among treatments (p < 0.05).
Figure 3. Morphological and biomass accumulation responses of plants under RB, FR and EOD light treatments. (a) Plant height increase over time, the equations in the graph correspond to the linear regression functions fitted to the data for each light treatment (y = slope × x), indicating the average daily rate of increase in height (n = 4) (DAT: Days After Transplanting). (b) Stem diameter growth over time, the equations shown in the legend correspond to the linear regression functions fitted to the data for each light treatment (y = slope × x), indicating the average daily rate of increase in height or stem diameter (n = 4). (c) Petiole length at final harvest (n = 180). (d) Leaf area index (LAI) (n = 4). (e) Dry weight (n = 4). (f) Dry weight partitioning between stem and leaves (n = 4). Vertical bars represent standard deviation of the mean. Different letters indicate statistically significant differences among treatments (p < 0.05).
Horticulturae 12 00456 g003
Figure 4. Representative plant images acquired using the PlantExplorer Pro+ system and processed with Data Analysis Software (PhenoVation). The figure displays physiological parameters derived from hyperspectral imaging. Following background masking, the mean pixel values of the selected plant area were used for analysis.
Figure 4. Representative plant images acquired using the PlantExplorer Pro+ system and processed with Data Analysis Software (PhenoVation). The figure displays physiological parameters derived from hyperspectral imaging. Following background masking, the mean pixel values of the selected plant area were used for analysis.
Horticulturae 12 00456 g004
Figure 5. Plant images acquired using the PlantExplorer Pro+ and processed with Data Analysis Software. Chl.Idx (0–65,535): indicates chlorophyll content in the canopy, with higher values shown in brighter red. NDVI (Normalized Difference Vegetation Index; 0–1): reflects plant vigor and greenness based on near-infrared and red reflectance. Ari.Idx (Anthocyanin Reflectance Index; 0–65,535): estimates anthocyanin content, which is associated with stress or developmental responses. Different letters indicate statistically significant differences among treatments (p < 0.05) for each index. Color scales indicate the magnitude of each index (n = 4).
Figure 5. Plant images acquired using the PlantExplorer Pro+ and processed with Data Analysis Software. Chl.Idx (0–65,535): indicates chlorophyll content in the canopy, with higher values shown in brighter red. NDVI (Normalized Difference Vegetation Index; 0–1): reflects plant vigor and greenness based on near-infrared and red reflectance. Ari.Idx (Anthocyanin Reflectance Index; 0–65,535): estimates anthocyanin content, which is associated with stress or developmental responses. Different letters indicate statistically significant differences among treatments (p < 0.05) for each index. Color scales indicate the magnitude of each index (n = 4).
Horticulturae 12 00456 g005
Disclaimer/Publisher’s Note: The statements, opinions and data contained in all publications are solely those of the individual author(s) and contributor(s) and not of MDPI and/or the editor(s). MDPI and/or the editor(s) disclaim responsibility for any injury to people or property resulting from any ideas, methods, instructions or products referred to in the content.

Share and Cite

MDPI and ACS Style

Perotti, F.; Pennisi, G.; Landolfo, M.; Gravina, C.; Menozzi, W.; Gianquinto, G.; Orsini, F. Optimizing Light Spectra for Cannabis: Effects of End-of-Day and Continuous Far-Red on Plant Morphology and Flower Induction. Horticulturae 2026, 12, 456. https://doi.org/10.3390/horticulturae12040456

AMA Style

Perotti F, Pennisi G, Landolfo M, Gravina C, Menozzi W, Gianquinto G, Orsini F. Optimizing Light Spectra for Cannabis: Effects of End-of-Day and Continuous Far-Red on Plant Morphology and Flower Induction. Horticulturae. 2026; 12(4):456. https://doi.org/10.3390/horticulturae12040456

Chicago/Turabian Style

Perotti, Fabio, Giuseppina Pennisi, Matteo Landolfo, Carlo Gravina, Walter Menozzi, Giorgio Gianquinto, and Francesco Orsini. 2026. "Optimizing Light Spectra for Cannabis: Effects of End-of-Day and Continuous Far-Red on Plant Morphology and Flower Induction" Horticulturae 12, no. 4: 456. https://doi.org/10.3390/horticulturae12040456

APA Style

Perotti, F., Pennisi, G., Landolfo, M., Gravina, C., Menozzi, W., Gianquinto, G., & Orsini, F. (2026). Optimizing Light Spectra for Cannabis: Effects of End-of-Day and Continuous Far-Red on Plant Morphology and Flower Induction. Horticulturae, 12(4), 456. https://doi.org/10.3390/horticulturae12040456

Note that from the first issue of 2016, this journal uses article numbers instead of page numbers. See further details here.

Article Metrics

Back to TopTop