Strain-Specific Microalgal and Cyanobacterial Suspensions Modulate Germination Kinetics and Early Seedling Vigor in Cucumber
Abstract
1. Introduction
2. Materials and Methods
2.1. Microalgal and Cyanobacterial Strains
2.2. Preparation of Microalgal and Cyanobacterial Suspensions
2.3. Seed Germination Assay
2.4. Germination Assessment
2.4.1. Final Germination Percentage
2.4.2. Mean Germination Time
2.4.3. Germination Index
2.4.4. Coefficient of Velocity of Germination
2.4.5. Time to 50% Germination
2.4.6. Seedling Vigor Index
2.5. Statistical Analysis
3. Results
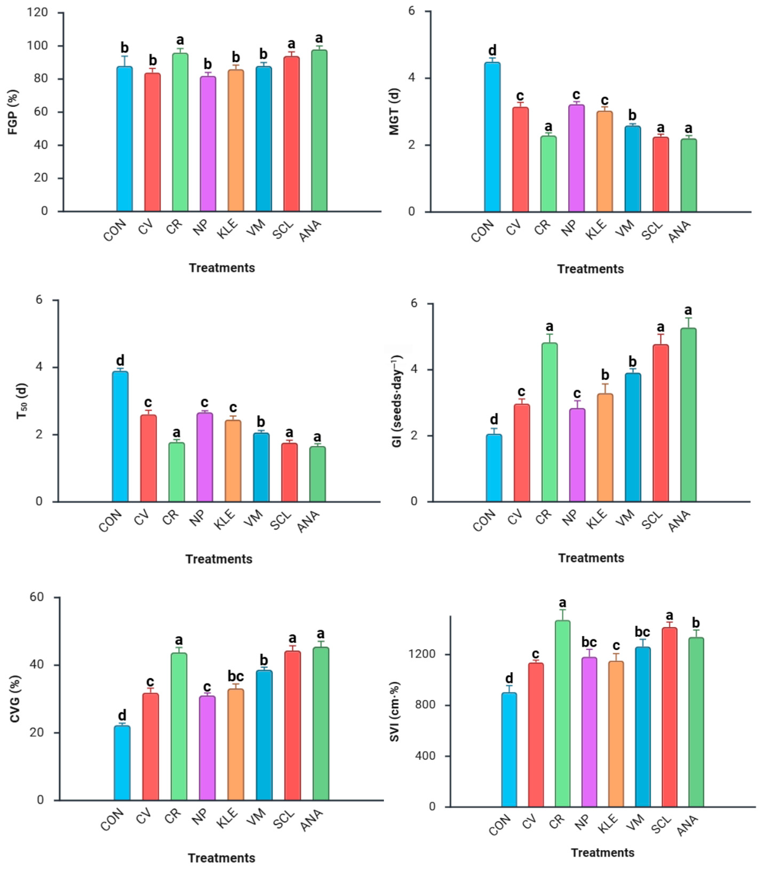
3.1. Germination Kinetics and Early Germination Response
3.2. Germination Indices and Seedling Vigor Responses
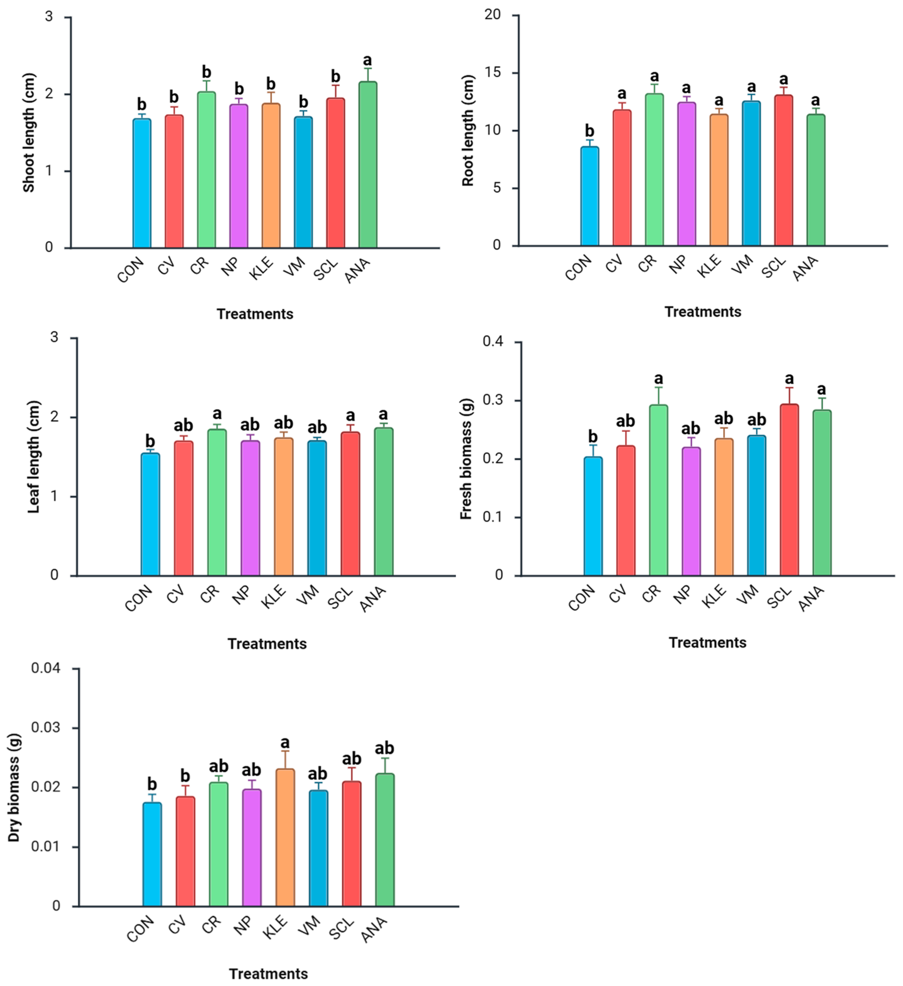
3.3. Seedling Growth and Biomass Responses
3.4. Correlation Analysis Between Germination and Seedling Traits
4. Discussion
4.1. Microalgal Modulation of Germination Kinetics
4.2. Improved Germination Performance and Vigor
4.3. Regulation of Seedling Growth and Biomass Accumulation
4.4. Functional Relationships Between Germination and Growth Traits
5. Conclusions
Supplementary Materials
Author Contributions
Funding
Data Availability Statement
Acknowledgments
Conflicts of Interest
Abbreviations
| ANA | Anabaena sp. IT4 |
| CR | Coelastrella rubescens BCAC 301 S39 |
| CV | Chlorella vulgaris BCAC 76 |
| KLE | Klebsormidium sp. BCAC 344 |
| NP | Nostoc punctiforme 739 S39 |
| SCL | Scotinosphaera lemnae BCAC 113 |
| VM | Vischeria magna UTEX 2351 |
| CON | Control treatment |
| CVG | Coefficient of Velocity of Germination |
| FGP | Final Germination Percentage |
| GI | Germination Index |
| LL | Leaf Length |
| MGT | Mean Germination Time |
| RL | Root Length |
| SL | Shoot Length |
| SVI | Seedling Vigor Index |
| T50 | Time to 50% Germination |
| FW | Fresh Biomass |
| DW | Dry Biomass |
| BCAC | Biological Collection of Algae and Cyanobacteria |
| CRD | Completely Randomized Design |
| DAS | Days After Sowing |
| Z8 | Cyanobacterial Culture Medium |
References
- Rueda-Puente, E.O.; Prabhaharan, R.; Murillo-Amador, B.; Ruiz-Espinoza, F.; Puente, M.; Valdez-Cepeda, R.D. Ameliorative effects of salt resistance on physiological parameters in the halophyte Salicornia bigelovii Torr. with plant growth-promoting rhizobacteria. Afr. J. Biotechnol. 2013, 12, 5278–5284. [Google Scholar] [CrossRef]
- Renganathan, P.; Borboa-Flores, J.; Rosas-Burgos, E.C.; Cárdenas-López, J.L.; Murillo-Amador, B.; Ortega-García, J.; Rueda-Puente, E.O. Inoculation of nitrogen-fixing halobacteria contributing to salt stress tolerance in tepary bean. Rev. Mex. Cienc. Agríc. 2018, 9, 4289–4300. [Google Scholar] [CrossRef][Green Version]
- Prabhaharan, R.; Borboa-Flores, J.; Rosas-Burgos, E.C.; Cárdenas-López, J.L.; Ortega-García, J.; Rueda-Puente, E.O. Phaseolus acutifolius associated with Bacillus amyloliquefaciens and Azospirillum halopraeferens under salinity conditions. Biotecnia 2019, 21, 127–132. [Google Scholar]
- Nikolić, N.; Ghirardelli, A.; Schiavon, M.; Masin, R. Effects of the salinity–temperature interaction on seed germination and early seedling development: A comparative study of crop and weed species. BMC Plant Biol. 2023, 23, 446. [Google Scholar] [CrossRef]
- Zhang, Y.; He, H.; Song, M.; Chen, A.; Chen, M.; Lin, W.; Yang, J.; Luo, D.; Ye, J.; Xu, F. Advances in physiological and molecular mechanisms of cucumber response to low-temperature stress. Horticulturae 2025, 11, 1268. [Google Scholar] [CrossRef]
- Mishra, S.N.; Singh, S.; Para, P.K.; Sharma, L.; Bhandari, V.V. Combination of fungicide, polymer coating and packaging materials improves germination rate and uniformity of seedling emergence during storage. Int. J. Environ. Clim. Change 2023, 13, 2142–2157. [Google Scholar] [CrossRef]
- Du Jardin, P. Plant biostimulants: Definition, concept, main categories and regulation. Sci. Hortic. 2015, 196, 3–14. [Google Scholar] [CrossRef]
- Renganathan, P.; Puente, E.O.; Sukhanova, N.V.; Gaysina, L.A. Hydroponics with microalgae and cyanobacteria: Emerging trends and opportunities in modern agriculture. BioTech 2024, 13, 27. [Google Scholar] [CrossRef]
- Renganathan, P.; Gaysina, L.A.; Holguín-Peña, R.J.; Sainz-Hernández, J.C.; Ortega-García, J.; Rueda-Puente, E.O. Phycore-mediated microalgae and cyanobacteria biomass as biofertilizer for sustainable agriculture: A holistic biorefinery approach to promote circular bioeconomy. Biomass 2024, 4, 1047–1077. [Google Scholar]
- Renganathan, P.; Astorga-Eló, M.; Gaysina, L.A.; Puente, E.O.; Sainz-Hernández, J.C. Nitrogen fixation by diazotrophs: A sustainable alternative to synthetic fertilizers in hydroponic cultivation. Sustainability 2025, 17, 5922. [Google Scholar] [CrossRef]
- Renganathan, P.; Bustamante, G.A.; Ruíz, F.E.; Puente, E.O. Microbial diversity and functional profiles of three commercial biofertilizers and impacts on the bacterial communities of avocado’s soil rhizosphere. Cienc. Tecnol. Agropecu. 2024, 25, 2. [Google Scholar] [CrossRef]
- Supraja, K.V.; Behera, B.; Balasubramanian, P. Efficacy of microalgal extracts as biostimulants through seed treatment and foliar spray for tomato cultivation. Ind. Crops Prod. 2020, 151, 112453. [Google Scholar] [CrossRef]
- Alling, T.; Funk, C.; Gentili, F.G. Nordic microalgae produce biostimulant for the germination of tomato and barley seeds. Sci. Rep. 2023, 13, 3509. [Google Scholar] [CrossRef]
- Gitau, M.M.; Farkas, A.; Balla, B.; Ördög, V.; Futó, Z.; Maróti, G. Strain-specific biostimulant effects of Chlorella and Chlamydomonas green microalgae on Medicago truncatula. Plants 2021, 10, 1060. [Google Scholar] [CrossRef]
- Solomon, W.; Mutum, L.; Janda, T.; Molnár, Z. Potential benefit of microalgae and their interaction with bacteria to sustainable crop production. Plant Growth Regul. 2023, 101, 53–65. [Google Scholar] [CrossRef]
- Gouveia, L.; Ferreira, A.; Bastos, C.V.; Avetisova, G.; Karapetyan, Z.; Toplaghaltsyan, A.; Melkonyan, L. Consortium of microalgae/nitrogen-fixing bacteria as a next-generation biofertilizer, biostimulant and biopesticide. J. Appl. Phycol. 2025, 37, 3703–3713. [Google Scholar] [CrossRef]
- Toribio, A.J.; Jurado, M.M.; Suárez-Estrella, F.; López, M.J.; López-González, J.A.; Moreno, J. Seed biopriming with cyanobacterial extracts as an eco-friendly strategy to control damping-off caused by Pythium ultimum in seedbeds. Microbiol. Res. 2021, 248, 126766. [Google Scholar] [CrossRef] [PubMed]
- Cardarelli, M.; Woo, S.L.; Rouphael, Y.; Colla, G. Seed treatments with microorganisms can have a biostimulant effect by influencing germination and seedling growth of crops. Plants 2022, 11, 259. [Google Scholar] [CrossRef] [PubMed]
- Calatrava, V.; Hom, E.F.Y.; Guan, Q.; Llamas, A.; Fernández, E.; Galván, A. Genetic evidence for algal auxin production in Chlamydomonas and its role in algal–bacterial mutualism. iScience 2024, 27, 108762. [Google Scholar] [CrossRef]
- Prasanna, R.; Kanchan, A.; Ramakrishnan, B.; Ranjan, K.; Venkatachalam, S.; Venkatachalam, S.; Hossain, F.; Shivay, Y.S.; Krishnan, P.; Nain, L. Cyanobacteria-based bioinoculants influence growth and yields by modulating microbial communities in maize hybrid rhizospheres. Eur. J. Soil Biol. 2016, 75, 15–23. [Google Scholar] [CrossRef]
- Ranal, M.A.; Santana, D.G. How and why to measure the germination process? Braz. J. Bot. 2006, 29, 1–11. [Google Scholar] [CrossRef]
- El-Sharkawy, M.S.; El-Beshsbeshy, T.R.; Hassan, S.M.; Mahmoud, E.K.; Abdelkader, N.I.; Al-Shal, R.M.; Missaoui, A.M. Alleviating salt stress in barley by use of plant growth stimulants and potassium sulfate. J. Agric. Sci. 2017, 4, 136–154. [Google Scholar] [CrossRef][Green Version]
- Du, W.; Zhang, F.; Zhang, L.; Hu, M.; Tian, H.; Ying, H.; Ding, S.; Dan, Z. Comprehensive evaluation and screening of drought resistance in maize at germination and seedling stages. Front. Plant Sci. 2025, 16, 1672228. [Google Scholar] [CrossRef] [PubMed]
- Ribeiro-Oliveira, J.P.; Bosseli, M.A.; da Silva, E.A.A. Acceleration in germination sensu stricto plays a central role in seedling vigor in post-germination. Plants 2021, 10, 2151. [Google Scholar] [CrossRef] [PubMed]
- Zhu, D.; Li, Z.; She, Y.; Jing, X.; Wang, M.; Gao, X. Lipidomic investigation reveals distinct lipid metabolite patterning of an oil-producing microalga (Vischeria sp. WL1) cultured by different nitrogen nutrients. J. Appl. Phycol. 2023, 35, 91–98. [Google Scholar] [CrossRef]
- Saito, M.; Watanabe, H.; Sasaki, M.; Ookubo, M.; Yarita, T.; Shiraiwa, M.; Asayama, M. Coproduction of lipids and carotenoids by the novel green alga Coelastrella sp. depending on cultivation conditions. Biotechnol. Rep. 2022, 37, e00769. [Google Scholar] [CrossRef]
- Bischoff, H.W.; Bold, H.C. Phycological Studies IV. In Some Soil Algae from Enchanted Rock and Related Algal Species; University of Texas: Austin, TX, USA, 1963. [Google Scholar]
- Carmichael, W.W. Isolation, culture, and toxicity testing of toxic freshwater cyanobacteria. In Fundamental Research in Homogenous Catalysis; Shilov, V., Ed.; Gordon & Breach: New York, NY, USA, 1986; Volume 3, pp. 1249–1262. [Google Scholar]
- Andersen, R.A. (Ed.) Algal Culturing Techniques; Elsevier: Amsterdam, The Netherlands, 2005. [Google Scholar]
- Vildanova, G.I.; Allaguvatova, R.Z.; Kunsbaeva, D.F.; Sukhanova, N.V.; Gaysina, L.A. Application of Chlorella vulgaris as a biostimulant for growing cucumber seedlings in hydroponics. BioTech 2023, 12, 42. [Google Scholar] [CrossRef]
- Soltani, E.; Ghaderi-Far, F.; Baskin, C.C.; Baskin, J.M. Problems with using mean germination time to calculate rate of seed germination. Aust. J. Bot. 2015, 63, 631–635. [Google Scholar] [CrossRef]
- Maguire, J.D. Speed of germination—Aid in selection and evaluation for seedling emergence and vigor. Crop Sci. 1962, 2, 176–177. [Google Scholar] [CrossRef]
- Coolbear, P.; Francis, A.; Grierson, D. The effect of low-temperature pre-sowing treatment on germination performance and membrane integrity of artificially aged tomato seeds. J. Exp. Bot. 1984, 35, 1609–1617. [Google Scholar] [CrossRef]
- Abdul-Baki, A.A.; Anderson, J.D. Vigor determination in soybean seed by multiple criteria. Crop Sci. 1973, 13, 630–633. [Google Scholar] [CrossRef]
- Puglisi, I.; Barone, V.; Fragalà, F.; Stevanato, P.; Baglieri, A.; Vitale, A. Effect of microalgal extracts from Chlorella vulgaris and Scenedesmus quadricauda on germination of Beta vulgaris seeds. Plants 2020, 9, 675. [Google Scholar] [CrossRef]
- Navarro-López, E.; Ruíz-Nieto, A.; Ferreira, A.; Acién, F.G.; Gouveia, L. Biostimulant potential of Scenedesmus obliquus grown in brewery wastewater. Molecules 2020, 25, 664. [Google Scholar] [CrossRef]
- Ferreira, A.; Melkonyan, L.; Carapinha, S.; Ribeiro, B.; Figueiredo, D.; Avetisova, G.; Gouveia, L. Biostimulant and biopesticide potential of microalgae growing in piggery wastewater. Environ. Adv. 2021, 4, 100062. [Google Scholar] [CrossRef]
- Santini, G.; Biondi, N.; Rodolfi, L.; Tredici, M.R. Plant biostimulants from cyanobacteria: An emerging strategy to improve yields and sustainability in agriculture. Plants 2021, 10, 643. [Google Scholar] [CrossRef]
- Stirk, W.A.; Bálint, P.; Tarkowská, D.; Novák, O.; Strnad, M.; Ördög, V.; van Staden, J. Hormone profiles in microalgae: Gibberellins and brassinosteroids. Plant Physiol. Biochem. 2013, 70, 348–353. [Google Scholar] [CrossRef]
- Stirk, W.A.; Ördög, V.; Novák, O.; Rolčík, J.; Strnad, M.; Bálint, P.; van Staden, J. Auxin and cytokinin relationships in 24 microalgae strains. J. Phycol. 2013, 49, 459–467. [Google Scholar] [CrossRef]
- Hussain, A.; Krischke, M.; Roitsch, T.; Hasnain, S. Rapid determination of cytokinins and auxin in cyanobacteria. Curr. Microbiol. 2010, 61, 361–369. [Google Scholar] [CrossRef]
- Karthikeyan, N.; Prasanna, R.; Sood, A.; Jaiswal, P.; Nayak, S.; Kaushik, B.D. Physiological characterization and electron microscopic investigations of cyanobacteria associated with wheat rhizosphere. Folia Microbiol. 2009, 54, 43–51. [Google Scholar] [CrossRef] [PubMed]
- Sergeeva, E.; Liaimer, A.; Bergman, B. Evidence for production of indole-3-acetic acid by cyanobacteria. Planta 2002, 215, 229–238. [Google Scholar] [CrossRef] [PubMed]
- Hussain, A.; Hasnain, S. Phytostimulation and biofertilization in wheat by cyanobacteria. J. Ind. Microbiol. Biotechnol. 2011, 38, 85–92. [Google Scholar] [CrossRef] [PubMed]
- Melnikov, A.S.; Maslennikova, D.R.; Bezrukova, M.V. Growth-promoting effect of cultural fluid of soil microalgae on soft wheat. Bull. Bashkir State Univ. 2014, 19, 1193–1195. Available online: https://cyberleninka.ru/article/n/rostostimuliruyuschiy-effekt-kulturalnoy-zhidkosti-pochvennyh-mikrovodorosley-na-rasteniya-myagkoy-pshenitsy (accessed on 25 March 2026).
- Jafarlou, B.M.; Pilehvar, B.; Modarresi, M.; Mohammadi, M. Algae extract priming improves seed germination indices and salt tolerance in Calotropis procera. Iran. J. Sci. Technol. Trans. A Sci. 2021, 45, 493–502. [Google Scholar] [CrossRef]
- Mollo, L.; Norici, A. Biostimulant potential of three Chlorophyta and their consortium: Application on tomato seeds. Discov. Plants 2025, 2, 130. [Google Scholar] [CrossRef]
- Sabnam, S.; Mondal, A.; Paul, S. Advancing seed priming with algal extracts: Mechanistic roles in germination and plant growth. Explor. Environ. Resour. 2025, 2, 025120025. [Google Scholar] [CrossRef]
- Kumar, S.; Basu, S.; Anand, A.; Lal, S.K.; Tomar, B.S. Identification of the best germination indices representing seed quality in unaged and aged onion seeds. Int. J. Curr. Microbiol. Appl. Sci. 2021, 10, 76–85. [Google Scholar] [CrossRef]
- Ullah, S.; Saud, S.; Liu, K.; Harrison, M.T.; Hassan, S.; Nawaz, T.; Zeeshan, M.; Nasar, J.; Khan, I.; Liu, H.; et al. Germination response of Avena sativa to temperature and salinity based on the halothermal time model. Plant Stress 2023, 10, 100263. [Google Scholar] [CrossRef]
- Granata, A.; Capozzi, F.; Gaglione, A.; Riccardi, R.; Spigno, P.; Giordano, S.; Sorrentino, M.C.; Spagnuolo, V. Seed priming enhances germination and growth in neglected Capsicum annuum cultivars. PeerJ 2024, 12, e18293. [Google Scholar] [CrossRef]
- Di Serio, A.; Alfano, V.; Tava, A.; Biazzi, E.; Cappetta, E.; Del Regno, C.; Ambrosone, A.; Ronga, D. Marine microalgae extracts as plant biostimulants to boost baby-leaf lettuce. Sci. Rep. 2025, 15, 32825. [Google Scholar] [CrossRef]
- Mutum, L.; Janda, T.; Darkó, É.; Szalai, G.; Hamow, K.Á.; Molnár, Z. Microalgae biomass impacts seed germination and hormonal activity in winter wheat. Agronomy 2023, 13, 1088. [Google Scholar] [CrossRef]
- Hussain, A.; Hamayun, M.; Shah, S.T. Root colonization and phytostimulation by phytohormone-producing Nostoc sp. AH-12. Curr. Microbiol. 2013, 67, 624–630. [Google Scholar] [CrossRef]
- Ahmed, M.; Stal, L.J.; Hasnain, S. Association of non-heterocystous cyanobacteria with crop plants. Plant Soil 2010, 336, 363–375. [Google Scholar] [CrossRef]
- Narendra, K.; Lakshmi, K.S.; Khan, Z.; Latha, G.S.; Latha, M.M.; Ragalatha, R.; Xavier, J.; Vijay, N. Algal extracts and their significance in promoting plant growth. Afr. J. Biol. Sci. 2024, 6, 1146–1163. [Google Scholar] [CrossRef]
- Michalak, I.; Chojnacka, K.; Dmytryk, A.; Wilk, R.; Gramza, M.; Rój, E. Evaluation of supercritical algal extracts as biostimulants in field trials. Front. Plant Sci. 2016, 7, 1591. [Google Scholar] [CrossRef]
- Xie, R.; Dang, K.; Kan, S.; Sauve, J.; Johnson, R.; Clay, M.; Jessup, R.; Qin, H. Microalgae as biostimulants for seed germination. Proc. Int. Plant Propagators’ Soc. 2022, 72, 119–126. Available online: https://ipps.org/wp-content/uploads/2025/05/3l_sr_xie_2022.pdf (accessed on 25 March 2026).
- Renganathan, P.; Gaysina, L.A.; Rueda-Puente, E.O. Microbial Biofertilizers for Salinity Stress Mitigation in Hydroponic Systems. Curr. Issues Mol. Biol. 2025, 47, 1029. [Google Scholar] [CrossRef] [PubMed]
- Domingues Neto, F.J.; Carneiro, D.C.; Putti, F.F.; Rodrigues, J.D.; Tecchio, M.A.; Leonel, S.; Silva, M.D. Physiological indexes of seed germination and seedling growth in rangpur lime. Agronomy 2024, 14, 2066. [Google Scholar] [CrossRef]
- Sedghi, M. Integrated assessment of seed germination performance under abiotic stress using classical and complementary metrics. Sci. Rep. 2025, 15, 41880. [Google Scholar] [CrossRef]
- Dimaano, N.G.; Ali, J.; Mahender, A.; Sta. Cruz, P.C.; Baltazar, A.M.; Diaz, M.G.; Pang, Y.L.; Acero, B.L.; Li, Z. Identification of quantitative trait loci governing early germination and seedling vigor traits related to weed competitive ability in rice. Euphytica 2020, 216, 159. [Google Scholar] [CrossRef] [PubMed]
- Puente-Padilla, B.L.; Romero-Villegas, G.I.; Sánchez-Estrada, A.; Cira-Chávez, L.A.; Estrada-Alvarado, M.I. Marine microalgae biomass effects on germination and vigor of bean seeds. Life 2025, 15, 386. [Google Scholar] [CrossRef] [PubMed]
- Arenas Colarte, C.; Balic, I.; Díaz, Ó.; Cortes, I.; Moreno, A.A.; Amenabar, M.J.; Retamal, M.C.; Fuentes, N.C. Microalgae-based biostimulants improve growth and stress resistance in crops. Plants 2025, 14, 3488. [Google Scholar] [CrossRef] [PubMed]







| Strain Code | Strain Name | Class/Family | Authentication Status | Culture Collection Reference | Original Habitat/Geographic Origin |
|---|---|---|---|---|---|
| BCAC 76 | Chlorella vulgaris Beijerinck | Chlorophyta—Trebouxiophyceae; Chlorellaceae | Yes | SAG 211-11b | Eutrophic shallow pond, Netherlands |
| BCAC 301 S39 | Coelastrella rubescens (Vinatzer) Kaufnerová & Eliáš | Chlorophyta—Chlorophyceae; Scenedesmaceae | No | – | Steppe-region soil, Republic of Bashkortostan, Russia |
| 739 P6 | Nostoc punctiforme Hariot | Cyanobacteria—Nostocales; Nostocaceae | No | – | Broadleaf forest soil, Republic of Bashkortostan, Russia |
| BCAC 344 | Klebsormidium sp. (Bashkir isolate) | Charophyta—Klebsormidiophyceae; Klebsormidiaceae | No | – | Rainwater collected from outdoor garden tank, Republic of Bashkortostan, Russia |
| UTEX 2351 | Vischeria magna (J.B. Petersen) Kryvenda, Rybalka, Wolf & Friedl | Ochrophyta (Heterokontophyta)—Eustigmatophyceae; Eustigmataceae | No | UTEX 2351 (Eustigmatos magna) | Soil, Bealey region, New Zealand |
| BCAC 113 | Scotinosphaera lemnae (Punčochářová) Wujek & R.H. Thompson | Chlorophyta—Scotinosphaerales; Scotinosphaeraceae | Yes | CCAP 241/1; UTEX 100; CAUP H5303a | Freshwater pond near Glasgow, United Kingdom |
| IT4 | Anabaena sp. | Cyanobacteria—Nostocales; Aphanizomenonaceae | No | – | Volcanic soil, Iturup Island (Kuril Islands, Russia) |
Disclaimer/Publisher’s Note: The statements, opinions and data contained in all publications are solely those of the individual author(s) and contributor(s) and not of MDPI and/or the editor(s). MDPI and/or the editor(s) disclaim responsibility for any injury to people or property resulting from any ideas, methods, instructions or products referred to in the content. |
© 2026 by the authors. Licensee MDPI, Basel, Switzerland. This article is an open access article distributed under the terms and conditions of the Creative Commons Attribution (CC BY) license.
Share and Cite
Renganathan, P.; Yakupova, A.; Filippov, A.; Larionova, I.; Sushchenko, R.; Mufazalova, A.; Khilazhetdinova, L.; Gaysina, K.; Gaysina, L.A. Strain-Specific Microalgal and Cyanobacterial Suspensions Modulate Germination Kinetics and Early Seedling Vigor in Cucumber. Horticulturae 2026, 12, 414. https://doi.org/10.3390/horticulturae12040414
Renganathan P, Yakupova A, Filippov A, Larionova I, Sushchenko R, Mufazalova A, Khilazhetdinova L, Gaysina K, Gaysina LA. Strain-Specific Microalgal and Cyanobacterial Suspensions Modulate Germination Kinetics and Early Seedling Vigor in Cucumber. Horticulturae. 2026; 12(4):414. https://doi.org/10.3390/horticulturae12040414
Chicago/Turabian StyleRenganathan, Prabhaharan, Alsu Yakupova, Artyom Filippov, Irina Larionova, Rezeda Sushchenko, Alfia Mufazalova, Liliia Khilazhetdinova, Kamilla Gaysina, and Lira A. Gaysina. 2026. "Strain-Specific Microalgal and Cyanobacterial Suspensions Modulate Germination Kinetics and Early Seedling Vigor in Cucumber" Horticulturae 12, no. 4: 414. https://doi.org/10.3390/horticulturae12040414
APA StyleRenganathan, P., Yakupova, A., Filippov, A., Larionova, I., Sushchenko, R., Mufazalova, A., Khilazhetdinova, L., Gaysina, K., & Gaysina, L. A. (2026). Strain-Specific Microalgal and Cyanobacterial Suspensions Modulate Germination Kinetics and Early Seedling Vigor in Cucumber. Horticulturae, 12(4), 414. https://doi.org/10.3390/horticulturae12040414

