Transcriptomic Analysis Reveals Immune Signaling Pathways Orchestrate “Lantern-like” Flower Formation Induced by Contarinia citri Barnes in Citrus grandis ‘Tomentosa’
Abstract
1. Introduction
2. Materials and Methods
2.1. Materials
2.2. Morphological Observation
2.3. Determination of Hormone Content in Flower Petals
2.4. Measurement of Chlorophyll Content in Petals
2.5. Determination of Total Flavonoid Content in Petals
2.6. Transcriptome Analysis of Abnormal and Normal Flower Petals
2.7. qRT-PCR Validation of Transcriptome Sequencing Data
2.8. Data Analysis
3. Results
3.1. Observation of Abnormal Flower Development Induced by C. citri Infestation in C. grandis ‘Tomentosa’ “Jumei”
3.2. Differences in Hormone Contents in Petals of Normal and Abnormal Flowers
3.3. Differences in Chlorophyll Content in Petals of Normal and Abnormal Flowers
3.4. Differences in Total Flavonoid Content in Petals of Normal and Abnormal Flowers
3.5. Transcriptomic Changes Following Flower Bud Infestation
3.6. Screening and Enrichment Analysis of DEGs Between Normal and Abnormal Flowers
3.7. Expression Profile of DEGs Associated with the Plant Hormone Signal Transduction Pathways
3.8. Expression Profile of DEGs Associated with the Mitogen-Activated Protein Kinase (MAPK) Signaling Pathway-Plant
3.9. Expression Profile of DEGs Associated with Cell Division
3.10. Expression Profile of DEGs Associated with Energy Metabolism and Material Metabolism
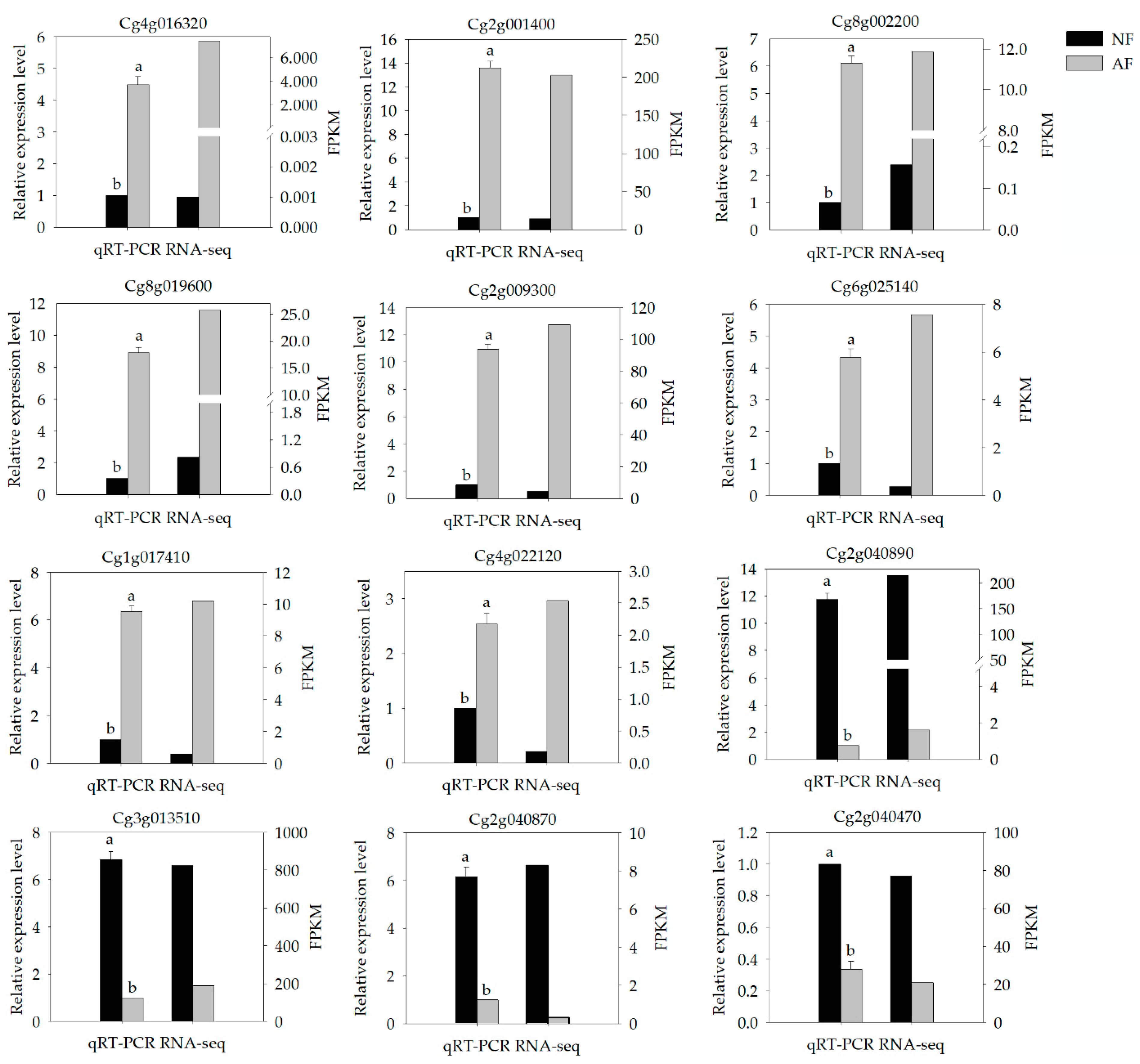
3.11. Validation of Transcriptome Data by Quantitative Real-Time PCR
4. Discussion
5. Conclusions
Supplementary Materials
Author Contributions
Funding
Data Availability Statement
Acknowledgments
Conflicts of Interest
Abbreviations
| ECG | Exocarpium Citri Grandis |
| IAA | Indole-3-acetic acid |
| JA | Jasmonic acid |
| CTK | Cytokinins |
| SA | Salicylic acid |
| ET | Ethylene |
| ABA | Abscisic acid |
| NF | Normal flowers |
| AF | Abnormal flowers |
| qRT-PCR | Quantitative reverse transcription polymerase chain reaction |
| Ca | Chlorophyll a |
| Cb | Chlorophyll b |
| FC | Fold change |
| GO | Gene Ontology |
| KEGG | Kyoto Encyclopedia of Genes and Genomes |
| PCA | Principal component analysis |
| FPKM | Fragments per kilobase of transcript per million mapped reads |
| DEG | Differentially expressed gene |
| SAR | Systemic acquired resistance |
References
- Han, H.B.; Li, H.; Hao, R.L.; Chen, Y.F.; Ni, H.; Li, H.H. One-step column chromatographic extraction with gradient elution followed by automatic separation of volatiles, flavonoids and polysaccharides from Citrus grandis. Food Chem. 2014, 145, 542–548. [Google Scholar] [CrossRef] [PubMed]
- Committee National Pharmacopoeia. Pharmacopoeia of People’s Republic of China; China Medical Science Press: Beijing, China, 2020. [Google Scholar]
- Xu, Z.; Li, J.; Zhou, K.; Wang, K.; Hu, H.; Hu, Y.; Gao, Y.; Luo, Z.; Huang, J. Exocarpium Citri Grandis ameliorates LPS-induced acute lung injury by suppressing inflammation, NLRP3 inflammasome, and ferroptosis. J. Ethnopharmacol. 2024, 329, 118162. [Google Scholar] [CrossRef]
- Deng, G.; Liu, C.; Zhao, J.; Wang, M.; Li, Y.; Yang, M.; Ye, H.; Li, J.; Qin, M.; Wu, C.; et al. Exocarpium Citri Grandis alleviates the aggravation of NAFLD by mitigating lipid accumulation and iron metabolism disorders. J. Ethnopharmacol. 2023, 313, 116559. [Google Scholar] [CrossRef] [PubMed]
- Li, D.; Xiao, G.; Chen, W.; Zeng, X.; Cao, L.Z.; Chen, Z. Metabolomic-based investigation of Yinlan alleviating hyperlipidemia by inhibiting blood stasis and phlegm turbidity through the PXR-CYP3A4-ABCB1-FXR pathway. Arab. J. Chem. 2022, 15, 104272. [Google Scholar] [CrossRef]
- Liu, G.; Li, S.; Zhang, N.; Wei, N.; Wang, M.; Liu, J.; Xu, Y.; Li, Y.; Sun, Q.; Li, Y.; et al. Sequential grade evaluation method exploration of Exocarpium Citri Grandis (Huajuhong) decoction pieces based on “network prediction → grading quantization → efficacy validation”. J. Ethnopharmacol. 2022, 291, 115149. [Google Scholar] [CrossRef]
- Kong, F.; Ding, Z.; Zhang, K.; Duan, W.; Qin, Y.; Su, Z.; Bi, Y. Optimization of extraction flavonoids from Exocarpium Citri Grandis and evaluation its hypoglycemic and hypolipidemic activities. J. Ethnopharmacol. 2020, 262, 113178. [Google Scholar] [CrossRef]
- Chen, M.; Wang, J. Polysaccharides from Exocarpium Citri Grandis: Graded ethanol precipitation, structural characterization, inhibition of α-glucosidase activity, anti-oxidation, and anti-glycation potentials. Foods 2025, 14, 791. [Google Scholar] [CrossRef]
- Harris, K.M.; Yukawa, J. The taxonomic status of the Japanese citrus flower-bud midge, Contarinia okadai (Miyoshi) comb. n., and of the citrus blossom midge, C. citri Barnes (Diptera: Cecidomyiidae). Bull. Entomol. Res. 1980, 70, 277–285. [Google Scholar] [CrossRef]
- Ma, N.; Wang, Y.; Wei, D.; Yu, Y.; Mu, Y.; Gu, X.; Bu, W.; Jiao, K. Comparison of fruit tree gall midge pests species (Diptera: Cecidomyiidae) in Guangxi with morphological and biological key. Plant Protect. 2024, 50, 246–253. (In Chinese) [Google Scholar] [CrossRef]
- Li, M. Harm and control of Contarinia pyrivora Ril. Entomol. Know. 1959, 06, 192. (In Chinese) [Google Scholar]
- Shi, D. A study on the Citrus blossom midge, Contarinia citri Barnes {Dip., Cecidomyiidae}. Ada Phytophyl. Sin. 1963, 2, 379–385. (In Chinese) [Google Scholar]
- Chen, R.; Chen, J.; Yu, J.; Zhou, D.; Qin, R.; Zhang, G.; Yang, G.; Xu, R.; Zhou, F.; Xu, C.; et al. Investigation on pest and natural enemy species of Citrus grandis ‘Tomentosa’. J. Chin. Med. Mater. 2008, 31, 1615–1618. (In Chinese) [Google Scholar] [CrossRef]
- Qiao, H.; Chen, J.; Xu, C.; Li, X.; Ma, W.; Yu, J.; Chen, H. Spatial distribution of citrus blossom midge in Citrus grandis ‘Tomentosa’ and pathogenicity of metarhizium against its larvae. J. Chin. Med. Mater. 2011, 34, 852–855. (In Chinese) [Google Scholar] [CrossRef]
- Tudi, M.; Daniel Ruan, H.; Wang, L.; Lyu, J.; Sadler, R.; Connell, D.; Chu, C.; Phung, D.T. Agriculture development, pesticide application and its impact on the environment. Int. J. Environ. Res. Public Health 2021, 18, 1112. [Google Scholar] [CrossRef]
- Alengebawy, A.; Abdelkhalek, S.T.; Qureshi, S.R.; Wang, M.Q. Heavy metals and pesticides toxicity in agricultural soil and plants: Ecological risks and human health implications. Toxics 2021, 9, 42. [Google Scholar] [CrossRef] [PubMed]
- Hubbard, C.B.; Murillo, A.C. Behavioral resistance to insecticides: Current understanding, challenges, and future directions. Curr. Opin. Insect Sci. 2024, 63, 101177. [Google Scholar] [CrossRef] [PubMed]
- Zhang, R.; Zhang, M.X.; Chen, Y.; Wang, C.C.; Zhang, C.H.; Heuberger, H.; Li, H.T.; Li, M.H. Future development of Good Agricultural Practice in China under globalization of traditional herbal medicine trade. Chin. Herb. Med. 2021, 13, 472–479. [Google Scholar] [CrossRef]
- Peng, B.; Xie, Y.; Lai, Q.; Liu, W.; Ye, X.; Yin, L.; Zhang, W.; Xiong, S.; Wang, H.; Chen, H. Pesticide residue detection technology for herbal medicine: Current status, challenges, and prospects. Anal. Sci. 2024, 40, 581–597. [Google Scholar] [CrossRef]
- Wang, W.; Xu, J.; Fang, H.; Li, Z.; Li, M. Advances and challenges in medicinal plant breeding. Plant Sci. 2020, 298, 110573. [Google Scholar] [CrossRef]
- Lu, J.; Liu, C. Screening of disease and pest resistant hangbaiju (Chrysanthemum morifolium) varieties and their application prospects in green cultivation. Med. Plant Res. 2024, 14, 345–357. [Google Scholar] [CrossRef]
- Liu, Y.X.; Han, W.H.; Wang, J.X.; Zhang, F.B.; Ji, S.X.; Zhong, Y.W.; Liu, S.S.; Wang, X.W. Differential induction of JA/SA determines plant defense against successive leaf-chewing and phloem-feeding insects. J. Pest Sci. 2025, 98, 1085–1100. [Google Scholar] [CrossRef]
- Monte, I. Jasmonates and salicylic acid: Evolution of defense hormones in land plants. Curr. Opin. Plant Biol. 2023, 76, 102470. [Google Scholar] [CrossRef]
- Wang, M.; Wang, Y.; Li, X.; Zhang, Y.; Chen, X.; Liu, J.; Qiu, Y.; Wang, A. Integration of metabolomics and transcriptomics reveals the regulation mechanism of the phenylpropanoid biosynthesis pathway in insect resistance traits in Solanum habrochaites. Hortic. Res. 2024, 11, uhad277. [Google Scholar] [CrossRef]
- Luo, Q.; Duan, F.; Song, W. Transcriptomics integrated with metabolomics reveals the defense response of insect-resistant Zea mays infested with Spodoptera exigua. Heliyon 2025, 11, e42565. [Google Scholar] [CrossRef]
- Gilroy, E.; Breen, S. Interplay between phytohormone signalling pathways in plant defence—Other than salicylic acid and jasmonic acid. Essays Biochem. 2022, 66, 657–671. [Google Scholar] [CrossRef]
- Verma, K.; Kumari, K.; Rawat, M.; Devi, K.; Joshi, R. Crosstalk of jasmonic acid and salicylic acid with other phytohormones alleviates abiotic and biotic stresses in plants. J. Soil Sci. Plant Nutr. 2025, 25, 4997–5019. [Google Scholar] [CrossRef]
- Thaler, J.S.; Humphrey, P.T.; Whiteman, N.K. Evolution of jasmonate and salicylate signal crosstalk. Trends Plant Sci. 2012, 17, 260–270. [Google Scholar] [CrossRef]
- Barah, P.; Bones, A.M. Multidimensional approaches for studying plant defence against insects: From ecology to omics and synthetic biology. J. Exp. Bot. 2015, 66, 479–493. [Google Scholar] [CrossRef] [PubMed]
- Jiao, L.; Bian, L.; Luo, Z.; Li, Z.; Xiu, C.; Fu, N.; Cai, X.; Chen, Z. Enhanced volatile emissions and anti-herbivore functions mediated by the synergism between jasmonic acid and salicylic acid pathways in tea plants. Hortic. Res. 2022, 9, uhac144. [Google Scholar] [CrossRef] [PubMed]
- Yang, M.; Li, H.; Qiao, H.; Guo, K.; Xu, R.; Wei, H.; Wei, J.; Liu, S.; Xu, C. Integrated transcriptome and metabolome dynamic analysis of galls induced by the gall mite Aceria pallida on Lycium barbarum reveals the molecular mechanism underlying gall formation and development. Int. J. Mol. Sci. 2023, 24, 9839. [Google Scholar] [CrossRef] [PubMed]
- Ge, X.; Fang, S.; Chen, L.; Zhang, D.; Xu, P.; Luo, H.; Wang, L.; Xie, L.; Zhan, R.; Chen, L. Profiling the dynamic alterations of metabolites and phytohormones in response to stress during the post-harvest processing of Pogostemon cablin leaves. Ind. Crops Prod. 2025, 230, 121125. [Google Scholar] [CrossRef]
- Lichtenthaler, H.K.; Wellburn, A.R. Determinations of total carotenoids and chlorophylls a and b of leaf extracts in different solvents. Biochem. Soc. Trans. 1983, 11, 591–592. [Google Scholar] [CrossRef]
- Huang, X.; Liu, X.; Wang, Q.; Zhou, Y.; Deng, S.; He, Q.; Han, H. Transcriptomic and targeted metabolome analyses revealed the regulatory mechanisms of the synthesis of bioactive compounds in Citrus grandis ‘tomentosa’. PeerJ 2024, 12, e16881. [Google Scholar] [CrossRef]
- Langmead, B.; Trapnell, C.; Pop, M.; Salzberg, S.L. Ultrafast and memory-efficient alignment of short DNA sequences to the human genome. Genome Biol. 2009, 10, R25. [Google Scholar] [CrossRef]
- Kim, D.; Langmead, B.; Salzberg, S.L. HISAT: A fast spliced aligner with low memory requirements. Nat. Methods 2015, 12, 357–360. [Google Scholar] [CrossRef] [PubMed]
- Pertea, M.; Pertea, G.M.; Antonescu, C.M.; Chang, T.C.; Mendell, J.T.; Salzberg, S.L. StringTie enables improved reconstruction of a transcriptome from RNA-seq reads. Nat. Biotechnol. 2015, 33, 290–295. [Google Scholar] [CrossRef] [PubMed]
- Love, M.I.; Huber, W.; Anders, S. Moderated estimation of fold change and dispersion for RNA-Seq data with DESeq2. Genome Biol. 2014, 15, 550. [Google Scholar] [CrossRef]
- Livak, K.J.; Schmittgen, T.D. Analysis of relative gene expression data using real-time quantitative PCR and the 2−ΔΔCT method. Methods 2001, 25, 402–408. [Google Scholar] [CrossRef]
- Ma, Y.; Şen, Z.B.; Ng, H.P. Plant galls induced by insects: Coordinated developmental reprogramming and defence manipulation. Curr. Opin. Plant Biol. 2025, 86, 102757. [Google Scholar] [CrossRef]
- Le Fevre, R.; Evangelisti, E.; Rey, T.; Schornack, S. Modulation of host cell biology by plant pathogenic microbes. Annu. Rev. Cell Dev. Biol. 2015, 31, 201–229. [Google Scholar] [CrossRef]
- Harris, M.O.; Pitzschke, A. Plants make galls to accommodate foreigners: Some are friends, most are foes. New Phytol. 2020, 225, 1852–1872. [Google Scholar] [CrossRef]
- Takeda, S.; Hirano, T.; Ohshima, I.; Sato, M.H. Recent progress regarding the molecular aspects of insect gall formation. Int. J. Mol. Sci. 2021, 22, 9424. [Google Scholar] [CrossRef]
- Martinson, E.O.; Werren, J.H.; Egan, S.P. Tissue-specific gene expression shows a cynipid wasp repurposes oak host gene networks to create a complex and novel parasite-specific organ. Mol. Ecol. 2022, 31, 3228–3240. [Google Scholar] [CrossRef]
- Shih, T.H.; Chen, J.L.; Huang, M.Y. Transcriptome and 2-DE proteome analyses reveal defense-associated development in the leaf galls induced by psyllids on Machilus japonica var. kusanoi. Bot. Stud. 2025, 66, 19. [Google Scholar] [CrossRef]
- Hua, J.; Liu, J.; Zhou, W.; Ma, C.; Luo, S. A new perspective on plant defense against foliar gall-forming aphids through activation of the fruit abscission pathway. Plant Physiol. Biochem. 2023, 196, 1046–1054. [Google Scholar] [CrossRef] [PubMed]
- Li, J.; Lu, Z.; Yang, Y.; Hou, J.; Yuan, L.; Chen, G.; Wang, C.; Jia, S.; Feng, X.; Zhu, S. Transcriptome analysis reveals the symbiotic mechanism of Ustilago esculenta-induced gall formation of Zizania latifolia. Mol. Plant Microbe Interact. 2021, 34, 168–185. [Google Scholar] [CrossRef]
- Gätjens-Boniche, O.; Jiménez-Madrigal, J.P.; Whetten, R.W.; Valenzuela-Diaz, S.; Alemán-Gutiérrez, A.; Hanson, P.E.; Pinto-Tomás, A.A. Microbiome and plant cell transformation trigger insect gall induction in cassava. Front. Plant Sci. 2023, 14, 1237966. [Google Scholar] [CrossRef] [PubMed]
- Fitoussi, N.; de Almeida Engler, J.; Sichov, N.; Bucki, P.; Sela, N.; Harel, A.; Belausuv, E.; Kumar, A.; Brown Miyara, S. The Minichromosome Maintenance Complex Component 2 (MjMCM2) of Meloidogyne javanica is a potential effector regulating the cell cycle in nematode-induced galls. Sci. Rep. 2022, 12, 9196. [Google Scholar] [CrossRef] [PubMed]
- Markel, K.; Novak, V.; Bowen, B.P.; Tian, Y.; Chen, Y.C.; Sirirungruang, S.; Zhou, A.; Louie, K.B.; Northen, T.R.; Eudes, A.; et al. Cynipid wasps systematically reprogram host metabolism and restructure cell walls in developing galls. Plant Physiol. 2024, 195, 698–712. [Google Scholar] [CrossRef]
- Guedes, L.M.; Sanhueza, C.; Torres, S.; Figueroa, C.; Gavilán, E.; Pérez, C.I.; Aguilera, N. Gall-inducing Eriophyes tiliae stimulates the metabolism of Tilia platyphyllos leaves towards oxidative protection. Plant Physiol. Biochem. 2023, 195, 25–36. [Google Scholar] [CrossRef]
- Ali, J.; Mukarram, M.; Ojo, J.; Dawam, N.; Riyazuddin, R.; Ghramh, H.A.; Khan, K.A.; Chen, R.; Kurjak, D.; Bayram, A. Harnessing phytohormones: Advancing plant growth and defence strategies for sustainable agriculture. Physiol. Plant. 2024, 176, e14307. [Google Scholar] [CrossRef]
- Castroverde, C.D.M.; Dina, D. Temperature regulation of plant hormone signaling during stress and development. J. Exp. Bot. 2021, 72, erab257. [Google Scholar] [CrossRef]
- Haghpanah, M.; Namdari, A.; Kaleji, M.K.; Nikbakht-Dehkordi, A.; Arzani, A.; Araniti, F. Interplay between ROS and hormones in plant defense against pathogens. Plants 2025, 14, 1297. [Google Scholar] [CrossRef]
- Cunha, A.F.A.; Rodrigues, P.H.D.; Anghinoni, A.C.; de Paiva, V.J.; Pinheiro, D.G.D.S.; Campos, M.L. Mechanical wounding impacts the growth versus defense balance in tomato (Solanum lycopersicum). Plant Sci. 2023, 329, 111601. [Google Scholar] [CrossRef]
- Ghorbel, M.; Brini, F.; Sharma, A.; Landi, M. Role of jasmonic acid in plants: The molecular point of view. Plant Cell Rep. 2021, 40, 1471–1494. [Google Scholar] [CrossRef]
- Martinuz, A.; Sikora, R.A.; Vilchez, S.; Schouten, A. The role of salicylic and jasmonic acid in the induction of resistance in Arabidopsis thaliana against Meloidogyne incognita. Physiol. Mol. Plant Pathol. 2025, 140, 102943. [Google Scholar] [CrossRef]
- Spoel, S.H.; Dong, X. Salicylic acid in plant immunity and beyond. Plant Cell 2024, 36, 1451–1464. [Google Scholar] [CrossRef] [PubMed]
- Kanwal, B.; Tanwir, S.; Ahmad, F.; Ahmad, J.N. Jasmonic Acid and Salicylic Acid improved resistance against Spodoptera frugiperda infestation in maize by modulating growth and regulating redox homeostasis. Sci. Rep. 2024, 14, 16823. [Google Scholar] [CrossRef] [PubMed]
- Sun, T.; Zhang, Y. Short- and long-distance signaling in plant defense. Plant J. 2021, 105, 505–517. [Google Scholar] [CrossRef] [PubMed]
- Liu, M.; Li, H.; Chen, Y.; Wu, Z.; Wu, S.; Zhang, J.; Sun, R.; Lou, Y.; Lu, J.; Li, R. The MYC2-JAMYB transcriptional cascade regulates rice resistance to brown planthoppers. New Phytol. 2025, 246, 1834–1847. [Google Scholar] [CrossRef]
- Kumar, S.; Zavaliev, R.; Wu, Q.; Zhou, Y.; Cheng, J.; Dillard, L.; Powers, J.; Withers, J.; Zhao, J.; Guan, Z.; et al. Structural basis of NPR1 in activating plant immunity. Nature 2022, 605, 561–566. [Google Scholar] [CrossRef]
- Zavaliev, R.; Dong, X. NPR1, a key immune regulator for plant survival under biotic and abiotic stresses. Mol. Cell 2024, 84, 131–141. [Google Scholar] [CrossRef]
- Kundu, P.; Vadassery, J. Role of WRKY transcription factors in plant defense against lepidopteran insect herbivores: An overview. J. Plant Biochem. Biotechnol. 2021, 30, 698–707. [Google Scholar] [CrossRef]
- Akagi, A.; Fukushima, S.; Okada, K.; Jiang, C.J.; Yoshida, R.; Nakayama, A.; Shimono, M.; Sugano, S.; Yamane, H.; Takatsuji, H. WRKY45-dependent priming of diterpenoid phytoalexin biosynthesis in rice and the role of cytokinin in triggering the reaction. Plant Mol. Biol. 2014, 86, 171–183. [Google Scholar] [CrossRef] [PubMed]
- Takafuji, K.; Rim, H.; Kawauchi, K.; Mujiono, K.; Shimokawa, S.; Ando, Y.; Shiojiri, K.; Galis, I.; Arimura, G.I. Evidence that ERF transcriptional regulators serve as possible key molecules for natural variation in defense against herbivores in tall goldenrod. Sci. Rep. 2020, 10, 5352. [Google Scholar] [CrossRef] [PubMed]
- Body, M.J.A.; Zinkgraf, M.S.; Whitham, T.G.; Lin, C.H.; Richardson, R.A.; Appel, H.M.; Schultz, J.C. Heritable phytohormone profiles of poplar genotypes vary in resistance to a galling aphid. Mol. Plant Microbe Interact. 2019, 32, 654–672. [Google Scholar] [CrossRef]
- Wang, W.; Guo, W.; Tang, J.; Li, X. Phytohormones in galls on eucalypt trees and in the gall-forming wasp Leptocybe invasa (Hymenoptera: Eulophidae). Agric. Forest Entomol. 2022, 24, 609–617. [Google Scholar] [CrossRef]
- Bartlett, L.; Connor, E.F. Exogenous phytohormones and the induction of plant galls by insects. Arthropod Plant Interact. 2014, 8, 339–348. [Google Scholar] [CrossRef]
- Teresi, S.J.; Body, M.J.A.; Fulton, A.; Platts, A.E.; Colle, M.; Fanning, P.D.; Perkins, J.A.; Amadeu, R.R.; Benevenuto, J.; Munoz, P.; et al. Deciphering the underlying genetics of galling resistance to the blueberry stem gall wasp in northern highbush blueberry. Hortic. Res. 2025, 12, uhaf197. [Google Scholar] [CrossRef]
- Takatsuka, H.; Umeda, M. Hormonal control of cell division and elongation along differentiation trajectories in roots. J. Exp. Bot. 2014, 65, 2633–2643. [Google Scholar] [CrossRef]
- Martinson, E.O.; Hackett, J.D.; Machado, C.A.; Arnold, A.E. Metatranscriptome analysis of fig flowers provides insights into potential mechanisms for mutualism stability and gall induction. PLoS ONE 2015, 10, e0130745. [Google Scholar] [CrossRef] [PubMed]
- Dsouza, M.R.; Ravishankar, B.E. Nutritional sink formation in galls of Ficus glomerata Roxb. (Moraceae) by the insect Pauropsylla depressa (Psyllidae, Hemiptera). Trop. Ecol. 2014, 55, 129–136. [Google Scholar]
- Marchiosi, R.; Dos Santos, W.D.; Constantin, R.P.; de Lima, R.B.; Soares, A.R.; Finger-Teixeira, A.; Mota, T.R.; de Oliveira, D.M.; Foletto-Felipe, M.P.; Abrahão, J.; et al. Biosynthesis and metabolic actions of simple phenolic acids in plants. Phytochem. Rev. 2020, 19, 865–906. [Google Scholar] [CrossRef]














| Sample | Raw Data (bp) | Clean Data (bp) | Q30 (%) | Removed rRNA (%) | Mapped Reads (%) | Known Genes Number | Novel Transcripts Number | All Genes Number |
|---|---|---|---|---|---|---|---|---|
| NF1 | 7,034,891,100 | 7,009,089,308 | 92.19 | 93.86 | 95.56 | 19,498 (64.73%) | 874 | 20,372 |
| NF2 | 8,693,667,000 | 8,648,820,401 | 91.73 | 96.53 | 95.48 | 19,984 (66.34%) | 903 | 20,887 |
| NF3 | 10,041,009,600 | 9,964,733,975 | 93.69 | 88.71 | 95.56 | 19,637 (65.19%) | 899 | 20,536 |
| AF1 | 8,587,471,500 | 8,526,574,218 | 94.43 | 95.15 | 89.98 | 18,833 (62.52%) | 880 | 19,713 |
| AF2 | 7,984,127,100 | 7,959,607,589 | 93.21 | 95.67 | 93.93 | 19,336 (64.19%) | 898 | 20,234 |
| AF3 | 7,313,641,800 | 7,292,709,608 | 93.46 | 92.68 | 90.00 | 18,783 (62.35%) | 908 | 19,691 |
| Total | 49,654,808,100 | 49,401,535,099 | 21,835 | 945 | 22,780 |
Disclaimer/Publisher’s Note: The statements, opinions and data contained in all publications are solely those of the individual author(s) and contributor(s) and not of MDPI and/or the editor(s). MDPI and/or the editor(s) disclaim responsibility for any injury to people or property resulting from any ideas, methods, instructions or products referred to in the content. |
© 2026 by the authors. Licensee MDPI, Basel, Switzerland. This article is an open access article distributed under the terms and conditions of the Creative Commons Attribution (CC BY) license.
Share and Cite
He, Q.; Chen, H.; Feng, Z.; Liu, Y.; Liu, J.; Wang, C.; Huang, X. Transcriptomic Analysis Reveals Immune Signaling Pathways Orchestrate “Lantern-like” Flower Formation Induced by Contarinia citri Barnes in Citrus grandis ‘Tomentosa’. Horticulturae 2026, 12, 163. https://doi.org/10.3390/horticulturae12020163
He Q, Chen H, Feng Z, Liu Y, Liu J, Wang C, Huang X. Transcriptomic Analysis Reveals Immune Signaling Pathways Orchestrate “Lantern-like” Flower Formation Induced by Contarinia citri Barnes in Citrus grandis ‘Tomentosa’. Horticulturae. 2026; 12(2):163. https://doi.org/10.3390/horticulturae12020163
Chicago/Turabian StyleHe, Qinqin, Huadong Chen, Zongqin Feng, Yin Liu, Jinfeng Liu, Chun Wang, and Xinmin Huang. 2026. "Transcriptomic Analysis Reveals Immune Signaling Pathways Orchestrate “Lantern-like” Flower Formation Induced by Contarinia citri Barnes in Citrus grandis ‘Tomentosa’" Horticulturae 12, no. 2: 163. https://doi.org/10.3390/horticulturae12020163
APA StyleHe, Q., Chen, H., Feng, Z., Liu, Y., Liu, J., Wang, C., & Huang, X. (2026). Transcriptomic Analysis Reveals Immune Signaling Pathways Orchestrate “Lantern-like” Flower Formation Induced by Contarinia citri Barnes in Citrus grandis ‘Tomentosa’. Horticulturae, 12(2), 163. https://doi.org/10.3390/horticulturae12020163

