Effects of 1-Methylcyclopropene and Polyethylene Bags on Maintaining the Postharvest Quality in Sugar-Cored ‘Fuji’ Apple During Storage
Abstract
1. Introduction
2. Materials and Methods
2.1. Materials
2.2. Methods
2.2.1. Fruit Firmness and Sugar-Cored Apple Rate
2.2.2. Soluble Solids Concentration (SSC)
2.2.3. Observation of Paraffin Sections of Fruits
2.2.4. Titratable Acid Content (TA) and Reducing Sugar Content (RS)
2.2.5. Mineral Elements and Monosaccharides
2.2.6. Statistical Analysis
3. Results
3.1. Fruit Firmness and Sugar-Cored Apple Rate
3.2. SSC of Sugar-Cored Apples
3.3. Observation of Microstructure of Paraffin Sections
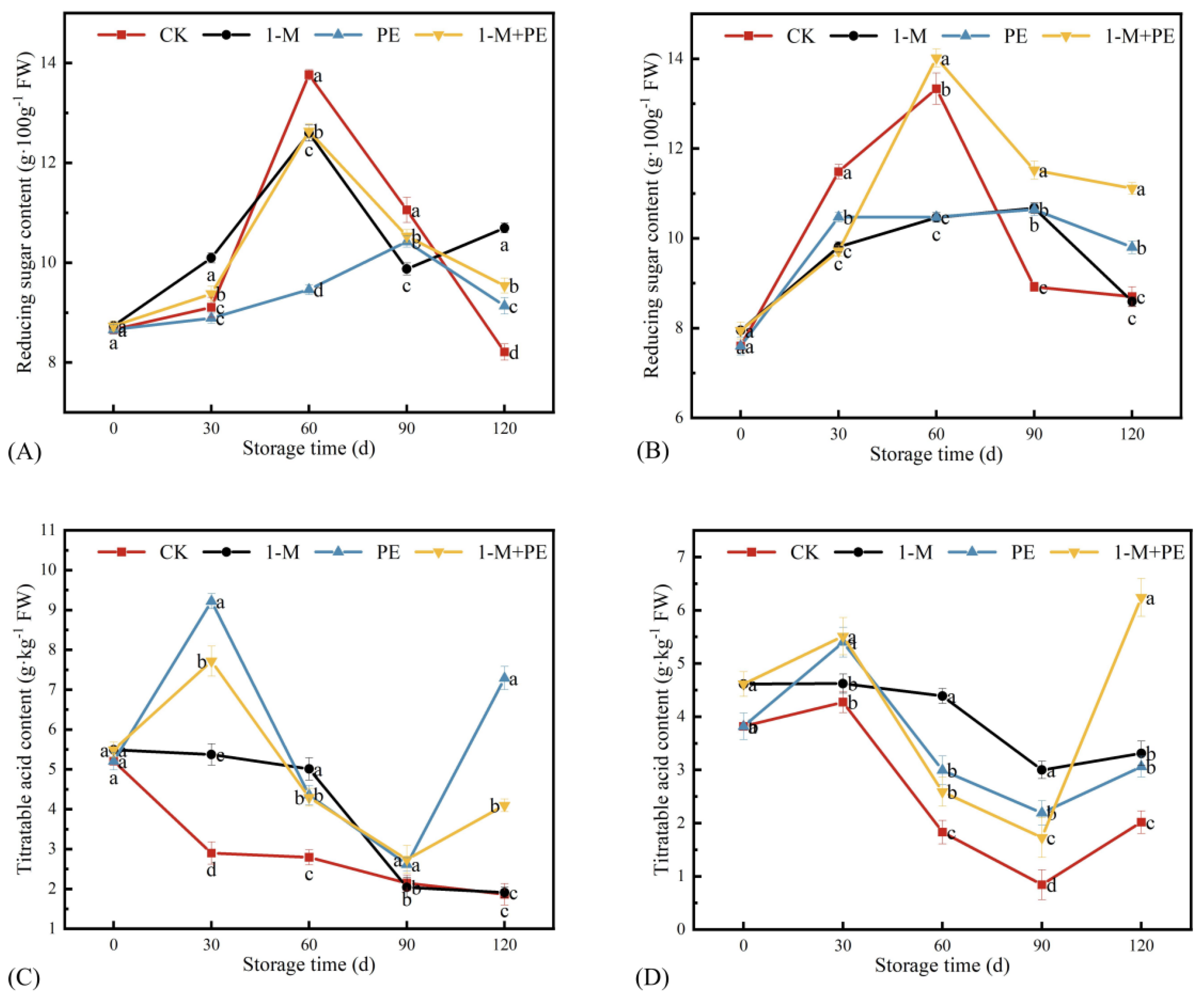
3.4. RS and TA of Sugar-Cored Apples
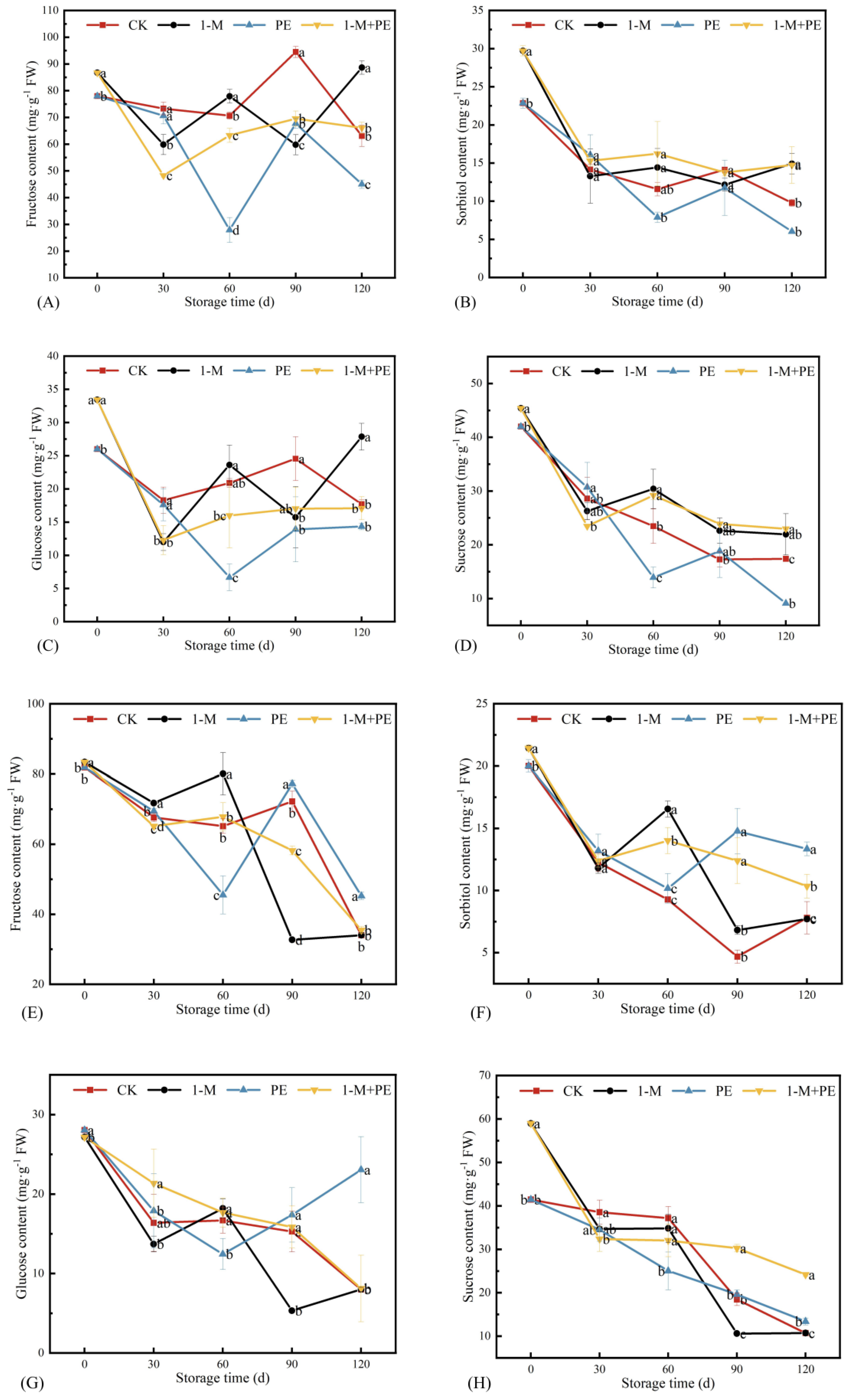
3.5. Monosaccharide Content
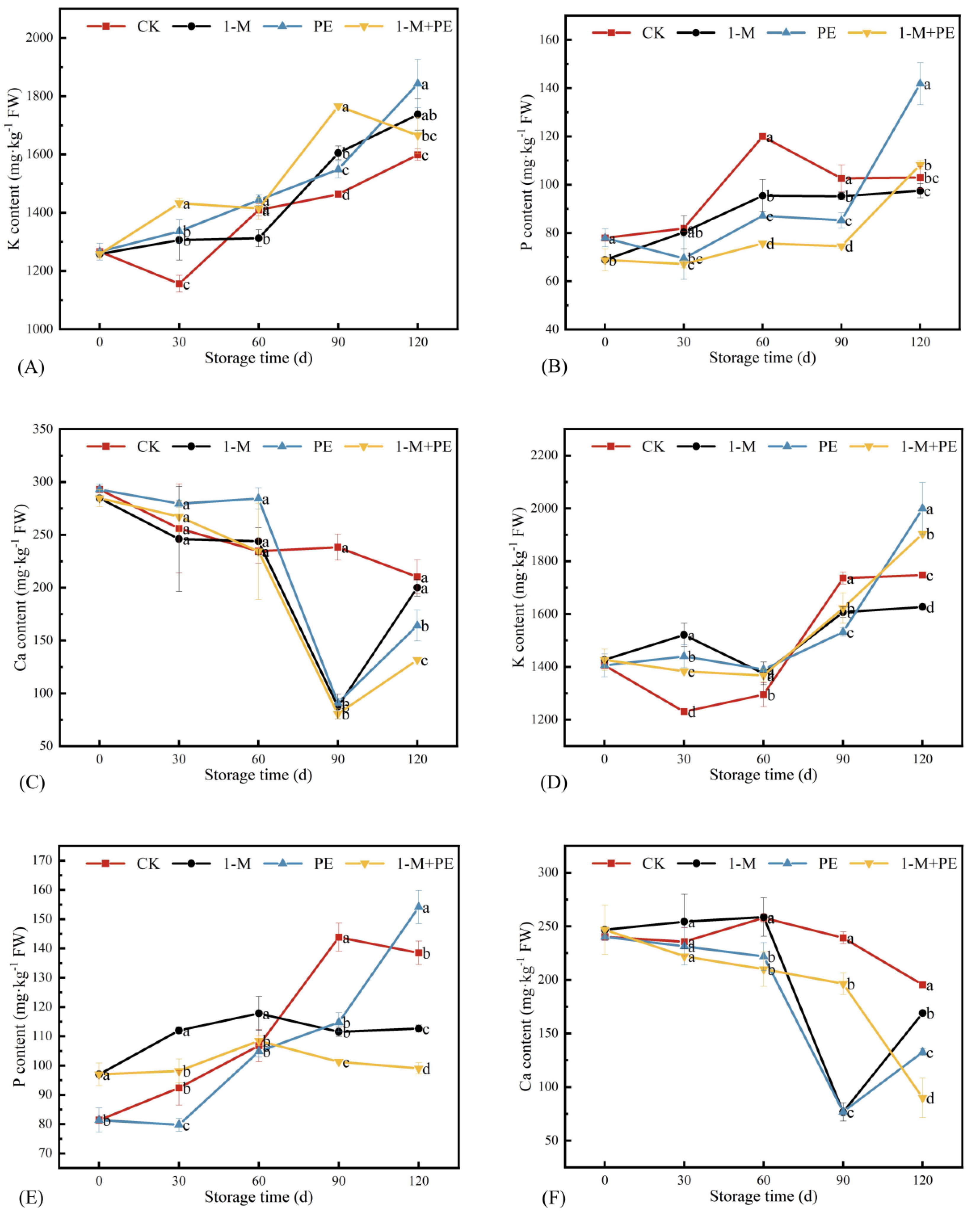
3.6. Potassium (K), Phosphorus (P), and Calcium (Ca) Content
3.7. Correlation Analysis
4. Conclusions
Supplementary Materials
Author Contributions
Funding
Data Availability Statement
Conflicts of Interest
References
- Wang, X.; Li, B.; Du, R.; Hou, X.; Li, J.; Xie, B. Effects of Temperature on Storage Quality and Reactive Oxygen Species Metabolism of Postharvest Aksu “Red Fuji” Apples. North. Hortic. 2024, 9, 79–87. [Google Scholar]
- Yamada, H.; Okumura, T.; Miyazaki, Y.; Amano, S. Seasonal changes in cellular compartmentation and membrane permeability to sugars in relation to early or high temperature-induced watercore in ’Orin’ apples. J. Hortic. Sci. Biotechnol. 2006, 81, 1069–1073. [Google Scholar] [CrossRef]
- Li, M.; Dong, C.; Ji, H.; Chen, C.; Yu, J.; Zhang, N.; Liang, L. Effect of precise temperature control on postharvest physiological quality of Aksu apples. Food Ferment. Ind. 2023, 49, 284–289. [Google Scholar]
- Yang, M.; Lin, Q.; Luo, Z.; Ban, Z.; Li, X.; Reiter, R.J.; Zhang, S.; Wang, L.; Liang, Z.; Qi, M. Ongoings in the apple watercore: First evidence from proteomic and metabolomic analysis. Food Chem. 2023, 402, 134226. [Google Scholar] [CrossRef] [PubMed]
- Liu, Y.; Wang, H.; Jia, Y.; Zhang, X.; Zhu, L. Assay on Sugars, Acid and Polyphenols of Red Fuji Apple in Chinese Main ProductionArea and Models of Reginal Authenticate. Sci. Technol. Food Ind. 2023, 44, 285–293. [Google Scholar]
- Li, W.; Liu, Z.; Wang, H.; Yuan, J.; Zheng, Y.; Duan, L.; Tang, Y.; Jiang, Y.; Li, X.; Jiang, Y. Heat shock pretreatment and low temperature fluctuation cold storage maintains flesh quality and retards watercore dissipation of watercored ‘Fuji’ apples. Sci. Hortic. 2024, 323, 112492. [Google Scholar] [CrossRef]
- Sisler, C.E.; Dupille, E.; Serek, M. Effect of 1-methylcyclopropene and methylenecyclopropane on ethylene binding and ethylene action on cut carnations. In Plant Hormone Signal Perception and Transduction; Springer: Berlin/Heidelberg, Germany, 1996; pp. 127–134. [Google Scholar]
- Sisler, C.E.; Serek, M. Compounds Interacting with the Ethylene Receptor in Plants. Plant Biol. 2003, 5, 473–480. [Google Scholar] [CrossRef]
- Fan, X.; Blankenship, S.M.; Mattheis, J.P. 1methylcyclopropene inhibits apple ripening. J. Am. Soc. Hortic. Sci. 1999, 124, 690–695. [Google Scholar] [CrossRef]
- Tian, X.; Wu, H.; Wang, L.; Tian, X.; Li, R.; Qi, Y.; Ren, X. Effect of 1- MCP treatment on chlorophyll degradation in postharvest ‘Granny Smith’ apple fruit. J. Fruit Sci. 2020, 37, 734–742. [Google Scholar]
- Peng, Z.; Ye, Q.; Xu, X.; Fu, D. Effect of 1-methylcyclopropene treatment on storage quality of red Fuji apple. J. Zhejiang Univ. (Agric. Life Sci.) 2020, 46, 83–92. [Google Scholar]
- Zhang, S.; Li, Y.; Du, M.; Li, X.; Wang, J.; Ban, Z.; Jiang, Y. Practical 1-Methylcyclopropene Technology for Increasing Apple (Malusdomestica Borkh) Storability in the Aksu Region. Foods 2024, 13, 2918. [Google Scholar] [CrossRef] [PubMed]
- Zhang, X.; Liu, Z.; Yi, K.; Zhang, J.; Zhang, G. Effects of 1-MCP on Respiratory Rate and Storage Quality of “Yueshuai” Apples. North. Hortic. 2011, 20, 160–162. [Google Scholar]
- Nock, J.F.; Watkins, C.B. Repeated treatment of apple fruit with 1-methylcyclopropene (1-MCP) prior to controlled atmosphere storage. Postharvest Biol. Technol. 2013, 79, 73–79. [Google Scholar] [CrossRef]
- Mubarok, S.; Kusumiyati, K.; Hamdani, S.J.; Wicaksana, N.; Jaya, I.H.M.; Budiarto, R.; Sugiarti, L.; Ariestanti, M.D.; Nuraini, A. Combination effect of 1-Methylcyclopropene (1-MCP) and Ascorbic Acid (AsA) in maintaining postharvest life and quality of tomato fruit. J. Agric. Food Res. 2025, 19, 101580. [Google Scholar] [CrossRef]
- Duan, M.; Zhang, B.; Pan, L.; Tang, S.; Zhou, X.; Liang, J. Influence of Storage Containers and Packaging Materials on the Storage Quality of Passion Fruit at Room Temperature. Storage Process 2023, 23, 16–23. [Google Scholar]
- Chu, L.; Wang, Q.; Wng, M.; Kou, L. Effect of PE Film Thickness on Preservative Effect of Ready-to-eat Pomegranate Seeds. Storage Process 2017, 17, 20–26. [Google Scholar]
- Qian, J.; Man, J.; Zheng, L.; Jin, P.; Zhang, S. Effects of Different Packaging Materials on Preservation of Fresh-cut Celery. Mod. Agric. Sci. Technol. 2020, 21, 224–227. [Google Scholar]
- Chen, M.; Xiong, Z.; Pang, T. Effects of modified atmosphere packaging on quality of passion fruit during storage. Food Sci. 2016, 37, 287–292. [Google Scholar]
- Sun, G.; Chen, H.; Li, S.; Zhang, Y.; Xiong, J.; Shao, X.; Xia, B. Effects of packaging materials on storage quality of Citrus unshiu. J. Agric. Sci. Technol. 2019, 21, 104–113. [Google Scholar]
- Ji, N.; Liu, R.; Zhang, N.; Xu, J.; Zhang, L.; Wang, R. Effect of 1-MCP Combined with Spontaneous Modified Atmosphere Bag on Postharvest Storage Quality of Passion Fruit. Packag. Food Mach. 2023, 44, 18–24. [Google Scholar]
- Xie, J.; Zhao, X.; Wang, Y.; Ma, S.; Bai, Y.; Du, L.; Ma, N.; Li, D.; Li, X. Effects of 1-MCP treatment on storage quality of Aksu Fuji apple in different harvest time. Sci. Technol. Food Ind. 2017, 38, 292–296+307. [Google Scholar]
- Du, Y.; Wang, W.; Hang, B.; Tong, W.; Wang, Z.; Jia, X. Relationship of Carbohydrate, Mineral Content, Reactive Oxygen Species Metabolism and ‘Fuji’ Apple Watercore Occurred. Acta Hortic. Sin. 2015, 42, 2023–2030. [Google Scholar]
- Wang, J.; Li, L.; Yuan, S.; Ding, X.; Zhang, X.; Xu, L.; Cao, J. Study on storability of plums of different cultivars at low temperature storage. Sci. Technol. Food Ind. 2014, 35, 343–345+350. [Google Scholar]
- Zhou, X.; Wang, D.; Nu, M.; Xiong, C. Quality analysis of “Sugar Core” ‘Fuji’ apple in Aksu. J. Tarim Univ. 2019, 31, 60–65. [Google Scholar]
- Sun, T.; Zan, J.; Hou, B.; Li, H.; Hu, D. Optimization of applee moldy core disease model by fusion of total soluble solids and titratable acidity with NIRS. Microchem. J. 2025, 217, 115065. [Google Scholar] [CrossRef]
- Li, Y.; Zhang, X.; Dong, Y.; Chai, L.; Lu, Z.; Shi, J.; Xu, Z. Analysis of physicochemical indexes, antioxidant activity and flavor characteristics of apple cider vinegar from different sources. China Brew. 2023, 42, 40–47. [Google Scholar]
- Adila, A.; Pu, Y.; Dang, Y. Simultaneous determination of fructose, sorbitol, glucose and sucrose in apple fruits by HPLC-RID. Agric. Prod. Process. 2021, 22, 46–49. [Google Scholar]
- Le, L.; Xia, X.; Long, Y.; Chen, D.; Gao, L.; Zeng, X.; Li, H.; Zhu, Y.; Zhu, J.; He, H. Effects of ozone treatment on postharvest storage quality and sterilization of late-maturing citrus. Mod. Food Sci. Technol. 2024, 40, 227–238. [Google Scholar]
- Poonam; Rajnish, S.; Parul, S.; Sharma, N.C.; Kuldeep, K.; Nand, K.S.; Vinay, B.; Narender, N.; Neena, C. Exploring genetic diversity and ascertaining genetic loci associated with important fruit quality traits in apple (Malus × domestica Borkh.). Physiol. Mol. Biol. Plants 2023, 29, 1693–1716. [Google Scholar] [CrossRef]
- James, H.J.; Jobling, J.J. Contrasting the structure and morphology of the radial and diffuse flesh browning disorders and CO2 injury of “Cripps Pink” apples. Postharvest Biol. Technol. 2009, 53, 36–42. [Google Scholar] [CrossRef]
- Schotsmans, W.; Verlinden, B.E.; Lammertyn, J.; Nicolai, B.M. The relationship between gas transport properties and the histology of apple. J. Sci. Food Agric. 2004, 84, 1131–1140. [Google Scholar] [CrossRef]
- Sun, X.; Li, J.; Paerhati, M.; Wang, X.; Ma, Y.; Wang, H.; Zhu, J. Nutrient Composition Changes in Different Grades of Aksu Ice Sugar Heart Apples Under Low-Temperature Storage Conditions. Xinjiang Agric. Sci. 2023, 60, 1181–1189. [Google Scholar]
- Park, D.; Shoffe, Y.A.; Algul, E.B.; Engelgau, P.; Beaudry, M.R.; Watkins, B.C. Preharvest application of 1-methylcyclopropene and 1-aminoethoxyvinylglycine affects watercore severity and volatile profiles of ‘Fuji’ apples stored in air and controlled atmospheres. Postharvest Biol. Technol. 2024, 211, 112840. [Google Scholar] [CrossRef]
- Zhang, W. Study on the Difference of Quality and ConsumerAcceptance of Fuji Apple under Different Storage Conditions. Master’s thesis, Northeast Agricultural University, Harbin, China, 2018. [Google Scholar]
- Guo, J. Study on the Mechanism of the Disappearance of the Sugary Corein Aksu Sugary Core Apples during Postharvest Storag. Master’s thesis, Tarim University, Alar, China, 2025. [Google Scholar]
- Marlow, G.C.; Loescher, W.H. Watercore. Horticulture 1984, 6, 189–251. [Google Scholar]
- Lee, J.; Kang, I.K.; Nock, J.F.; Watkins, C.B. Effects of preharvest and postharvest applications of 1-methylcyclopropene on fruit quality and physiological disorders of ‘Fuji’ apples during storage at warm and cold temperatures. Hortscience 2019, 54, 1375–1383. [Google Scholar] [CrossRef]
- Zhou, X. Study in the Formation Mechanism of “Sugar Core” Apple in Aksu. Master’s thesis, Tarim University, Alar, China, 2019. [Google Scholar]
- Bowen, J.H.; Watkins, C.B. Fruit maturity, carbohydrate and mineral content relationships with watercore in ‘Fuji’apples. Postharvest Biol. Technol. 1997, 11, 31–38. [Google Scholar] [CrossRef]
- Xie, J.; Zhao, X.; Wang, Y.; Ma, S.; Bai, Y.; Du, L.; Ma, N.; Li, D.; Li, X. Effect of 1-MCP Treatment on Sugar Metabolism in Aksu Fuji Apples Harvested at Different Stages and Stored for Different Periods. Mod. Food Sci. Technol. 2018, 34, 111–121+214. [Google Scholar]
- Jia, Y.; Zhang, Y.; Tong, P.; Wang, J. Aksu candied apple primary metabolites and mineral elements. J. Tarim Univ. 2021, 33, 1–6. [Google Scholar]
- Liu, Y. Gene for Important Differential Metabolites Between Sweet Core and Non Sweet Core of Aksu Fuji Apple. Master’s thesis, Tarim University, Alar, China, 2023. [Google Scholar]
- Du, M.; Liu, Z.; Zhang, X.; Li, H.; Liu, Z.; Li, X.; Song, J.; Jia, X.; Wang, L. Effect of pulsed controlled atmosphere with CO2 on the quality of watercored apple during storage. Sci. Hortic. 2021, 278, 109854. [Google Scholar] [CrossRef]
- Liu, X.; Shen, Y.; Liu, D.; Liu, J.; Zhang, J.; Wei, J.; Wang, C. A sorbitol transporter gene plays specific role in the occurrence ofwatercore by modulating the level of intercellular sorbitol in pear. Plant Sci. 2022, 317, 111179. [Google Scholar] [CrossRef]
- Bai, X. Study on the Regulation of Post-harvest Quality of Aksu Red FujiApples through Exogenous Calcium Treatment. Master’s thesis, Tarim University, Alar, China, 2025. [Google Scholar]








Disclaimer/Publisher’s Note: The statements, opinions and data contained in all publications are solely those of the individual author(s) and contributor(s) and not of MDPI and/or the editor(s). MDPI and/or the editor(s) disclaim responsibility for any injury to people or property resulting from any ideas, methods, instructions or products referred to in the content. |
© 2025 by the authors. Licensee MDPI, Basel, Switzerland. This article is an open access article distributed under the terms and conditions of the Creative Commons Attribution (CC BY) license.
Share and Cite
Lei, K.; Wang, Y.; Pu, Y.; Xie, B.; Wang, L.; Huang, Y.; Hou, X. Effects of 1-Methylcyclopropene and Polyethylene Bags on Maintaining the Postharvest Quality in Sugar-Cored ‘Fuji’ Apple During Storage. Horticulturae 2026, 12, 30. https://doi.org/10.3390/horticulturae12010030
Lei K, Wang Y, Pu Y, Xie B, Wang L, Huang Y, Hou X. Effects of 1-Methylcyclopropene and Polyethylene Bags on Maintaining the Postharvest Quality in Sugar-Cored ‘Fuji’ Apple During Storage. Horticulturae. 2026; 12(1):30. https://doi.org/10.3390/horticulturae12010030
Chicago/Turabian StyleLei, Keyu, Yinglong Wang, Yunfeng Pu, Bing Xie, Liling Wang, Ying Huang, and Xujie Hou. 2026. "Effects of 1-Methylcyclopropene and Polyethylene Bags on Maintaining the Postharvest Quality in Sugar-Cored ‘Fuji’ Apple During Storage" Horticulturae 12, no. 1: 30. https://doi.org/10.3390/horticulturae12010030
APA StyleLei, K., Wang, Y., Pu, Y., Xie, B., Wang, L., Huang, Y., & Hou, X. (2026). Effects of 1-Methylcyclopropene and Polyethylene Bags on Maintaining the Postharvest Quality in Sugar-Cored ‘Fuji’ Apple During Storage. Horticulturae, 12(1), 30. https://doi.org/10.3390/horticulturae12010030

