Abstract
Prunus humilis is rich in various minerals, organic acids, proteins, and carbohydrates, but its sour taste limits fresh consumption and industry growth. Methyl jasmonate, a plant growth regulator known to enhance fruit quality, has been studied in other fruits, but research on its effects on P. humilis has not yet been reported. This experiment used the P. humilis cultivar ‘Nongda No. 4’ as the material. During the fruit development stages (the pre-young fruit stage and pre-coloring and enlargement stage), the fruiting branches were sprayed with a 20 mg/L methyl jasmonate solution four times. The results indicate that exogenous methyl jasmonate increases the content of various sugar components in P. humilis fruits throughout their development, with a particularly strong effect in the later stages of fruit development. It effectively reduces the content of malic acid and citric acid in these later stages while significantly enhancing flavor-related attributes such as the sweetness, sugar–acid ratio, and sweetness–acid ratio. Moreover, methyl jasmonate markedly promoted the accumulation of different forms of calcium in the fruit. Specifically, at the fully ripe stage, the total sugar content increased significantly by 18.64% (p < 0.05), the total acid content decreased by 15.95% (p < 0.05), and the total calcium content increased by 55.98% (p < 0.05). Correlation and principal component analyses revealed that sugars, acids, and calcium are closely linked in P. humilis, and exogenous treatment with methyl jasmonate effectively improved the overall quality score of sugars, acids, and calcium in the fruit throughout its development. In conclusion, exogenous methyl jasmonate can effectively improve the sugar–acid quality, flavor, and calcium content of P. humilis fruits. This provides a theoretical foundation for cultivation management, quality enhancement, and the breeding of fresh-eating cultivars.
1. Introduction
Prunus humilis, a dwarf cherry species of the Rosaceae, is a unique fruit tree resource endemic to China, primarily found in the northern regions, including Shanxi, Inner Mongolia, Liaoning, and Hebei [1]. The fruit exhibits vibrant color and a unique flavor and is rich in amino acids, vitamins, organic acids, and essential minerals such as calcium, iron, and magnesium. It can be consumed fresh or processed in various products, including fruit wine, juice, jams, food coloring, and nutritional supplements [2,3]. The calcium content in the flesh of P. humilis is 2 to 10 times higher than that in most other fruits and is readily absorbed by the human body [4], earning it the nickname “calcium fruit”, with both high nutritional and economic value [5]. As society progresses and living standards improve, there is an increasing emphasis on the nutritional quality of fruits. Despite its rich nutritional value, the fruit of P. humilis is predominantly sour, with titratable acidity ranging from 1.0% to 2.0%, which is higher than that of most other fruits [6]. This high acidity results in suboptimal sensory qualities for fresh consumption, making it more commonly used in processing. Consequently, the taste profile significantly influences consumer preferences. Improving or enhancing the fresh-eating quality of P. humilis has therefore become a focal point of the current research [7,8].
Sugar, acid, and calcium are key factors influencing the taste, flavor, and nutritional quality of P. humilis fruits [9]. Sugars and organic acids are central to the edible quality of the fruit. Sugars not only determine its sweetness but also serve as the primary precursors for the synthesis of other nutrients, such as pigments, amino acids, vitamins, and aromatic compounds. The four main soluble sugars—glucose, fructose, sucrose, and sorbitol—differ in their proportions, which, in turn, affect the sweetness of the fruit [10]. Mo et al. [1] analyzed the sugar composition of fruits from 57 P. humilis varieties, revealing that the soluble sugars in these fruits predominantly consist of sucrose, glucose, fructose, and sorbitol. Previous studies by the research group have demonstrated that P. humilis is a fructose-accumulating fruit [9]. Organic acids are vital components of fruit quality, comprising a class of organic compounds with carboxyl groups. The organic acid composition in fruits is diverse, with key components including malic acid, citric acid, ascorbic acid, tartaric acid, oxalic acid, and others [11]. Studies have shown that in P. humilis fruits, malic acid is the predominant organic acid, classifying them as malic acid-type fruits [7,12]. The ratio of sugars to organic acids, known as the sugar–acid ratio, plays a significant role in fruit flavor. A high sugar–acid ratio results in a sweeter taste but may lack complexity, while a low ratio leads to a sour, astringent taste and poor flavor [13]. Therefore, the composition, content, and ratio of sugars and organic acids are the most important intrinsic factors in determining fruit quality and flavor, directly impacting both fresh and processed fruit quality [14]. The calcium content of P. humilis is the highest among fruits, making it an important nutritional component. Calcium in the fruit exists in various forms, including water-soluble calcium, calcium pectin, calcium phosphate, and calcium oxalate. Calcium pectin and water-soluble calcium are bioactive forms, with water-soluble calcium being particularly beneficial for the transfer and absorption of calcium ions. It can serve as a biological calcium source for children’s growth and development, as well as for calcium supplementation in middle-aged and elderly individuals [15].
Methyl jasmonate (MeJA), an endogenous plant growth regulator, acts as a signaling molecule involved in regulating plant growth and development, stress responses, and the synthesis of secondary metabolites [16,17]. MeJA is widely distributed across the plant kingdom and performs a variety of functions, significantly affecting fruit size, color, taste, secondary metabolite synthesis, and postharvest storage. It is considered an important endogenous hormone that plays a crucial regulatory role within plants [18,19]. In recent years, MeJA has been applied as an effective plant growth regulator to improve the fruit quality in various fruit trees, including grapes [20], mangoes [21], apples [22], and cherries [23]. However, no studies to date have reported on the role of MeJA in regulating the fruit quality during the development of P. humilis. Based on its effectiveness in other fruit species, we hypothesized that the appropriate application of MeJA could also improve the fruit quality of P. humilis. In our preliminary experiments, three concentrations of MeJA (10, 20, and 50 mg/L) were applied to fruit-bearing branches. The initial results indicated that treatment with 20 mg/L MeJA was the most effective at improving the fruit quality. Therefore, this study applied MeJA to the fruiting branches of ‘Nongda No. 4’ P. humilis during the fruit development period and analyzed the dynamic changes in the sugar, acid, and calcium components in the fruit. This study explores the effect of exogenous methyl jasmonate on key quality traits (sugar, acid, and calcium) in ‘Nongda No. 4’ P. humilis fruits. This provides valuable insights for improving the fresh food quality of P. humilis and holds significant implications for the innovation of P. humilis resources and industrial development.
2. Materials and Methods
2.1. Experimental Materials
The experiment was conducted from May to September 2024 using P. humilis ‘Nongda No. 4’ from the research base at Inner Mongolia Agricultural University, located in Hohhot, Inner Mongolia, at a longitude of 111.65° and a latitude of 40.82°.
Three-year-old P. humilis plants grown under open-field conditions (in the ground) were used in this study. The growing season lasted from April to September, with mean temperatures ranging from 5.3 °C to 9.1 °C in 2024 and a total annual precipitation of 572.0 mm. Cultivation practices, pest and disease management, and fertilizer–water regimes were kept consistent throughout the experiment. During flowering (18 April), a 0.2% borax solution was applied once as a foliar spray. At the fruit coloring and enlargement stage, a 0.3% KH2PO4 solution was applied twice. Irrigation was performed according to the soil moisture conditions, with timely watering during bud break (early April), fruit enlargement (early August), and before soil freezing. Watering was restricted during flowering, and irrigation was stopped 7–10 days before fruit ripening.
2.2. Experimental Design
Each plant retained two fruiting branches and six vegetative branches, and 12 plants with uniform growth were selected for labeling. The experiment was conducted using a completely randomized design. Twelve tagged P. humilis trees were randomly divided into two groups, with each tree serving as an independent replicate. Each treatment was repeated with 6 trees (n = 6). After preliminary screening, a 20 mg/L methyl jasmonate (MeJA) treatment was found to be the most effective. Therefore, we selected 20 mg/L MeJA as the experimental concentration. For the treatment group (denoted as MeJA), 1 L of a 20 mg/L MeJA solution was evenly sprayed on the fruit-bearing branches of each tree during each application. For the control group (denoted as CK), an equal volume of water was sprayed on the fruit-bearing branches of each tree. A total of four spray applications were made: two before the young fruit stage (on May 21 and May 28), and two before the coloring and enlargement stage (on July 16 and July 23). An electric sprayer was used to apply the solution, ensuring that each fruit was thoroughly coated, with droplets forming on the surface. Routine management was applied after the treatments.
2.3. Sample Collection
The P. humilis cultivar ‘Nongda No. 4’ began flowering on April 18 and exhibited a typical double-sigmoid growth curve throughout its fruit development. Based on this growth pattern, samples were collected at five distinct stages: the young fruit stage (S1, June 8, 50 days post-flowering), the hard seed stage (S2, July 8, 80 days post-flowering), the coloring and enlargement stage (S3, August 18, 120 days post-flowering), the hard–ripe stage (S4, September 8, 140 days post-flowering), and the fully ripe stage (S5, September 18, 150 days post-flowering). For each stage, uniform-sized fruits were collected from the upper, middle, and lower parts of the fruit-bearing branches of each tree. A total of 10 fruits per tree (3–4 fruits per branch section) were collected from 6 replicates, resulting in approximately 60 fruits. After cleaning, the fruits were dried, the seeds were removed, and the samples were divided into three portions, flash-frozen in liquid nitrogen, and stored at −80 °C for analysis of the sugar, acid, and calcium quality indicators.
2.4. Experimental Index Measurement
2.4.1. Determination of Sugar Components in Fruits
The contents of glucose, fructose, sucrose, and sorbitol were determined using the method of Sheng et al. [24]. At each developmental stage, 10 g of deseeded fruit was placed into a 50 mL grinding tube for drying. The open tubes were positioned upright in a forced-air drying oven (LC-101, Hunan Lichen Instrument Technology Co., Ltd., Changsha, China) and heated at 105 °C for 30 min to inactivate enzymes, followed by drying at 75 °C until constant weight. The dried samples were subsequently ground into powder using a multi-sample tissue grinder (JXFSTPRP-64L, Shanghai Jingxin Industrial Development Co., Ltd., Shanghai, China), and the resulting powders were collected into 5 mL centrifuge tubes and stored at room temperature until further use. A 50 mg dry sample from fruits at each developmental stage was used for analysis. All measurements were performed in triplicate. The units are expressed as mg·g−1DW.
Total sugar = Glucose + Fructose + Sucrose + Sorbitol
2.4.2. Determination of Organic Acid Components in Fruits
The determination of the organic acid content was conducted according to the method described by Ji et al. [25]. A 2.0 g sample of P. humilis fruit at different developmental stages was homogenized with 4 mL of ultra-pure water. The homogenate was extracted in a 75 °C water bath for 1 h to ensure the thorough release of organic acids, cooled, and centrifuged at 10,000 r/min for 15 min. The supernatant was transferred to a 10 mL volumetric flask. The residue was further treated with 3 mL of ultra-pure water, vortexed, and extracted again. The two supernatants were combined and diluted to volume with ultra-pure water. The final solution was filtered through a 0.45 μm membrane and transferred to HPLC vials for analysis. The contents of malic acid, quinic acid, citric acid, and oxalic acid were quantified by high-performance liquid chromatography with a Waters E2695 separation module coupled to a 2489 UV/Visible detector (Waters Corporation, Milford, MA, USA). All measurements were performed in triplicate. The units are expressed as mg·g−1FW.
The HPLC conditions were as follows: Separation was performed on an Ultimate LP-C18 column (4.6 × 300 mm, 5 μm). The mobile phase was 0.01 mol/L potassium dihydrogen phosphate solution mixed with methanol (95:5, v/v). The column temperature was set at 30 °C, with a flow rate of 0.5 mL/min. Each injection volume was 10 μL, and detection was carried out at 210 nm. The total run time per sample was 30 min.
Total acid = Malic acid + Quinic acid + Citric acid + Oxalic acid
2.4.3. Fruit Flavor Evaluation Parameters
Due to the varying proportions of sugar components in fruit, the total sugar content does not accurately reflect its overall sweetness. A more reasonable approach is to assess sweetness using the absolute value of the sweetness index. For the evaluation of the sweetness of P. humilis fruits, sweetness values were calculated based on the following proportions: glucose at 0.70, fructose sweetness at 1.75, sucrose at 1.00, and sorbitol at 0.40 [26]. The relevant evaluation parameters are computed using the following formulas:
Sweetness value = Glucose content × 0.70 + Fructose content × 1.75 + Sucrose content × 1.00 + Sorbitol content × 0.4
Sweetness-acid ratio = Sweetness value/Total acid content
Sugar-acid ratio = Total sugar content/Total acid content
2.4.4. Determination of Calcium Components in Fruits
The extraction of different calcium forms was carried out following the method of Huang et al. [27]. A 1.0 g sample of P. humilis fruits at various developmental stages was sequentially treated in a 25 °C water bath with ultra-pure water, 1 mol/L sodium chloride, 2% acetic acid, and 5% hydrochloric acid. The calcium fractions were classified according to the extracting solution: water-soluble calcium (ultra-pure water), calcium pectin (sodium chloride), calcium phosphate (acetic acid), and calcium oxalate (hydrochloric acid). Calcium concentrations were determined using a flame atomic absorption spectrophotometer (Hitachi ZA3000 series, Hitachi Scientific Instruments, Beijing, China). All measurements were performed in triplicate. The units are expressed as mg·kg−1FW.
Active calcium = Water-soluble calcium + Calcium pectin
Total calcium = Water-soluble calcium + Calcium pectin + Calcium phosphate + Calcium oxalate
2.5. Statistical Analysis
All experimental measurements were performed in triplicate. Results are presented as mean values ± standard error (SE), with 95% confidence intervals. Data were statistically analyzed using Microsoft Excel 2010 and SPSS Statistics version 27.0. One-way analysis of variance (ANOVA) was conducted to assess significant differences among the treatment groups. The assumption of homogeneity of variance was verified prior to the ANOVA. Post hoc comparisons of means were performed using the least significant difference (LSD) method, with significance set at p < 0.05. Line graphs were generated using GraphPad Prism version 8.0. Pearson correlation analysis was also conducted using SPSS Statistics version 27.0. Correlation heatmaps were visualized using the online platform https://www.chiplot.online/ (accessed on 18 May 2025).
For the comprehensive quality evaluation, a multivariate statistical approach was employed to evaluate the fruit quality traits across different developmental stages and treatments. Nineteen quality-related indicators were standardized using the Z-score method in SPSS Statistics 27.0. All datasets were complete and free of missing values. Factors were extracted based on the criterion of eigenvalues greater than 1. The eigenvalues and variance contribution rates of each quality indicator were calculated accordingly. Factor loadings were determined using the varimax rotation method. Factor scores were then computed using the Thomson regression method. A weighted sum of the factor scores was calculated, with the variance contribution rate of each factor serving as its weight. This yielded a comprehensive quality score for each treatment and developmental stage.
3. Results
3.1. Effect of Exogenous Methyl Jasmonate on Sugar Component Content in P. humilis Fruits
The changes in the sugar components of P. humilis fruits treated with MeJA and the control (CK) as the fruits developed and matured are shown in Figure 1. Both the glucose and fructose contents initially decreased and then increased. At all developmental stages, the glucose and fructose contents in MeJA-treated fruits were higher than those in the CK. MeJA treatment significantly increased the glucose content in the later stages of fruit development, with a 50.90% increase at the fully ripe stage compared to the CK. The effect of MeJA treatment on the fructose content was the most pronounced during the young fruit stage, where it was significantly increased by 1.56 times compared to the CK. This increment gradually decreased after the young fruit stage, with a 10.73% higher fructose content at the fully ripe stage compared to the CK (Figure 1a,b). Both MeJA-treated and CK fruits showed continuous increases in their sucrose contents, reaching the highest levels at the fully ripe stage, with a 14.87% increase in MeJA-treated fruits compared to the CK (Figure 1c). The sorbitol content fluctuated. From the young fruit stage to the coloring and enlargement stage, the sorbitol content gradually increased, then decreased, and later increased again in the later stages of fruit development. The highest content was reached at the fully ripe stage, with MeJA treatment showing the strongest effect, significantly increasing the sorbitol content by 43.28% compared to the CK (Figure 1d). Overall, the total sugar content showed an increasing trend. Throughout the developmental stages, the total sugar content in MeJA-treated fruits was consistently higher than that in the CK, with an 18.64% increase at the fully ripe stage (Figure 1e).

Figure 1.
Changes in sugar components of P. humilis fruits under methyl jasmonate treatment: (a) represents the change in glucose, (b) represents the change in fructose, (c) represents the change in sucrose, (d) represents the change in sorbitol, and (e) represents the change in total sugar. CK represents the water spray control, MeJA represents the 20 mg/L methyl jasmonate spray treatment, and S1–S5 represent the five developmental stages of the fruit. * indicates LSD test results for p < 0.05 in the fruits of P. humilis at different developmental stages for the CK and MeJA; the error bars represent means ± standard error (SE) (n = 3).
In summary, exogenous methyl jasmonate can increase the contents of various sugar components in P. humilis fruits to different extents, with significant increases observed at the fully ripe stage compared to the CK, especially for glucose and sorbitol (Figure 1).
As the fruit developed and matured, the relative proportions of sugar components in the MeJA-treated and CK P. humilis fruits showed distinct dynamics (Table 1). Glucose represented a higher proportion during the early stages of fruit development but declined at later stages; MeJA treatment markedly reduced its proportion at the young fruit stage while enhancing its accumulation at maturity. In contrast, fructose was significantly increased by MeJA during the early stages, with elevations of 12.90% and 17.10% at the young fruit and hard seed stages, respectively, although a slight decrease was observed at maturity. Sucrose consistently decreased under MeJA treatment, with the reduction being more pronounced during the early developmental stages. Moreover, MeJA markedly reduced the proportion of sorbitol in the early phase of fruit development, whereas it promoted sorbitol accumulation at later stages.
Table 1.
Changes in the proportions of sugar components in P. humilis fruits under methyl jasmonate treatment.
In summary, the proportions of sugar components in P. humilis fruits follow the order fructose > sucrose > glucose > sorbitol. Methyl jasmonate treatment improves the proportions of sugar components in P. humilis fruits, effectively increasing the proportion of the first component, fructose, and enhancing the proportions of glucose and sorbitol in the later stages of fruit development. However, it reduces the proportion of sucrose in the fruit (Table 1).
3.2. Effect of Exogenous Methyl Jasmonate on Organic Acid Component Content in P. humilis Fruits
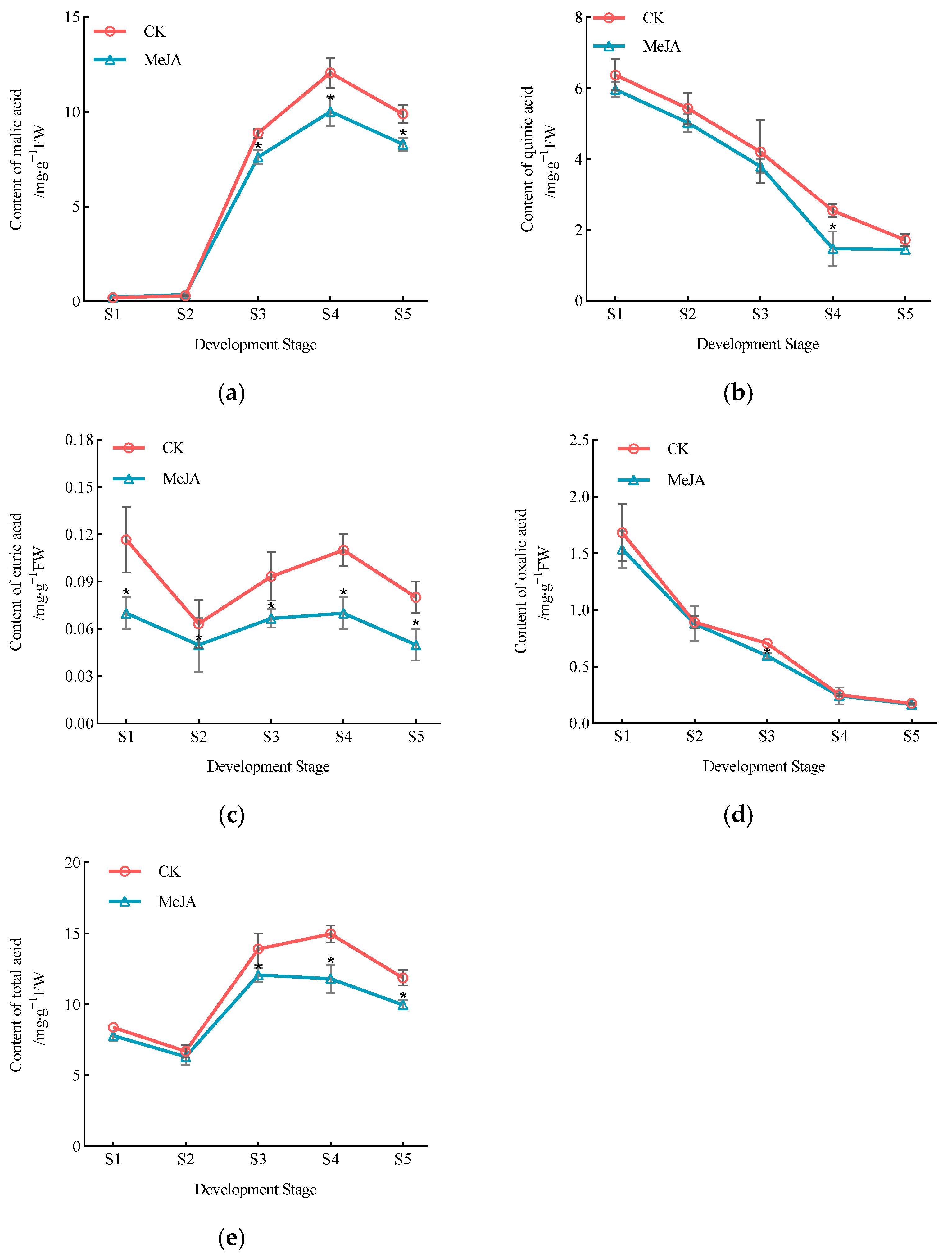
The changes in the organic acid components in P. humilis fruits treated with MeJA and the CK as the fruits developed and matured are shown in Figure 2. The malic acid content initially increased and then decreased. In the later stages of fruit development, MeJA treatment significantly reduced the malic acid content, with a 16.01% decrease at the fully ripe stage compared to the CK (Figure 2a). The quinic acid content showed a continuous decrease, with MeJA-treated fruits having lower quinic acid contents than those of the CK at all developmental stages. The difference was significant at the hard–ripe stage, with a 42.35% decrease compared to the CK (Figure 2b). The citric acid content fluctuated. Throughout the developmental stages, the citric acid content in MeJA-treated fruits was significantly lower than that in the CK (Figure 2c). The oxalic acid content gradually decreased, with no significant difference in the oxalic acid contents between the MeJA-treated and CK fruits throughout the developmental period (Figure 2d). The total acid content initially decreased and then increased in the early stages of fruit development, while it continued to decrease in the later stages. The decrease in the total acid content was more pronounced in MeJA-treated fruits, with the total acid content significantly lower than the CK in the later stages, showing a 15.95% reduction at the fully ripe stage (Figure 2e).
Figure 2.
Changes in organic acid components in P. humilis fruits under methyl jasmonate treatment: (a) represents the change in malic acid, (b) represents the change in quinic acid, (c) represents the change in citric acid, (d) represents the change in oxalic acid, and (e) represents the change in total acid. CK represents the water spray control, MeJA represents the 20 mg/L methyl jasmonate spray treatment, and S1–S5 represent the five developmental stages of the fruit. * indicates LSD test results for p < 0.05 in the fruits of P. humilis at different developmental stages for the CK and MeJA; the error bars represent the mean ± standard error (SE) (n = 3).
In summary, exogenous methyl jasmonate can reduce the organic acid content in fruits, primarily affecting the reduction of malic acid and citric acid, with the most significant effects observed in the later stages of fruit development (Figure 2).
The changes in the proportions of the organic acid components in P. humilis fruits treated with MeJA and the CK as the fruits developed and matured are shown in Table 2. The changes in the organic acid components are substantial. The proportion of malic acid gradually increased, reaching its highest proportion at the fully ripe stage, exceeding 80%. The proportion of quinic acid was higher in the early stages of fruit development and significantly decreased in the later stages. MeJA treatment significantly increased the quinic acid proportion during the early fruit stage but effectively reduced it from the hard seed stage to the fully ripe stage. The proportion of citric acid gradually decreased, with MeJA treatment reducing its proportion at all developmental stages. The proportion of oxalic acid gradually decreased, with MeJA treatment reducing oxalic acid in the early fruit stage but increasing it from the hard seed stage to the fully ripe stage.
Table 2.
Changes in the proportions of acid components in P. humilis fruits under methyl jasmonate treatment.
In summary, during the early stages of P. humilis fruit development, the order of organic acid proportions is quinic acid > oxalic acid > malic acid > citric acid. At maturity, the order changes to malic acid > quinic acid > oxalic acid > citric acid. Exogenous methyl jasmonate treatment alters the proportions of organic acid components in the fruit, leading to varying degrees of reduction in the proportions of malic acid, quinic acid, and citric acid at the fully ripe stage (Table 2).
3.3. Effect of Exogenous Methyl Jasmonate on Flavor Evaluation Parameters in P. humilis Fruits
The changes in the flavor evaluation parameters in P. humilis fruits treated with MeJA and the CK as the fruits developed and matured are shown in Figure 3. The sweetness value initially decreased and then increased, with MeJA-treated fruits consistently exhibiting higher sweetness levels throughout the development period and significantly increasing by 14.79% at the fully ripe stage (Figure 3a). Both the sugar–acid and sweet–acid ratios increased gradually, with slow growth in the early stages of fruit development, followed by rapid growth after the coloring and enlargement stage. The sugar–acid and sweet–acid ratios reached their highest values at the fully ripe stage, and MeJA-treated fruits showed significantly higher sugar–acid and sweet–acid ratios compared to the CK, with increases of 41.01% and 36.48%, respectively, at the fully ripe stage (Figure 3b,c).
Figure 3.
Changes in flavor evaluation parameters in P. humilis fruits under methyl jasmonate treatment: (a) represents the change in the sweetness value, (b) represents the change in the sugar–acid ratio, and (c) represents the change in the sweetness–acid ratio. CK represents the water spray control, MeJA represents the 20 mg/L methyl jasmonate spray treatment, and S1–S5 represent the five developmental stages of the fruit. * indicates LSD test results for p < 0.05 in the fruits of P. humilis at different developmental stages for the CK and MeJA; the error bars represent means ± standard error (SE) (n = 3).
In summary, exogenous methyl jasmonate significantly increases the sweetness value, sugar–acid ratio, and sweetness–acid ratio, effectively improving the flavor of the fruit (Figure 3).
3.4. Effect of Exogenous Methyl Jasmonate on Calcium Component Content in P. humilis Fruits
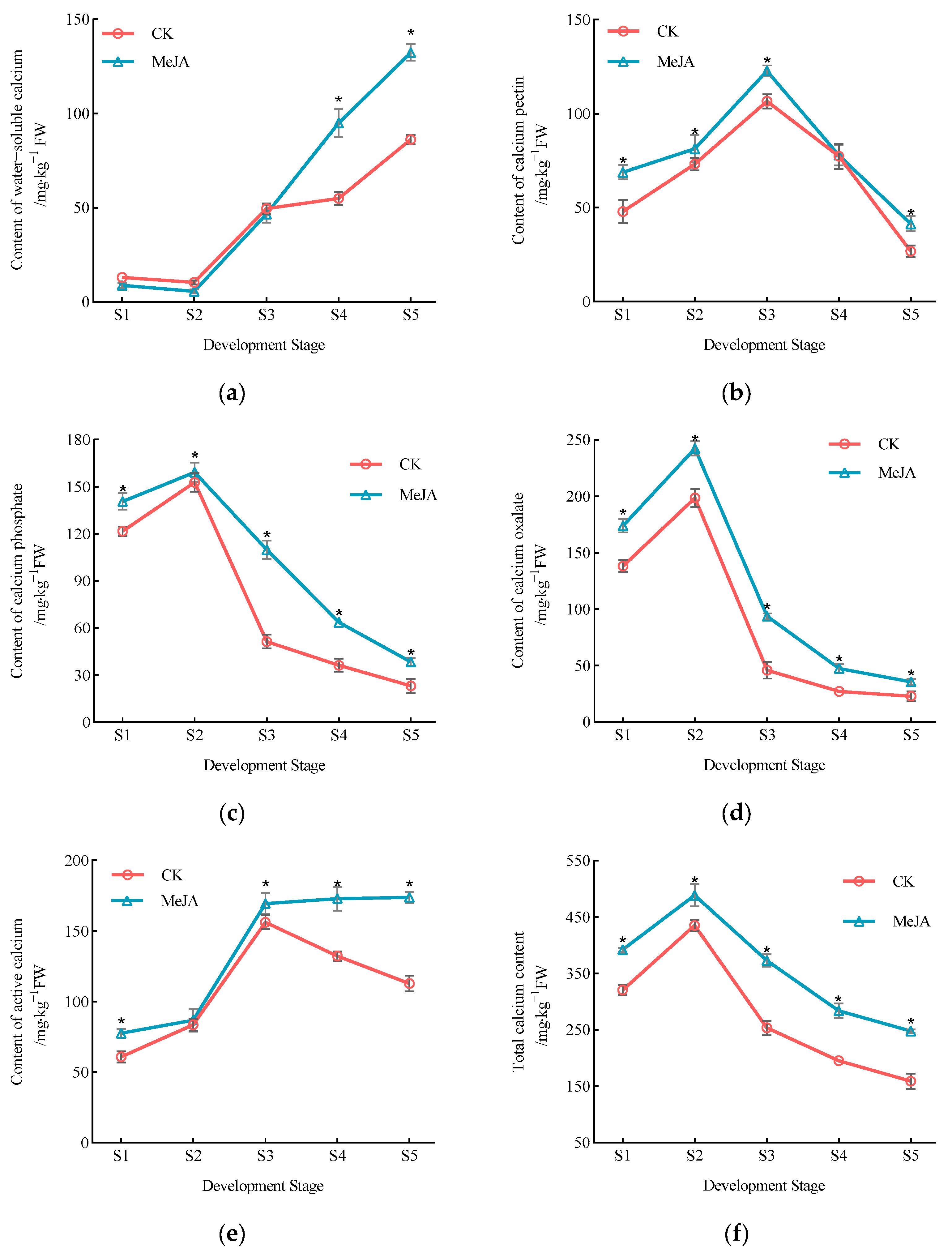
The changes in the calcium component content in P. humilis fruits treated with MeJA and the CK as the fruits developed and matured are shown in Figure 4. The water-soluble calcium content gradually increased. MeJA treatment significantly enhanced the water-soluble calcium content at the fully ripe stage, with a 53.71% increase (Figure 4a). The calcium pectin content initially increased and then decreased. The highest content was observed at the coloring and enlargement stage. MeJA treatment increased the calcium pectin content at all developmental stages, with a significant 54.77% increase at the fully ripe stage (Figure 4b). The calcium phosphate and calcium oxalate contents showed a similar trend, initially increasing and then decreasing. Throughout the entire developmental period, the contents of calcium phosphate and calcium oxalate were significantly higher in MeJA-treated fruits, with 66.18% and 55.67% increases, respectively, at the fully ripe stage (Figure 4c,d). The active calcium content increased rapidly during the early stages of fruit development. At the coloring and enlargement stage, it reached the highest value. After that, the CK group showed a noticeable decrease, while MeJA treatment stabilized the active calcium content in the later stages of fruit development, preventing the decline. At the fully ripe stage, the active calcium content in MeJA-treated fruits was 53.97% higher than that in the CK (Figure 4e). The total calcium content initially increased and then decreased. MeJA treatment significantly increased the total calcium content throughout the developmental period, with a 55.98% increase at the fully ripe stage (Figure 4f).
Figure 4.
Changes in calcium component content in P. humilis fruits under methyl jasmonate treatment: (a) represents the change in water-soluble calcium, (b) represents the change in calcium pectin, (c) represents the change in calcium phosphate, (d) represents the change in calcium oxalate, (e) represents the change in active calcium, and (f) represents the change in total calcium. CK represents the water spray control, MeJA represents the 20 mg/L methyl jasmonate spray treatment, and S1–S5 represent the five developmental stages of the fruit. * indicates LSD test results for p < 0.05 in the fruits of P. humilis at different developmental stages for the CK and MeJA; the error bars represent means ± standard error (SE) (n = 3).
In summary, exogenous methyl jasmonate significantly increases the calcium component content in fruits, with more significant effects observed in the later stages of fruit development (Figure 4).
The changes in the proportions of calcium components in P. humilis fruits treated with MeJA and the control as the fruits developed and matured are shown in Table 3. The proportion of water-soluble calcium gradually increased, exceeding 50% at the fully ripe stage. MeJA treatment reduced the water-soluble calcium proportion during the early stages of fruit development but increased it at maturity. The proportion of calcium pectin initially increased and then decreased. MeJA treatment increased the calcium pectin proportion during the early stages but significantly reduced it during the coloring and enlargement and hardening stages. The proportion of active calcium, composed of water-soluble and calcium pectin, generally increased, reaching its highest proportion at the fully ripe stage, exceeding 70%. MeJA treatment slightly reduced the proportion of active calcium. The proportion of calcium phosphate gradually decreased, with MeJA treatment reducing the calcium phosphate proportion during the early stages but increasing it in the later stages. The proportion of calcium oxalate showed an initial increase followed by a decrease, with MeJA treatment increasing the proportion of calcium oxalate throughout the entire developmental period.
Table 3.
Changes in the proportions of calcium components in P. humilis fruits under methyl jasmonate treatment.
In summary, at the fully ripe stage, active calcium is the largest component by proportion in P. humilis fruits, followed by water-soluble calcium. The proportions of calcium pectin, calcium phosphate, and calcium oxalate are comparable. Exogenous methyl jasmonate treatment has a significant impact on the calcium component proportions during the coloring and enlargement and hardening stages (Table 3).
3.5. Correlation Between Sugar, Acid, and Calcium Quality Parameters During the Development and Maturation of P. humilis Fruits
A correlation analysis of 19 nutritional quality indices in MeJA-treated and CK P. humilis fruits is shown in Figure 5. Strong correlations were observed within each group of sugars, acids, and calcium components, and varying degrees of correlation were found between sugars, acids, and calcium. These components interact and collectively regulate the fruit quality. Overall, MeJA treatment enhanced the correlation between sugar and calcium components and the relationship between sugars and calcium while reducing the correlation between acids and sugars/calcium, indicating that MeJA treatment effectively improves the sugar–acid–calcium quality of the fruit (Figure 5).
Figure 5.
Correlation heatmap of sugar, acid, and calcium quality parameters in P. humilis fruits. CK represents the water spray control, and MeJA represents the 20 mg/L methyl jasmonate spray treatment. Blue squares represent positive correlation, red squares represent negative correlation, * indicates a significant correlation at the p < 0.05 level, and ** indicates a highly significant correlation at the p < 0.01 level.
3.6. Principal Component Analysis of Sugar, Acid, and Calcium Quality in P. humilis Fruits
The sugar, acid, and calcium quality of P. humilis fruits is the result of multiple quality parameters working together, and evaluating the fruit using a single indicator is not representative. A comprehensive evaluation using multiple indicators is necessary to fully reflect the overall quality of P. humilis fruits. To provide a more comprehensive reflection of the P. humilis fruit quality, principal component analysis (PCA) was performed on 19 quality parameters. As shown in Table 4, the first three principal components (PCs) had eigenvalues greater than 1, and the cumulative variance contribution rate reached 93.498%, indicating that these three PCs captured the majority of the information from the 19 indicators.
Table 4.
Principal component loadings, eigenvalues, and contribution rates of sugar, acid, and calcium quality parameters in P. humilis fruits.
Therefore, the first three PCs were selected for further analysis. The variance contribution rate of the first principal component (PC1) was 70.373%, with an eigenvalue of 13.371, and it primarily represented the glucose, fructose, sucrose, sorbitol, total sugars, quinic acid, oxalic acid, sweetness value, sugar–acid ratio, sweetness–acid ratio, water-soluble calcium, and active calcium, which play a dominant role in the overall quality evaluation. The variance contribution rate of the second principal component (PC2) was 14.161%, with an eigenvalue of 2.691, and it mainly represented the malic acid, citric acid, total acids, calcium phosphate, calcium oxalate, and total calcium, reflecting the fruit’s acidity and calcium nutrition. The variance contribution rate of the third principal component (PC3) was 8.964%, with an eigenvalue of 1.703, and the loadings were primarily dominated by calcium pectin (Table 4).
Using the first three principal components (PC1, PC2, and PC3) from the PCA, a comprehensive evaluation of the P. humilis fruit sugar, acid, and calcium quality was conducted. The contribution rate of each principal component was used as a weight, and the corresponding principal component scores were weighted and summed to obtain the comprehensive quality evaluation function for P. humilis fruits at different developmental stages and under different treatments: F = 70.373% F1 + 14.161% F2 + 8.964% F3 (where F represents the comprehensive score, and F1, F2, and F3 represent the scores of PC1, PC2, and PC3, respectively). The comprehensive scores for P. humilis fruits under different treatments and at various developmental stages were obtained (Table 5). These scores reflect the overall quality of the fruit, with higher comprehensive scores indicating better overall quality across the measured indicators. A plot was generated with the developmental stages of the fruit on the x-axis and the comprehensive scores on the y-axis.
Table 5.
Comprehensive quality scores of P. humilis fruits under different treatments.
As shown in Table 5 and Figure 6, the comprehensive scores increased as the P. humilis fruits developed and matured, from negative values in the early developmental stages to positive values in the later stages, indicating a gradual improvement in the overall fruit quality. Exogenous methyl jasmonate treatment increased the comprehensive scores throughout the entire developmental period, effectively enhancing the sugar, acid, and calcium quality of the P. humilis fruits.
Figure 6.
Changes in comprehensive scores of P. humilis fruits under methyl jasmonate treatment. CK represents the water spray control, MeJA represents the 20 mg/L methyl jasmonate spray treatment, and S1–S5 represent the five developmental stages of the fruit. * indicates LSD test results for p < 0.05 in the fruits of P. humilis at different developmental stages for the CK and MeJA; the error bars represent means ± standard error (SE) (n = 3).
4. Discussion
4.1. The Effect of Exogenous Methyl Jasmonate on the Sugar and Acid Quality of P. humilis Fruits
As a natural plant hormone, methyl jasmonate (MeJA) has attracted significant attention from researchers due to its environmental friendliness, non-toxicity, and broad-spectrum properties, leading to its widespread applications in agricultural production [28]. MeJA is a crucial growth regulator in plants, playing a key role in processes such as growth, development, and stress resistance. It can enhance plant drought tolerance, salt tolerance, and resistance to low-temperature stress [29,30,31]. As an important signaling molecule, MeJA also participates in plant responses to external environmental stresses and signal transduction, inhibiting pathogens and inducing host immune responses to mitigate disease occurrence [16]. Previous studies on MeJA have shown that preharvest application can significantly improve the fruit quality of various horticultural crops, thereby increasing their commercial value [32]. Sugar and acid contents are key factors in forming the unique taste and flavor of fruits, and they also play an important role in many secondary metabolic processes. Therefore, the sugar and acid contents, as well as their ratio, in P. humilis fruits determine their quality and value [33]. The sugar and acid composition and contents in fruits vary depending on the species and variety. In apples and pears, the sugar components include fructose, sucrose, glucose, and sorbitol, with fructose being the predominant sugar, while the organic acid component is dominated by malic acid [34,35]. In apricots, the soluble sugars primarily consist of fructose, glucose, and sucrose, with sucrose being the highest in content. The organic acids are mainly malic acid and citric acid, although there are differences in the organic acid composition between varieties [36]. In this study, the contents of glucose, fructose, sucrose, and sorbitol in P. humilis fruits showed an overall increasing trend as the fruit developed and matured, with the highest levels reached at the fully ripe stage. MeJA exhibited a promoting effect on sugar accumulation in the fruit, significantly increasing the content of each sugar component at the fully ripe stage. This finding is consistent with previous studies on pomegranates [37], plums [38], and raspberries [39]. Yang et al. [40] found that treatment with 5 and 10 mmol/L MeJA increased the contents of total sugars, sucrose, glucose, and fructose in apples, with 10 mmol/L being more effective than 5 mmol/L. Ozturk et al. [41] reported that 5 mmol/L MeJA enhanced the soluble solid content in plums. Wang and Zheng [39] observed that 0.1 mmol/L MeJA increased the glucose and fructose contents in raspberries. In this study, the MeJA concentration used was 20 mg/L, which is similar to the 0.1 mmol/L (22.34 mg/L) concentration applied to raspberries but significantly higher than the concentrations used in apples and plums. This discrepancy is likely due to the fact that both P. humilis and raspberries are small-shrub fruits, while apples and plums are tree fruits, which require higher concentrations of MeJA. The effect of MeJA on sugar accumulation in fruits may act as a plant growth regulator, modulating the activity of enzymes involved in sugar synthesis and breakdown, thereby promoting sugar accumulation in P. humilis fruits.
There are significant differences in the sugar components of P. humilis fruits. Further analysis of the sugar component proportions revealed that the order of dominance is fructose > sucrose > glucose > sorbitol, with fructose accounting for approximately 50%, classifying the fruit as a typical fructose-accumulating variety. This finding aligns with the results of Wang et al. [6] on the P. humilis varieties Nongda No. 3, Nongda No. 4, and Nongda No. 5, where fructose was identified as the dominant sugar, with the sucrose and glucose contents being relatively low. However, Ye et al.’s [7] study on the Jingou series (P. humilis varieties Jingou No. 1, Jingou No. 2, and Jingou No. 3) found that sucrose was the predominant sugar, suggesting that these varieties are sucrose-accumulating. This discrepancy may be attributed to varietal differences. The P. humilis variety used in our study, Nongda No. 4, is the same as that used by Wang et al., originally from Shanxi and later introduced to Inner Mongolia. The significant diurnal temperature variation in both Shanxi and Inner Mongolia may favor fructose accumulation by promoting photosynthetic accumulation over respiratory consumption. In contrast, the Jingou series used in Ye et al.’s study originates from Beijing, where climatic differences may have contributed to a distinct sugar accumulation pattern. Exogenous methyl jasmonate treatment effectively improves the proportion of sugar components in fruit, notably increasing the proportion of fructose, as well as the proportions of glucose and sorbitol in the later stages of fruit development. However, it leads to a decrease in the proportion of sucrose. This may be due to the significant increase in the fructose, glucose, and sorbitol contents induced by MeJA treatment, while the effect on the sucrose content is comparatively smaller, resulting in a relative decrease in the sucrose proportion. It is likely that MeJA treatment enhances the photosynthetic efficiency of leaves during the early stages of fruit development, leading to increased photosynthetic products and enhanced sugar metabolism and conversion, which results in greater fructose accumulation in the fruit. As the fruit matures, respiration intensifies, and fructose is gradually consumed for energy production. At the same time, MeJA may participate in the physiological and metabolic processes in the later stages of fruit development, promoting the accumulation of sorbitol and glucose [42].
In this experiment, the organic acids in P. humilis fruits consisted of malic acid, quinic acid, citric acid, and oxalic acid. The changes in the organic acid components in both MeJA-treated and control fruits followed the same pattern. Exogenous methyl jasmonate effectively reduced the organic acid content in the fruit, primarily affecting the levels of malic acid and citric acid, with the most significant reduction occurring during the later stages of fruit development. Research by Li et al. [43] indicated that 125 mg/L MeJA treatment reduces the titratable acid content in spring peaches. Yang et al. [40] found that after 10 mmol/L MeJA treatment on apples, the contents of total acids, malic acid, tartaric acid, oxalic acid, and citric acid were lower than those in the control. Ye et al. [20] also found that 0.1 mmol/L MeJA treatment effectively reduced the organic acid content in grapes. The concentration of MeJA used in this study is similar to that applied in grape studies. The results are consistent with previous findings, as MeJA treatment effectively reduced the organic acid content in the fruit. Specifically, MeJA treatment primarily decreased the levels of malic acid and citric acid during the later stages of fruit development. This effect may be attributed to MeJA’s involvement in the tricarboxylic acid cycle during these stages, influencing the synthesis and metabolic enzyme activities of malic acid and citric acid. Enzymes such as malate dehydrogenase, malate synthase, and citrate synthase may exhibit reduced activity, leading to decreased synthesis and enhanced degradation, thereby significantly lowering the organic acid content. Alternatively, MeJA may promote the vacuolar export of malic acid and citric acid or facilitate their consumption as respiratory substrates during the later stages of fruit development, further contributing to the reduction in organic acid levels.
There were significant variations in the organic acid components of P. humilis fruits. During the early developmental stages of the fruit, the order of organic acid composition was quinic acid > oxalic acid > malic acid > citric acid, with quinic acid being the dominant acid component, accounting for more than 70% during the young fruit stage. This finding is consistent with previous research. Yang et al. [44] found that in apples, quinic acid was the highest organic acid component during the young fruit stage, accounting for 87.40% in ‘SGP-1’ apples and 64.00% in ‘Jinguan’ apples. Xu et al. [45] also found that quinic acid was the dominant organic acid in the young fruit stage of ‘Fengshui’ pears, with its content continuously decreasing during the fruit enlargement and maturation stages. These results suggest that quinic acid plays a major role in the total acid content during the early developmental stages of fruit. In mature fruit, the order of organic acid composition was malic acid > quinic acid > oxalic acid > citric acid, with malic acid accounting for more than 80% during the fully ripe stage, making it a typical malic acid-type fruit, which is consistent with the findings of Ye et al. [7]. Exogenous methyl jasmonate treatment altered the proportions of different organic acids in the fruit, reducing the proportions of malic acid, quinic acid, and citric acid during the fully ripe stage.
The sweet–sour flavor of fruits is influenced not only by the absolute content of sugars and acids but also by the sweetness value, sugar–acid ratio, and sweetness–acid ratio, which are important indicators of fruit flavor and can intuitively reflect the sweet–sour taste of the fruit. The sweetness value of fruit is mainly determined by the proportion of fructose in the sugars, while the sweetness–acid ratio incorporates the sweetness coefficients of different sugar components, providing a more objective simulation of the human sensory experience [46]. In this experiment, as P. humilis fruits developed and matured, the sweetness value, sugar–acid ratio, and sweetness–acid ratio all showed an increasing trend, reaching their highest values at the fully ripe stage, at which point the flavor was the most intense. This finding is consistent with the pattern observed in Nanfeng honey tangerines at different developmental stages, as reported by Min et al. [47]. Exogenous methyl jasmonate treatment significantly increased the sweetness value, sugar–acid ratio, and sweetness–acid ratio, effectively improving the fruit flavor. This study primarily investigated the effects of methyl jasmonate treatment on the sugar–acid quality of P. humilis fruits at different developmental stages. Future studies could further explore the effects of methyl jasmonate treatment on the postharvest sugar–acid flavor quality of P. humilis fruits, using tasting panels and sensory evaluations to validate its role in reducing acidity and promoting sugar accumulation.
4.2. The Effect of Exogenous Methyl Jasmonate on the Calcium Quality of P. humilis Fruits
Calcium is an essential nutrient for plant growth and development and plays a critical role in fruit quality, especially in the later stages of fruit development. The calcium content directly influences fruit quality, as well as postharvest storage and transportation. P. humilis fruits are rich in calcium, which is a widely studied factor in nutritional quality [48,49]. In this experiment, the trends of the calcium component changes in P. humilis fruits during development were similar for both MeJA-treated and control fruits. Water-soluble calcium showed an increasing trend, while the calcium pectin, calcium phosphate, calcium oxalate, active calcium, and total calcium all exhibited an initial increase followed by a decrease. This result is consistent with the findings of Ma et al. [50], who reported that during the cell expansion phase, the relative calcium content in P. humilis fruits decreased, while the levels of calcium phosphate and calcium oxalate declined, and water-soluble Ca2+ increased significantly. Exogenous methyl jasmonate treatment significantly enhanced the calcium content in P. humilis fruits, effectively improving their calcium nutritional quality. This effect may be due to MeJA treatment increasing the levels of plant hormones in the fruit, thereby promoting the transport of calcium from other parts of the plant to the fruit, thereby increasing the calcium content in the fruit. It is also possible that MeJA treatment activates calcium ion channels, thereby regulating calcium metabolic pathways in the fruit. This activation could enhance calcium absorption and transport, leading to a significant increase in the fruit’s calcium content. By influencing the ion channels and related pathways, MeJA may facilitate more efficient calcium accumulation, thereby improving the overall calcium nutritional quality of the fruit. Further analysis of the proportions of different calcium components revealed that active calcium accounted for 70% of the total calcium in the fruit, making it the predominant form of calcium, which is also easily absorbed by the human body. Exogenous methyl jasmonate treatment had a significant impact on the proportions of calcium components during the coloring and enlargement and hard–ripe stages. This may be because, during these stages, the accumulation and metabolic conversion of nutrients in the fruit are enhanced, leading to a stronger response to and utilization of the MeJA treatment.
4.3. Effect of Exogenous Methyl Jasmonate on the Comprehensive Sugar, Acid, and Calcium Quality of P. humilis Fruits
Sugars, acids, and calcium are all important qualities in P. humilis fruits. Correlation analysis showed that these qualities are closely related. There are varying degrees of correlation between the sugar, acid, and calcium components, with the sugar components, total sugars, malic acid, total acids, sweetness value, sugar–acid ratio, sweetness–acid ratio, water-soluble calcium, and active calcium all showing positive correlations. These indicators contribute the most to the excellent quality of P. humilis fruits, interacting with each other to collectively shape the flavor and nutritional profile of the fruit. Overall, MeJA treatment increases the correlation between the sugar and calcium components while decreasing the correlation between organic acids and other qualities. This may be because MeJA treatment has a relatively small effect on organic acid components during the early stages of fruit development but significantly reduces malic acid and citric acid levels in the later stages. Such stage-specific effects alter the change patterns of organic acid components, leading to reduced correlations with other nutritional traits. In contrast, MeJA treatment consistently promotes the accumulation of sugar and calcium components throughout fruit development, resulting in stronger consistency in their change patterns and thus higher correlations among these qualities.
To further evaluate the sugar, acid, and calcium quality of P. humilis fruits, principal component analysis (PCA) was conducted on the 19 quality parameters, with the three extracted principal components accounting for a cumulative variance contribution rate of 93.498%, capturing most of the information from the 19 nutritional indicators. Using these three principal components for the comprehensive evaluation of the P. humilis fruit quality revealed that, as the fruit developed and matured, the comprehensive score gradually increased, reflecting an overall improvement in the fruit quality. Exogenous methyl jasmonate treatment was able to increase the comprehensive score of the fruit quality throughout the entire developmental period. Notably, the comprehensive score of fruits during the coloring and enlargement stage reached positive values, whereas the control fruits only reached positive values during the hardening stage. This suggests that methyl jasmonate, as a plant growth regulator, promoted the growth, development, and maturation of the fruit, thereby enhancing its overall quality. However, the specific regulatory mechanisms may involve methyl jasmonate, which acts as both a plant growth regulator and a signaling molecule. It likely modulates the metabolic pathways of sugar, acid, and calcium, as well as the activities of key enzymes and gene expression during fruit development, thereby influencing the sugar, acid, and calcium contents in the fruit, which requires further investigation.
5. Conclusions
In summary, as the fruit developed and matured, the patterns of the sugar, acid, and calcium quality changes in P. humilis fruits from both the MeJA-treated and control groups were generally consistent. Exogenous methyl jasmonate treatment significantly improves the sugar, acid, and calcium quality of P. humilis fruits, particularly the sugar and calcium components and their total contents. At the same time, methyl jasmonate treatment significantly reduces the contents of malic acid and citric acid in the later stages of fruit development while also increasing flavor evaluation indicators such as the sweetness value, sugar–acid ratio, and sweetness–acid ratio. Correlation analysis and principal component analysis (PCA) further demonstrate that the sugar, acid, and calcium nutritional components in P. humilis fruits are closely related. Exogenous methyl jasmonate treatment effectively improves the comprehensive sugar–acid–calcium quality score of the fruit throughout its developmental period, significantly enhancing its overall quality. These findings highlight the potential of methyl jasmonate in improving the sugar, acid, and calcium quality of P. humilis fruits, providing a preliminary theoretical basis for its application in P. humilis. Further research is needed to explore its regulatory mechanisms and its effects on other nutritional qualities, such as phenolic compounds, vitamins, and amino acids. This work offers new perspectives and insights for the cultivation and industrial development of high-quality fresh P. humilis fruits.
Author Contributions
Conceptualization, J.G.; methodology, L.Z. and Z.L.; formal analysis, L.Z.; investigation, Z.L.; resources, L.Z.; data curation, L.Z. and Z.L.; writing—original draft preparation, L.Z.; writing—review and editing, L.Z. and J.G.; supervision, project administration, and funding acquisition, J.G. All authors have read and agreed to the published version of the manuscript.
Funding
This work was funded by major research and technology transfer program of the Inner Mongolia autonomous region (2025YFHH0193); the special project for leading scientific and technological talent and innovation team construction of universities directly under the Inner Mongolia autonomous region, “Research and application of key technologies for breeding and propagation of new varieties of high–quality Prunus humilis with Inner Mongolia characteristics” (BR22-11-11); the natural science foundation of Inner Mongolia “Analysis of calcium accumulation mechanism during the development and maturation of Prunus humilis fruits based on calcium concentration gradient” (2025MS03117); and the Inner Mongolia science and technology achievement transformation special project, “Demonstration and promotion of new varieties of Prunus humilis with Inner Mongolia characteristics and high–yield cultivation techniques” (2019CG067).
Data Availability Statement
Data are contained within the article.
Conflicts of Interest
The authors declare no conflicts of interest.
References
- Mo, C.; Li, W.D.; He, Y.X.; Zhang, Z.S.; Jin, J.S. Variability in the sugar and organic acid composition of the fruit of 57 genotypes of Chinese dwarf cherry [Cerasus humilis (Bge.) Sok.]. J. Pomol. Hortic. Sci. 2015, 90, 419–426. [Google Scholar] [CrossRef]
- Li, W.D.; Li, O.; Zhang, A.R.; Li, L.; Hao, J.H.; Jin, J.S.; Yin, S.J. Genotypic diversity of phenolic compounds and antioxidant capacity of Chinese dwarf cherry (Cerasus humilis (Bge.) Sok.) in China. Sci. Hortic. 2014, 175, 208–213. [Google Scholar] [CrossRef]
- Cao, H.Q.; Liu, S.Y.; Wang, G.Y.; Liao, G.Z.; Bai, J. Nutritional composition and development of Prunus humilis Bunge. Farm Prod. Process 2015, 24, 70–72. [Google Scholar] [CrossRef]
- Zhang, M.L.; Deng, Q.C.; Yang, H.X.; Zhang, Z.Y. Study on nutrition components from fresh fruit and pip of Inner Mongolia Cerasus humilis (Bge.) Sok. Amino Acids Biot. Resour. 2007, 29, 18–20. [Google Scholar] [CrossRef]
- Zhang, S.K.; Xi, L.Q.; Zhang, Q.Y.; Shi, J.Y.; Wu, P. Research progress on the development and utilization of Cerasus humilis (Bge.). Sok. Sci. Technol. Food Ind. 2020, 41, 361–367. [Google Scholar] [CrossRef]
- Wang, P.F.; Xue, X.F.; Mu, X.P.; Zhang, J.C.; Cao, Q.; Du, J.J. Analysis of organic acid accumulation characteristics and organic acid-metabolizing enzyme activities of Chinese dwarf cherry (Cerasus humilis Bunge) fruit. Sci. Agric. Sin. 2013, 46, 4101–4109. [Google Scholar] [CrossRef]
- Ye, L.Q.; Sun, M.; Zhang, Z.S.; Liu, H.J.; Gu, J.R.; Li, W.D. Analysis on the changes and correlations of sugar and organic acid contents in Chinese Cerasus humilis [Cerasus humilis (Bge.) Sok.] during different development stages. Sci. Technol. Food Ind. 2017, 38, 98–102. [Google Scholar] [CrossRef]
- Yang, Y.; Yan, S.T.; Fu, H.B.; Wang, P.F.; Du, J.J.; Mu, X.P. Effects of bagging and shading on the content of sugar, acid and flavonoids in fruit of Cerasus humilis. Acta Bot. Breali-Occident. Snica 2024, 44, 1201–1207. [Google Scholar] [CrossRef]
- Zhang, L.; Zhang, J.; Guo, J. Relationships between organic acid metabolism and the accumulation of sugars and calcium in fruits of Cerasus humilis during different development stages. Plants 2024, 13, 3053. [Google Scholar] [CrossRef] [PubMed]
- Siddeeg, A.; Zeng, X.A.; Ammar, A.F.; Han, Z. Sugar profile, volatile compounds, composition and antioxidant activity of Sukkari date palm fruit. J. Food Sci. Technol. 2019, 56, 754–762. [Google Scholar] [CrossRef]
- Zhou, J.T.; Yang, S.W.; Ma, Y.; Liu, Z.S.; Tu, H.X.; Wang, H.; Zhang, J.; Chen, Q.; He, W.; Li, M.Y.; et al. Soluble sugar and organic acid composition and flavor evaluation of Chinese cherry fruits. Food Chem X 2023, 20, 100953. [Google Scholar] [CrossRef]
- Zhang, L.; Zhang, W.; Guo, J.L. Analysis of changes and correlations between calciums and organic acids in fruits of Cerasus humilis during different development stages. J. Fruit Sci. 2024, 41, 494–504. [Google Scholar] [CrossRef]
- Qin, Y.Y.; Luo, Y.C.; Deng, Y.Z.; Wang, Y.R.; Wu, F.; Zhang, L.J.; Shan, B.; Cen, S.M. Changes in sugar and acid components contents and comprehensive quality evaluation during fruit development of Orah with different rootstocks. J. South. Agric. 2024, 55, 2201–2214. [Google Scholar] [CrossRef]
- Liu, S.; Liu, Y.C.; Liu, N.; Zhang, Q.P.; Xu, M.; Zhang, Y.J.; Liu, W.S. Sugar and organic acid components in fruits of plum cultivar resources of genus Prunus. Sci. Agric. Sin. 2016, 49, 3188–3198. [Google Scholar] [CrossRef]
- Ma, J.J.; Zhang, L.B.; Liu, Y.Y.; Xu, X.F.; Yu, F.M. Variation of different forms of calcium contents and their correlation during the growth stage of Prunus humilis tissues. Acta Hortic. Sin. 2008, 35, 631–636. [Google Scholar] [CrossRef]
- Wang, S.Y.; Shi, X.C.; Liu, F.Q.; Laborda, P. Effects of exogenous methyl jasmonate on quality and preservation of postharvest fruits: A review. Food Chem. 2021, 353, 129482. [Google Scholar] [CrossRef]
- Ju, Y.L.; Liu, B.C.; Xu, X.L.; Wu, J.R.; Sun, W.; Fang, Y.L. Targeted metabolomic and transcript level analysis reveals the effects of exogenous strigolactone and methyl jasmonate on grape quality. Sci. Hortic. 2022, 299, 111009. [Google Scholar] [CrossRef]
- Ameye, M.; Allmann, S.; Verwaeren, J.; Smagghe, G.; Haesaert, G.; Schuurink, R.C.; Audenaert, K. Green leaf volatile production by plants: A meta-analysis. New Phytol. 2018, 220, 666–683. [Google Scholar] [CrossRef] [PubMed]
- Ho, T.-T.; Murthy, H.N.; Park, S.-Y. Methyl Jasmonate induced oxidative stress and accumulation of secondary metabolites in plant cell and organ cultures. Int. J. Mol. Sci. 2020, 21, 716. [Google Scholar] [CrossRef]
- Ye, N.; Zhang, Z.; Lv, Z.Z.; Du, J.M.; Zhang, S.X.; Li, W. Effects of the plant growth regulator methyl jasmonate on fruit quality and lipoxygenase metabolic pathway of cabernet gernischt. Food Sci. 2024, 45, 248–256. [Google Scholar] [CrossRef]
- Sudheeran, P.K.; Love, C.; Feygenberg, O.; Maurer, D.; Ovadia, R.; Oren-Shamir, M.; Alkan, N. Induction of red skin and improvement of fruit quality in ‘kent’, ‘shelly’ and ‘maya’ mangoes by preharvest spraying of prohydrojasmon at the orchard. Postharvest Biol. Tec. 2019, 149, 18–26. [Google Scholar] [CrossRef]
- Ding, X.; Wang, B.; Gong, Y.; Yan, X.; Chen, X.; Zhong, Y.; Zhao, Z. Exogenous methyl jasmonate (MeJA) improves ‘Ruixue’ apple fruit quality by regulating cell wall metabolism. Foods 2024, 13, 1594. [Google Scholar] [CrossRef]
- Balbontín, C.; Gutiérrez, C.; Wolff, M.; Figueroa, C.R. Effect of abscisic acid and methyl jasmonate preharvest applications on fruit quality and cracking tolerance of sweet cherry. Chil. J. Agric. Res. 2018, 78, 438–446. [Google Scholar] [CrossRef]
- Sheng, W.S.; Jiang, J.S.; Wang, X.B.; Li, S.L.; Wan, D. Determination of fructose glucose and sucrose content in Honey. J. Anhui Agri. Sci. 2010, 38, 17182–17183. [Google Scholar] [CrossRef]
- Ji, X.H.; Zhang, R.; Mao, Z.Q.; Kuang, L.G.; Lu, M.F.; Wang, Y.; Zhang, Y.M.; Chen, X.S. The analysis of characteristic variations of the seedlings of Xin jiang wild myrobalan plum and excavation of the excellent germplasm resources. Acta Hortic. Sin. 2012, 39, 1551–1558. [Google Scholar] [CrossRef]
- Wang, H.L.; Xie, P.; Ma, Y.H.; Zhao, K.; Wang, H.; Zhao, X.Z.; Zheng, Q.M. (2024). Differences in sugar and acid compositions and quality evaluation of fengtang Plum fruit from different producing areas in Guizhou. Guizhou Agric. Sci. 2024, 52, 84–93. [Google Scholar] [CrossRef]
- Huang, X.M.; Wang, H.C.; Zhong, W.L.; Yuan, W.Q.; Lu, J.M.; Li, J.G. Spraying calcium is not an effective way to increase structural calcium in litchi pericarp. Sci. Hortic. 2008, 117, 39–44. [Google Scholar] [CrossRef]
- Chen, C.; Hu, Q.Q.; Yang, K.B.; Wang, K.P.; Yu, F.Y.; Dai, P.F. Research progress on the regulation of plant growth and development by methyl jasmonate. Jiangsu Agric. Sci 2023, 51, 1–11. [Google Scholar] [CrossRef]
- Xiong, B.; Wang, Y.; Zhang, Y.; Ma, M.; Gao, Y.; Zhou, Z.; Wang, B.; Wang, T.; Lv, X.; Wang, X.; et al. Alleviation of drought stress and the physiological mechanisms in Citrus cultivar (Huangguogan) treated with methyl jasmonate. Biosci Biotechnol Biochem. 2020, 84, 1958–1965. [Google Scholar] [CrossRef]
- Rehman, M.; Singh, Z.; Khurshid, T. Methyl jasmonate alleviates chilling injury and regulates fruit quality in ‘Midknight’ Valencia orange. Postharvest Biol. Tec. 2018, 141, 58–62. [Google Scholar] [CrossRef]
- Karimi, R.; Gavili-Kilaneh, K.; Khadivi, A. Methyl jasmonate promotes salinity adaptation responses in two grapevine (Vitis vinifera L.) cultivars differing in salt tolerance. Food Chem. 2022, 375, 131667. [Google Scholar] [CrossRef]
- Schaller, A.; Stintzi, A. Enzymes in jasmonate biosynthesis–structure, function, regulation. Phytochemistry 2009, 70, 1532–1538. [Google Scholar] [CrossRef]
- Zheng, L.J.; Nie, J.Y.; Yan, Z. Advances in research on sugars, organic acids and their effects on taste of fruits. J. Fruit Sci. 2015, 32, 304–312. [Google Scholar] [CrossRef]
- Liang, J.; Guo, Y.; Liu, Y.L.; Li, M.M.; Zhao, Z.Y. Analysis of contents and constitutents of sugar and organic acid in different apple cultivars. J. Northwest Sci-Tech Univ. Agric. For. (Nat. Sci. Ed.) 2011, 39, 163–170. [Google Scholar] [CrossRef]
- Guo, K.X.; Sun, Z.J.; Li, Q.Y.; Han, L.; Zhang, Y.; Wang, C.H.; Tian, Y.K.; Zheng, X.D. Analysis of components and content of sugar and acid in fruits of different Pyrus communis L. varieties. J. Qingdao Agric. Univ. (Nat. Sci.) 2024, 41, 79–86+115. [Google Scholar] [CrossRef]
- Chen, M.X.; Chen, X.S.; Ci, Z.J.; Shi, Z.A. Changes of sugar and acid constituents in apricot during fruit development. Acta Hortic. Sin. 2006, 33, 805–808. [Google Scholar] [CrossRef]
- Asghari, M.; Merrikhi, M.; Kavoosi, B. Methyl jasmonate foliar spray substantially enhances the productivity, quality and phytochemical contents of pomegranate fruit. J. Plant Growth Regul. 2020, 39, 1153–1161. [Google Scholar] [CrossRef]
- Kucuker, E.; Ozturk, B.; Celik, S.M.; Aksit, H. Pre-harvest spray application of methyl jasmonate plays an important role in fruit ripening, fruit quality and bioactive compounds of Japanese plums. Sci. Hortic. 2014, 176, 162–169. [Google Scholar] [CrossRef]
- Wang, S.Y.; Zheng, W. Preharvest application of methyl jasmonate increases fruit quality and antioxidant capacity in raspberries. Int. J. Food Sci. Technol. 2005, 40, 187–195. [Google Scholar] [CrossRef]
- Yang, G.K.; Wu, Y.L.; Gao, Y.; Zhang, X.J.; Hao, Y.Y. Effects of exogenous methyl jasmonate on the quality of apple. J. Fruit Resour. Guoshu 2021, 2, 15–22. [Google Scholar] [CrossRef]
- Ozturk, B.; Yıldız, K.; Kucuker, E. Effect of pre-harvest methyl jasmonate treatments on ethylene production, water-soluble phenolic compounds and fruit quality of Japanese plums. J. Sci. Food Agric. 2015, 95, 583–591. [Google Scholar] [CrossRef]
- Lv, J.Y.; Sun, C.X.; Qiu, Y.X.; Ge, Y.H.; Chen, J.X. Exogenous methyl jasmonate (MeJA) mediated carbohydrate metabolism in apple fruit during ripening. Plant Physiol. Bioc. 2024, 218, 109329. [Google Scholar] [CrossRef]
- Li, Q.L.; Cao, D.T.; Wei, Z.F.; Wang, Z.Q.; Liu, J.W.; Yang, W.J. Effect of different concentrations of methyl-jasmonate on fruit quality of Chunmi peach. Acta Agric. Zhejiangensis 2018, 30, 985–991. [Google Scholar] [CrossRef]
- Yang, W.Y.; Xie, H.J.; Tao, L.; Huan, Y.M.; Chen, S.B.; Lin, L.J.; Liao, M.A. Comparison of organic acid metabolism characteristics between ‘golden delicious’ apple and its excellent variation material ‘SGP-1’ during fruit development. Acta Bot. Boreali-Occident. Sin. 2022, 42, 0829–0839. [Google Scholar] [CrossRef]
- Xu, W.Q.; He, Y.H.; Wang, W.; Yi, C.Y.; Wei, J. Effects of rootstocks on componrnts and content changes of organic acids in ‘Hosui’ pear fruits. South China Fruits 2017, 46, 16–19. [Google Scholar] [CrossRef]
- Xu, Z.Y.; Yan, J.; Cai, Z.X.; Sun, M.; Su, Z.W.; Shen, Z.J.; Ma, R.J.; Yu, M.L. Correlation between soluble sugar, organic acid and phenolic substances with tasted flavor in peach fruit. Jiangsu J. Agric. Sci. 2022, 38, 190–199. [Google Scholar] [CrossRef]
- Min, H.; Li, C.Z.; Fu, X.J.; Zhu, J.H.; Xing, S.P.; Xiong, H.W. Changes of nutrient and functional components in Nanfeng tangerine green fruits at different development stages. J. Anhui Agric. Sci. 2022, 50, 172–175. [Google Scholar] [CrossRef]
- Hepler, P.K. Calcium: A central regulator of plant growth and development. Plant Cell 2005, 17, 2142–2155. [Google Scholar] [CrossRef]
- Hua, Q.Y.; Wei, T.; Han, W.; Wu, G.H.; Liu, Q. Progress in the study of composition, volatile flavor compounds and bioactivity of Chinese dwarf cherry. Food Mach. 2024, 40, 186–192. [Google Scholar] [CrossRef]
- Ma, J.J.; Zhang, L.B.; Yu, F.M.; Xu, X.F. Contents and distribution of different forms of calcium in Prunus humilis. Acta Hortic. Sin. 2007, 34, 755–759. [Google Scholar] [CrossRef]
Disclaimer/Publisher’s Note: The statements, opinions and data contained in all publications are solely those of the individual author(s) and contributor(s) and not of MDPI and/or the editor(s). MDPI and/or the editor(s) disclaim responsibility for any injury to people or property resulting from any ideas, methods, instructions or products referred to in the content. |
© 2025 by the authors. Licensee MDPI, Basel, Switzerland. This article is an open access article distributed under the terms and conditions of the Creative Commons Attribution (CC BY) license (https://creativecommons.org/licenses/by/4.0/).