You are currently on the new version of our website. Access the old version .
HorticulturaeHorticulturae
  • Article
  • Open Access

21 April 2025

Determination of Effects of Some Summer Pruning Applications on Yield and Quality Characteristics of Alphonse Lavallée (Vitis vinifera L.) Grape Variety

Department of Horticulture, Faculty of Agriculture, Selcuk University, Konya 42130, Turkey
This article belongs to the Section Viticulture

Abstract

Grapes, one of the most delicious and refreshing fruits in the world, are a source of sugar, minerals, and vitamins. Summer pruning affects ripening, disease control, yield, and quality parameters by controlling the vine microclimate. In our study, leaf removal, fruit thinning, and cluster thinning and their combination were applied to the Alphonse Lavallée grape variety, aiming to improve yield, cluster, and berry characteristics. As a result of the applications, cluster and berry characteristics, SSC, pH, titratable acidity (TA), total phenolic content, antioxidant activity, and color parameters were examined. In our study, all summer pruning applications and their combinations caused increases in cluster and berry parameters (weight, length, and width) compared to the control. In addition to these, the SSC, pH, and maturity index increased and TA decreased. All these applications also increased berry detachment and skin rupture force, which have an important place in road resistance in table grape varieties. Significant improvements were also seen in the quality parameters of total phenolic content and antioxidant activity. In addition, there were increases in the lightness and chroma values that determine the fruit quality in table grapes. Considering all these data, the summer pruning applications we made had significant effects on yield and quality. It is thought that cutting a part of the clusters instead of the whole cluster will especially prevent the yield loss experienced in cluster thinning applications.

1. Introduction

The history of viticulture in the world dates back to 5000 BC. The region, which includes Anatolia, considered the homeland of the grape, includes the region called Asia Minor and the Caucasus [1]. Turkey has a suitable climate zone for viticulture and is located at the intersection of the grape’s gene centers [2]. Grapes, one of the first fruits cultivated by mankind, are one of the most delicious and refreshing fruits in the world [3] and a good source of sugar, minerals, and vitamins [4].
Summer pruning is a viticulture technique that helps improve the microclimate of the grapevine canopy, improves ripening, and controls disease incidence, thus providing a balance between vegetative growth and yield and fruit quality [5]. The importance of summer pruning is that it is complementary to the previous winter pruning and a precursor to the next winter pruning, and if neglected or performed incorrectly, it can cause undesirable effects on the yield and fruit quality of the current year as well as the following year [6]. In addition, summer pruning affects the canopy microclimate of the grapevine by changing sunlight exposure, vine temperature, air circulation, etc., affecting the growth of the grape and the quality of the subsequent wine [7,8,9]. The most common summer pruning practices applied worldwide are leaf removal, fruit thinning, cluster thinning, and shoot trimming [10].
Leaf removal can be performed manually [11,12] or mechanically [13,14,15]. Leaf removal is usually performed in cool climate vineyards to accelerate air movement in the cluster area, prevent diseases, and increase fruit ripening, color, and flavor [16]. Veraison, the period when anthocyanin accumulation begins, is a very important phenological period in grape growing [17]. Since the photosynthetic activity of the basal leaves is low, leaf removal at this stage has a high effect on light and temperature exposure but a weaker effect on the source–sink balance [18]. Moreover, leaf removal before flowering significantly reduces crop yield [19,20,21,22], while post-flowering basal leaf removal preserves yield [15,19].
Thinning, which can be carried out by chemical or mechanical approaches [23], is a common horticultural technique that controls yield and fruit quality [24]. This method improves the grapevine cluster morphology and the physical and chemical properties of the fruit [25], reducing the number of fruits in the compacted cluster and producing loose clusters with appropriate appearance and marketability [26]. Compact clusters with a high number of inner berries [27] are more susceptible to various pests and diseases such as Botrytis cluster rot [28,29]. Since the berries in compact clusters are tightly packed, the entire surface area or a large portion of the berries may not receive enough sunlight and may not reach the phenolic maturity required for harvest, which leads to a more heterogeneous ripening of the fruits and can cause significant economic losses through reduced grape and wine quality [30]. Berry thinning can be used to reduce cluster compactness increases sugar and anthocyanin content [9,31]. In addition, consumers, the food industry, and wine producers prefer grape clusters with certain compactness values, which are considered to be of higher quality [32]. Cluster thinning is considered as an alternative method for increasing grape production and quality [33].
In this study, leaf removal, berry thinning, and cluster thinning applications and their combination were carried out on the Alphonse Lavallée grape variety that had been grafted onto the 1013 Paulsen grapevine rootstock. The Alphonse Lavallée grape variety was used in our experiment because it is suitable for the cool climate conditions of the region and the consumption habits of the local people regarding table grapes. The study aimed to evaluate the influence of leaf removal, berry thinning, cluster thinning, and their combination on yield, cluster, and berry characteristics of the Alphonse Lavallée grape variety in a cool location at an elevation of 1125 m asl.

2. Materials and Methods

The study used the Alphonse Lavallée grape variety grafted onto the 1103 Paulsen rootstock in 2023–2024. The 13-year-old vineyard where the experiment was conducted in Konya (38°02′15.0″ N 32°30′55.7″ E, 1125 altitude) province, and the planting distance is 2 m × 3 m. The vineyard is established in a double-arm cordon system. In addition, the height of the arms from the ground is 1 m, and the height of the drip irrigation pipes from the ground is 50 cm. Irrigation was performed twice a week, and 60 L of water was given from drippers per vine at each irrigation.
The study, which was established according to the randomized block design, was carried out with 3 replications and 6 vines in each replication. Each plot contains one application. The applications include control (C), leaf removal (LR), berry thinning (BT), 1/3 cluster thinning (CT), and their combination (Table 1). Leaf removal was carried out by removing the leaves (2–4 leaves) up to the cluster level just before the veraison period. Moreover, 1/3 cluster tip cutting was performed after berry formation. When the grapes were pea-sized, i.e., at the E–L 31 stage, fruit thinning (30% of berries removed per cluster) was carried out. The fruits were removed manually. Apart from regular irrigation and spraying, no application that would affect yield and quality was applied to the experimental plot. In addition, no application other than irrigation and spraying was applied in the previous year in order not to affect the experiment.
Table 1. Summer pruning applications to the Alphonse Lavallée grape variety.
The grape cluster and berry characteristics [weight (g), length (cm), and width (cm)], soluble solids content (SSC, °Brix %), pH, and maturity index (°Brix %/Titratable acidity g L−1) values of the grapes harvested (31 August) were examined. To analyze cluster characteristics, measurements were made in three replicates with 15 clusters in each replicate. Cluster length and width were calculated in cm using a tape measure, and berry length and width were calculated in mm using a digital caliper. Titratable acidity (TA) was determined by titration of 5 mL of grape extract dissolved in 45 mL distilled water with the addition of NaOH (0.1 N) solution to reach a pH of 8.1. The numerical value was expressed in terms of the predominant acid (tartaric). In addition, the effects of the applications on berry skin color, berry detachment, and skin rupture force (Newton) were also examined [34].

2.1. Total Phenolic Content Analysis

Total phenolic content (TPC) of grape juice was performed by modifying the method of Öztürk et al. [35]. Moreover, 500 µL folin (pure) (FCR (Folin-Ciocalteu solution)) and 1500 µL 20% sodium carbonate were added to 100 µL of the extract prepared for analysis and this mixture was completed to 10 mL with pure water and mixed with an Ultra-Turrax®T25 D (IKA, Deutschland, Germany) until it became homogeneous. This mixture was kept in the dark for 2 h. It was mixed again for the last half hour, and then the absorbance values were read on a UV-VIS spectrophotometer (HALO DB-20S) (Dynamica Ltd., Mablethorpe, UK) at a wavelength of 760 nm. Phenolic contents were expressed as μg gallic acid equivalents per gram of sample (μg GAE/100 mL).

2.2. Antioxidant Activity (%DPPH)

The 2,2-diphenyl-1-picrylhydrazyl (DPPH) assay was used to test the antioxidant potential of the berry methanolic extract of Alphonse Lavallée grape cultivar. The grape juice was mixed with methanol in a ratio of 1/5 and then filtered. At a wavelength of 517 nm, the optical density of the extract and the control mixture (1 mL DPPH and 1 mL methanol) was measured. Using the following formula, the percentage of DPPH scavenging activity possessed by the extract or standard was estimated: DPPH scavenging activity (%) = [(absorbance of control-absorbance of the sample)/absorbance of control] *100, the absorbance of control is the absorbance of methanol plus DPPH and the absorbance of the sample is the absorbance of DPPH radical plus extract [36].

2.3. Statistical Analysis

The study was designed as completely randomized blocks, and SWE effects were compared in SPSS 17.0 statistical program (SPSS Inc, Chicago, IL, USA) Duncan multiple comparison test at p < 0.05 significance level [37,38]. Hierarchical clustering analysis (HCA) and principal component analysis (PCA) were conducted via the Software R (Version 4.1.1, R Foundation for Statistical Computing, Vienna, Austria) [39].

3. Results

3.1. Cluster and Berry Attributes

The effect of summer pruning applications on cluster characteristics of the Alphonse Lavallée grape variety was found to be statistically significant (Table 2). The heaviest clusters were determined in the T5 application, while the lowest cluster weight was in the T1 application. All applications increased cluster weight compared to the control. In cluster length analyses, the longest clusters were obtained in the T3 application, while the shortest clusters were determined in the T4 application. Increases were observed in applications where the cluster tip was not cut compared to the control. The cluster width results were similar to the cluster weight. All applications increased cluster width compared to the control.
Table 2. Effects of summer pruning treatments on cluster weight (g), cluster length (cm), cluster width (cm), berry weight (g), berry length (mm), and berry width (mm).
Summer pruning treatments affected berry characteristics statistically (Table 2). The heaviest berries were determined in the T8 treatment, while the lightest berries were in the control. Berry length and width parameters were also similar to berry weight. The longest and widest berries were again in the eight treatments, while the lowest values were in the control. All treatments improved berry characteristics compared to the control.

3.2. Soluble Solids Content (SSC), pH, Titratable Acidity (TA), and Maturity Index

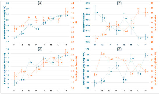
The effects of summer pruning treatments on the SSC, pH, TA, and maturity index were statistically significant (Figure 1a,b). The highest SSC rate was determined in the T8 treatment, while the lowest rate was in the control. Similar results were obtained in pH values to the SSC. All treatments increased the SSC and pH values compared to the control (Figure 1a). The effects of summer pruning treatments on TA values decreased compared to the control. The highest acidity value was determined in the control, while the highest value was in the T7 treatment. Maturity index data were similar to the SSC and pH, while opposite results were obtained in acidity value. All treatments increased the maturity index positively. The highest maturity index was in the T7 treatment, while the lowest value was in the control (Figure 1b).
Figure 1. Effects of summer pruning treatments on soluble solids content (a), pH (a), titratable acidity (b), maturity index (b), berry detachment force (c), skin rupture force (c), total phenolics (d), and antioxidant activity (d). T1 (control), T2 (Leaf Removal), T3 (Berry Thinning), T4 (Cluster Thinning), T5 (Leaf Removal + Berry Thinning), T6 (Leaf Removal + Cluster Thinning), T7 (Berry Thinning + Cluster Thinning) and T8 (Leaf Removal + Berry Thinning + Cluster Thinning). Means with different letters in the same color were significantly different (p < 0.05).

3.3. Berry Detachment and Skin Rupture Force (Newton)

Summer pruning treatments had significant effects on berry detachment and skin rupture force (Figure 1c). As a result of the treatments, the highest berry detachment force and skin rupture force values were determined in the T8 treatment, while the lowest resistance was in the control. All summer pruning treatments increased berry detachment force and skin rupture force values compared to the control.

3.4. Total Phenolic Content (μg GAE/100 mL) and Antioxidant Activity (%DPPH)

Summer pruning treatments statistically affected the total phenolic content and antioxidant activity of the Alphonse Lavallée grape variety. The highest total phenolic content was in the T8 treatment, while the lowest phenolic content was in the control. Similar results were obtained for antioxidant activity and the phenolic content. The highest phenolic content was determined in the T2 treatment, while the lowest activity was in the control. All treatments increased the total phenolic content and antioxidant activity compared to the control.

3.5. Color Characters (Lightness, Chroma, and Hue)

The effects of summer pruning applications on the lightness, chroma, and hue values of the Alphonse Lavallée grape variety were found to be statistically significant (Table 3). The applications significantly increased the lightness and chroma values compared to the control. The highest lightness value was determined in the T6 application, while the chroma value was in the T8 application. In terms of hue values, the highest value was determined in the T4 application, while the lowest value was determined in the T6 application.
Table 3. Effects of summer pruning treatments on lightness, chroma, and hue of fruit on Alphonse Lavallée grape variety.

3.6. Hierarchical Clustering Analysis (HCA)

HCA grouped and analyzed the similarities and differences of different summer pruning applications in terms of yield and quality parameters. The heat map visualized the relationship between the parameters and applications through the dendrogram. The color scale in the image represents the parameter values, with red representing the highest and blue representing the lowest values. White represents intermediate values. It was observed that the scale values varied between approximately −1 (blue) and 1 (red). In the dendrogram, the applications were classified into eight main groups (I, II, III, IV, V, VI, VII, VIII) (Figure 2). T6 application was placed in group A, T7 and T8 in group B, T1 in group C, and the others in group D. Lightness and total phenolics were clustered in I cluster, cluster weight in II cluster, skin rupture force and chroma in III cluster, pH, cluster weight, the SSC and berry detachment force in IV cluster, berry weight and berry width in V cluster, berry length and maturity index in VI cluster, Cluster length and TA in VII cluster, hue and antioxidant activity in VIII cluster. Only the TA value had the highest value in the control group. While the chroma, berry weight, and berry width values were highest in the T7 application of group B, the total phenolics, cluster weight, pH, the SSC, berry detachment force, berry width skin rupture force, berry weight, and berry width parameters were highest in the T8 application. In group D, the cluster length values were highest in the T5 application, hue in the T4 application, and antioxidant activity in the T2 application. The control group had the lowest values in all parameters except titratable acidity and hue values. The groups farthest from the control group were the T6, T7, and T8 applications. In these applications, the leaf removal, berry removal, and cluster removal processes are applied in a combined manner, so they differ from other applications.
Figure 2. Heat map for the evaluated yield and quality parameters of the Alphonse Lavallée grape variety. A, B, C, and D represent the groups of summer pruning applications. I, II, III, IV, V, VI, VII, and VIII represent the examined yield and quality parameter groups. T1 (control), T2 (Leaf Removal), T3 (Berry Thinning), T4 (Cluster Thinning), T5 (Leaf Removal + Berry Thinning), T6 (Leaf Removal + Cluster Thinning), T7 (Berry Thinning + Cluster Thinning), and T8 (Leaf Removal + Berry Thinning + Cluster Thinning).

3.7. Principal Component Analysis (PCA)

PCA was used to represent the current variation of the dataset obtained from the applications made in the study (Figure 3). Two principal components (PC1 and PC2) explained 99.07% of the total variance; PC1 explained 71.7%, and PC2 explained 27.37%. The vectors of variables such as cluster width, total phenolics, and berry detachment force were long and concentrated in the direction of PC1, indicating that these variables were highly correlated with PC1. Cluster length and antioxidant activity were concentrated in the direction of PC2. In addition, T6, T7, and T8 applications were concentrated in the direction of PC1, while other applications were concentrated in the direction of PC2. Chroma, Berry weight, and Berry width parameters were positively correlated with the T7 application, while total phenolics, pH, skin rupture force, and cluster width were positively correlated with the T8 application. All applications were negatively correlated with the control.
Figure 3. Loading plot of all detected variables included in PCA (principal component analysis) for yield and quality parameters in Alphonse Lavallée grape variety. T1 (control), T2 (Leaf Removal), T3 (Berry Thinning), T4 (Cluster Thinning), T5 (Leaf Removal + Berry Thinning), T6 (Leaf Removal + Cluster Thinning), T7 (Berry Thinning + Cluster Thinning), and T8 (Leaf Removal + Berry Thinning + Cluster Thinning).

4. Discussion

Grapevine balance can be defined as the relationship between carbohydrate production by the “source” tissues (mature leaves) and the power or carbohydrate uptake capacity of the “sink” (young leaves, shoot tips, root tips, and clusters) [40,41]. Cluster thinning [42,43] and leaf removal [21,44] are widely used techniques to balance the source–sink relationship of grapevines. Berry thinning can also be performed following this logic. In addition, after cluster thinning, the reduced amount of berries is exposed to better photosynthesis, and the clusters develop in a denser canopy, which positively affects the berry weight [45]. All summer pruning applications in our study caused increases in cluster and berry weights (Table 2). Similar results to our study were obtained by Akin [46] with cluster thinning applications in Horoz Karası and Gök grape varieties. In addition, many researchers determined increases in cluster and berry weights with leaf removal [6,45,47], cluster thinning [33,48,49], and berry thinning [50,51] applications. In many studies, cluster thinning applications caused decreases in yield [25,48,52,53]. In our study, as a result of cutting 1/3 of the clusters, the berry weight increased. This prevented the decrease in yield. In this respect, if an increase in yield is desired in addition to a quality increase, it would be more appropriate to cut some parts of the clusters instead of cutting all of them.
Cool climate growing regions provide fewer growing degree days due to shorter seasons that limit the grapevines’ capacity to ripen fruit, necessitating cluster thinning [54]. Our experimental area is also in a cool climate region, necessitating cluster and fruit thinning. It is also known that leaf removal practices in cool climate vineyard regions have significant effects on the quality parameters of ripe grapes [55,56,57]. As a result of our study, all summer pruning practices increased the SSC, pH, and maturity index while decreasing TA. Similar results to our study were obtained by Keskin et al. [58] for the Red Globe, Alphonse Lavalle, and Buca Razakısı varieties with cluster thinning. Vogel et al. [59] reported that leaf removal application increased the SSC and sugar-acid ratio while decreasing TA in the Chardonnay grape variety. In another study, increases in °Brix value were observed while decreases in TA were detected with berry thinning application in Cabernet Sauvignon grape variety [50].
Berry texture is an important quality parameter affecting consumer preferences (crisper) [60,61], and high fruit firmness tends to have a longer storage capacity [62]. Increased exposure of clusters to sunlight creates an unfavorable microclimate for the development of fungal diseases [63,64]. In addition, optimal exposure of clusters to sunlight can promote a modification in berry thickness and support the biosynthesis of phytoalexins, leading to better resistance to infections caused by these fungi [65]. When fruit thinning is applied to grapes, the plant allocates more nutrients to the remaining berries [3,66]. In addition, berry thinning can upregulate berry wall invertase (CWI) and soluble acid invertase (SAI) activities [50]. It has been reported that fruits have more growth area after the decrease in cluster density [32] and that the fruit thinning method in early fruit development increases the available carbon and remobilized nutrient supply for the remaining fruit growth [67]. Within the framework of this information, it is possible that the effects of summer pruning applications increase berry detachment and skin rupture force. As a result of our study, all applications increased berry detachment and skin rupture force compared to the control. The summer pruning applied to the Superior Seedless grape variety by El-Boray et al. [6] was similar to our study in terms of yield and quality traits. In another study, increases in skin rupture force were determined with cluster thinning application to the Flame Seedless grape variety [68].
By improving the grapevine microclimate, basal leaf removal promotes the synthesis of volatile compounds such as monoterpenes and C13 norisoprenoids [69,70,71]. Furthermore, leaf removal in the cluster region increases light intensity around the cluster, stimulating the expression of metabolic genes responsible for the biosynthesis of precursors of volatile compounds in grapes [72,73]. Photoregulation of invertase and phenylalanine ammonia lyase enzymes is thought to be primarily involved in these responses to leaf removal [74]. Similar to the leaf removal application, cluster thinning can cause changes in the chemical composition of grapes [58,75]. Since compact clusters are exposed to less UV radiation, heterogeneity in clusters increases [27], which negatively affects secondary metabolites in the fruit [30]. In our study, all summer pruning applications positively affected total phenolic content and antioxidant activity. T2 (LR) application was the application that increased antioxidant enzymes the most, while T8 (LR + BT + CT) application was the application that increased total phenolic content the most. Our results are similar to many studies that used leaf removal [12,76], berry thinning [50,77] and cluster thinning [78,79,80] applications in terms of phenolic content and antioxidant activity. In addition, Tahmaz [45] reported in a study that total phenolic content and antioxidant activities (DPPH, FRAP, and ABTS) in wines obtained with leaf removal and cluster thinning applications in the Syrah grape variety increased.
The berry color is an important factor determining the fruit quality of table grapes, and anthocyanin accumulation is responsible for the rind color [51]. Anthocyanin accumulation is also regulated, especially by sunlight [81,82,83]. In a study, it was reported that berries of the Kyoho grape variety exposed to sunlight during the ripening season formed a good rind color, while low sun exposure gave a poor rind color [84]. The effects of berry thinning treatments may be due to the increased abundance of F30H and F3050H transcripts that can regulate the essential enzymes required for the biosynthesis of anthocyanins [85,86] as fruits receive more sunlight, increasing anthocyanin synthesis in berry [87]. In addition, color heterogeneity increases in compact clusters exposed to less sunlight [27], which may negatively affect the accumulation of total anthocyanins [83,87]. In our study, significant improvements in rind color are expected with leaf removal and fruit thinning treatments. All summer pruning treatments resulted in significant improvements in brightness and chroma values compared to the control. Leaf removal applications increased color intensity in Nero d’Avola [88] and Merlot [89] grape varieties. Söyler et al. [3] increased berry color saturation and vibrancy with different crop load applications in the Mevlana grape variety. The results of our study were similar to the literature in terms of color characteristics.
As a result of our study, LR, BT, CT, and their combinations gave different results. All LR and BT applications improved all cluster characteristics, while CT applications improved the characteristics except cluster length. BT and CT applications affected berry characteristics (weight, length, and width), the SSC, pH, berry detachment force, maturity index and antioxidant activity more than LR compared to the control. Although LF applications were partially affected, especially berry and quality parameters, BT and CT applications had more effects than LF. In this respect, the effect of LF in combination applications is thought to be supportive of BT and CT applications. Tahmaz [45] found that berry weight increased more with CT application as a result of LR and CT applications on Syrah grape variety. In a different study, LF, CT, and their combinations were examined, and the highest cluster weight was obtained as a result of CT application [45]. Our study is similar to the literature in terms of the effects of the applications. It is thought that the differences in the data we obtained are higher compared to the literature discussed due to the variety we used being table grapes. The differences in berry sizes especially strengthen this result. In future studies, using wine grape and table grape cultivars together will be more accurate in comparing the differences obtained. In addition, the methods we use can be easily applied by producers. In this respect, our work is a resource for producers to produce higher quality grapes.

5. Conclusions

Leaf removal, fruit thinning, and cluster thinning applications, which are the main summer pruning applications, cause significant changes in yield and quality parameters. As shown in our study, all summer pruning applications and their combinations caused improvements in cluster and berry characteristics. Cluster thinning applications generally cause decreases in yield. However, in our study, cutting 1/3 of the clusters was tolerated by increases in berry weight and did not cause yield loss. All summer pruning applications caused increases in the SSC, pH, and maturity index while causing decreases in TA. Improvements were also achieved in berry detachment force and skin rupture force data, which are road resistance properties. In addition, improvements were observed in total phenolic content and antioxidant activity in all applications. While increases were observed in the brightness and chroma values from the color parameters, differences occurred in the hue values based on application. In particular, the combined application of cluster and berry thinning was the application most different from the control. These applications (T6, T7, and T8) made significant improvements in quality parameters. If partial improvements in yield are expected, in addition to increases in quality in summer pruning applications, it would be more appropriate to cut a portion of the clusters (such as 1/3) instead of the entire cluster, in addition to leaf removal and berry thinning.

Funding

This research received no external funding.

Data Availability Statement

Raw data generated during the field experiment and derived data supporting the findings of this study are available from the corresponding author (OD) on request.

Conflicts of Interest

The author declares no conflicts of interest.

References

  1. Göktaş, A. Üzüm Yetiştiriciliği. In Eğirdir Bahçe Kültürleri Araştırma Enstitüsü Isparta, S. 1; Eğirdir Horticultural Research Institute: Eğirdir, Türkiye, 2003. [Google Scholar]
  2. Tekdal, D.; Sarlar, S. Yerel Asma Genetik Kaynakları Ve Önemi. Bağbahçe Bilim Derg. 2016, 3, 20–26. [Google Scholar]
  3. Söyler, K.; Altındişli, A.; İşçi, B. The Effects of Different Crop Load and Summer Pruning Application on Grape Yield and Quality Parameters of ‘Mevlana’ Cultivar (Vitis vinifera L.). Erwerbs-Obstbau 2020, 62 (Suppl. S1), 125–130. [Google Scholar] [CrossRef]
  4. Senthilkumar, S.; Vijayakumar, R.; Soorianathasundaram, K. Pre-Harvest Implications and Utility of Plant Bioregulators on Grape: A Review. Plant Arch. 2018, 18, 19–27. [Google Scholar]
  5. Di Lorenzo, R.; Barbagallo, M.; Ferrante, S. Modification of Source/Sink Ratios in Nero D’avola (Vitis vinifera L.) Grapevines in a Warm-Dry Environment. In Advances in Horticultural Science [Rivista Dell’ortofloroftutticoltura Italiana]. Special Issue in Grapewine Research in Italy 2001; Firenze University Press: Florence, Italy, 2001; pp. 1000–1008. [Google Scholar]
  6. El-Boray, M.; Shalan, A.; Rizk, M. Effect of Summer Pruning and Some Bio-Stimulants on Bud Fertility, Vegetative Growth, Yield and Fruit Quality of Vitis Vinifera Cv. J. Plant Prod. 2018, 9, 29–38. [Google Scholar] [CrossRef]
  7. Duncan, R.; Stapleton, J.; Leavitt, G. Population Dynamics of Epiphytic Mycoflora and Occurrence of Bunch Rots of Wine Grapes as Influenced by Leaf Removal. Plant Pathol. 1995, 44, 956–965. [Google Scholar] [CrossRef]
  8. Reynolds, A.G.; Wardle, D.A.; Naylor, A.P. Impact of Training System, Vine Spacing, and Basal Leaf Removal on Riesling. Vine Performance, Berry Composition, Canopy Microclimate, and Vineyard Labor Requirements. Am. J. Enol. Vitic. 1996, 47, 63–76. [Google Scholar] [CrossRef]
  9. Tardáguila, J.; Diago, M.P.; Martínez de Toda, F.; Poni, S.; Vilanova de la Torre, M.D.M. Effects of Timing of Leaf Removal on Yield, Berry Maturity, Wine Composition and Sensory Properties of Cv. Grenache Grown under Non Irrigated Conditions. OENO One 2008, 42, 221–229. [Google Scholar]
  10. Doğan, O. Bağcilikta Yaz Budamasi Uygulamalari. In Tarıma Çok Yönlü Yaklaşım: Ürün Ve Bilgi Üretimi 1; Keskin, N., İşçi, Z.G.B., Eds.; İKSAD: Ankara, Türkiye, 2024; pp. 95–118. [Google Scholar]
  11. Korkutal, İ.; Bahar, E.; Zinni, A. Farklı Zamanlarda Yapılan Yaprak Alma Ve Uç Alma Uygulamalarının Üzümde Salkım Özellikleri Üzerine Etkilerinin Belirlenmesi. Adnan Menderes Üniversitesi Ziraat Fakültesi Derg. 2021, 18, 157–164. [Google Scholar] [CrossRef]
  12. Quartacci, M.F.; Sgherri, C.; Pinzino, C. Impact of Leaf Removal on Phenolics and Antioxidant Activity of Trebbiano Berries (Vitis vinifera L.). Plants 2022, 11, 1303. [Google Scholar] [CrossRef]
  13. Hed, B.; Centinari, M. Mechanical Leaf Removal for Improved Botrytis Bunch Rot Control in Vitis Vinifera ‘Pinot Gris’ and ‘Pinot Noir’ Grapevines in the Northeastern United States. Plant Dis. 2024, 108, 3156–3162. [Google Scholar] [CrossRef]
  14. Kemp, B.S.; Harrison, R.; Creasy, G.L. Effect of Mechanical Leaf Removal and Its Timing on Flavan-3-Ol Composition and Concentrations in Vitis vinifera L. Cv. Pinot Noir Wine. Aust. J. Grape Wine Res. 2011, 17, 270–279. [Google Scholar] [CrossRef]
  15. VanderWeide, J.; Medina-Meza, I.G.; Frioni, T.; Sivilotti, P.; Falchi, R.; Sabbatini, P. Enhancement of Fruit Technological Maturity and Alteration of the Flavonoid Metabolomic Profile in Merlot (Vitis vinifera L.) by Early Mechanical Leaf Removal. J. Agric. Food Chem. 2018, 66, 9839–9849. [Google Scholar] [CrossRef] [PubMed]
  16. Downey, M.O.; Dokoozlian, N.K.; Krstic, M.P. Cultural Practice and Environmental Impacts on the Flavonoid Composition of Grapes and Wine: A Review of Recent Research. Am. J. Enol. Vitic. 2006, 57, 257–268. [Google Scholar] [CrossRef]
  17. Jeong, S.T.; Goto-Yamamoto, N.; Kobayashi, S.; Esaka, M. Effects of Plant Hormones and Shading on the Accumulation of Anthocyanins and the Expression of Anthocyanin Biosynthetic Genes in Grape Berry Skins. Plant Sci. 2004, 167, 247–252. [Google Scholar] [CrossRef]
  18. Pastore, C.; Zenoni, S.; Fasoli, M.; Pezzotti, M.; Tornielli, G.B.; Filippetti, I. Selective Defoliation Affects Plant Growth, Fruit Transcriptional Ripening Program and Flavonoid Metabolism in Grapevine. BMC Plant Biol. 2013, 13, 30. [Google Scholar] [CrossRef]
  19. Hickey, C.C.; Wolf, T.K. Cabernet Sauvignon Responses to Prebloom and Post-Fruit Set Leaf Removal in Virginia. Catalyst 2018, 2, 24–34. [Google Scholar]
  20. Poni, S.; Bernizzoni, F.; Civardi, S. The Effect of Early Leaf Removal on Whole- Canopy Gas Exchange and Vine Performance of Vitis vinifera L. Sangiovese. Vitis 2008, 47, 1–6. [Google Scholar]
  21. Poni, S.; Casalini, L.; Bernizzoni, F.; Civardi, S.; Intrieri, C. Effects of Early Defoliation on Shoot Photosynthesis, Yield Components, and Grape Composition. Am. J. Enol. Vitic. 2006, 57, 397–407. [Google Scholar]
  22. Diago, M.P.; Ayestarán, B.; Guadalupe, Z.; Poni, S.; Tardáguila, J. Impact of Prebloom and Fruit Set Basal Leaf Removal on the Flavonol and Anthocyanin Composition of Tempranillo Grapes. Am. J. Enol. Vitic. 2012, 63, 367–376. [Google Scholar]
  23. Sivilotti, P.; Falchi, R.; Vanderweide, J.; Sabbatini, P.; Bubola, M.; Vanzo, A.; Lisjak, K.; Peterlunger, E.; Herrera, J.C. Yield Reduction through Cluster or Selective Berry Thinning Similarly Modulates Anthocyanins and Proanthocyanidins Composition in Refosco Dal Peduncolo Rosso (Vitis vinifera L.) Grapes. Sci. Hortic. 2020, 264, 109166. [Google Scholar]
  24. Kok, D. Influences of Pre- and Post-Veraison Cluster Thinning Treatments on Grape Composition Variables and Monoterpene Levels of Vitis vinifera L. Cv. Sauvignon Blanc. J. Food Agric. Environ. 2011, 9, 22–26. [Google Scholar]
  25. Gil, M.; Esteruelas, M.; González, E.; Kontoudakis, N.; Jiménez, J.; Fort, F.; Canals, J.; Hermosín-Gutiérrez, I.; Zamora, F. Effect of Two Different Treatments for Reducing Grape Yield in Vitis Vinifera Cv. Syrah on Wine Composition and Quality: Berry Thinning Versus Cluster Thinning. J. Agric. Food Chem. 2013, 61, 4968–4978. [Google Scholar] [CrossRef] [PubMed]
  26. Hanni, E.; Lardschneider, E.; Kelderer, M. Alternatives to the Use of Gibberellins for Bunch Thinning and Bunch Compactness Reduction on Grapevine. In Proceedings of the I International Workshop on Vineyard Mechanization and Grape and Wine Quality 978, Piacenza, Italy, 27–29 June 2012. [Google Scholar]
  27. Vail, M.E.; Marois, J.J. Grape Cluster Architecture and the Susceptibility of Berries to Botrytis cinerea. Phytopathology 1991, 81, 188–191. [Google Scholar] [CrossRef]
  28. Evers, D.; Molitor, D.; Rothmeier, M.; Behr, M.; Fischer, S.; Hoffmann, L. Efficiency of Different Strategies for the Control of Grey Mold on Grapes Including Gibberellic Acid (Gibb3), Leaf Removal and/or Botrycide Treatments. J. Int. Sci. Vigne Vin 2010, 149, 151–159. [Google Scholar]
  29. Ioriatti, C.; Anfora, G.; Tasin, M.; Cristofaro, A.D.; Witzgall, P.; Lucchi, A. Chemical Ecology and Management of Lobesia Botrana (Lepidoptera: Tortricidae). J. Econ. Entomol. 2011, 104, 1125–1137. [Google Scholar]
  30. Alonso, R.; Berli, F.J.; Piccoli, P.; Bottini, R. Ultraviolet-B Radiation, Water Deficit and Abscisic Acid: A Review of Independent and Interactive Effects on Grapevines. Theor. Exp. Plant Physiol. 2016, 28, 11–22. [Google Scholar]
  31. Liu, P.H.; Liu, S.; Qin, W.S.; Zhang, J.R.; Zhao, X.J. Effect of Different Thinning Treatments on Volatile Compounds in ‘Cabernent Sauvignon’ Grape. North. Hortic. 2014, 9, 27–32. [Google Scholar]
  32. Tello, J.; Aguirrezábal, R.; Hernáiz, S.; Larreina, B.; Montemayor, M.I.; Vaquero, E.; Ibáñez, J. Multicultivar and Multivariate Study of the Natural Variation for Grapevine Bunch Compactness. Aust. J. Grape Wine Res. 2015, 21, 277–289. [Google Scholar]
  33. Almanza-Merchán, P.J.; Fischer, G.; Serrano-Cely, P.A.; Balaguera-López, H.E.; Galvis, J.s.A. Effects of Leaf Removal and Cluster Thinning on Yield and Quality of Grapes (Vitis vinifera L., Riesling × Silvaner) in Corrales, Boyaca (Colombia). Agron. Colomb. 2011, 29, 35–42. [Google Scholar]
  34. Kara, Z.; Uğur, B.N.; Doğan, O. The Effects of Ortho Silicon (Optysil) and Ascophyllum nodosum Based Seaweed Extract (Kelpgreen) Applications on the Quality of Table Grape Cvs. Gök Üzüm and Müşküle. Selcuk J. Agric. Food Sci. 2022, 36, 482–492. [Google Scholar]
  35. Öztürk, H.İ.; Demirci, T.; Akın, N. Production of Functional Probiotic Ice Creams with White and Dark Blue Fruits of Myrtus Communis: The Comparison of the Prebiotic Potentials on Lactobacillus Casei 431 and Functional Characteristics. LWT 2018, 90, 339–345. [Google Scholar] [CrossRef]
  36. Murshed, M.; Al-Tamimi, J.; Al-Quraishy, S. Phytochemical Analysis, Cytotoxic, Antioxidant, and Anti-Coccidian Activities of Vitis vinifera Leaves Grown in Saudi Arabia. Nat. Prod. Commun. 2024, 19, 1934578X241284871. [Google Scholar] [CrossRef]
  37. Kara, Z.; Doğan, O. Mutagenic Effects of Nitrogen Protoxide and Oryzalin on “41 B” and “Fercal” Grapevine Rootstocks Seedlings. Breed. Sci. 2023, 73, 355–364. [Google Scholar] [CrossRef] [PubMed]
  38. Yazar, K.; Kara, Z.; Avcı, A.; Doğan, O.; Ekinci, H.; Demir, N. 41 B Asma Anacı Çekirdeklerinde Gümüş Nano Parçacık Uygulamalarının Çimlenme Ve Vejetatif Gelişmeye Etkileri. Bahçe 2023, 52, 72–77. [Google Scholar]
  39. Ekinci, H.; Saskin, N.; Ak, B.E.; Dogan, B.D. Effects of Different Healing Agents on Acclimatization Success of in Vitro Rooted Garnem (Prunus dulcis × Prunus persica) Rootstock. Vitr. Cell. Dev. Biol.-Plant 2024, 60, 309–317. [Google Scholar] [CrossRef]
  40. Lemoine, R.; Camera, S.L.; Atanassova, R.; Dédaldéchamp, F.; Allario, T.; Pourtau, N.; Bonnemain, J.-L.; Laloi, M.; Coutos-Thévenot, P.; Maurousset, L. Source-to-Sink Transport of Sugar and Regulation by Environmental Factors. Front. Plant Sci. 2013, 4, 272. [Google Scholar] [CrossRef]
  41. Osorio, S.; Ruan, Y.; Fernie, A.R. An Update on Source-to-Sink Carbon Partitioning in Tomato. Front. Plant Sci. 2014, 5, 516. [Google Scholar] [CrossRef]
  42. Gutiérrez-Gamboa, G.; Mengyuan, W.; Moreno-Simunovic, Y.; Sun, X.; Fang, Y. Potential Opportunities of Thinned Clusters in Viticulture: A Mini Review. J. Sci. Food Agric. 2021, 101, 4435–4443. [Google Scholar] [CrossRef]
  43. Poni, S.; Frioni, T.; Gatti, M. Summer Pruning in Mediterranean Vineyards: Is Climate Change Affecting Its Perception, Modalities, and Effects? Front. Plant Sci. 2023, 14, 1227628. [Google Scholar] [CrossRef]
  44. VanderWeide, J.; Tombesi, S.; Castellarin, S.D.; Sabbatini, P. Canopy Architecture and Fruit Microclimate, Not Ripening-Related Phytohormones, Control Phenylpropanoid Accumulation in Response to Early Leaf Removal in ‘Merlot’ (Vitis vinifera L.) Grapevines. Plant Physiol. Biochem. 2020, 157, 291–302. [Google Scholar] [CrossRef]
  45. Tahmaz, H. Six Different Vineyard Treatments to Improve Chemical Properties and Taste Sensory Profiles of ‘Syrah ’(Vitis vinifera L.) Wines. Erwerbs-Obstbau 2023, 65, 1979–1990. [Google Scholar]
  46. Akin, A. Effects of Cluster Reduction, Herbagreen and Humic Acid Applications on Grape Yield and Quality of Horoz Karasi and Gök Üzüm Grape Cultivars. Afr. J. Biotechnol. 2011, 10, 5593–5600. [Google Scholar]
  47. Vercesi, A.; Gabrielli, M.; Garavani, A.; Poni, S. Effects of Apical, Late-Season Leaf Removal on Vine Performance and Wine Properties in Sangiovese Grapevines (Vitis vinifera L.). Horticulturae 2024, 10, 929. [Google Scholar] [CrossRef]
  48. Condurso, C.; Cincotta, F.; Tripodi, G.; Sparacio, A.; Giglio, D.M.L.; Sparla, S.; Verzera, A. Effects of Cluster Thinning on Wine Quality of Syrah Cultivar (Vitis vinifera L.). Eur. Food Res. Technol. 2016, 242, 1719–1726. [Google Scholar]
  49. Gatti, M.; Garavani, A.; Cantatore, A.; Parisi, M.G.; Bobeica, N.; Merli, M.C.; Vercesi, A.; Poni, S. Interactions of Summer Pruning Techniques and Vine Performance in the White Vitis vinifera Cv. Ortrugo. Aust. J. Grape Wine Res. 2015, 21, 80–89. [Google Scholar]
  50. Han, W.; Han, N.; He, X.; Zhao, X. Berry Thinning to Reduce Bunch Compactness Improves Fruit Quality of Cabernet Sauvignon (Vitis vinifera L.). Sci. Hortic. 2019, 246, 589–596. [Google Scholar]
  51. Jia, N.; Yin, Y.; Li, M.; Han, B.; Sun, Y.; Liu, C.; Tian, K.; Liu, S.; Wang, Y.; Guo, Z. Berry Thinning Affects the Fruit Quality Composition of Two Table Grape Cultivars under Linkage Greenhouse Conditions. HortScience 2023, 58, 134–140. [Google Scholar] [CrossRef]
  52. Alshallash, K.S.; Fahmy, M.A.; Tawfeeq, A.M.; Baghdady, G.A.; Abdrabboh, G.A.; Hamdy, A.E.; Kabsha, E.-b.A. Ga3 and Hand Thinning Improves Physical, Chemical Characteristics, Yield and Decrease Bunch Compactness of Sultanina Grapevines (Vitis vinifera L.). Horticulturae 2023, 9, 160. [Google Scholar] [CrossRef]
  53. Korkutal, İ.; Bahar, E.; Koskosoğlu, B. Farklı Eğimdeki Konum Ve Anaçlara Sahip Bağda Salkım Seyreltmenin; Salkım Özellikleri Ve Verime Etkisi. Bahçe 2022, 51, 83–92. [Google Scholar]
  54. Zhuang, S.; Tozzini, L.; Green, A.; Acimovic, D.; Howell, G.S.; Castellarin, S.D.; Sabbatini, P. Impact of Cluster Thinning and Basal Leaf Removal on Fruit Quality of Cabernet Franc (Vitis vinifera L.) Grapevines Grown in Cool Climate Conditions. HortScience 2014, 49, 750–756. [Google Scholar]
  55. Osrečak, M.; Karoglan, M.; Kozina, B. Influence of Leaf Removal and Reflective Mulch on Phenolic Composition and Antioxidant Activity of Merlot, Teran and Plavac Mali Wines (Vitis vinifera L.). Sci. Hortic. 2016, 209, 261–269. [Google Scholar]
  56. Poni, S.; Gatti, M.; Bernizzoni, F.; Civardi, S.; Bobeica, N.; Magnanini, E.; Palliotti, A. Late Leaf Removal Aimed at Delaying Ripening in Cv. S Angiovese: Physiological Assessment and Vine Performance. Aust. J. Grape Wine Res. 2013, 19, 378–387. [Google Scholar]
  57. Song, J.; Smart, R.; Wang, H.; Dambergs, B.; Sparrow, A.; Qian, M.C. Effect of Grape Bunch Sunlight Exposure and Uv Radiation on Phenolics and Volatile Composition of Vitis vinifera L. Cv. Pinot Noir Wine. Food Chem. 2015, 173, 424–431. [Google Scholar] [PubMed]
  58. Keskin, N.; İşçi, B.; Gökbayrak, Z. Effects of Cane-Girdling and Cluster and Berry Thinning on Berry Organic Acids of Four Vitis vinifera L. Table Grape Cultivars. Acta Sci. Pol. Hortorum Cultus 2013, 12, 115–125. [Google Scholar]
  59. Vogel, A.R.; White, R.S.; MacAllister, C.; Hickey, C.C. Fruit Zone Leaf Removal Timing and Extent Alters Bunch Rot, Primary Fruit Composition, and Crop Yield in Georgia-Grown ‘Chardonnay’ (Vitis vinifera L.). HortScience 2020, 55, 1654–1661. [Google Scholar]
  60. Iwatani, S.-i.; Yakushiji, H.; Mitani, N.; Sakurai, N. Evaluation of Grape Flesh Texture by an Acoustic Vibration Method. Postharvest Biol. Technol. 2011, 62, 305–309. [Google Scholar]
  61. Sato, A.; Yamada, M. Berry Texture of Table, Wine, and Dual-Purpose Grape Cultivars Quantified. HortScience 2003, 38, 578–581. [Google Scholar]
  62. Deng, Y.; Wu, Y.; Li, Y. Changes in Firmness, Cell Wall Composition and Cell Wall Hydrolases of Grapes Stored in High Oxygen Atmospheres. Food Res. Int. 2005, 38, 769–776. [Google Scholar]
  63. Molitor, D.; Rothmeier, M.; Behr, M.; Fischer, S.; Hoffmann, L.; Evers, D. Crop Cultural and Chemical Methods to Control Grey Mould on Grapes. Vitis 2011, 50, 81–87. [Google Scholar]
  64. Sternad Lemut, M.; Sivilotti, P.; Butinar, L.; Laganis, J.; Vrhovsek, U. Pre-Flowering Leaf Removal Alters Grape Microbial Population and Offers Good Potential for a More Sustainable and Cost-Effective Management of a Pinot Noir Vineyard. Aust. J. Grape Wine Res. 2015, 21, 439–450. [Google Scholar]
  65. Verdenal, T.; Zufferey, V.; Dienes-Nagy, A.; Gindro, K.; Belcher, S.; Lorenzini, F.; Viret, O. Pre-Flowering Defoliation Affects Berry Structure and Enhances Wine Sensory Parameters. OENO One 2017, 51, 263–275. [Google Scholar] [CrossRef]
  66. Alem, H.; Ojeda, H.; Rigou, P.; Schneider, R.; Torregrosa, L. The Reduction of Plant Sink/Source Does Not Systematically Improve the Metabolic Composition of Vitis vinifera White Fruit. Food Chem. 2021, 345, 128825. [Google Scholar] [CrossRef] [PubMed]
  67. Ruan, Y.-L. Sucrose Metabolism: Gateway to Diverse Carbon Use and Sugar Signaling. Annu. Rev. Plant Biol. 2014, 65, 33–67. [Google Scholar] [CrossRef]
  68. Bassiony, S. Effect of Bud Load Levels and Summer Pruning on Vine Vigor and Productivity of “Flame Seedless” (Vitis vinifera, L.) Grapevines. J. Plant Prod. 2020, 11, 301–310. [Google Scholar] [CrossRef]
  69. Alessandrini, M.; Battista, F.; Panighel, A.; Flamini, R.; Tomasi, D. Effect of Pre-Bloom Leaf Removal on Grape Aroma Composition and Wine Sensory Profile of Semillon Cultivar. J. Sci. Food Agric. 2018, 98, 1674–1684. [Google Scholar] [CrossRef]
  70. Kwasniewski, M.T.; Heuvel, J.E.V.; Pan, B.S.; Sacks, G.L. Timing of Cluster Light Environment Manipulation During Grape Development Affects C13 Norisoprenoid and Carotenoid Concentrations in Riesling. J. Agric. Food Chem. 2010, 58, 6841–6849. [Google Scholar] [CrossRef]
  71. Young, P.R.; Eyeghe-Bickong, H.A.; Plessis, K.D.; Alexandersson, E.; Jacobson, D.A.; Coetzee, Z.; Deloire, A.; Vivier, M.A. Grapevine Plasticity in Response to an Altered Microclimate: Sauvignon Blanc Modulates Specific Metabolites in Response to Increased Berry Exposure. Plant Physiol. 2016, 170, 1235–1254. [Google Scholar] [CrossRef]
  72. Alatzas, A.; Theocharis, S.; Miliordos, D.-E.; Kotseridis, Y.; Koundouras, S.; Hatzopoulos, P. Leaf Removal and Deficit Irrigation Have Diverse Outcomes on Composition and Gene Expression During Berry Development of Vitis vinifera L. Cultivar Xinomavro. OENO One 2023, 57, 289–305. [Google Scholar] [CrossRef]
  73. Yue, X.; Ma, X.; Tang, Y.; Wang, Y.; Wu, B.; Jiao, X.; Zhang, Z.; Ju, Y. Effect of Cluster Zone Leaf Removal on Monoterpene Profiles of Sauvignon Blanc Grapes and Wines. Food Res. Int. 2020, 131, 109028. [Google Scholar] [CrossRef]
  74. Dokoozlian, N.; Kliewer, W. Influence of Light on Grape Berry Growth and Composition Varies During Fruit Development. J. Am. Soc. Hortic. Sci. 1996, 121, 869–874. [Google Scholar] [CrossRef]
  75. Isci, B.; Gokbayrak, Z.; Keskin, N. Effects of Cultural Practices on Total Phenolics and Vitamin C Content of Organic Table Grapes. South Afr. J. Enol. Vitic. 2015, 36, 191–194. [Google Scholar] [CrossRef]
  76. Tardaguila, J.; De Toda, F.M.; Poni, S.; Diago, M.P. Impact of Early Leaf Removal on Yield and Fruit and Wine Composition of Vitis vinifera L. Graciano and Carignan. Am. J. Enol. Vitic. 2010, 61, 372–381. [Google Scholar] [CrossRef]
  77. Piernas, J.; Giménez, M.J.; Noguera-Artiaga, L.; García-Pastor, M.E.; García-Martínez, S.; Zapata, P.J. Influence of Bunch Compactness and Berry Thinning Methods on Wine Grape Quality and Sensory Attributes of Wine in Vitis vinifera L. Cv. ‘Monastrell’. Agronomy 2022, 12, 680. [Google Scholar] [CrossRef]
  78. Bravetti, B.; Lanari, V.; Manni, E.; Silvestroni, O. Canopy Density Modification and Crop Control Strategies on ‘Montepulciano’ (Vitis vinifera L.). In Proceedings of the XXVIII International Horticultural Congress on Science and Horticulture for People (IHC2010): International Symposium on the 931, Lisbon, Portugal, 22 August 2010. [Google Scholar]
  79. Reščič, J.; Mikulič-Petkovšek, M.; Štampar, F.; Zupan, A.; Rusjan, D. The Impact of Cluster Thinning on Fertility and Berry and Wine Composition of ‘Blauer Portugieser’ (Vitis vinifera L.) Grapevine Variety. OENO One 2015, 49, 275–291. [Google Scholar] [CrossRef]
  80. Song, C.-Z.; Chao, W.; Sha, X.; Zhang, Z.-W. Effects of Leaf Removal and Cluster Thinning on Berry Quality of Vitis vinifera Cultivars in the Region of Weibei Dryland in China. J. Integr. Agric. 2018, 17, 1620–1630. [Google Scholar] [CrossRef]
  81. Chorti, E.; Guidoni, S.; Ferrandino, A.; Novello, V. Effect of Different Cluster Sunlight Exposure Levels on Ripening and Anthocyanin Accumulation in Nebbiolo Grapes. Am. J. Enol. Vitic. 2010, 61, 23–30. [Google Scholar] [CrossRef]
  82. Guan, L.; Li, J.-H.; Fan, P.-G.; Li, S.-H.; Fang, J.-B.; Dai, Z.-W.; Delrot, S.; Wang, L.-J.; Wu, B.-H. Regulation of Anthocyanin Biosynthesis in Tissues of a Teinturier Grape Cultivar under Sunlight Exclusion. Am. J. Enol. Vitic. 2014, 65, 363–374. [Google Scholar] [CrossRef]
  83. Matus, J.T.; Loyola, R.; Vega, A.; Pena-Neira, A.; Bordeu, E.; Arce-Johnson, P.; Alcalde, J.A. Post-Veraison Sunlight Exposure Induces Myb-Mediated Transcriptional Regulation of Anthocyanin and Flavonol Synthesis in Berry Skins of Vitis vinifera. J. Exp. Bot. 2009, 60, 853–867. [Google Scholar] [CrossRef]
  84. Shinomiya, R.; Fujishima, H.; Muramoto, K.; Shiraishi, M. Impact of Temperature and Sunlight on the Skin Coloration of the ‘Kyoho’table Grape. Sci. Hortic. 2015, 193, 77–83. [Google Scholar] [CrossRef]
  85. Azuma, A.; Yakushiji, H.; Koshita, Y.; Kobayashi, S. Flavonoid Biosynthesis-Related Genes in Grape Skin Are Differentially Regulated by Temperature and Light Conditions. Planta 2012, 236, 1067–1080. [Google Scholar] [CrossRef]
  86. Xi, X.; Zha, Q.; Jiang, A.; Tian, Y. Stimulatory Effect of Bunch Thinning on Sugar Accumulation and Anthocyanin Biosynthesis in Shenhua Grape Berry (Vitis vinifera × V. labrusca). Aust. J. Grape Wine Res. 2018, 24, 158–165. [Google Scholar] [CrossRef]
  87. Carbonell-Bejerano, P.; Diago, M.-P.; Martínez-Abaigar, J.; Martínez-Zapater, J.M.; Tardáguila, J.; Núñez-Olivera, E. Solar Ultraviolet Radiation Is Necessary to Enhance Grapevine Fruit Ripening Transcriptional and Phenolic Responses. BMC Plant Biol. 2014, 14, 183. [Google Scholar] [CrossRef] [PubMed]
  88. Verzera, A.; Tripodi, G.; Dima, G.; Condurso, C.; Scacco, A.; Cincotta, F.; Giglio, D.M.L.; Santangelo, T.; Sparacio, A. Leaf Removal and Wine Composition of Vitis vinifera L. Cv. Nero D’avola: The Volatile Aroma Constituents. J. Sci. Food Agric. 2016, 96, 150–159. [Google Scholar]
  89. Cincotta, F.; Verzera, A.; Prestia, O.; Tripodi, G.; Lechhab, W.; Sparacio, A.; Condurso, C. Influence of Leaf Removal on Grape, Wine and Aroma Compounds of Vitis vinifera L. Cv. Merlot under Mediterranean Climate. Eur. Food Res. Technol. 2022, 248, 403–413. [Google Scholar]
Disclaimer/Publisher’s Note: The statements, opinions and data contained in all publications are solely those of the individual author(s) and contributor(s) and not of MDPI and/or the editor(s). MDPI and/or the editor(s) disclaim responsibility for any injury to people or property resulting from any ideas, methods, instructions or products referred to in the content.

Article Metrics

Citations

Article Access Statistics

Multiple requests from the same IP address are counted as one view.