On-Farm Evaluation of Direct Seeding of Cover Crop Effects on Soil C and N Reserves and Greenhouse Gas Emissions in a Cauliflower Production System
Abstract
1. Introduction
2. Materials and Methods
2.1. Site Characterization
2.2. Measured Variables
2.2.1. Cauliflower Yield
2.2.2. Air Sampling, GHG Analysis, and Calculations
- Gas flux is the flux of N2O and CH4 (g ha−1 day−1) or CO2 (kg ha−1 day−1);
- ∆(gas) is the variation in the gas concentration (N2O nmol mol−1; CH4 µmol mol−1; or CO2 µmol mol−1) inside the chamber;
- ∆t is the incubation period (min);
- P is the atmospheric pressure inside the chamber (1 atm);
- V is the chamber volume (L);
- R is the universal gas constant (0.082 atm L mol−1 K−1);
- T is the chamber internal temperature (K);
- M is the gas molecular weight (g mol−1);
- A is the soil area occupied by the chamber (m2);
- Element/Gas is the ratio of the element atomic mass to the gas molecular mass. In this case, 28/44 for N2O, 12/16 for CH4 and 12/44 for CO2.
2.2.3. Soil Chemical and Physical Properties
- CS is the total organic carbon stock (TOC) or total nitrogen stock (TN) (Mg ha−1);
- is the sum of soil carbon or nitrogen contents from the first (surface) to the last layer of the profile in the evaluated treatment (Mg ha−1);
- is the sum of soil mass from the first to the last layer of the profile in the evaluated treatment (Mg ha−1);
- is the sum of soil mass from the first to the last layer in the profile in the reference treatment (Mg ha−1);
- MTn is the soil mass in the last layer of the profile in the evaluated treatment (Mg ha−1);
- CTn is the carbon or nitrogen concentration in the last layer of the profile in the evaluated treatment (Mg C or N Mg−1).
2.3. Statistical Analysis
3. Results and Discussion
3.1. Cauliflower Yield and Soil Chemical and Physical Properties
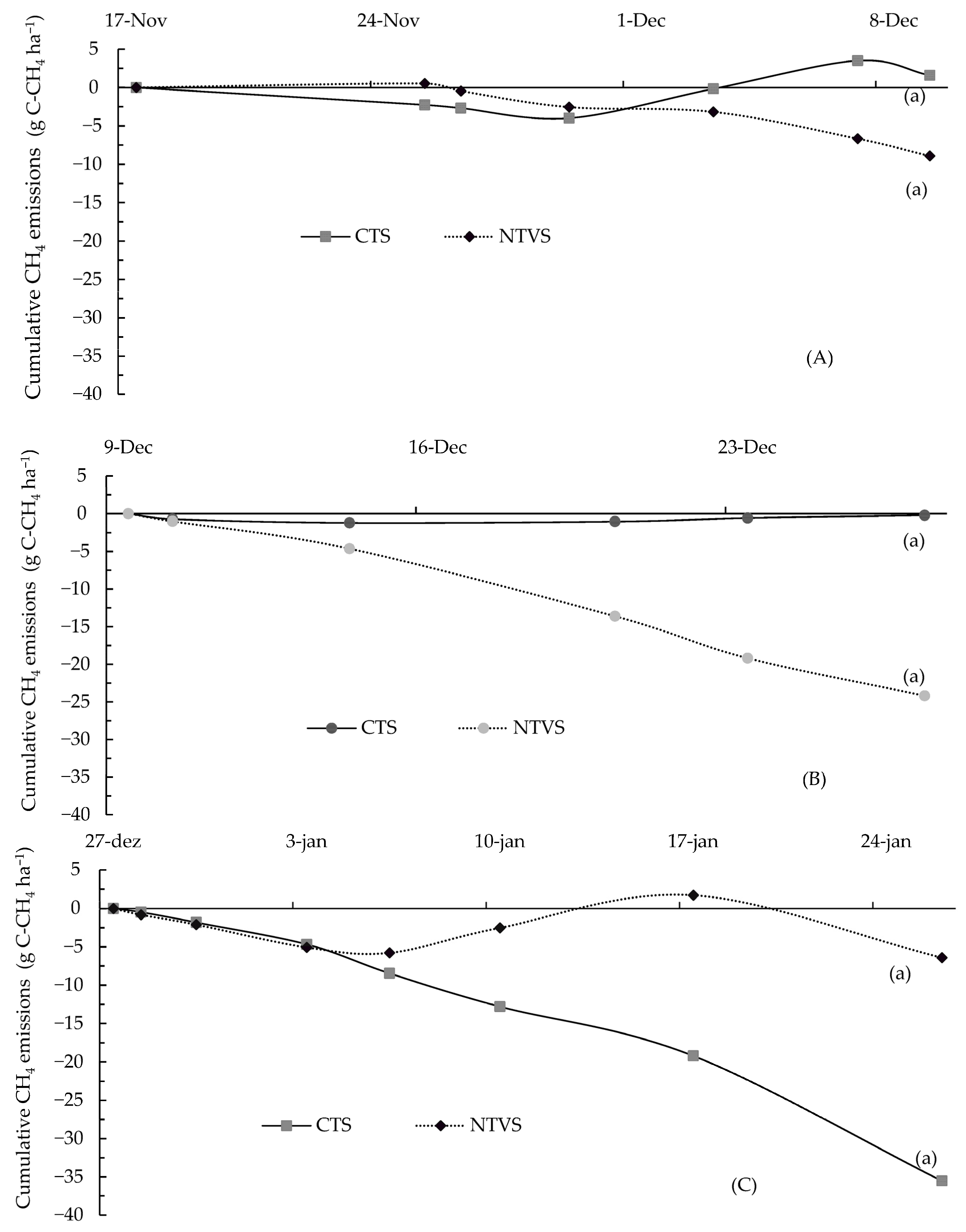
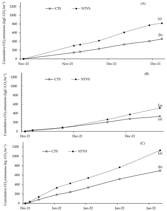
3.2. Soil GHG Fluxes and Emissions
3.2.1. N2O Emissions
3.2.2. CH4 Emissions
3.2.3. CO2 Emissions
3.3. Carbon Equivalent Required to Neutralize Emissions of N2O, CH4, and CO2
4. Conclusions
Author Contributions
Funding
Data Availability Statement
Acknowledgments
Conflicts of Interest
References
- Dos Santos, A.A.; Giehl, A.L.; Silva, F.M.; de Luca, F.V.; Padrão, G.d.A.; Elias, H.T.; Alves, J.R.; Gugel, J.T.; Araujo, L.A.; Vicente, L.R.M.; et al. Síntese Anual da Agricultura de Santa Catarina 2018–2019. 2019. Available online: https://docweb.epagri.sc.gov.br/website_cepa/publicacoes/Sintese_2018_19.pdf (accessed on 5 January 2025).
- Marouelli, W.A.; Abdalla, R.P.; Madeira, N.R.; de Oliveira, A.S.; de Souza, R.F. Eficiência de uso da água e produção de repolho sobre diferentes quantidades de palhada em plantio direto. Pesqui Agropecuária Bras. 2010, 45, 369–375. [Google Scholar] [CrossRef]
- Giumbelli, L.D.; Loss, A.; Ventura, B.S.; Junior, E.d.S.; Almeida, J.; Piccolo, M.d.C.; Mafra, Á.L.; Kurtz, C.; Brunetto, G.; Comin, J.J. Aggregation index, carbon, nitrogen, and natural abundance of 13C and 15N in soil aggregates and bulk soil cultivated with onion under crop successions and rotations. Soil Res. 2020, 59, 622–635. [Google Scholar]
- Comin, J.J.; Vezzani, F.; Souza, M.; Kurtz, C.; Mafra, Á.L.; Lovato, P.E.; Lourenzi, C.R.; Loss, A. Soil Health in No-tillage Vegetable Production Systems-SPDH. In Soil Health and Sustainable Agriculture in Brazil, 1st ed.; Mendes, I.C., Cherubin, M.R., Eds.; Soil Science Society of America; John Wiley & Sons: Hoboken, NJ, USA, 2024; Volume 3, pp. 208–235. [Google Scholar]
- Bortolini, J.G.; Soares, C.R.F.S.; Muller, M.J.; Ferreira, G.W.; Meyer, E.; Caroline Krug Vieira, M.S.; Kurtz, C.; Lourenzi, C.R.; Lovato, P.E.; Loss, A.; et al. Soil Carbon, Glomalin, And Aggregation in Onion Crop Under No-Tillage with Cover Crops or Conventional Tillage Systems for Eight Years. J Agric Stud. 2021, 9, 130–150. [Google Scholar]
- Fayad, J.A.; Comin, J.J.; Bertol, I. Sistema de Plantio Direto de Hortaliças (NTVS); Boletim Didático; Epagri: Florianópolis, Brazil, 2019; Volume 131, 91p. [Google Scholar]
- Loss, A.; Junior, E.D.S.; Schmitz, D.; Da Veiga, M.; Kurtz, C.; Comin, J.J. Atributos físicos do solo em cultivo de cebola sob sistemas de plantio direto e preparo convencional. Rev. Colomb. Cienc. Hortícolas. 2017, 11, 105–113. [Google Scholar] [CrossRef]
- Müller Júnior, V.; Koucher, L.d.P.; Souza, M.; Lima, A.P.; Kurtz, C.; Couto, R.d.R.; Lovato, P.E.; Giacomini, S.J.; Brunetto, G.; Comin, J.J. Nitrous Oxide Emissions in No-Tillage Onion (Allium cepa L.) Crops Are Increased by Oilseed Radish Cover Crop and Poultry Manure Application. Rev. Bras. Ciência Solo. 2019, 43, e0180116. [Google Scholar] [CrossRef]
- Shi, P.; Schulin, R. Erosion-induced losses of carbon, nitrogen, phosphorus and heavy metals from agricultural soils of contrasting organic matter management. Sci. Total Environ. 2018, 618, 210–218. [Google Scholar] [CrossRef]
- Souza, M.; Júnior, V.M.; Kurtz, C.; Ventura, B.d.S.; Lourenzi, C.R.; Lazzari, C.J.R.; Ferreira, G.W.; Brunetto, G.; Loss, A.; Comin, J.J. Soil chemical properties and yield of onion crops grown for eight years under no-tillage system with cover crops. Soil Tillage Res. 2021, 208, 104897. [Google Scholar]
- Jantalia, C.P.; Dos Santos, H.P.; Urquiaga, S.; Boddey, R.M.; Alves, B.J.R. Fluxes of nitrous oxide from soil under different crop rotations and tillage systems in the South of Brazil. Nutr. Cycl. Agroecosyst. 2008, 82, 161–173. [Google Scholar]
- Thomazini, A.; Mendonça, E.S.; Cardoso, I.M.; Garbin, M.L. SOC dynamics and soil quality index of agroforestry systems in the Atlantic rainforest of Brazil. Geoderma Reg. 2015, 5, 15–24. [Google Scholar] [CrossRef]
- Câmara, P.H.d.S. Influência da Complexidade de Diferentes Sistemas de Cultivo de Cebola na Emissão de Gases de Efeito Estufa. Ph.D. Thesis, Universidade Federal de Santa Catarina, Florianópolis, Brazil, 2022. [Google Scholar]
- Carvalho, M.L.; Vanolli, B.d.S.; Schiebelbein, B.E.; Borba DAd Luz FBd Cardoso, G.M.; Bortolo, L.d.S.; Marostica, M.E.M.; Souza, V.S. Guia prático de Plantas de Cobertura: Aspectos Fitotécnicos e Impactos Sobre a Saúde do solo; Universidade de São Paulo-USP: São Paulo, Brazil, 2022. [Google Scholar] [CrossRef]
- Pereira, B.d.J.; Filho, A.B.C.; La Scala, N., Jr. Greenhouse gas emissions and carbon footprint of cucumber, tomato and lettuce production using two cropping systems. J. Clean Prod. 2021, 282, 124517. [Google Scholar] [CrossRef]
- Six, J.; Feller, C.; Denef, K.; Ogle, S.M.; Sá, J.C.M.; Albrecht, A.A. Soil carbon matter, biota and aggregation in temperate and tropical soils: Effects of notillage. Agronomie 2002, 22, 755–775. [Google Scholar] [CrossRef]
- Butterbach-Bahl, K.; Baggs, E.M.; Dannenmann, M.; Kiese, R.; Zechmeister-Boltenstern, S. Nitrous oxide emissions from soils: How well do we understand the processes and their controls? Philos. Trans. R Soc. B Biol. Sci. 2013, 368, 20130122. [Google Scholar] [CrossRef]
- Gao, H.; Tian, H.; Zhang, Z.; Xia, X. Warming-induced greenhouse gas fluxes from global croplands modified by agricultural practices: A meta-analysis. Sci. Total Environ. 2022, 820, 153288. [Google Scholar] [CrossRef]
- Alvares, C.A.; Stape, J.L.; Sentelhas, P.C.; de Moraes Gonçalves, J.L.; Sparovek, G. Köppen’s climate classification map for Brazil. Meteorol. Zeitschrift. 2013, 22, 711–728. [Google Scholar] [CrossRef]
- Soil Survey Staff. Keys to Soil Taxonomy, 13th ed.; USDA Natural Resources Conservation Service: Washington, DC, USA, 2022. [Google Scholar]
- Comissão de Química e Fertilidade do Solo (CQFS-RS/SC). Manual de Adubação e Calagem para os Estados do Rio Grande do Sul e de Santa Catarina, 11th ed.; Sociedade Brasileira de Ciência do Solo: Viçosa, Brazil, 2016. [Google Scholar]
- Teixeira, P.C.; Donagemma, G.K.; Fontana, A.; Teixeira, W.G. (Eds.) Manual de Métodos de Análise de Solo, 3rd ed.; Embrapa: Brasília, Brazil, 2017; 573p. [Google Scholar]
- Tedesco, M.J.; Gianello, C.; Bissani, C.A.; Bohnen, H.; Volkweiss, S.J. Análise de Solo, Plantas e Outros Materiais, 2nd ed.; Departamento de Solos da Universidade Federal do Rio Grande do Sul: Porto Alegre, Brazil, 1995; 174p. [Google Scholar]
- Mosier, A.; Wassmann, R.; Verchot, L.; King, J.; Palm, C. Methane and Nitrogen Oxide Fluxes in Tropical Agricultural Soils: Sources, Sinks and Mechanisms; Springer: Berlin/Heidelberg, Germany, 2004. [Google Scholar]
- Schirmann, J.; De Bastos, D.F.; Weiler, D.A.; Veloso, M.G.; Dieckow, J.; Carvalho, P.C.D.F.; Bayer, C. Nitrous oxide emission factor from cattle urine and dung in native grassland of the Pampa biome, South Brazil. Soil Res. 2020, 58, 198. [Google Scholar] [CrossRef]
- Siqueira Neto, M.; Venzke Filho, S.d.P.; Piccolo, M.d.C.; Cerri, C.E.P.; Cerri, C.C. Rotação de culturas no sistema plantio direto em Tibagi (PR): I-Sequestro de carbono no solo. Rev. Bras. Ciência Do Solo 2009, 33, 1013–1022. [Google Scholar] [CrossRef]
- IPCC. Mudança Climática 2021: A Base das Ciências Físicas; Masson-Delmotte, V., Zhai, P., Pirani, A., Connors, S.L., Péan, C., Berger, S., Caud, N., Chen, Y., Goldfarb, L., Gomis, M.I., et al., Eds.; Cambridge University Press: Cambridge, UK, 2021; 2391p, Available online: https://www.ipcc.ch/report/ar6/wg1 (accessed on 12 December 2024).
- EMBRAPA. Manual de Métodos de Análise de Solos, 2nd ed.; Embrapa Solos: Rio de Janeiro, Brazil, 2011; 230p. [Google Scholar]
- Da Veiga, M. Metodologia Para Coleta de Amostras e Análises Físicas do Solo; Boletim Técnico, 01; Embrapa/CNPSA: Florianópolis, Brazil, 2011. [Google Scholar]
- Sisti, C.P.J.; dos Santos, H.P.; Kohhann, R.; Alves, B.J.R.; Urquiaga, S.; Boddey, R.M. Change in carbon and nitrogen stocks in soil under 13 years of conventional or zero tillage in southern Brazil. Soil Tillage Res. 2004, 76, 39–58. [Google Scholar] [CrossRef]
- Yoder, R.E. A Direct Method of Aggregate Analysis of Soils and a Study of the Physical Nature of Erosion Losses. Agron. J. 1936, 28, 337–351. [Google Scholar] [CrossRef]
- Loss, A.; Basso, A.; Oliveira, B.S.; de Paula Koucher, L.; de Oliveira, R.A.; Kurtz, C.; Lovato, P.E.; Curmi, P.; Brunetto, G.; Comin, J.J. Total organic carbon and soil aggregation under a no-tillage agroecological system and conventional tillage system for onion. Rev. Bras. Cienc. Do Solo 2015, 39, 1212–1224. [Google Scholar] [CrossRef]
- Ferreira, D.F. Sisvar: A Computer Analysis System To Fixed Effects Split Plot Type Designs. Rev. Bras. Biom. 2019, 37, 529–535. [Google Scholar] [CrossRef]
- Dodge, Y. Least Significant Difference Test, 1st ed.; Springer: New York, NY, USA, 2008. [Google Scholar] [CrossRef]
- Loss, A.; Ferreira, L.B.; Gonzatto, R.; Giumbelli, L.D.; Mafra, Á.L.; Goedel, A.; Kurtz, C. Efeito da sucessão ou rotação de culturas sobre a fertilidade do solo após sete anos de cultivo com cebola. Braz. J. Dev. 2020, 6, 16587–16606. [Google Scholar] [CrossRef]
- Wolschick, N.; Tondello Barbosa, F.; Bertol, I.; Fiorentin dos Santos, K.; de Souza Werner, R.; Bagio, B. Cobertura do solo, produção de biomassa e acúmulo de nutrientes por plantas de cobertura. Rev. Ciências Agroveterinárias 2016, 15, 134–143. [Google Scholar] [CrossRef][Green Version]
- Giumbelli, L.D.; Loss, A.; Kurtz, C.; Mafra, Á.L.; Piccolo, M.D.C.; Torres, J.L.R.; Lourenzi, C.R.; Brunetto, G.; Comin, J.J. Combinations of Plant Species for Rotation With Onion Crops: Effects on the Light Fraction, Carbon, and Nitrogen Contents in Granulometric Fractions of the Soil Organic Matter. J. Agric. Stud. 2021, 9, 202. [Google Scholar] [CrossRef]
- Prasad, J.V.N.S.; Rao, C.S.; Srinivas, K.; Jyothi, C.N.; Venkateswarlu, B.; Ramachandrappa, B.K.; Dhanapal, G.N.; Ravichandra, K.; Mishra, P.K. Effect of ten years of reduced tillage and recycling of organic matter on crop yields, soil organic carbon and its fractions in Alfisols of semi arid tropics of southern India. Soil Tillage Res. 2016, 156, 131–139. [Google Scholar] [CrossRef]
- Lima, C.E.; Guedes ítalo, M.R.; da Silva, J.; Alcântara, F.A.; Madeira, N.R.; Carvalho, A.D.F.; Fontenelle, M.R. Effects of Five Years Adoption of No-Tillage Systems for Vegetables Crops in Soil Organic Matter Contents. Agric. Sci. 2018, 9, 117–128. [Google Scholar] [CrossRef]
- Bayer, C.; Martin-Neto, L.; Mielniczuk, J.; Pavinato, A. Armazenamento de carbono em frações lábeis da matéria orgânica de um Latossolo Vermelho sob plantio direto. Pesqui Agropecuária Bras. 2004, 39, 677–683. [Google Scholar] [CrossRef]
- Palosuo, T.; Heikkinen, J.; Hilasvuori, E.; Kulmala, L.; Launiainen, S.; Lehtilä, A.; Liski, J. Demands and possibilities for field-scale estimation of agricultural greenhouse gas balances. Catena 2025, 249, 108649. [Google Scholar] [CrossRef]
- Assouline, S. Bulk Density of Soils and Impact on Their Hydraulic Properties. In Série Enciclopédia de Ciências da Terra; Springer: Berlin/Heidelberg, Germany, 2011; pp. 95–100. [Google Scholar] [CrossRef]
- Scavo, A.; Fontanazza, S.; Restuccia, A.; Pesce, G.R.; Abbate, C.; Mauromicale, G. The role of cover crops in improving soil fertility and plant nutritional status in temperate climates. A review. Agron. Sustain. Dev. 2022, 42, 93. [Google Scholar] [CrossRef]
- Guedes Filho, O.; da Silva, A.P.; Giarola, N.F.B.; Tormena, C.A. Structural properties of the soil seedbed submitted to mechanical and biological chiseling under no-tillage. Geoderma 2013, 204–205, 94–101. [Google Scholar] [CrossRef]
- Bassoi, L.H.; Soares, J.M. Relação Solo-Água-Planta. In Fruticultura Irrigada, 1st ed.; EMBRAPA: Brasília, Brazil, 2011; pp. 27–35. [Google Scholar]
- Thomazini, A.; Mendonça, E.S.; Souza, J.L.; Cardoso, I.M.; Garbin, M.L. Impact of organic no-till vegetables systems on soil organic matter in the Atlantic Forest biome. Sci. Hortic. 2015, 182, 145–155. [Google Scholar] [CrossRef]
- Freidenreich, A.; Dattamudi, S.; Li, Y.C.; Jayachandran, K. Soil Respiration and Carbon Balance Under Cover Crop in a no-Till Tropical Fruit Orchard. Front. Environ. Sci. 2021, 9, 766638. [Google Scholar] [CrossRef]
- Wang, Y.; Zhang, W.; Li, T.; Wang, C.; Zhao, X.; Cai, Z. Nitrous oxide emissions and denitrifier abundance in two agricultural soils amended with crop residues and urea in the North China Plain. Soil Tillage Res. 2022, 215, 105214. [Google Scholar] [CrossRef]
- Santos, T.d.L.; Barros, V.d.S.; Figueirêdo MCBd Nunes, A.B.d.A.; Gondim, R.S.; Silva, E.d.O.; Aragão, F.A.S.d.; Sousa, J.A.d. Pegada de Carbono de Produtos Agrícolas: Estudo de caso do Melão; Embrapa Agroindústria Tropical: Fortaleza, Brazil, 2013; 36p, Documentos/Embrapa Agroindústria Tropical, 143; Available online: https://www.infoteca.cnptia.embrapa.br/infoteca/handle/doc/982137 (accessed on 10 January 2025).
- Abdalla, M.; Hastings, A.; Cheng, K.; Yue, Q.; Chadwick, D.; Espenberg, M.; Truu, J.; Rees, R.M.; Smith, P. A critical review of the impacts of cover crops on nitrogen leaching, net greenhouse gas balance and crop productivity. Glob. Change Biol. 2019, 25, 2530–2543. [Google Scholar] [CrossRef] [PubMed]
- Tariq, A.; Menheere, N.; Gao, Y.; Brown, S.; Van Eerd, L.L.; Lauzon, J.D.; Bruun, S.; Wagner-Riddle, C. Increased N2O emissions by cover crops in a diverse crop rotation can be mediated with dual nitrification and urease inhibitors. Agric. Ecosyst. Environ. 2024, 374, 109178. [Google Scholar] [CrossRef]
- Lam, S.K.; Goodrich, J.P.; Liang, X.; Zhang, Y.; Pan, B.; Schipper, L.A.; Sulaeman, Y.; Nelson, L.; Chen, D. Mitigating soil greenhouse-gas emissions from land-use change in tropical peatlands. Front. Ecol. Environ. 2022, 20, 352–360. [Google Scholar] [CrossRef]
- La Scala, N.; Bolonhezi, D.; Pereira, G.T. Short-term soil CO2 emission after conventional and reduced tillage of a no-till sugar cane area in southern Brazil. Soil Tillage Res. 2006, 91, 244–248. [Google Scholar] [CrossRef]
- Smith, K.A.; Ball, T.; Conen, F.; Dobbie, K.E.; Massheder, J.; Rey, A. Exchange of greenhouse gases between soil and atmosphere: Interactions of soil physical factors and biological processes. Eur. J. Soil Sci. 2018, 69, 10–20. [Google Scholar] [CrossRef]
- Teixeira, C.E.; Torves, J.C.; Finotti, A.R.; Fedrizzi, F.; Marinho, F.A.M.; Teixeira, P.F. Estudos sobre a oxidação aeróbia do metano na cobertura de três aterros sanitários no Brasil. Eng. Sanit. E Ambient. 2009, 14, 99–108. [Google Scholar] [CrossRef]
- Vasconcelos, A.L.S.; Cherubin, M.R.; Feigl, B.J.; Cerri, C.E.P.; Gmach, M.R.; Siqueira-Neto, M. Greenhouse gas emission responses to sugarcane straw removal. Biomass Bioenergy 2018, 113, 15–21. [Google Scholar] [CrossRef]
- Song, H.J.; Lee, J.H.; Jeong, H.-C.; Choi, E.-J.; Oh, T.-K.; Hong, C.-O.; Kim, P.J. Effect of straw incorporation on methane emission in rice paddy: Conversion factor and smart straw management. Appl. Biol. Chem. 2019, 62, 70. [Google Scholar] [CrossRef]
- Filho, O.F.d.L.; Ambrosano, E.J.; Wutke, E.B.; Rossi, F.; Carlos, J.A.D. Adubação Verde e Plantas de Cobertura no Brasil: Fundamentos e prática, 1st ed.; EMBRAPA: Brasília, Brazil, 2014. [Google Scholar]
- Da Silva, R. Potencial da Mucuna Preta Como Adubo Verde Para o Arroz-de-Sequeiro em Latossolo Amarelo da Amazônia; Universidade de São Paulo: Piracicaba, Brazil, 2020. [Google Scholar] [CrossRef]
- Shao, H. Agricultural greenhouse gas emissions, fertilizer consumption, and technological innovation: A comprehensive quantile analysis. Sci. Total Environ. 2024, 926, 171979. [Google Scholar] [CrossRef] [PubMed]
- McClelland, S.C.; Paustian, K.; Schipanski, M.E. Management of cover crops in temperate climates influences soil organic carbon stocks: A meta-analysis. Ecol. Appl. 2021, 31, e02278. [Google Scholar] [CrossRef] [PubMed]
- Li, H.; Tan, X.; Guo, J.; Zhu, K.; Huang, C. Study on an Implementation Scheme of Synergistic Emission Reduction of CO2 and Air Pollutants in China’s Steel Industry. Sustainability 2019, 11, 352. [Google Scholar] [CrossRef]
- Rigon, J.P.G.; Calonego, J.C.; Pivetta, L.A.; Castoldi, G.; Raphael, J.P.A.; Rosolem, C.A. Using cover crops to offset greenhouse gas emissions from a tropical soil under no-till. Exp. Agric. 2021, 57, 217–231. [Google Scholar] [CrossRef]
















| N-P-K Fertilizer Application | GHG Emission Sampling in the Cauliflower Cycle | |||||||
|---|---|---|---|---|---|---|---|---|
| 0 | 1 | 3 | 7 | 10 | 14 | 21 | 28 | |
| Seedling transplant | 17 November 2021 | |||||||
| 7 DAT | 25 November 2021 | 26 November 2021 | 29 November 2021 | 3 December 2021 | 7 December 2021 | |||
| 21 DAT | 9 December 2021 | 10 December 2021 | 14 December 2021 | 20 December 2021 | 23 December 2021 | |||
| 40 DAT | 27 December 2021 | 28 December 2021 | 30 December 2021 | 3 January 2022 | 6 January 2022 | 10 January 2022 | 17 January 2022 | 26 January 2022 |
| Treatments | TOC Content (g kg−1) | TOC Stock (Mg ha−1) | |||||
|---|---|---|---|---|---|---|---|
| Layers (cm) | |||||||
| 0–5 | 5–10 | 10–30 | 0–5 | 5–10 | 10–30 | 0–30 | |
| CTS | 28.6 b | 26.8 b | 27.5 a | 13.03 b | 13.45 b | 54.96 b | 81.44 b |
| NTVS | 52.7 a | 34.3 a | 29.8 a | 18.65 a | 18.23 a | 66.62 a | 103.50 a |
| CV% | 18.61 | 11.08 | 38.95 | 22.31 | 16.68 | 32.23 | 33.84 |
| TN content (g kg−1) | TN stock (Mg ha−1) | ||||||
| CTS | 2.60 b | 2.31 b | 2.30 a | 1.19 b | 1.18 a | 4.86 b | 7.25 b |
| NTVS | 4.82 a | 3.02 a | 2.53 a | 2.65 a | 1.68 a | 5.57 a | 9.89 a |
| CV% | 18.55 | 9.03 | 33.28 | 12.02 | 8.51 | 14.32 | 19.28 |
| Treatments | MGD (mm) | SD (g cm3) | VM (cm3 cm3) | ||||||
|---|---|---|---|---|---|---|---|---|---|
| Soil Layers (cm) | |||||||||
| 0–5 | 5–10 | 10–30 | 0–5 | 5–10 | 10–30 | 0–5 | 5–10 | 10–30 | |
| CTS | 2.03 b | 2.03 b | 2.25 b | 1.22 a | 1.28 a | 1.28 a | 0.25 b | 0.29 b | 0.37 b |
| NTVS | 3.17 a | 4.01 a | 4.13 a | 0.91 b | 1.00 b | 1.23 a | 0.35 a | 0.38 a | 0.44 a |
| CV% | 10.48 | 10.35 | 9.72 | 4.01 | 4.30 | 3.72 | 5.02 | 6.12 | 4.10 |
Disclaimer/Publisher’s Note: The statements, opinions and data contained in all publications are solely those of the individual author(s) and contributor(s) and not of MDPI and/or the editor(s). MDPI and/or the editor(s) disclaim responsibility for any injury to people or property resulting from any ideas, methods, instructions or products referred to in the content. |
© 2025 by the authors. Licensee MDPI, Basel, Switzerland. This article is an open access article distributed under the terms and conditions of the Creative Commons Attribution (CC BY) license (https://creativecommons.org/licenses/by/4.0/).
Share and Cite
Dutra, B.d.R.; da Silva Câmara, P.H.; Dortzbach, D.; Rauber, L.R.; Giumbelli, L.D.; Bayer, C.; Zanella, M.; Ramos, J.C.; Torres, J.L.R.; Lovato, P.E.; et al. On-Farm Evaluation of Direct Seeding of Cover Crop Effects on Soil C and N Reserves and Greenhouse Gas Emissions in a Cauliflower Production System. Horticulturae 2025, 11, 396. https://doi.org/10.3390/horticulturae11040396
Dutra BdR, da Silva Câmara PH, Dortzbach D, Rauber LR, Giumbelli LD, Bayer C, Zanella M, Ramos JC, Torres JLR, Lovato PE, et al. On-Farm Evaluation of Direct Seeding of Cover Crop Effects on Soil C and N Reserves and Greenhouse Gas Emissions in a Cauliflower Production System. Horticulturae. 2025; 11(4):396. https://doi.org/10.3390/horticulturae11040396
Chicago/Turabian StyleDutra, Bruna da Rosa, Paulo Henrique da Silva Câmara, Denílson Dortzbach, Lucas Raimundo Rauber, Lucas Dupont Giumbelli, Cimélio Bayer, Marcelo Zanella, Júlio César Ramos, José Luiz Rodrigues Torres, Paulo Emílio Lovato, and et al. 2025. "On-Farm Evaluation of Direct Seeding of Cover Crop Effects on Soil C and N Reserves and Greenhouse Gas Emissions in a Cauliflower Production System" Horticulturae 11, no. 4: 396. https://doi.org/10.3390/horticulturae11040396
APA StyleDutra, B. d. R., da Silva Câmara, P. H., Dortzbach, D., Rauber, L. R., Giumbelli, L. D., Bayer, C., Zanella, M., Ramos, J. C., Torres, J. L. R., Lovato, P. E., & Loss, A. (2025). On-Farm Evaluation of Direct Seeding of Cover Crop Effects on Soil C and N Reserves and Greenhouse Gas Emissions in a Cauliflower Production System. Horticulturae, 11(4), 396. https://doi.org/10.3390/horticulturae11040396

