A Photomixotrophic System to Improve the Growth of In Vitro-Cultured Seedlings of Coconut (Cocos nucifera L.)
Abstract
1. Introduction
2. Materials and Methods
2.1. Plant Material Preparation
2.2. Design of the Experimental Apparatus
2.3. The Liquid Culture Medium
2.4. Seedling Preparation
2.5. Experiment 1: Influence of Atmospheric CO2 Concentration and Light Intensity
2.6. Experiment 2: Influence of Light Quality and Photoperiod
2.7. Experiment 3: Influence of CO2 Applied at Different Stages of Seedling Development
2.8. Measurements
2.9. Statistical Analysis
3. Results
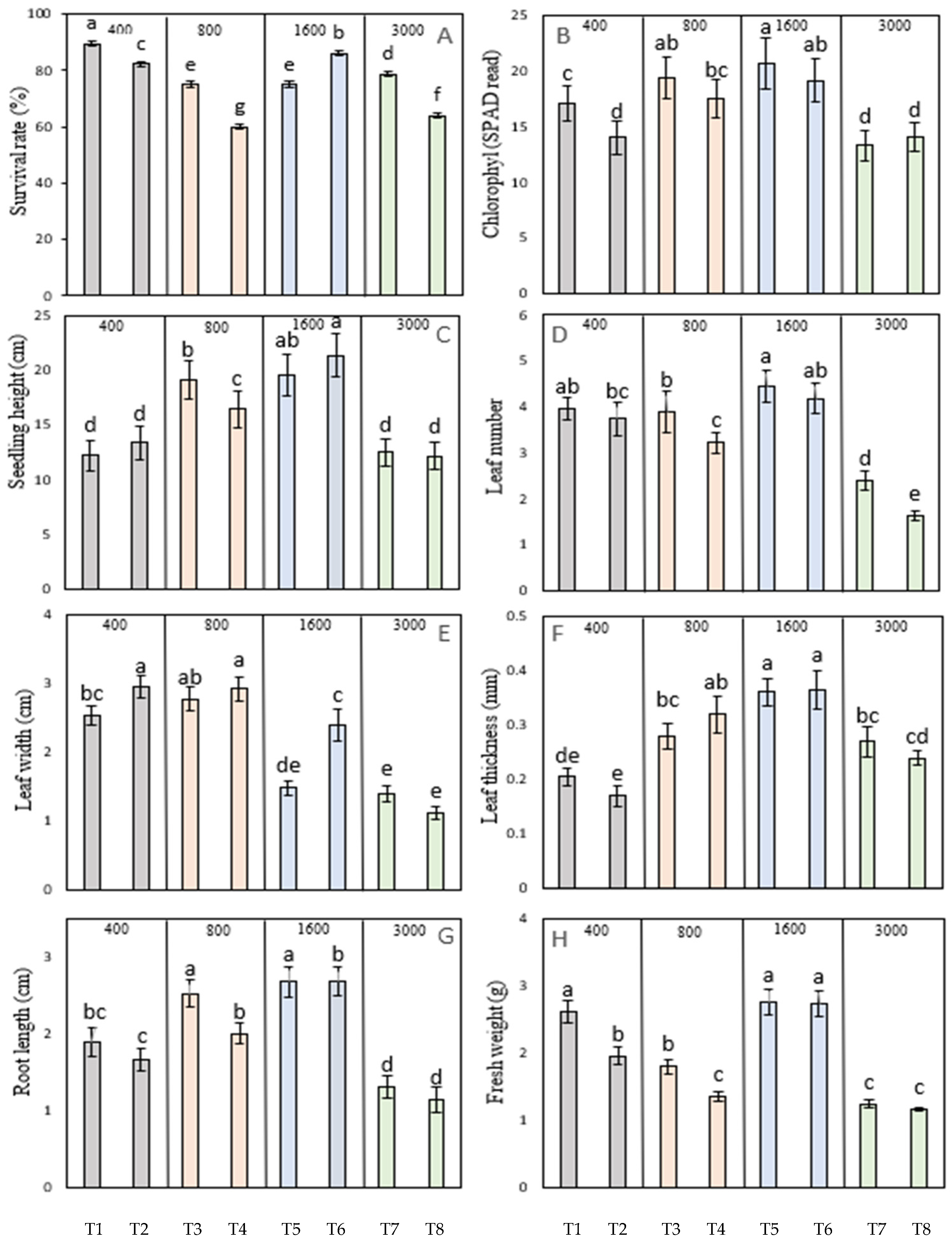
3.1. Atmospheric CO2 Concentration and Light Intensity on Acclimatization
3.2. Influence of Light Quality and Photoperiod on Acclimatization
3.3. Influence of CO2 Applied at Different Stages of Seedling Development to Accelerate the Acclimatization Process
4. Discussion
5. Conclusions
Author Contributions
Funding
Data Availability Statement
Acknowledgments
Conflicts of Interest
References
- Mu, Z.; Tran, B.-M.; Xu, H.; Yang, Z.; Qamar, U.Z.; Wang, X.; Xiao, Y.; Luo, J. Exploring the potential application of coconut water in healthcare and biotechnology: A review. Beverage Plant Res. 2024, 4, e018. [Google Scholar] [CrossRef]
- Mu, Z.; Yang, S.; Xu, H.; Yang, Z.; Haque, M.M.; Tran, B.-M.; Chen, J.; Wang, X.; Peng, H.; Luo, J. The Influence of Maturity, Storage, and Embryo Size on Coconut Callus Induction Success. Forests 2024, 15, 764. [Google Scholar] [CrossRef]
- Cueto, C.; Rivera, R.; Kim, H.; Kong, H.; Baek, H.; Sebastian, L.; Park, H. Development of cryopreservation protocols for cryobanks of coconut zygotic embryos. Acta Hortic. 2014, 1039, 297–302. [Google Scholar] [CrossRef]
- Pospíšilová, J.; Synková, H.; Haisel, D.; Semorádová, S. Acclimation of Plantlets to Ex Vitro Conditions: Effects of Air Humidity, Irradiance, CO2 Concentration and Abscisic Acid (a Review). Acta Hortic. 2007, 748, 29–38. [Google Scholar] [CrossRef]
- Mu, Z.; Guo, X.; Biddle, J.; Foale, M.; Li, Z.; Adkins, S. A Newly Designed Chamber for the Acclimatization of Coconut Plantlets Coming from In Vitro. In Vitro Cell. Dev. Biol.-Anim. 2020, 56, 44. [Google Scholar]
- Triques, K.; Rival, A.; Beulé, T.; Dussert, S.; Hocher, V.; Verdeil, J.-L.; Hamon, S. Developmental changes in carboxylase activities in in vitro cultured coconut zygotic embryos: Comparison with corresponding activities in seedlings. Plant Cell Tissue Organ Cult. 1997, 49, 227–231. [Google Scholar] [CrossRef]
- Kozai, T.; Kubota, C. Developing a photoautotrophic micropropagation system for woody plants. J. Plant Res. 2001, 114, 525–537. [Google Scholar] [CrossRef]
- Nguyen, Q.T.; Kozai, T.; Van Nguyen, U. Effects of sucrose concentration, supporting material and number of air exchanges of the vessel on the growth of in vitro coffee plantlets. Plant Cell Tissue Organ Cult. 1999, 58, 51–57. [Google Scholar] [CrossRef]
- Mu, Z. Overcoming Bottlenecks in the Pathway of Clonal Propagation of Coconut (Cocos nucifera L.). Ph.D. Thesis, The University of Queensland, St Lucia, QLD, Australia, 2022. [Google Scholar]
- Jao, R.-C.; Fang, W. Growth of potato plantlets in vitro is different when provided concurrent versus alternating blue and red light photoperiods. HortScience 2004, 39, 380–382. [Google Scholar] [CrossRef]
- Seelye, J.F.; Mullan, A.C. Light-Emitting Diode Lights: The Future of Plant Lighting©. In Combined Proceedings of the International Plant Propagators’ Society; International Plant Propagator’s Society: Monroe, LA, USA, 2010; Volume 60, p. 172. [Google Scholar]
- Al-Mayahi, A.M.W. Effect of red and blue light emitting diodes “CRB-LED” on in vitro organogenesis of date palm (Phoenix dactylifera L.) cv. Alshakr. World J. Microbiol. Biotechnol. 2016, 32, 160. [Google Scholar] [CrossRef] [PubMed]
- Al-Khayri, J.M.; Naik, P.M. Date palm micropropagation: Advances and applications. Cienc. E Agrotecnologia 2017, 41, 347–358. [Google Scholar] [CrossRef]
- Heringer, A.S.; Steinmacher, D.A.; Fraga, H.P.; Vieira, L.N.; Montagna, T.; Quinga, L.A.; Quoirin, M.G.; Jiménez, V.M.; Guerra, M.P. Improved high-efficiency protocol for somatic embryogenesis in peach palm (Bactris gasipaes Kunth) using RITA® temporary immersion system. Sci. Hortic. 2014, 179, 284–292. [Google Scholar] [CrossRef]
- Jain, S.M.; Al-Khayri, J.M.; Johnson, D.V. Date Palm Biotechnology; Springer Science & Business Media: Berlin/Heidelberg, Germany, 2011. [Google Scholar]
- Zayed, Z.E. Enhanced indirect somatic embryogenesis from shoot-tip explants of date palm by gradual reductions of 2, 4-D concentration. In Date Palm Biotechnology Protocols Volume I; Springer: Berlin/Heidelberg, Germany, 2017; pp. 77–88. [Google Scholar]
- Gomes, H.T.; Bartos, P.M.C.; Balzon, T.A.; Scherwinski-Pereira, J.E. Regeneration of somatic embryos of oil palm (Elaeis guineensis) using temporary immersion bioreactors. Ind. Crops Prod. 2016, 89, 244–249. [Google Scholar] [CrossRef]
- Samosir, Y.M.S.; Adkins, S. Improving acclimatization through the photoautotrophic culture of coconut (Cocos nucifera) seedlings: An in vitro system for the efficient exchange of germplasm. Vitr. Cell. Dev. Biol.-Plant 2014, 50, 493–501. [Google Scholar] [CrossRef]
- Nguyen, Q.T.; Kozai, T.; Niu, G.; Van Nguyen, U. Photosynthetic characteristics of coffee (Coffea arabusta) plantlets in vitro in response to different CO2 concentrations and light intensities. Plant Cell Tissue Organ Cult. 1998, 55, 133–139. [Google Scholar] [CrossRef]
- Khan, P.S.V.; Kozai, T.; Nguyen, Q.; Kubota, C.; Dhawan, V. Growth and net photosynthetic rates of Eucalyptus tereticornis Smith under photomixotrophic and various photoautotrophic micropropagation conditions. Plant Cell Tissue Organ Cult. 2002, 71, 141–146. [Google Scholar] [CrossRef]
- Afreen, F.; Zobayed, S.M.A.; Kozai, T. Photoautotrophic culture of Coffea arabusta somatic embryos: Development of a bioreactor for large-scale plantlet conversion from cotyledonary embryos. Ann. Bot. 2002, 90, 21–29. [Google Scholar] [CrossRef] [PubMed]
- Tanaka, A.; Tanaka, R. Chlorophyll metabolism. Curr. Opin. Plant Biol. 2006, 9, 248–255. [Google Scholar] [CrossRef] [PubMed]
- Apel, P. Influence of CO2 on stomatal numbers. Biol. Plant. 1989, 31, 72–74. [Google Scholar] [CrossRef]
- Zobayed, S.M.A.; Kubota, C.; Kozai, T. Mass propagation of Eucalyptus camaldulensis in a scaled-up vessel under in vitro photoautotrophic condition. Ann. Bot. 2000, 85, 587–592. [Google Scholar] [CrossRef]
- Nguyen, Q.T.; Kozai, T. Growth of In vitro banana (Musa spp.) shoots under photomixotrophic and photoautotrophic conditions. Vitr. Cell. Dev. Biol.-Plant 2001, 37, 824–829. [Google Scholar] [CrossRef]
- Kirdmanee, C.; Kitaya, Y.; Kozai, T. Effects of CO2 enrichment and supporting materialin vitro on photoautotrophic growth ofEucalyptus plantlets in vitro andex vitro. In Vitro Cell. Dev. Biol.-Plant 1995, 31, 144–149. [Google Scholar] [CrossRef]
- Krishna, H.; Singh, S.; Sharma, R.; Khawale; Grover, M.; Patel, V. Biochemical changes in micropropagated grape (Vitis vinifera L.) plantlets due to arbuscular-mycorrhizal fungi (AMF) inoculation during ex vitro acclimatization. Sci. Hortic. 2005, 106, 554–567. [Google Scholar] [CrossRef]
- Aragón, C.E.; Escalona, M.; Capote, I.; Pina, D.; Cejas, I.; Rodriguez, R.; Cañal, M.J.; Sandoval, J.; Roels, S.; Debergh, P.; et al. Photosynthesis and carbon metabolism in plantain (Musa AAB) plantlets growing in temporary immersion bioreactors and during ex vitro acclimatization. In Vitro Cell. Dev. Biol.-Plant 2005, 41, 550–554. [Google Scholar] [CrossRef]
- Pospíšilová, J.; Wilhelmová, N.A.; Synkova, H.; Čatský, J.; Krebs, D.; Ticha, I.; Hanáčková, B.; Snopek, J. Acclimation of tobacco plantlets to ex vitro conditions as affected by application of abscisic acid. J. Exp. Bot. 1998, 49, 863–869. [Google Scholar] [CrossRef]
- Estrada-Luna, A.A.; Davies, F.T., Jr. Arbuscular mycorrhizal fungi influence water relations, gas exchange, abscisic acid and growth of micropropagated chile ancho pepper (Capsicum annuum) plantlets during acclimatization and post-acclimatization. J. Plant Physiol. 2003, 160, 1073–1083. [Google Scholar] [CrossRef] [PubMed]
- Zuo, W.-Y.; He, J.-S.; Han, M.; Ji, C.-J.; Flynn, D.F.; Fang, J.-Y. Responses of plant stomata to elevated CO2 and temperature: Observations from 10 plant species grown in temperature and CO2 gradients. Acta Ecol. Sin. 2005, 25, 565–574. [Google Scholar]
- Olle, M.; Viršile, A. The effects of light-emitting diode lighting on greenhouse plant growth and quality. Agric. Food Sci. 2013, 22, 223–234. [Google Scholar] [CrossRef]
- Assy Bah, B.; Durand-Gasselin, T.; Pannetier, C. Use of zygotic embryo culture to collect germplasm of coconut (Cocos nucifera L.) 1987. Available online: https://agritrop.cirad.fr/438165/ (accessed on 4 November 2024).
- Sáenz, L.; Chan, J.L.; Narvaez, M.; Oropeza, C. Protocol for the Micropropagation of Coconut from Plumule Explants. In Plant Cell Culture Protocols; Springer: Berlin/Heidelberg, Germany, 2018; pp. 161–170. [Google Scholar]
- Khierallah, H.S.; Bader, S.M. Micropropagation of date palm (Phoenix dactylifera L.) var. Maktoom through direct organogenesis. II Int. Date Palm Conf. 2006, 736, 213–224. [Google Scholar] [CrossRef]





| Treatments | CO2 (μmol mol−1) | Light Intensity (μmol m−2 s−1) |
|---|---|---|
| T1 (Control) | 400 ± 50 | 300 ± 20 |
| T2 | 600 ± 20 | |
| T3 | 800 ± 50 | 300 ± 20 |
| T4 | 600 ± 20 | |
| T5 | 1600 ± 50 | 300 ± 20 |
| T6 | 600 ± 20 | |
| T7 | 3000 ± 50 | 300 ± 20 |
| T8 | 600 ± 20 |
| Treatment | Photoperiod (Light/Dark) | Light Quality (%) |
|---|---|---|
| T1 (Control) | 14/10 | White (100) |
| T2 | Red (30) + Blue (70) | |
| T3 | Red (50) + Blue (50) | |
| T4 | Red (70) + Blue (30) | |
| T5 | 24/0 | White (100) |
| T6 | Red (30) + Blue (70) | |
| T7 | Red (50) + Blue (50) | |
| T8 | Red (70) + Blue (30) |
| Treatments | Growth Stage (Months) | CO2 (μmol mol−1) |
|---|---|---|
| T1 (Control) | 4 | 400 ± 50 |
| T2 | 6 | |
| T3 | 7–9 | |
| T4 | 4 | 1600 ± 50 |
| T5 | 6 | |
| T6 | 7–9 |
Disclaimer/Publisher’s Note: The statements, opinions and data contained in all publications are solely those of the individual author(s) and contributor(s) and not of MDPI and/or the editor(s). MDPI and/or the editor(s) disclaim responsibility for any injury to people or property resulting from any ideas, methods, instructions or products referred to in the content. |
© 2025 by the authors. Licensee MDPI, Basel, Switzerland. This article is an open access article distributed under the terms and conditions of the Creative Commons Attribution (CC BY) license (https://creativecommons.org/licenses/by/4.0/).
Share and Cite
Mu, Z.; Li, Z.; Nulu, N.P.C.; Kalaipandian, S.; Biddle, J.M.; Bazrafshan, A.; Kong, E.; Adkins, S.W. A Photomixotrophic System to Improve the Growth of In Vitro-Cultured Seedlings of Coconut (Cocos nucifera L.). Horticulturae 2025, 11, 224. https://doi.org/10.3390/horticulturae11030224
Mu Z, Li Z, Nulu NPC, Kalaipandian S, Biddle JM, Bazrafshan A, Kong E, Adkins SW. A Photomixotrophic System to Improve the Growth of In Vitro-Cultured Seedlings of Coconut (Cocos nucifera L.). Horticulturae. 2025; 11(3):224. https://doi.org/10.3390/horticulturae11030224
Chicago/Turabian StyleMu, Zhihua, Zhiying Li, Naga Prafulla Chandrika Nulu, Sundaravelpandian Kalaipandian, Julianne M. Biddle, Amirhossein Bazrafshan, Eveline Kong, and Steve W. Adkins. 2025. "A Photomixotrophic System to Improve the Growth of In Vitro-Cultured Seedlings of Coconut (Cocos nucifera L.)" Horticulturae 11, no. 3: 224. https://doi.org/10.3390/horticulturae11030224
APA StyleMu, Z., Li, Z., Nulu, N. P. C., Kalaipandian, S., Biddle, J. M., Bazrafshan, A., Kong, E., & Adkins, S. W. (2025). A Photomixotrophic System to Improve the Growth of In Vitro-Cultured Seedlings of Coconut (Cocos nucifera L.). Horticulturae, 11(3), 224. https://doi.org/10.3390/horticulturae11030224

