Optimizing Peat and Wood Fiber Blends: Impacts of Liming and Fertilization on Growth of Petunia (Petunia x hybrida Vilm.) and Basil (Ocimum basilicum L.)
Abstract
1. Introduction
2. Materials and Methods
2.1. Experiment 1: Effects of Liming on Wood Fiber/Peat Blends
2.2. Experiment 2: Effect of Liming and Start Fertilizer on Wood Fiber/Peat Blends
2.3. Statistical Analysis
3. Results
3.1. Experiment 1: Effects of Liming on Wood Fiber/Peat Blends
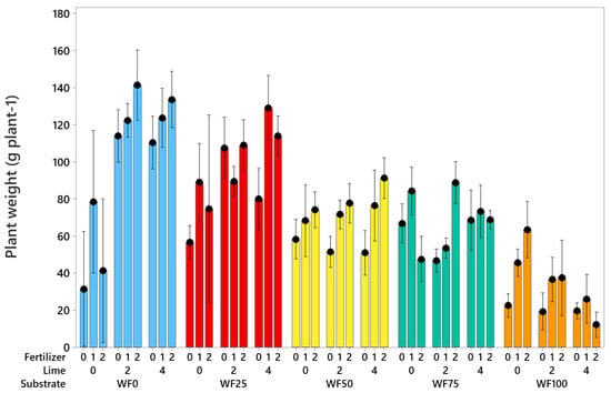
3.2. Experiment 2: Effect of Liming and Start Fertilizer on Wood Fiber/Peat Blends
4. Discussion
5. Conclusions
- Petunia performance: Petunia plants thrived in substrates with higher peat content, while higher wood fiber content increased the risk of chlorosis. Optimal growth was observed with substantial initial fertilization in substrates with 25% or 0% wood fiber, with no lime added.
- Basil growth: Basil plants showed flexibility across a pH range of 5–7, regardless of substrate type. Lack of liming led to growth retardation, particularly in substrates with higher peat content.
- pH dynamics: A rapid increase in pH was observed in substrates with high wood fiber content (more than 50%) where no lime was applied, suggesting the leaching of acidic compounds during initial irrigation. This is likely due to the release of various acids from steam-exploded wood fiber.
- EC measurement methods: Comparing the pour-through and press methods for measuring electrical conductivity (EC), the press method generally provided higher EC values. This suggests that the pour-through method may underestimate nutrient availability in substrates with high wood fiber content, with consistency improving with higher peat content.
Supplementary Materials
Author Contributions
Funding
Data Availability Statement
Conflicts of Interest
References
- Nelson, P. Greenhouse Operation and Management, 7th ed.; Prentice Hall: Englewood Cliffs, NJ, USA, 2012. [Google Scholar]
- Owen, W.G.; Jackson, B.E.; Fonteno, W.C.; Whipker, B.E. Liming Requirements of Greenhouse Peat-based Substrates Amended with Pine Wood Chips as a Perlite Alternative. HortTechnology 2020, 30, 219–230. [Google Scholar] [CrossRef]
- Schafer, G.; Lerner, B.L. Physical and chemical characteristics and analysis of plant substrate. Ornam. Hortic. 2022, 28, 181–192. [Google Scholar] [CrossRef]
- Hirschler, O.; Osterburg, B.; Weimar, H.; Glasenapp, S.; Ohmes, M.-F. Peat Replacement in Horticultural Growing Media: Availability of Bio-Based Alternative Materials. Thünen Working Paper, 1 March 2022. [Google Scholar]
- Gruda, N.S. Increasing sustainability of growing media constituents and stand-alone substrates in soilless culture systems. Agronomy 2019, 9, 298. [Google Scholar] [CrossRef]
- Woznicki, T.; Jackson, B.E.; Sønsteby, A.; Kusnierek, K. Wood Fiber from Norway Spruce—A Stand-Alone Growing Medium for Hydroponic Strawberry Production. Horticulturae 2023, 9, 815. [Google Scholar] [CrossRef]
- Woznicki, T.; Kusnierek, K.; Roos, U.; Andersen, S.; Zimmer, K.; Sønsteby, A. Exploration of alternative growing media in strawberry production with focus on wood fiber from Norway spruce. In Proceedings of the III International Symposium on Growing Media, Composting and Substrate Analysis 1305, Milan, Italy, 24–28 June 2019; pp. 15–22. [Google Scholar]
- Woznicki, T.; Kusnierek, K.; Vandecasteele, B.; Sønsteby, A. Reuse of coir, peat, and wood fiber in strawberry production. Front. Plant Sci. 2024, 14, 1307240. [Google Scholar] [CrossRef] [PubMed]
- Aurdal, S.M.; Woznicki, T.L.; Haraldsen, T.K.; Kusnierek, K.; Sønsteby, A.; Remberg, S.F. Wood Fiber-Based Growing Media for Strawberry Cultivation: Effects of Incorporation of Peat and Compost. Horticulturae 2022, 9, 36. [Google Scholar] [CrossRef]
- Jackson, B.E.; Wright, R.D.; Gruda, N. Container medium pH in a pine tree substrate amended with peatmoss and dolomitic limestone affects plant growth. HortScience 2009, 44, 1983–1987. [Google Scholar] [CrossRef]
- Gruda, N.; Schnitzler, W. Wood fiber substrates as a peat alternative for vegetable productions. Holz Als Roh-Und Werkst. 2006, 64, 347–350. [Google Scholar] [CrossRef]
- Carlile, W.; Cattivello, C.; Zaccheo, P. Organic growing media: Constituents and properties. Vadose Zone J. 2015, 14, 1–13. [Google Scholar] [CrossRef]
- Wright, R.D. The pour-through nutrient extraction procedure. HortScience 1986, 21, 227–229. [Google Scholar] [CrossRef]
- Scoggins, H.L.; Bailey, D.A.; Nelson, P.V. Development of the press extraction method for plug substrate analysis: Quantitative relationships between solution extraction techniques. HortScience 2001, 36, 918–921. [Google Scholar] [CrossRef]
- Greenland, S.; Senn, S.J.; Rothman, K.J.; Carlin, J.B.; Poole, C.; Goodman, S.N.; Altman, D.G. Statistical tests, P values, confidence intervals, and power: A guide to misinterpretations. Eur. J. Epidemiol. 2016, 31, 337–350. [Google Scholar] [CrossRef] [PubMed]
- Owen, W.G.H.J.; Whipker, B. Fert, Dirt, and Squirt: Monitoring pH and EC of Greenhouse Crops. E-Gro Diagn. Ser. 2018, 12. Available online: http://www.fertdirtandsquirt.com/books.php (accessed on 20 May 2024).
- Fain, G.B.; Gilliam, C.H.; Sibley, J.L.; Boyer, C.R.; Witcher, A.L. Wholetree substrate and fertilizer rate in production of greenhouse-grown petunia (Petunia × hybrida Vilm.) and marigold (Tagetes patula L.). HortScience 2008, 43, 700–705. [Google Scholar] [CrossRef]
- Wright, R.D.; Browder, J.F. Chipped pine logs: A potential substrate for greenhouse and nursery crops. HortScience 2005, 40, 1513–1515. [Google Scholar] [CrossRef]
- Dickson, R.W.; Helms, K.M.; Jackson, B.E.; Machesney, L.M.; Lee, J.A. Evaluation of Peat Blended with Pine Wood Components for Effects on Substrate Physical Properties, Nitrogen Immobilization, and Growth of Petunia (Petunia × hybrida Vilm.-Andr.). HortScience 2022, 57, 304–311. [Google Scholar] [CrossRef]
- Dickson, R.W.; Fisher, P.R.; Argo, W.R. Quantifying the Acidic and Basic Effects of Fifteen Floriculture Species Grown in Peat-based Substrate. HortScience 2017, 52, 1065–1072. [Google Scholar] [CrossRef]
- Sundqvist, B.; Karlsson, O.; Westermark, U. Determination of formic-acid and acetic acid concentrations formed during hydrothermal treatment of birch wood and its relation to colour, strength and hardness. Wood Sci. Technol. 2006, 40, 549–561. [Google Scholar] [CrossRef]
- Verhagen, H.; Geuijen, I. RHP pH buffer test on growing media constituents. In Proceedings of the I International Symposium on Growing Media, Compost Utilization and Substrate Analysis for Soilless Cultivation 1389, Quebec, QC, Canada, 11–15 June 2023. [Google Scholar]










Disclaimer/Publisher’s Note: The statements, opinions and data contained in all publications are solely those of the individual author(s) and contributor(s) and not of MDPI and/or the editor(s). MDPI and/or the editor(s) disclaim responsibility for any injury to people or property resulting from any ideas, methods, instructions or products referred to in the content. |
© 2024 by the authors. Licensee MDPI, Basel, Switzerland. This article is an open access article distributed under the terms and conditions of the Creative Commons Attribution (CC BY) license (https://creativecommons.org/licenses/by/4.0/).
Share and Cite
Woznicki, T.L.; Sønsteby, A.; Aurdal, S.M.; Kusnierek, K.; Haraldsen, T.K. Optimizing Peat and Wood Fiber Blends: Impacts of Liming and Fertilization on Growth of Petunia (Petunia x hybrida Vilm.) and Basil (Ocimum basilicum L.). Horticulturae 2024, 10, 895. https://doi.org/10.3390/horticulturae10090895
Woznicki TL, Sønsteby A, Aurdal SM, Kusnierek K, Haraldsen TK. Optimizing Peat and Wood Fiber Blends: Impacts of Liming and Fertilization on Growth of Petunia (Petunia x hybrida Vilm.) and Basil (Ocimum basilicum L.). Horticulturae. 2024; 10(9):895. https://doi.org/10.3390/horticulturae10090895
Chicago/Turabian StyleWoznicki, Tomasz L., Anita Sønsteby, Siv M. Aurdal, Krzysztof Kusnierek, and Trond K. Haraldsen. 2024. "Optimizing Peat and Wood Fiber Blends: Impacts of Liming and Fertilization on Growth of Petunia (Petunia x hybrida Vilm.) and Basil (Ocimum basilicum L.)" Horticulturae 10, no. 9: 895. https://doi.org/10.3390/horticulturae10090895
APA StyleWoznicki, T. L., Sønsteby, A., Aurdal, S. M., Kusnierek, K., & Haraldsen, T. K. (2024). Optimizing Peat and Wood Fiber Blends: Impacts of Liming and Fertilization on Growth of Petunia (Petunia x hybrida Vilm.) and Basil (Ocimum basilicum L.). Horticulturae, 10(9), 895. https://doi.org/10.3390/horticulturae10090895

