Next Article in Journal
Berry Crops Production: Cultivation, Breeding and Health Benefits
Previous Article in Journal
Integrating Spectral Sensing and Systems Biology for Precision Viticulture: Effects of Shade Nets on Grapevine Leaves
 
 
Font Type:
Arial Georgia Verdana
Font Size:
Aa Aa Aa
Line Spacing:
Column Width:
Background:
Article

Genotypic Selection Using Quantitative Trait Loci for Better Productivity under High Temperature Stress in Tomato (Solanum lycopersicum L.)

1
Genetic Resources Section, Agriculture Research Department, Ministry of Municipality, Doha P.O. Box 2727, Qatar
2
Egyptian Desert Gene Bank, Desert Research Center, Cairo 11753, Egypt
3
Plant Breeding Institute, School of Life and Environmental Sciences, The University of Sydney, Cobbitty, NSW 2570, Australia
*
Authors to whom correspondence should be addressed.
Horticulturae 2024, 10(8), 874; https://doi.org/10.3390/horticulturae10080874
Submission received: 19 June 2024 / Revised: 6 August 2024 / Accepted: 6 August 2024 / Published: 19 August 2024

Abstract

High temperature stress affects tomato production both in tropical and sub-tropical environments worldwide. To explore genetic variation for heat tolerance in tomato, 329 transcontinental tomato genotypes were evaluated at the Ministry of Municipality and Environment (MME) greenhouses near Doha, Qatar, where the average daytime temperature was 38 °C with a big fluctuation during the tomato growth season. A preliminary phenotypic analysis identified a panel of 71 hybrid and pure-line tomato genotypes for more detailed studies. The selected subset was examined in the greenhouse using a randomized complete block design under heat stress. The materials were phenotyped for fruit size, fruit weight, fruit hardness, fruit locules, fruit set, total soluble solids (TSS), and fruit yield. Significant phenotypic differences among genotypes were observed for all the traits assessed. To explore the genetic basis of the variation among the examined genotypes, the subset was genotyped using 104 SNP markers identified in previous heat-tolerance genome-wide association studies (GWAS). Nineteen QTL-associated SNP markers could reliably select heat-tolerant genotypes in terms of better fruit yield, fruit set, and TSS. These markers are located on chromosome 1, 5, 6, 8, 9, and 12. Interestingly, two clusters of markers on chromosome 6 were linked to significant effects on yield, fruit set, and TSS under high temperature. Eighteen out of nineteen SNP markers were mapped within a gene body. Based on the phenotypic and the genotypic analysis, an elite set of five genotypes was selected for approval for heat stress environments in Qatar. The aim of the present work is to provide significant results that are exploitable not only in the Qatar region but also worldwide. Specifically, the 19 molecular markers identified in this study can serve as useful tools for breeders in selecting heat-tolerant material.

1. Introduction

Global warming is increasing [1], and higher temperatures will progressively limit agricultural production, especially in tropical and subtropical regions [2,3,4,5]. A 28% reduction in tomato yield under high temperatures was reported in Australia [6]. There is an urgent need to improve adaptive management of crops and the selection of heat-tolerant germplasm for current and future production environments [7,8]. Qatar has a desert climate, and crops can only grow in winter and spring. However, global warming is reducing the duration of both winter and spring, with consequences for vegetable production [9]. Heat-tolerant crops, therefore, will play an important role in future agriculture in Qatar.
Tomato (Solanum lycopersicum L.) is an important horticultural crop worldwide. It can be grown in both subtropical and tropical zones. The optimal daytime temperature for tomato production is 25 °C to 30 °C [10]. If temperature exceeds a critical point, productivity will fall significantly. For example, El Ahmadi and Stevens [11] reported that in several heat-tolerant tomato varieties, the number of flowers, pollen viability, fruit set, and yield were dramatically reduced under 38/27 °C day/night temperatures. Heat stress is defined as temperatures 10–15 °C higher than optimal [2]. High temperature stress can cause negative impact on plant development, including morphology, physiology, biochemistry, and molecular pathways at all vegetative and reproductive stages, which leads to loss of yield. During anthesis, tomato is very sensitive to temperature fluctuations, which impairs anther, pollen, and pistil development, leading to reduced fertilization, lower fruit set, and poorer quality fruit and yield [2,12,13,14]. At the physiological level, heat stress impacts photosynthesis, respiration, and membrane plasticity [15,16,17,18]. Damage to cell membranes results in electrolyte leakage [19,20]. Electrolyte leakage is commonly used to assess tolerance and sensitivity to heat stress [6,21]. Studies of the tomato transcriptome under normal and heat-stressed conditions identified hundreds of genes that changed expression, including heat shock proteins (HSPs) and their related transcription factors (HSFs) [22,23,24,25]. High temperature stress also causes biochemical changes, including changes to the levels of sugars, fatty acids, proline, salicylic acid, and abscisic acid. In addition, reactive oxygen species (ROS) accumulate and enzymes in chloroplasts and mitochondria are inactivated [17,26].
Heat tolerance is controlled by multiple genes which induce physiological and biochemical changes. Several studies have identified quantitative trait loci (QTL) linked to reproductive traits under heat stress using biparental QTL mapping, introgression lines, multiparent advanced generation intercross (MAGIC) populations [13,27,28,29] and genome-wide association studies (GWAS) [6]. Candidate genes linked to the heat stress response have also been identified [24,25,30]. Traditional breeding for heat tolerance includes intensive screening of wide range of genetic materials, transferring genetic segments of wild species into breeding lines, marker-assisted selection (MAS), genetic transformation and mutation breeding [31]. Recently, genomic selection was applied to tomato [30,32,33] with some success. Heat-tolerant genotypes were successfully predicted with good accuracy for yield (0.729) and total soluble solids (SCC, 0.715) [30]. Whole-genome sequencing of a heat-tolerant line revealed highly variable chromosome regions (QTL) compared to a reference genome and a high number of candidate genes [25]. While genomic selection and whole-genome sequencing may not be cost-effective for a small breeding program, traditional MAS for key traits remains viable.
In the current study, a comprehensive validation of a wide array of QTL markers related to heat stress tolerance, as previously described [6,27], was performed in a panel of 71 S. lycopersicum genotypes selected in a preliminary screening. This work aims to provide molecular markers that are useful for breeders in selecting heat-tolerant genotypes.

2. Materials and Methods

2.1. Plant Materials and Growth Condition

Transcontinental tomato genotypes were evaluated at the Ministry of Municipality and Environment (MME) net greenhouse (25.518031° N, 51.208001° E), 23 m (75.6 feet) above sea level, at the Al-Utouriya research station, Doha, Qatar. Field experiments were conducted during the winter season from 2019 to 2023. The soil mixture of the planting bed was sandy loam to sandy clay loam with low organic matter content (0.66–0.94%), moderate pH (7.85–7.96) and high calcium carbonate content (29.32–33.46%). This high calcium carbonate content indicated that tomato genotypes might also suffer from this saline–alkaline stress, apart from the heat stress. In this study, the damage from saline–alkaline stress was ignored, as all genotypes used the same soil mixture. In the first season, 2019–2020, 329 genotypes were grown in the greenhouse. Ten plants per variety were sown in October and seedlings were transplanted at the end of October following a completely randomized design in three replicates. Fruits were harvested from February to May. Plants were spaced 0.5 m between rows and 0.3 m within rows and watered via a fully automated drip irrigation system. In the second season, 2020–2021, 71 transcontinental tomato genotypes (Table 1) were grown in the same conditions in a completely randomized block design with three replicates, 40 plants for each replicate. These genotypes included different tomato types: Globe, Plum, Cherry, Oxheart, and Beefsteak. Bumble bees were used in all seasons and greenhouses to help pollinate flowers. Mid-day temperature (11:00 a.m.) was recorded from December to May 2020–2021 using a data logger (EasyLog EL-WIFI-T) temperature sensor (Figure 1). In the third season, 2021–2022, 10 selected genotypes were evaluated in a randomized complete block designs of three replicates, 60 plants for each replicate.

2.2. Phenotyping and Statistical Analysis

Harvesting was conducted every 10 days in the first month, and twice per week afterwards. Yield was calculated as the weight of all harvested fruits per plant. Final yield data were expressed as yield/3 plants (kg). Five fruits from each plot were taken at ripeness from the fourth harvest to determine fruit characteristics. Fruit length and diameter were determined using a digital caliper (cm). Fruit firmness (hardness) was measured on the two opposite sides of the fruit using a Fruit Firmness Penetrometer GY-3 (lb/cm2). The Brix measurement of the total soluble solids (TSS) in the fruit juice was determined using a handheld Digital Brix Refractometer (Brix Meter ATC for Fruits). Fruits were cut crosswise to determine the number of locules. Flowers/inflorescence were counted every 2–4 days. Fruits/inflorescence were also recorded. Fruit set (%) was then calculated as fruits/inflorescence divided by flowers/inflorescence. Raw data are provided in Supplementary Materials (Table S1).
Data were analyzed for each year independently using a linear mixed model and the REML function of the statistical software package Genstat (64-bit release 22.1, VSN International Ltd., Hemel Hampstead, UK). Genotype was considered as a fixed effect and plot position within each replicate as a random effect. The 10 selected genotypes were analyzed across years. In this instance, year and genotype were considered as fixed effects and plot position within replicates within years as random effects.

2.3. QTL Marker Selection and Genotyping

Previous GWAS of tomato identified more than 100 SNP markers [6] associated with various traits under heat stress. To validate these markers in a different set of tomato genotypes, 96 markers were selected by filtering out those with low PIC, high percentage missing data and/or sequence uncertainty. Eight SNP markers from Xu et al. [27] were also included. All markers were projected onto the tomato genome SL4.0 (https://phytozome-next.jgi.doe.gov/info/Slycopersicum_ITAG4_0, accessed on 1 October 2021). The names of 104 markers were designated as genome version (SL4-0) + chromosome number (ch01) + position, e.g., SL4-0ch01_1477682, to assist identification. All the marker sequences are listed in the Supplementary Materials (Table S2). DNA extraction and genotyping (SeqSNP) of 71 tomato genotypes was conducted by LGC Biosearch Technologies (Hoddesdon, UK). The marker genotype and phenotype (fruit set, yield and TSS) association was visualized using Box plotting in Excel (Microsoft 365, version 2021). A Student t-test in Excel (Microsoft 365) was used to determine significance.

2.4. Comparison among Published QTL and QTL Identified in This Study

Published QTL loci from Gonzalo et al. 2020 [13] and Bineau et al. 2021 [28] were retrieved and projected onto genome SL4.0, so that all QTL from different studies can be compared (Table S3). Regions of interest were visualized on the Tomato SL4 genome assembly (https://phytozome-next.jgi.doe.gov/info/Slycopersicum_ITAG4_0, accessed on 1 December 2022), using Mapchart 2.2 [34].

2.5. Identification of the SNP Location and Associated Gene Functions

Markers that showed significant association with phenotypic traits (fruit set, yield and TSS) were further studied in the tomato genome browser (https://solgenomics.net/jbrowse_solgenomics, accessed on 1 February 2024) to identify marker (SNP)-associated genes. Functions of a gene were annotated in ITAG4.0 gene models in the genome browser. The functions of a gene were also confirmed in the NCBI database of Conserved Protein Domain Family (https://www.ncbi.nlm.nih.gov/Structure/cdd/, accessed on 1 February 2024).

3. Results

3.1. Phenotypic Data Analysis

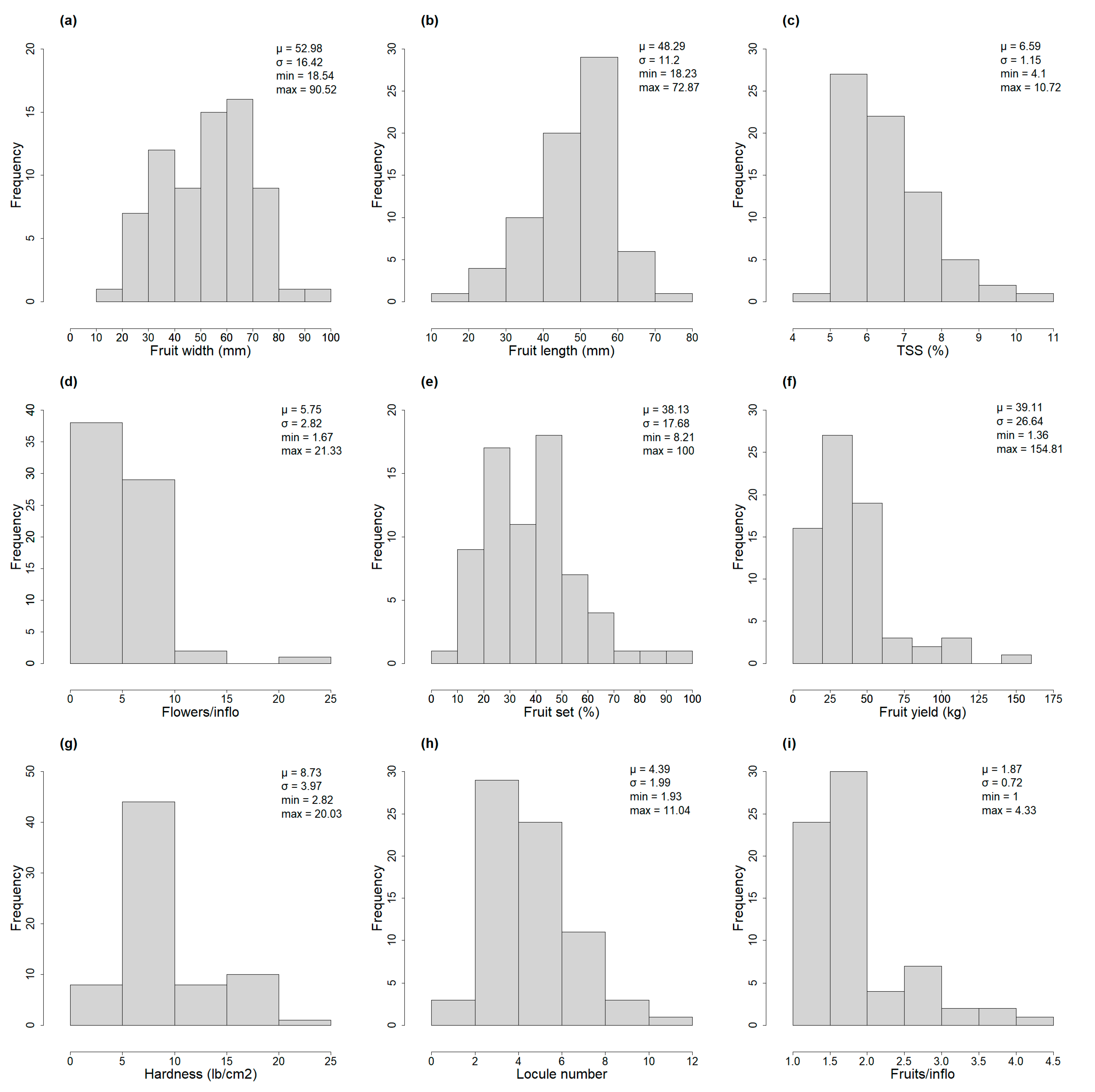
Phenotypic traits varied among the 71 selected genotypes. The distribution of nine phenotypic traits are summarized in Figure 2. Fruit width within the population had a mean of 52.98 mm and a standard deviation of 16.42 mm, with a range of 18.54–90.52 mm. The mean fruit length was 48.29 mm, with a standard deviation of 11.2 mm, and a range of 18.23–72.87 mm. The mean percentage of total soluble solids was 6.59%, with a standard deviation of 1.15%, and a range of 4.1–10.72%. The mean number of flowers per inflorescence was 5.75, with a standard deviation of 2.82, and a range of 1.67–21.33. The mean percentage of fruit set was 38.13%, with a standard deviation of 17.68%, and a range of 8.21–100%. Mean fruit yield was 39.11 kg, with a standard deviation of 26.64 kg, and a range of 1.36–154.81 kg. The mean fruit hardness was 8.73 lb/cm2, with a standard deviation of 3.97 lb/cm2, and a range of 2.82–20.03 lb/cm2. Locule number had a mean of 4.39, with a standard deviation of 1.99, and a range of 1.93–11.04. Mean number of fruits per inflorescence was 1.87, with a standard deviation of 0.72, and a range of 1–4.33.
Many of these genotypes included different types and fruit shapes including Globe, Plum, Cherry, Oxheart, and Beefsteak. The distribution of phenotypic traits analyzed across different tomato types is summarized in Figure S1. Beefsteak tomatoes exhibited the largest variation in fruit width, with approximate widths ranging from 34.34 to 90.52 mm. Globe tomatoes showed the largest variation in fruit length, ranging from 18.23 to 58.66 mm. Most tomato types displayed a wide range of fruit set percentages, ranging from 8.21 to 100%. Cherry and Oxheart tomatoes had more consistent fruit set percentages, whereas Beefsteak, Globe, and Plum types showed more variability. Globe tomatoes had the highest yield variability, ranging from 1.35–111.03 kg. Cherry tomatoes generally had lower yields, while Globe, Oxheart, and Plum types showed moderate yields. Fruit hardness varied across all tomato types, with Globe tomatoes showing the widest range (3.57–20.03 lb/cm²). Most tomato types had between two and eight locules, with Beefsteak tomatoes showing slightly higher variability in locule numbers. Most tomato types had one to three fruits per inflorescence. Plum tomatoes had slightly higher numbers, indicating more fruits per inflorescence on average.
The differences among fruit types were assessed (Table 2). Results showed that TSS, fruit set and yield (without beefsteak) were not significant among types. These three traits were subsequently used in the marker/phenotype allelic discrimination study.
The ten selected genotypes were analyzed across years to assess main effects and year × genotype interaction (Table 3). Year and genotype effects were significant at p < 0.05 for all traits. The year × genotype interaction was also significant for all traits except locule number and fruit set. When tomato types Globe and Plum were separated and analyzed, difference in main and interaction effects were observed (Table 4). Globe genotype effects were all significant, as was the year × genotype effect for yield and Frt_Width. However, the Plum-type genotype effects were only significant for Frt_Width, although a year × genotype effect was observed for yield. The year affects were all significant across types except for Globle Locule_number and yield.

3.2. Identifying Favorable Alleles

A total of 104 QTL SNP markers selected from previous GWAS studies [6,27] were used to genotype the 71 genotypes selected for evaluation in the second season. The marker profiles of the 71 genotypes were listed in Table S4. Twenty-one markers had a minor allele frequency larger than 9% and were selected for genotypic and phenotypic association analysis. Among these 21 markers, 19 had a significant effect on tomato fruit set, yield, and TSS under heat stress in Qatar. These markers are located on chromosomes 1, 5, 6, 8, 9, and 12 (Figure 2 and Figure 3). Two markers were located on each of chromosomes 1, 5, 9, and 12, one marker on chromosome 8, and ten markers on chromosome 6. One marker located on chromosome 3 and another on chromosome 4 had no significant effect on the traits analyzed. A full set of boxplots of each marker associated with traits are presented in Supplementary Figure S2.
Eight markers were associated with yield under heat stress (Figure 3) including SL4-0ch01_68237408, SL4-0ch05_58213373, SL4-0ch06_8168618, SL4-0ch06_21815322, SL4-0ch06_21898798, SL4-0ch06_22112083, SL4-0ch06_23558883, and SL4-0ch06_25025960. The markers on chromosome 6 were the most significant, with the favorable alleles associated with increased yield.
Some markers also showed effects on fruit set, or both fruit set and yield (Figure 4). The markers SL4-0ch08_61071507 and SL4-0ch12_15246947 effected fruit set only, while four markers on chromosome 6, SL4-0ch06_563861 (Figure S2), SL4-0ch06_3100027, SL4-0ch06_3629172, and SL4-0ch06_32950646 influenced both fruit set and yield (Figure 4). Alleles that were favorable for increased fruit set were also favorable for increased yield.
Markers that are associated with yield often had effects on TSS (Figure 5). However, alleles favorable for increased yield usually had less favorable effects on TSS. One marker on chromosome 9 had strong effects on TSS but was not associated with yield.
Markers and their favorable alleles are summarized in Table 5.
Interestingly, clusters of markers were identified on chromosome 6. These markers not only significantly associated with yield, but also with fruit set and TSS (Figure 3, Figure 4 and Figure 5). Alleles that were favorable for yield and fruit set had the opposite effect on TSS. The 19 markers associated with traits and their favorable alleles are summarized in Table 5.

3.3. Genotypic and Phenotypic Selection

Favorable alleles for each marker were identified based on association with the desirable phenotype. Favorable genotypes for high fruit set and yield were selected based on genotypic marker profiles (Table 6). Based on the phenotypic data, five genotypes were selected for heat stress environments in Qatar (Table 7).
Five tomato genotypes selected phenotypically for growing under Qatari conditions had genotypes favorable for yield (#43, #44, #45, #58) and yield and quality (TSS, #47).

3.4. QTL Marker Comparison

Tomato QTL linked to reproductive traits affected by high temperature, such as flower number (FLN) and fruit number (FRN) per truss and percentage of fruit set (FRS), pollen viability (PV), and yield, have been recently investigated [13,27,28]. The chromosome locations of the reported QTL were in the genome sequence of SL2.5. These reported QTL positions were projected onto genome SL4.0, so that the QTL identified in this study can be compared with those reported. Some of the QTL identified in this study are in the same regions of reported QTL, while others are new (Figure 6).
Mapping the position of markers in the genome (SL4.0) showed that the majority of markers (18 out of 19 markers) were located within a gene body (Table 8). SNPs locate either in the coding region or in the intron, 5′ untranslated region (UTR), 3′ UTR, and downstream (Table 8). Variation in the coding region could result in dysfunctional protein if it is a synonymous or missense mutation, whereas sequence changes in the intron, 5′ UTR, 3′ UTR, and up- or downstream of a gene, could cause transcriptional or translational change.

4. Discussion

Qatar has a desert climate. It has very low annual rainfall and a hot and long summer. The experiment was carried out in a net greenhouse to assess tomato production under high temperatures. The temperature inside the net greenhouse was higher than the ambient temperature. Figure 1 demonstrated that day temperature during the tomato growth period fluctuated severely. During vegetative growth (December), the plants experienced a few days of over 40 °C. During the reproductive period (January and February), more days exceeded 40 °C. The effects of heat stress on vegetative development were evident at high temperatures (i.e., 40 °C) [22], whereas reproductive traits are often affected by long-term mild heat stress (i.e., 31 °C) [26], or short periods of high heat stress (over 40 °C) [2]. Plant response to heat stress is complex and controlled by multiple genes. Phenotypic traits, such as flower number, fruit number, percentage of fruit set, stigma exsertion, pollen viability, electrolyte leakage, and soluble solid content, were used for QTL analysis by others [6,27,28]. It was shown that fruit set is an important trait that directly affects yield. In this report, fruit set and yield were the focus of the genetic analysis. Fruit set and yield are primary indicators of the reproductive success and the potential profitability of a crop. While other traits, such as fruit width and fruit length, are important for market quality and consumer preference, they are components of yield. Variations in these traits due to environmental stress, such as heat, will be reflected in the overall yield measurements. As TSS was an important trait for the fruit quality, it was also included in the analysis.
Previous GWAS [6] used 144 tomato accessions and DArTseq (Diversity Arrays Technology by sequencing) for association study and identified 142 QTL markers (SNP) that had high log scores associated with heat tolerance. In the previous report, the arbitrary number from DArTseq were used as the marker name, which was not meaningful. In this study, 96 markers were selected, and the SNP position was converted from tomato genome SL2.4 to SL4.0. The name of the markers was converted to show genome sequence version, chromosome number, and position. This will allow the research community and breeders to use these markers easily. The QTL markers/positions identified in other studies [13,27,28] were also converted according to SL4.0. Thus, these QTL were comparable (Figure 6).
The comparison of markers identified in this study with the QTL reported by other researchers showed general agreement for several QTL. Markers SL4-0ch01_68237408 and SL4-0ch05_58243373 perfectly co-located with QTL associated with fruit number, flower number, and fruit set [13,28]. Other markers, SL4-0ch8_ 61071507, SL4-0ch09_59454323, and SL4-0ch12_4886349, located within 4 Mbp of other QTL related to flower and fruit traits [13,28]. Marker SL4-0ch09_6794487 showed strong association with TSS, which is also located within 4 Mbp of an SSC QTL [13]. Three markers from Xu et al. (2017) [27] showed correlation with yield and fruit set in this study. SL4-0ch01_1477682 (solcap_snp_sl_8704) was associated with style length [27]. SL4.0ch01_68237408 (solcap_snp_sl_13762) was associated with flower number per inflorescence [27]. These two traits were related to productivity and final yield. Another marker, SL4.0ch08_61071507 (solcap_snp_sl_15446), was associated with inflorescence number [27], which in this study was related to fruit set. Although 104 markers were used to genotype the 71 tomato varieties/accessions, only 21 markers showed enough polymorphism (minor allele frequency larger than 9%) for association analysis, and 19 markers showed significant association with yield, fruit set, and TSS. Two markers, SL4-0ch03_56340171 and SL4-0ch04_62857466, which mapped within the QTLs related to flower number, fruit number, and fruit set (Figure 6), were not significant for fruit set and yield in this study. This was probably due to the small population size, which reduced the power of the association study.
Interestingly ten markers on chromosome 6 had significant impact on yield, fruit set and TSS. Alsamir et al. (2017) [6] identified markers on chromosomes 1 and 6 that significantly impacted electrolyte leakage (EL). The EL trait was indicative of heat stress impact, which was reflected in yield in this study. Cappetta et al. (2021) [30] found a high density of SNPs on chromosome 6 linked to heat tolerance. A major QTL was found on chromosome 6 (in a similar region to that reported here), which explained 86% of the phenotypic variance related to yield [30]. This QTL region contains Solyc06g006057, Solyc06g007310, Solyc06g007530, Solyc06g008720, Solyc06g009920, Solyc06g036260, Solyc06g036485, and Solyc06g051190 variant genes, coding for Leucine-rich receptor-like protein kinase family protein, Deoxyribonuclease tatD, B3 domain-containing protein (Os05g0481400), Zinc ion-binding protein, ATPase E1-E2-type family protein, Beta-carotene hydroxylase 1, Kinase family protein, and RNA-dependent RNA polymerase family protein. Using differential gene expression analysis of tolerant and sensitive accessions under high temperature, Gonzalo et al. (2021) [24] identified genes on chromosome 6 that upregulated during heat stress in tolerant accessions, including heat shock proteins, gibberellin-3-β-dioxygenase 1, and indeterminate-domain 16-like protein, which is a plant-specific transcription factor regulating sugar homeostasis, leaf and root architecture, inflorescence, and seed development.
The most interesting finding was that the markers identified in this study are all located in a gene body, except one. Table 8 listed the SNP markers and their associated genes and gene functions. These genes may be important for conveying heat tolerance in tomato. For example, ABC transporter (SL4-0ch05_38882416) is a transmembrane protein: its function is to import essential nutrients to the cell and to export toxic molecules out. The role of ABC transporter in the defense of multiple plant pathogens has been demonstrated [35,36,37]. The role of ABC transporters in abiotic stress response, such as heat stress, could also be important, but has yet to be studied. Another protein, Cullin (SL4-0ch01_68237408), and its protein family, is involved in protein degradation. Involvement of Cullin in the heat stress response is also possible. Multiple markers on chromosome 6 are located in different genes, including protein kinase (same finding as in [30]), Glyoxysomal fatty acid β-oxidation multifunctional protein (lipid metabolism), hydrolase, pleiotropic drug resistance protein, and phosphoinositide phospholipase C (signal transduction). Another chloroplastic Serine/threonine-protein kinase (SL4-0ch12_15246947) may play a role in photosynthesis during heat stress. Indeed, SNP location is important for genetic selection. Cappetta et al. (2021) [30] used a subset of 2278 SNPs mapped in gene body regions to perform genomic selection (GS). They obtained similar accuracy to the full dataset of 10,648 SNPs. Overall, the markers/genes identified in this study are of importance for selection of heat-tolerant tomato varieties/accessions.

5. Conclusions

Validation of previously identified QTL makers was successfully achieved by using different genetic resources. Nineteen SNP markers had significant effects on fruit set, yield, and total soluble solids of tomato under heat stress, and are recommended for MAS in breeding programs. Markers identified on chromosomes 1, 5, 6, 8, 9 and 12 are of importance for heat tolerance, especially a group of markers on chromosome 6 significantly associated with both fruit set and yield, and the marker on chromosome 9 very significantly associated with TSS. Mapping of SNPs identified eighteen candidate genes which are valuable for further study to explore the molecular mechanism of plant response to high temperature. Findings in this study are of significance for the tomato industry and research community.

Supplementary Materials

The following supporting information can be downloaded at: https://www.mdpi.com/article/10.3390/horticulturae10080874/s1, Table S1: Raw data for nine key physiological traits across 71 tomato varieties, each with three replicates; Table S2: The list of marker sequences; Table S3: Projection of published QTLs to genome SL4.0; Table S4: Marker profiles of 71 genotypes used in this study; Figure S1: Boxplots showing the variability and distribution of various phenotypic traits across different tomato types. Figure S2: Boxplots showing all marker-trait associations that were significant.

Author Contributions

Conceptualization and funding acquisition, R.T., T.M. and E.E.; methodology, E.E., T.M. and C.D.; formal analysis, C.D., L.Z. and R.T.; investigation, E.E., N.E., M.A.-Q., N.S., A.A.-K. and M.M.M.; resources, E.E. and T.M.; data curation, E.E. and C.D.; writing—original draft preparation, C.D., E.E. and T.M.; writing—review and editing, R.T., C.D. and L.Z. All authors have read and agreed to the published version of the manuscript.

Funding

This research was funded by the Qatar National Research Fund, grant number NPRP11S-0129-180378.

Data Availability Statement

Data used in the article are available in all Figures and Tables.

Conflicts of Interest

The authors have no conflicts of interest to disclose.

References

  1. Intergovernmental Panel on Climate Change (IPCC). Fifth Assessment Report: Synthesis. 2014. Available online: https://www.ipcc.ch/report/ar5/syr/ (accessed on 1 February 2024).
  2. Wahid, A.; Gelani, S.; Ashraf, M.; Foolad, M.R. Heat tolerance in plants: An overview. Environ. Exp. Bot. 2007, 61, 199–223. [Google Scholar] [CrossRef]
  3. Battisti, D.S.; Naylor, R.L. Historical warnings of future food insecurity with unprecedented seasonal heat. Science 2009, 323, 240–244. [Google Scholar] [CrossRef] [PubMed]
  4. Schlenker, W.; Roberts, M.J. Nonlinear temperature effects indicate severe damages to US crop yields under climate change. Proc. Natl. Acad. Sci. USA 2009, 106, 15594–15598. [Google Scholar] [CrossRef] [PubMed]
  5. Zhao, C.; Liu, B.; Piao, S.L.; Wang, X.H.; Lobell, D.B.; Huang, Y.; Huang, M.T.; Yao, Y.T.; Bassu, S.; Ciais, P.; et al. Temperature increase reduces global yields of major crops in four independent estimates. Proc. Natl. Acad. Sci. USA 2017, 114, 9326–9331. [Google Scholar] [CrossRef] [PubMed]
  6. Alsamir, M.; Ahmand, N.; Ariel, V.; Mahmood, T.; Trethiwan, R. Phenotypic diversity and marker-trait association under heat stress in tomato (Solanum lycopersicum L.). Aust. J. Crop Sci. 2019, 13, 578–587. [Google Scholar] [CrossRef]
  7. Lohani, N.; Singh, M.B.; Bhalla, P.L. High temperature susceptibility of sexual reproduction in crop plants. J. Exp. Bot. 2020, 71, 555–568. [Google Scholar] [CrossRef]
  8. Janni, M.; Maestri, E.; Gulli, M.; Marmiroli, M.; Marmiroli, N. Plant responses to climate change, how global warming may impact on food security: A critical review. Front. Plant Sci. 2024, 14, 1297569. [Google Scholar] [CrossRef]
  9. Francis, D.; Fonseca, R. Recent and projected changes in climate patterns in the middle east and north africa (MENA) region. Sci. Rep. 2024, 14, 10279. [Google Scholar] [CrossRef] [PubMed]
  10. Camejo, D.; Rodríguez, P.; Morales, A.; Dell’Amico, J.M.; Torrecillas, A.; Alarcón, J.J. High temperature effects on photosynthetic activity of two tomato cultivars with different heat susceptibility. J. Plant Physiol. 2005, 162, 281–289. [Google Scholar] [CrossRef] [PubMed]
  11. El Ahmadi, A.B.; Stevens, M.A. Reproductive responses of heat tolerant tomatoes to high temperatures. J. Am. Soc. Hort. Sci. 1979, 104, 686–691. [Google Scholar] [CrossRef]
  12. Xu, J.M.; Wolters-Arts, M.; Mariani, C.; Huber, H.; Rieu, I. Heat stress affects vegetative and reproductive performance and trait correlations in tomato (Solanum lycopersicum). Euphytica 2017, 213, 156. [Google Scholar] [CrossRef]
  13. Gonzalo, M.J.; Li, Y.C.; Chen, K.Y.; Gil, D.; Montoro, T.; Nájera, I.; Baixauli, C.; Granell, A.; Monforte, A.J. Genetic control of reproductive traits in tomatoes under high temperature. Front. Plant Sci. 2020, 11, 326. [Google Scholar] [CrossRef]
  14. Wang, Y.Y.; Impa, S.M.; Sunkar, R.; Jagadish, S.V.K. The neglected other half—Role of the pistil in plant heat stress responses. Plant Cell Environ. 2021, 44, 2200–2210. [Google Scholar] [CrossRef]
  15. Hu, S.S.; Ding, Y.F.; Zhu, C. Sensitivity and responses of chloroplasts to heat stress in plants. Front. Plant Sci. 2020, 11, 375. [Google Scholar] [CrossRef] [PubMed]
  16. Haque, M.S.; Husna, M.T.; Uddin, M.N.; Hossain, M.A.; Sarwar, A.K.M.G.; Ali, O.M.; Abdel Latef, A.A.H.; Hossain, A. Heat stress at early reproductive stage differentially alters several physiological and biochemical traits of three tomato cultivars. Horticulturae 2021, 7, 330. [Google Scholar] [CrossRef]
  17. Moore, C.E.; Meacham-Hensold, K.; Lemonnier, P.; Slattery, R.A.; Benjamin, C.; Bernacchi, C.J.; Lawson, T.; Cavanagh, A.P. The effect of increasing temperature on crop photosynthesis: From enzymes to ecosystems. J. Exp. Bot. 2021, 72, 2822–2844. [Google Scholar] [CrossRef]
  18. Hoshikawa, K.; Pham, D.; Ezura, H.; Schafleitner, R.; Nakashima, K. Genetic and Molecular Mechanisms Conferring Heat Stress Tolerance in Tomato Plants. Front. Plant Sci. 2021, 12, 786688. [Google Scholar] [CrossRef]
  19. Wahid, A.; Shabbir, A. Induction of heat stress tolerance in barley seedlings by pre-sowing seed treatment with glycinebetaine. Plant Growth Reg. 2005, 46, 133–141. [Google Scholar] [CrossRef]
  20. Biswas, P.; East, A.R.; Hewett, E.W.; Heyes, J.A. Increase in electrolyte leakage as a function of chilling stress and ripening of tomato. Acta Hortic. 2012, 945, 283–290. [Google Scholar] [CrossRef]
  21. Kumar, R.R.; Goswami, S.; Sharma, S.K.; Singh, K.; Gadpayle, K.A.; Kumar, N.; Rai, R.D. Protection against heat stress in wheat involves change in cell membrane stability, antioxidant enzymes, osmolyte, H2O2 and transcript of heat shock protein. Int. J. Plant Physiol. Biochem. 2012, 4, 83–91. [Google Scholar] [CrossRef]
  22. Halter, G.; Simonetti, N.; Suguitan, C.; Helm, K.; Soroksky, J.; Waters, E.R. Patterns of thermotolerance, chlorophyll fluorescence, and heat shock gene expression vary among four boechera species and Arabidopsis thaliana. Botany 2017, 95, 9–27. [Google Scholar] [CrossRef]
  23. Wen, J.; Jiang, F.; Weng, Y.; Sun, M.; Shi, X.; Zhou, Y.; Yu, L.; Wu, Z. Identification of heat-tolerance QTLs and high-temperature stress-responsive genes through conventional QTL mapping, QTL-seq and RNA-seq in tomato. BMC Plant Biol. 2019, 19, 398. [Google Scholar] [CrossRef]
  24. Gonzalo, M.J.; Nájera, I.; Baixauli, C.; Gil, D.; Montoro, T.; Soriano, V.; Olivieri, F.; Rigano, M.M.; Ganeva, D.; Grozeva-Tileva, S.; et al. Identification of tomato accessions as source of new genes for improving heat tolerance: From controlled experiments to field. BMC Plant Biol. 2021, 21, 345. [Google Scholar] [CrossRef]
  25. Graci, S.; Ruggieri, V.; Francesca, S.; Rigano, M.M.; Barone, A. Genomic insights into the origin of a thermotolerant tomato line and identification of candidate genes for heat stress. Genes 2023, 14, 535. [Google Scholar] [CrossRef]
  26. Alsamir, M.; Mahmood, T.; Trethowan, R.; Ahmad, N. An overview of heat stress in tomato (Solanum lycopersicum L.). Saudi J. Biol. Sci. 2021, 28, 1654–1663. [Google Scholar] [CrossRef]
  27. Xu, J.; Driedonks, N.; Rutten, M.J.M.; Vriezen, W.H.; de Boer, G.J.; Rieu, I. Mapping quantitative trait loci for heat tolerance of reproductive traits in tomato (Solanum lycopersicum). Mol. Breed. 2017, 37, 58. [Google Scholar] [CrossRef]
  28. Bineau, E.; Diouf, I.; Carretero, Y.; Duboscq, R.; Bitton, F.; Djari, A.; Zouine, M.; Causse, M. Genetic diversity of tomato response to heat stress at the QTL and transcriptome levels. Plant J. 2021, 107, 1213–1227. [Google Scholar] [CrossRef]
  29. Gonzalo, M.J.; da Maia, L.C.; Nájera, I.; Baixauli, C.; Giuliano, G.; Ferrante, P.; Granell, A.; Asins, M.J.; Monforte, A.J. Genetic control of reproductive traits under different temperature regimes in inbred line populations derived from crosses between S. pimpinellifolium and S. lycopersicum accessions. Plants 2022, 11, 1069. [Google Scholar] [CrossRef]
  30. Cappetta, E.; Andolfo, G.; Guadagno, A.; Di Matteo, A.; Barone, A.; Frusciante, L.; Ercolano, M.R. Tomato genomic prediction for good performance under high-temperature and identification of loci involved in thermotolerance response. Hortic. Res. 2021, 8, 212. [Google Scholar] [CrossRef]
  31. Solankey, S.S.; Singh, R.K.; Baranwal, D.K.; Singh, D.K. Genetic Expression of Tomato for Heat and Drought Stress Tolerance: An Overview. Internat. J. Veg. Sci. 2015, 21, 496–515. [Google Scholar] [CrossRef]
  32. Yamamoto, E.; Matsunaga, H.; Onogi, A.; Ohyama, A.; Miyatake, K.; Yamaguchi, H.; Nunome, T.; Iwata, H.; Fukuoka, H. Efficiency of genomic selection for breeding population design and phenotype prediction in tomato. Heredity 2017, 118, 202–209. [Google Scholar] [CrossRef]
  33. Cappetta, E.; Andolfo, G.; Di Matteo, A.; Barone, A.; Frusciante, L.; Ercolano, M.R. Accelerating tomato breeding by exploiting genomic selection approaches. Plants 2020, 9, 1236. [Google Scholar] [CrossRef]
  34. Voorrips, R.E. MapChart: Software for the graphical presentation of linkage maps and QTLs. J. Hered. 2002, 93, 77–78. [Google Scholar] [CrossRef]
  35. Krattinger, S.G.; Lagudah, E.S.; Spielmeyer, W.; Singh, R.P.; Huerta-Espino, J.; McFadden, H.; Bossolini, E.; Selter, L.L.; Keller, B. A putative ABC transporter confers durable resistance to multiple fungal pathogens in wheat. Science 2009, 323, 1360–1363. [Google Scholar] [CrossRef]
  36. Schnippenkoetter, W.; Lo, C.; Liu, G.Q.; Dibley, K.; Chan, W.L.; White, J.; Milne, R.; Zwart, A.; Kwong, E.; Keller, B.; et al. The wheat Lr34 multipathogen resistance gene confers resistance to anthracnose and rust in sorghum. Plant Biotechnol. J. 2017, 15, 1387–1396. [Google Scholar] [CrossRef]
  37. Sucher, J.; Boni, R.; Yang, P.; Rogowsky, P.; Büchner, H.; Kastner, C.; Kumlehn, J.; Krattinger, S.G.; Keller, B. The durable wheat disease resistance gene Lr34 confers common rust and northern corn leaf blight resistance in maize. Plant Biotechnol. J. 2017, 15, 489–496. [Google Scholar] [CrossRef] [PubMed]
Figure 1. Temperature at mid-day during the growth period of year 2.
Figure 1. Temperature at mid-day during the growth period of year 2.
Horticulturae 10 00874 g001
Figure 2. Histograms illustrating the distribution of nine phenotypic traits in collection of 71 plants. Each panel (ai) provides variability and distribution of specific traits across individuals studied: (a) Fruit Width (mm) (b) Fruit Length (mm) (c) Total Soluble Solids (TSS, %) (d) Flowers/Inflorescence (e) Fruit Set (%) (f) Fruit Yield (kg) (g) Hardness (lb/cm²) (h) Locule Number (i) Fruits/Inflorescence. (µ: mean, σ: standard deviation).
Figure 2. Histograms illustrating the distribution of nine phenotypic traits in collection of 71 plants. Each panel (ai) provides variability and distribution of specific traits across individuals studied: (a) Fruit Width (mm) (b) Fruit Length (mm) (c) Total Soluble Solids (TSS, %) (d) Flowers/Inflorescence (e) Fruit Set (%) (f) Fruit Yield (kg) (g) Hardness (lb/cm²) (h) Locule Number (i) Fruits/Inflorescence. (µ: mean, σ: standard deviation).
Horticulturae 10 00874 g002
Figure 3. Boxplots showing 8 markers on chromosome 1, 5, and 6 significantly associated with yield (yield/3-plant) under heat stress. The mean is represented by the x sign, while the median is represented by the horizontal line that divides the box. The lower- and upper-box boundaries represent the 25th percentile and 75th percentile, respectively. ** and * indicate statistical significance p < 0.01 and p < 0.05, respectively.
Figure 3. Boxplots showing 8 markers on chromosome 1, 5, and 6 significantly associated with yield (yield/3-plant) under heat stress. The mean is represented by the x sign, while the median is represented by the horizontal line that divides the box. The lower- and upper-box boundaries represent the 25th percentile and 75th percentile, respectively. ** and * indicate statistical significance p < 0.01 and p < 0.05, respectively.
Horticulturae 10 00874 g003
Figure 4. Boxplots showing markers on chromosome 8 and 12 associated with fruit set under heat stress. Three markers on chromosome 6 associated with both fruit set and yield under heat stress. The mean is represented by the x sign, while the median is represented by the horizontal line that divides the box. The lower- and upper-box boundaries represent the 25th percentile and 75th percentile, respectively. ** and * indicate statistical significance p < 0.01 and p < 0.05, respectively.
Figure 4. Boxplots showing markers on chromosome 8 and 12 associated with fruit set under heat stress. Three markers on chromosome 6 associated with both fruit set and yield under heat stress. The mean is represented by the x sign, while the median is represented by the horizontal line that divides the box. The lower- and upper-box boundaries represent the 25th percentile and 75th percentile, respectively. ** and * indicate statistical significance p < 0.01 and p < 0.05, respectively.
Horticulturae 10 00874 g004
Figure 5. Boxplots showing markers on chromosome 6 and 9 associated with TSS under heat stress. The mean is represented by the x sign, while the median is represented by the horizontal line that divides the box. The lower- and upper-box boundaries represent the 25th percentile and 75th percentile, respectively. ** indicates statistical significance p < 0.01.
Figure 5. Boxplots showing markers on chromosome 6 and 9 associated with TSS under heat stress. The mean is represented by the x sign, while the median is represented by the horizontal line that divides the box. The lower- and upper-box boundaries represent the 25th percentile and 75th percentile, respectively. ** indicates statistical significance p < 0.01.
Horticulturae 10 00874 g005
Figure 6. Comparison of QTL markers identified in this study (red) with QTL identified in Gonzalo et al. (2020, blue) [13] and Bineau et al. (2021, green) [28] across tomato genome SL4 chromosomes 1 through 12. Red rectangle shows the markers of interest are co-located with previously reported QTL. Yellow rectangle shows the markers of interest are located within 4 Mbp of previously reported QTL. Black rectangle shows clusters of markers identified in this study as significantly associated with fruit set, yield, and TSS under heat stress.
Figure 6. Comparison of QTL markers identified in this study (red) with QTL identified in Gonzalo et al. (2020, blue) [13] and Bineau et al. (2021, green) [28] across tomato genome SL4 chromosomes 1 through 12. Red rectangle shows the markers of interest are co-located with previously reported QTL. Yellow rectangle shows the markers of interest are located within 4 Mbp of previously reported QTL. Black rectangle shows clusters of markers identified in this study as significantly associated with fruit set, yield, and TSS under heat stress.
Horticulturae 10 00874 g006
Table 1. Tomato genotypes selected from year 1 testing for evaluation in years 2 and 3.
Table 1. Tomato genotypes selected from year 1 testing for evaluation in years 2 and 3.
ID Company CodeGenotype NameID Company CodeGenotype Name
1TF-0014Amish Gold36TF-0141Ding Wall Scotty
2TF-0017SAmy’s Apricot37TF-0147Double Rich
3TF-0018Amy’s Sugar Gem38TF-0176Florida Pink
4TF-0027Arkansas Marvel39Pakistan Salar F1
5TF-0032Aunt Lucy’s Italian Paste40Pakistan Surkhail F1
6TF-0268Japanese Oxheart41Pakistan Sundar F1
7TF-0367Ozark Pink 42Pakistan Saandal F1
8TF-0449Shenghaung Cherry 43Pakistan Tomato seed-2198
9TF-0450Shirley Amish Red44Pakistan Tomato seed-2199
10TF-0173Fence Row Cherry45Pakistan Tomato seed-2217
11TF-0187German Johnson 46Pakistan Tomato seed-2218
12TF-0197Giant Syrian47Pakistan Tomato seed-2230
13TF-0213FGoose Creek48AVRDC AVTO90304
14TF-0227Gregori’s Altai49AVRDC AVTO9801
15TF-0227GGrightmire’s Pride50AVRDC AVTO1007
16TF-0235Hazel Mae 51AVRDC AVTO1010
17TF-0561Homer Fike’s Yellow Oxheart52AVRDC AVTO9001
18TF-0035AAustin’s Red Pear53DRW7806hybrid tomato
19TF-0036Australia54Bright Star F1Bright Star F1
20TF-0070ABloody Butcher55Roenza Roenza
21TF-0077MBrandy Sweet Plum56619619
22TF-0078Brandywine57SV7846THSV7846TH
23TF-0106Chadwick Cherry58syngentaTomato: 413485
24TF-0109Chapman59syngentaJarawa Ind tomato
25TF-0129Creole60syngentaTomato -Beef Vikllio
26TF-0135Dad’s Sunset61syngentaPilavy Ind tomato
27TF-0137Debarao 62syngentaT415271 Ind tomato
28TF-0142Dinner Plate63syngentaTomato Dafnis
29TF-0146Dona64syngentaTomato Commondo
30TF-0149Dr. Lyle65syngentaTomato Izmono
31TF-0150Dr. Neal66TF-0004Ace 55
32TF-0167Ethiopia Roi Humbert67TF-0021Anahu
33TF-0024Angora Super Sweet68TF-0330Mrs. Houseworth
34TF-0093Bulgarian Triumph69TF-0404JPunta Banda
35TF-0121Clint Eastwood’s Rowdy Red70TF-0486Sweet Organic tomato
71Banana Legs Banana Legs
Table 2. The probability values of Wald statistics for different tomato types for various traits assessed on 71 tomato varieties.
Table 2. The probability values of Wald statistics for different tomato types for various traits assessed on 71 tomato varieties.
Frt_Width (cm)Frt_Length (cm)TSS (%)Flowers/InfloFruit Set (%)Yield (kg)Yield * (kg)
Tomato_type<0.001<0.0010.058<0.0010.2370.0020.056
* yield excluding Beefsteak.
Table 3. The probability values of Wald statistics from the 2-year analysis of 10 varieties.
Table 3. The probability values of Wald statistics from the 2-year analysis of 10 varieties.
Frt_Width (cm)Frt_Length (cm)Hardness (lb/cm2)TSS (%)Locule_NumberFlowrs/InfloFruits/InfloFruit Set (%)Yield (kg)
Year0.0050.043<0.001<0.0010.010.466<0.001<0.0010.005
Genotype<0.001<0.001<0.001<0.001<0.001<0.001<0.0010.001<0.001
Year × Genotype0.029<0.001<0.001<0.0010.3540.0160.0130.132<0.001
Table 4. The probability values of Wald statistics from the 2-year analysis of Globe only and Plum only.
Table 4. The probability values of Wald statistics from the 2-year analysis of Globe only and Plum only.
GlobePlum
Frt_Width (cm)Frt_Length (cm)Locule_NumberYield (kg)Frt_Width (cm)Frt_Length (cm)Locule_NumberYield (kg)
Year0.0660.0080.1540.4670.0270.0260.0150.001
Genotype<0.001<0.001<0.001<0.001<0.0010.3690.2150.316
Year × Genotype0.0310.4330.49<0.0010.1160.2520.320.015
Table 5. List of favorable alleles of SNP markers for yield, fruit set, and TSS.
Table 5. List of favorable alleles of SNP markers for yield, fruit set, and TSS.
MarkerTraitsFavorable Alleles
SL4-0ch01_1477682YieldGA * > GG, AA
SL4-0ch01_68237408YieldTT **, GT > GG
SL4-0ch05_38882416YieldGA *, GG > AA
SL4-0ch05_58243373YieldCT *, CC > TT
SL4-0ch06_563861Fruit setGA * > AA
SL4-0ch06_563861YieldGA * > AA
SL4-0ch06_563861TSSAA ** > GA
SL4-0ch06_3100027Fruit setGG **, GC * > CC
SL4-0ch06_3100027YieldGC **, GG > CC
SL4-0ch06_3100027TSSCC ** > GC, GG
SL4-0ch06_3629172Fruit setGG *, GA > AA
SL4-0ch06_3629172YieldGA **, GG * > AA
SL4-0ch06_3629172TSSAA * > GA, GG
SL4-0ch06_8168618YieldCA **, AA * > CC
SL4-0ch06_8168618TSSCC * > CA, AA
SL4-0ch06_21815322YieldCC **, CT * > TT
SL4-0ch06_21815322TSSTT * > CT, CC
SL4-0ch06_21898798YieldCT **, CC * > TT
SL4-0ch06_21898798TSSTT * > CT, CC
SL4-0ch06_22112083YieldGT **, TT * > GG
SL4-0ch06_22112083TSSGG * > GT, TT
SL4-0ch06_23558883YieldCT **, TT * > CC
SL4-0ch06_23558883TSSCC ** > CT, TT
SL4-0ch06_25025960YieldCT **, CC * > TT
SL4-0ch06_25025960TSSTT ** > CT, CC
SL4-0ch06_32950646Fruit setGA * > GG, (AA)
SL4-0ch06_32950646Yield GA ** > AA * > GG
SL4-0ch06_32950646TSSGG ** > GA, (AA)
SL4-0ch08_61071507Fruit setAT *, TT > AA
SL4-0ch09_6794487TSSGG **, GA * > AA
SL4-0ch09_59454323YieldGT *, (GG) > TT
SL4-0ch09_59454323TSSTT *, (GG) > GT
SL4-0ch12_4886349YieldGA * > GG
SL4-0ch12_15246947Fruit setCT **, TT ** > CC
** p < 0.01, * p < 0.05, () indicates the number of the individuals in the population is too small. TSS is total soluble solid.
Table 6. The fifteen genotypes selected for high yield based on genotype of 19 markers (favorable alleles > 15 out of total 19 markers).
Table 6. The fifteen genotypes selected for high yield based on genotype of 19 markers (favorable alleles > 15 out of total 19 markers).
IDCompany CodeVariety NameFavorable Allele %
43Pakistan Tomato seed-219889.5
44Pakistan Tomato seed-2199100
45Pakistan Tomato seed-221778.9
46Pakistan Tomato seed-221889.5
53DRW7806hybrid tomato100
55Roenza Roenza 89.5
5661961984.2
57SV7846THSV7846TH89.5
59syngentaJarawa Ind tomato94.7
60syngentaTomato-Beef Vikllio84.2
61syngentaPilavy Ind tomato100
62syngentaT415271 Ind tomato84.2
63syngentaTomato Dafnis94.7
64syngentaTomato Commondo100
65syngentaTomato Izmono89.5
Table 7. Genotypes of heat-tolerant lines selected by phenotyping based on yield and quality.
Table 7. Genotypes of heat-tolerant lines selected by phenotyping based on yield and quality.
Marker#43#44#45#47#58
SL4-0ch01_1477682GAGAGAAAGG
SL4-0ch01_68237408TTTTTTTTTT
SL4-0ch05_38882416GGGGGGGAGA
SL4-0ch05_58243373CCC/CC/CT/TCT
SL4-0ch06_563861GAGAAAAAAA
SL4-0ch06_3100027GCGCGCGCGG
SL4-0ch06_3629172GAGAGAGAGG
SL4-0ch06_8168618CACACACCAA
SL4-0ch06_21815322CTCTCTTTCC
SL4-0ch06_21898798CTCTCTTTCC
SL4-0ch06_22112083GTGTGTGGTT
SL4-0ch06_23558883CTCTCTCCTT
SL4-0ch06_25025960CTCTCTT/TCC
SL4-0ch06_32950646GAGAGAGGGA
SL4-0ch08_61071507AAATAAATAT
SL4-0ch09_6794487GAGGAAGAAA
SL4-0ch09_59454323TTGTTTTTTT
SL4-0ch12_4886349GAGAGAGAGG
SL4-0ch12_15246947TTTTTTCTTT
Alleles for yield/total markers89.5%100%78.9%42.1%73.7%
Yellow highlight is the less-favorable allele for yield; green highlight is favorable for TSS. # links to the ID in Table 1 and Table 6.
Table 8. Locations of markers in gene body.
Table 8. Locations of markers in gene body.
MarkerGenes SNP LocatedSNP Position Gene Function
SL4-0ch01_1477682Solyc01g006890codingEEIG1/EHBP1 N-terminal domain (C2 domain superfamily)
SL4-0ch01_68237408Solyc01g067100codingCullin
SL4-0ch05_38882416Solyc05g025955intronABC transporter B family member 11
SL4-0ch05_58243373Solyc05g047450intronMethyl-CpG-binding domain-containing protein 2
SL4-0ch06_563861Solyc06g005520codingProtein kinase superfamily
SL4-0ch06_3100027Solyc06g0091603′ UTR Glyoxysomal fatty acid β-oxidation multifunctional protein MFP-a
SL4-0ch06_3629172Solyc06g009680codingBRCT domain-containing protein
SL4-0ch06_8168618Solyc06g011570codingHaloacid dehalogenase-like hydrolase family protein
SL4-0ch06_21815322Solyc06g0343303′ UTRunknown
SL4-0ch06_21898798intergenic region
SL4-0ch06_22112083Solyc06g0354505′ UTR DEAD-box ATP-dependent RNA helicase
SL4-0ch06_23558883Solyc06g0362403′ UTR Pleiotropic drug resistance protein
SL4-0ch06_25025960Solyc06g036690intronunknown
SL4-0ch06_32950646Solyc06g051630intronPhosphoinositide phospholipase C
SL4-0ch08_61071507Solyc08g079440codingUDP-glucuronate 4-epimerase 4
SL4-0ch09_6794487Solyc09g014720codingProtein kinase domain
SL4-0ch09_59454323Solyc09g065300codingspindle pole body-associated protein
SL4-0ch12_4886349Solyc12g014010codingGlycosyltransferase
SL4-0ch12_15246947Solyc12g021280downstream Chloroplastic serine/threonine-protein kinase STN7
Disclaimer/Publisher’s Note: The statements, opinions and data contained in all publications are solely those of the individual author(s) and contributor(s) and not of MDPI and/or the editor(s). MDPI and/or the editor(s) disclaim responsibility for any injury to people or property resulting from any ideas, methods, instructions or products referred to in the content.

Share and Cite

MDPI and ACS Style

Elazazi, E.; Ziems, L.; Mahmood, T.; Eltanger, N.; Al-Qahtani, M.; Shahsil, N.; Al-Kuwari, A.; Metwally, M.M.; Trethowan, R.; Dong, C. Genotypic Selection Using Quantitative Trait Loci for Better Productivity under High Temperature Stress in Tomato (Solanum lycopersicum L.). Horticulturae 2024, 10, 874. https://doi.org/10.3390/horticulturae10080874

AMA Style

Elazazi E, Ziems L, Mahmood T, Eltanger N, Al-Qahtani M, Shahsil N, Al-Kuwari A, Metwally MM, Trethowan R, Dong C. Genotypic Selection Using Quantitative Trait Loci for Better Productivity under High Temperature Stress in Tomato (Solanum lycopersicum L.). Horticulturae. 2024; 10(8):874. https://doi.org/10.3390/horticulturae10080874

Chicago/Turabian Style

Elazazi, Elsayed, Laura Ziems, Tariq Mahmood, Naeema Eltanger, Maryam Al-Qahtani, Nafeesath Shahsil, Aisha Al-Kuwari, Mohammed M. Metwally, Richard Trethowan, and Chongmei Dong. 2024. "Genotypic Selection Using Quantitative Trait Loci for Better Productivity under High Temperature Stress in Tomato (Solanum lycopersicum L.)" Horticulturae 10, no. 8: 874. https://doi.org/10.3390/horticulturae10080874

APA Style

Elazazi, E., Ziems, L., Mahmood, T., Eltanger, N., Al-Qahtani, M., Shahsil, N., Al-Kuwari, A., Metwally, M. M., Trethowan, R., & Dong, C. (2024). Genotypic Selection Using Quantitative Trait Loci for Better Productivity under High Temperature Stress in Tomato (Solanum lycopersicum L.). Horticulturae, 10(8), 874. https://doi.org/10.3390/horticulturae10080874

Note that from the first issue of 2016, this journal uses article numbers instead of page numbers. See further details here.

Article Metrics

Back to TopTop