Next Article in Journal
Changes in Secondary Metabolite Production in Response to Salt Stress in Alcea rosea L.
Next Article in Special Issue
Transcriptional Insights into Lily Stem Bulblet Formation: Hormonal Regulation, Sugar Metabolism, and Transcriptional Networks in LA Lily ‘Aladdin’
Previous Article in Journal
A Study on the Fruiting and Correlation between the Chemical Indicators and Antimicrobial Properties of Hippophae rhamnoides L.
Previous Article in Special Issue
Assessing the Effect of Plant Growth Stimulants and Retardants on Cyclamen “Halios F1 Salmon Rose” Cultivar
 
 
Font Type:
Arial Georgia Verdana
Font Size:
Aa Aa Aa
Line Spacing:
Column Width:
Background:
Article

Effects of Substitute Substrate, Water, and Fertilizer Management on the Growth of Potted Chrysanthemums

1
State Key Laboratory of Efficient Production of Forest Resources, Beijing Key Laboratory of Ornamental Plants Germplasm Innovation and Molecular Breeding, National Engineering Research Center for Floriculture, Beijing Laboratory of Urban and Rural Ecological Environment, Key Laboratory of Genetics and Breeding in Forest Trees and Ornamental Plants of Ministry of Education, School of Landscape Architecture, Beijing Forestry University, Beijing 100083, China
2
Institute of Leisure Agriculture, Shandong Academy of Agricultural Sciences, Jinan 250100, China
*
Author to whom correspondence should be addressed.
These authors contributed equally to this work.
Horticulturae 2024, 10(2), 138; https://doi.org/10.3390/horticulturae10020138
Submission received: 20 December 2023 / Revised: 21 January 2024 / Accepted: 24 January 2024 / Published: 31 January 2024

Abstract

The chrysanthemum is a perennial herbaceous flower with a long history of cultivation dating back over 3000 years. The potted chrysanthemum is a significant type and is widely used in landscaping. Expensive substrate costs, complicated management of water and fertilizer, and uneven product quality currently plague the potted chrysanthemum industry. This study systematically investigated the growth status of potted chrysanthemums under different substrates, water, and fertilizer ratios and established a simplified cultivation system for potted chrysanthemums. The substitute substrate experiment demonstrated that coir: moss peat: perlite: pine needle mulch = 2:4:2:2 is the most suitable substitute substrate. Research on fertilizer ratios found that chrysanthemums’ best growth and flowering characteristics were achieved with nitrogen, phosphorus, and potassium concentrations of 336 mg/L, 93 mg/L, and 273 mg/L, respectively. A comprehensive, simplified cultivation system was established when utilizing T4 substitute substrate (2:4:2:2 ratios of coir, moss peat, perlite, and pine needle mulch), 40% water capacity, and F9 fertilizer (336 mg/L nitrogen, 93 mg/L phosphorus, and 273 mg/L potassium). This study comprehensively and systematically explored the cultivation and maintenance schemes in the production of potted chrysanthemums and built a light, simple, and efficient production technology system of potted chrysanthemums in the open field suitable for the climatic characteristics of northern China, which provides feasible technical specifications and a theoretical basis for the refinement and large-scale management of potted chrysanthemums. This experiment lays the foundations for cost reduction and efficiency in the potted chrysanthemum industry.

1. Introduction

Chrysanthemum is widely cultivated for ornamental purposes worldwide and has a long cultivation history [1]. The potted chrysanthemum is popular in horticulture mainly because of its vivid colors, long flowering duration, and attractive rounded form [2]. Traditional cultivation technologies of potted chrysanthemums lack optimal dosages and ratios for potted chrysanthemums’ unique needs [3]. They also lack precision in resource management, leading to overuse or underutilization of inputs such as water, peat, and fertilizers. These problems seriously restrict the sustainability of potted chrysanthemum production [4,5].
Peat is the most commonly utilized substrate component in horticulture out of all the organic substrates [6]. It features a unique blend of high air space and drainage qualities, low nutrient content, low pH, high water holding capacity, and excellent chemical, biological, and physical attributes [7,8]. However, drainage of peatlands for extraction is one of the significant causes of CO2 and CH4 emissions [9,10]. Harvesting moss peat has led to numerous environmental concerns. The large-scale drainage of peatlands has resulted in annual emissions exceeding 2 Gt CO2-eq, with CO2 emissions alone estimated at 1.3 Gt annually. This accounts for approximately 5.6% of the global anthropogenic CO2 emissions [11]. On the other hand, peat is a non-renewable resource, and the ecology needs to improve its use of peat bogs. Therefore, there is an urgent need to find other organic substrates to entirely or partially replace peat. Some organic resources are already being utilized commercially as alternatives to peat, including compost, coir, bark, and wood fiber [12,13]. Research is needed to determine optimal organic waste use and mixing ratios [14,15].
Fertilizer research plays a crucial role in streamlining agricultural production for crops. Crop growth relies on essential elements nitrogen, phosphorus, and potassium [16]. Understanding the optimal nutrient requirements and application methods enhances crop yields and promotes resource efficiency. By tailoring fertilization practices to specific crop needs, researchers contribute to simplifying production processes. This precision in nutrient management boosts agricultural productivity and minimizes environmental impact by reducing excess nutrient runoff. Moreover, precision fertilization is paramount in realizing substantial cost savings in agricultural production. Skillful NPK fertilizer application can foster plant development, increase dry matter, leaf photosynthetic efficiency, and root strength [17,18,19]. Nutrient ratio customization affects traits like germination, flower pedicel length, and flower amount [20,21]. However, excessive fertilization will lead to soil compaction and low soil nutrient use efficiency, which is not conducive to the sustainable and healthy development of crop production, and will also cause profound nitrate accumulation in soil and crops, which is not conducive to human health [22,23]. Chrysanthemum production and flower cultivations can benefit from precise nitrogen, phosphorus, and potassium fertilization [24].
Water is vital in crop production, serving as a critical resource that directly influences plant growth, development, and overall yield. However, water scarcity and extreme weather events are likely to intensify, which may lead to lower yields and increased yield volatility [25]. Agriculture is recognized as a substantial consumer of water resources, utilizing 70% of the world’s freshwater to irrigate 25% of its croplands [26]. Therefore, the significance of precision irrigation lies in its capacity to address water scarcity challenges, particularly in regions prone to drought or facing limited water resources. Higher crop yields with lower water inputs could be achieved by maximizing the efficiency of water delivery. Moreover, precision irrigation contributes to environmental sustainability by minimizing the potential negative impacts of excess water usage, such as soil erosion and nutrient leaching [27,28,29].
To ensure cost-effectiveness and bloom quality, careful studies about simplified cultivation technologies of potted chrysanthemum are required for large-scale chrysanthemum production [30]. This study systematically investigated the growth status of potted chrysanthemums under different substrates, water, and fertilizer ratios and laid essential theoretical and practical foundations for improving the future quality and efficiency of potted chrysanthemum production.

2. Materials and Methods

2.1. Experimental Site and Materials

C. morifolium ‘Hanluqiushi’ was provided by Beijing Florascape Co., Ltd. The experiment was conducted from July to October 2021 at the Beijing Florascape Co. in Shunyi District, Beijing, China (40°21′ N, 116°51′ E). The average local temperature from July to October is 24.5 °C, with an average of 13.6 h of sunshine. The seedlings were potted on July 1st in plastic pots (diameter = 13.5 cm, height = 15.5 cm). A controlled-release fertilizer with a nitrogen, phosphorus, and potassium ratio of 14:14:14 was mixed in the substrate at a dosage of 3 kg/m3 with one seedling per pot. Xinyang Guotong Co., Ltd. (Xinyang, China) provided the coir, and Beijing Florascape Co. supplied the moss peat, pine needle mulch, and perlite. Urea (containing N: 46%) was used as the nitrogen fertilizer, calcium superphosphate (containing P2O5: 16%) was used as the phosphate fertilizer, and potassium sulfate (containing K2O: 52%) was used as the potassium fertilizer. Beijing Florascape Co., Ltd. supplied the recovered substrate from the 2021 and 2022 potted chrysanthemum substrate that was recycled through open-air composting and primary crushing.

2.2. Experiments on Substitute Substrates

The fermented peanut shell, coir, bark, fungal residue, and rice husk were used to gradually replace the peat, which was used in the traditional potted substrate (peat: perlite: pine needle soil = 6:2:2), and 15 composite substrates were formed (T1–T15), peat: perlite: pine needle soil = 6:2:2 was used as the control group, and T16 and T17 were the recovered substrate group. The specific substitute substrate ratio is shown in Table 1. A total of 18 experimental groups were set up, including one control group (CK) and 17 treatment groups (T1–T17), each repeated ten times. Each treatment group was treated with ten pots, one seedling per pot.
Watering during cultivation was conducted before 10:00 every day according to weather conditions. Other cultivation management measures were treated the same except for the test conditions.
After potting, plants were watered once a day, and water-soluble fertilizer was applied once a week. We used LARRY (Wuhan Greencare Fertilizers Co., Ltd., Wuhan, China), a water-soluble fertilizer with a ratio of nitrogen, phosphorus, and potassium 20:10:20 in the growth period.

2.3. Experiments on Nitrogen–Phosphorus–Potassium Rationing

The fertilizer program including a control group (Clear water treatment) and LARRY fertilizer (water-soluble fertilizer commonly used in floriculture production, N: P: K = 20:10:20, Wuhan Greencare Fertilizers Co., Ltd., Wuhan, China) is shown in Table 2. It was applied using a three-factor, three-level, completely randomized group orthogonal experimental design. A total of 100 mL of the fertilizer solution was applied to each flower container once the fertilizer had been equally distributed and dissolved in the water. The concentration of the fertilizer was ascertained and converted into the appropriate mass. During fertilization, fertilizer was dissolved in water and placed evenly in pots, and 100 mL of fertilizer solution was added to each pot each time. Five pots, one seedling per pot, were treated by each treatment group.

2.4. Experiments on Substrate and Water-Fertilizer Rationing

The N3P3K2 (24 mmol/L N, 3.0 mmol/L P, and 7.0 mmol/L K, which was tested as the best NPK ratio through the experiment above) was chosen as the reference for this experiment. Three gradients of substrate treatments were referenced from our previous study, including the poor substrate combination (coir: perlite: pine needle mulch = 6:2:2), the best substrate combination (coir: moss peat: perlite: pine needle mulch = 2:4:2:2), and the substrate combination typically used in production. The percentage of saturated water capacity was used to express the three moisture treatments (W1, W2, and W3), and the weighing method was used to manage the moisture levels. Three concentration gradients of N3P3K2 (0.5×, 1×, and 1.5×) were established for fertilizer. The detailed experimental plan is shown in Table 3. The concentration of the fertilizer was ascertained and converted into the appropriate mass. During fertilization, fertilizer was dissolved in water and placed evenly in pots, and 100 mL of fertilizer solution was added to each pot each time. Three pots, one seedling per pot, were treated by each treatment group.

2.5. Measurement of Growth and Physiological Indices

After 80 days of cultivation, growth parameters including height, crown diameter, stem diameter, flower numbers, flower diameter, chlorophyll content, photosynthetic index, shoot dry weight, shoot fresh weight, total N, total P, and total K were measured. The detailed methods were adopted from a previous study [31,32,33].

2.5.1. Determination of Physical Properties of Substrates

The extracts were obtained by saturation extraction, pH was determined by a pH acidity meter (Potentiometric method), and EC values were determined by a DDS-307 conductivity meter.
A ring knife with a volume of 200 mL was used; the ring knife was weighed to W0 mass, filled with a naturally dried mixed matrix, weighed as W1, and soaked in water for 24 h, weighed as W2. Soil bulk density and total porosity are calculated according to the following formula:
B u l k   d e n s i t y = ( W 1 W 0 ) 200
T o t a l   p o r o s i t y = ( W 1 W 0 ) 200 × 100 %

2.5.2. Plant Height and Crown Width

A ruler was used to measure the height from the base of the chrysanthemum rhizome to the highest branch (accurate to 0.01 cm).

2.5.3. Photosynthetic Index

Measurements were made with a portable plant photosynthetic instrument (LI-6400, LI-COR Biosciences, Beijing, China). Three plants were selected for each treatment, three mature leaves in the middle and periphery of each plant were selected for measurement, and the average value was calculated. Assay times were 9–11 a.m. The net photosynthetic rate (Pn) (accurate to 0.001 μmol CO2/(m2·s)), transpiration rate (Tr) (accurate to 0.001 mmol H2O/(m2·s)), intercellular CO2 concentration (Ci) (accurate to 0.001 μmol/mol), and stomatal conductance (Gs) (accurate to 0.001 mol H2O/(m2·s)) were measured.

2.5.4. Flower Diameter

When the potted chrysanthemum was in full bloom, the largest flower diameter was measured using vernier calipers; 3 plants were selected for each treatment, five flowers were taken from each plant to measure, and the average value was calculated (accurate to 0.01 mm).

2.5.5. Determination of Fresh and Dry Weight of Shoots

The chrysanthemums were cut from the rhizomes, and the above-ground parts were kept and weighed with an electronic balance to determine the fresh weight (accurate to 0.01 g). Then, they were put in an oven at 120 °C for 30 min, dried at 80 °C to constant weight, and weighed with an electronic balance to determine the dry weight (accurate to 0.01 g).

2.5.6. Analysis of Plant Nutrients

Plant samples were crushed into a powder in a grinder for biomass analysis, and the powder was subsequently filtered through a sieve with a mesh size of 100. H2SO4–H2O2 was used to filter the abrasive material (0.2 g). The total nitrogen concentration was ascertained using the Kjeldahl nitrogen determination method and the KDY-9820 automatic nitrogen ion meter. The molybdenum phosphate yellow technique and the UV-2550 UV-Vis spectrophotometer were used to calculate the total phosphorus concentrations. SpectraAA220 atomic absorption spectrometry was used to measure total K concentrations.

2.6. Statistical Analysis

One-way analysis of variance (ANOVA) and principal component analysis (PCA) were performed using SPSS 21.0, containing all the indices, and multiple comparisons were performed using Duncan’s test for significant differences (p < 0.05). The results were plotted using GraphPad Prism 8.

3. Results

3.1. Effects of Substitute Substrates on the Growth and Physiological Indices of Potted Chrysanthemum

3.1.1. Analysis of Physicochemical Properties of Different Substrates

Table 4 displays the physicochemical characteristics of several substitute substrates. The recovery matrix T17 group had the highest bulk density, while the coir matrix T6 group had the lowest. In contrast to the CK group, the bulk density of the substrate entirely substituted with bark (T9), rice husk (T12), and fungal residue (T15) increased, whereas the bulk density of the substrate substituted with peanut shell (T3) and coir (T6) decreased. Regarding total porosity, coir substrate T6 had the most extensive total porosity, and recovered matrix T16 had the most minor total porosity. The substitute substrate group of peanut shell (T1, T2, T3) and coir (T4, T5, T6) increased compared with the CK group. In contrast, the substitute substrate group of bark (T7, T8, T9), rice husk (T10, T11, T12), and fungal residue (T13, T14, T15) decreased compared with the control group. Regarding the EC value, the EC value of the T12 group was the highest, while that of the T17 group was the most minor. The recovery substrates (T16, T17) decreased compared with the control group, and the rest increased. In terms of pH value, the pH value of T10 was the smallest, while that of T17 was the largest, the substitute substrate group of rice husk (T10, T11, T12) was acidic, and the other groups were neutral or weakly alkaline. The T17 treatment group was alkaline, and the other groups were within the appropriate range.
The total nitrogen content was the highest in CK, followed by the T3 substitute substrate, and the lowest in the T6 substitute substrate. The entire nitrogen content of the substitute substrate group of peanut shells (T1, T2, T3) and rice husks (T11, T12, T13) was higher than the rest. The total nitrogen content decreased with the decrease in peat in all substitute substrate groups. The entire phosphorus content was the highest in the T12 substitute substrate and the lowest in the T8 substitute substrate. The total potassium content was the highest in the T6 substitute substrate and the weakest in T3. The total phosphorus content increased as the peat decreased in all substitute substrate groups. The organic carbon content was the highest in CK and the lowest in T15. As the moss peat content decreased, the organic carbon content in all substrates decreased.

3.1.2. Effects of Substitute Substrates on Growth Indices of C. morifolium ‘Hanluqiushi’

The plants’ growth indices of ‘Hanluqiushi’ under various circumstances are shown in Table 5. Gradually rising fertility was accompanied by progressive plant height and crown diameter increases.
At 80 days of cultivation, the plant height of the potted chrysanthemum treated with traditional cultivation substrate CK was 16.47 cm, and the highest plant height was 18.87 cm in the T4 treatment group, which was significantly 114.6% higher than that of the CK group. The lowest was 8.87 cm in the T6 treatment group, significantly different from the CK group. In terms of crown diameter, the crown width of the CK group was 26.5 cm. The crown width of the T4 treatment group was the largest, 27.73 cm, 104.6% larger than that of the CK group. The T17 treatment group had the smallest crown width, 16.67 cm, significantly smaller than the CK group.

3.1.3. Effects of Substitute Substrates on Physiological Indices of C. morifolium ‘Hanluqiushi’

As is shown in Figure 1a–d, different treatments affected the photosynthetic indexes of ‘Hanluqiushi’. Regarding the net photosynthetic rate, the CK group had the highest photosynthetic rate, while the T17 treatment group had the lowest, significantly different from the CK group. Moreover, the stomatal conductance was the highest in the T2 treatment group and the smallest in the T10 treatment group. Regarding intercellular carbon dioxide concentration, the T17 treatment group was the highest and the T8 treatment group was the lowest, while the transpiration rate was the highest in the T10 treatment group and the lowest in the T6 treatment group.
As is shown in Figure 2, significant differences existed in the fresh and dry weight of shoots of chrysanthemum cultivated in different substrate treatment groups (p < 0.05). The fresh weight of the shoots in the CK treatment group was 241.9 g. The T8 treatment group had the most significant fresh weight, which was 284.48 g, an increase of 117.6% compared with the CK group, while the T17 group, which was the most minor (48.21 g) was 80.1% lower than that of the CK group. The fresh weight of the T8 and T4 treatment groups was significantly higher than that of the CK group. Regarding dry weight, the dry weight of the shoots of the CK treatment group was 52.7 g. Among the treatment groups, the dry weight of the T7 treatment group was the largest, reaching 54.68 g, which was 103.7% higher than that of the CK group, while the dry weight of the T17 treatment group was the smallest at 8.63 g, 83.6% lower than that of the CK group.

3.1.4. Effects of Substitute Substrates on Blooming Indices of C. morifolium ‘Hanluqiushi’

As is shown in Figure 3 and Figure 4, during the entire flowering period of ‘Hanluqiushi’, the chrysanthemum growth of the T6 and T17 treatment groups was significantly weaker than that of the CK group, and the T17 treatment group was the weakest. Significant differences existed in the ‘Hanluqiushi’ flower diameter cultivated with the different substrates (p < 0.05). The flower diameter of the CK group was 48.88 mm, while that of the T4 treatment group was the largest (52.37 mm), which was 7.1% higher than that of the control group. The flower diameter of the T16 treatment group was the smallest (36.38 mm), which was 25.6% smaller than that of the control group.

3.1.5. Comprehensive Evaluation of Substitute Substrates

According to the Figure 5, nine indicators for potted chrysanthemums with various nitrogen, phosphorus, and potassium ratios were evaluated using principal component analysis (PCA). Three significant components, accounting for 89.26% of the total variance, were retrieved. Principal component scores (F) and growth indicators were shown to be related. Table 6 presents the final scoring formulas for each principal component. Chrysanthemum growth was evaluated thoroughly using composite ratings (F). The score for treatment group T4 (coir: moss peat: perlite: pine needle soil = 2:4:2:2) was 1.27, followed by T5 (coir: moss peat: perlite: pine needle soil = 4:2:2:2) with 1.20, while the control group CK came in seventh overall with a score of 0.23. Using this analysis, the best substitute substrate can be chosen for improved chrysanthemum production, shown in Table 7. According to the integrated evaluation of the principal component analysis, the combined performance of the T4 treatment group was significantly better than that of the CK and the T4 treatment groups (coir: moss peat: perlite: pine needle soil = 2:4:2:2) was the best substitute substrate under the traditional cultivation substrate conditions.

3.2. Effects of Nitrogen, Phosphorus, and Potassium Ratios on the Growth and Physiological Indices of Potted Chrysanthemum

3.2.1. Effects of Nitrogen, Phosphorus, and Potassium Ratios on C. morifolium ‘Hanluqiushi’ Growth Indices

The plants’ growth indices of ‘Hanluqiushi’ under various circumstances are shown in Table 8. Gradually rising fertility was accompanied by progressive increases in plant height, crown diameter, and stem diameter. The fertilizer level influenced the substantial difference in plant height across treatments (p < 0.05). At day 80, the plants in the LR, F3, and F6 treatment groups were the tallest, the LR and F9 treatment groups had the largest crown diameter, and the F9 treatment group had the thickest stems.

3.2.2. Effects of Nitrogen, Phosphorus, and Potassium Ratios on Physiological Indices of C. morifolium ‘Hanluqiushi’

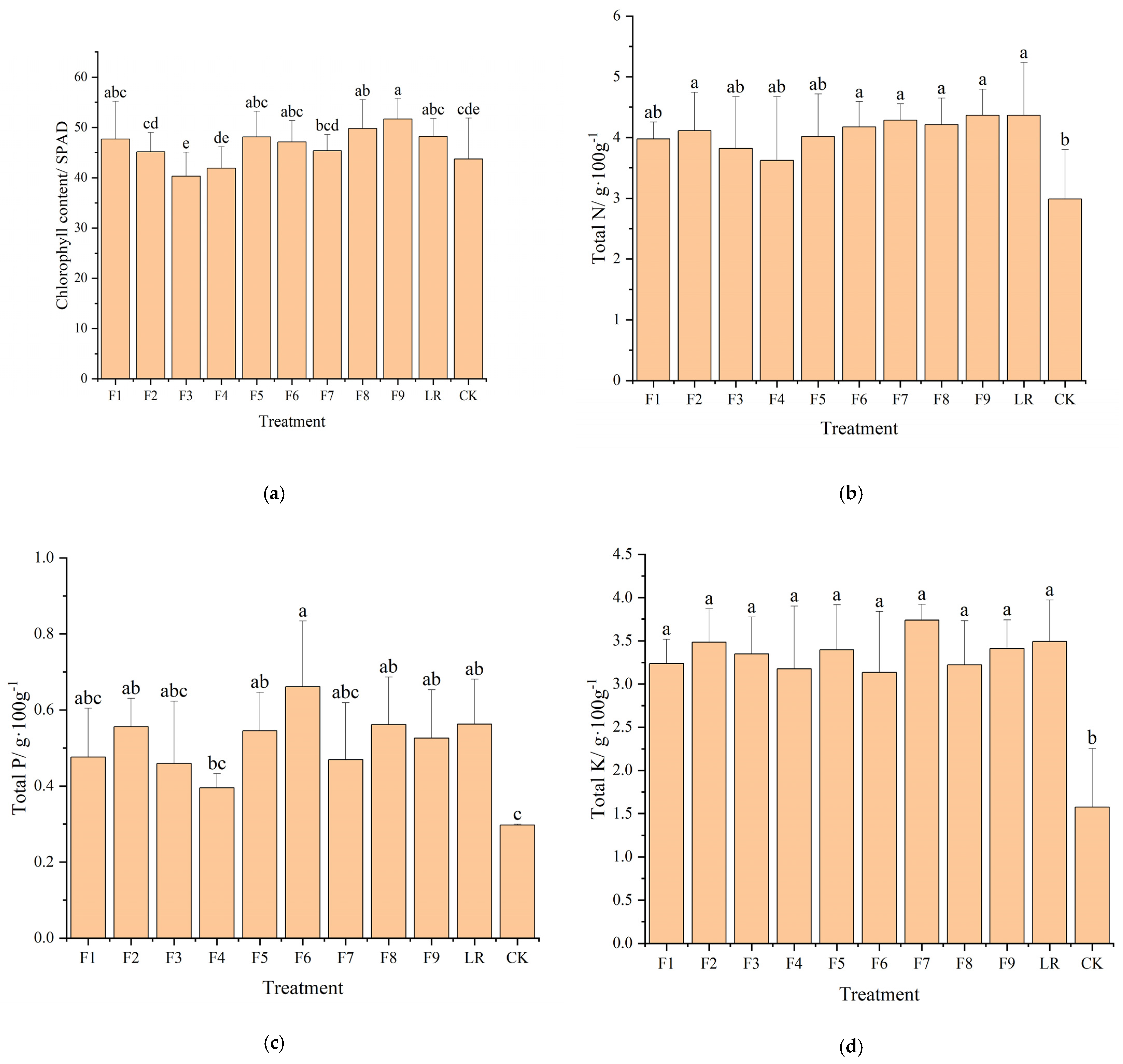
To assess the effects of different fertilizer treatments on potted chrysanthemums, we focused on comparing the biomass, chlorophyll content, and nutrient content of the whole plant at the 80 days of cultivation (Figure 6 and Figure 7). Significant interactions between different ratio treatments and organs were observed, greatly influencing the nutrient content (p < 0.05). The shoot fresh weight of the aerial parts in the CK treatment group was 14.76 g. The F9 treatment group had the highest fresh weight of 52.29 g, 354.27% higher than the control group. The dry weight of the aerial parts of the CK treatment group was 3.38 g. The maximum dry weight of the F4 treatment group was 12.60 g, which was 372.78% higher than that of the control group, and the CK dry weight was the lowest in the control group. The F9 treatment group had the most incredible chlorophyll content (118.28% of CK).
Regarding the total nitrogen (TN) content and total phosphorus (TP) content, the TN content ranged between 2.99 to 44.37 g·100 g−1, while the F9 treatment group had the highest TN content. Although variations in the TP content were negligible, fertilization significantly increased the TP content of all plants. The F6 treatment group exhibited the highest increase in TP content (222.48% of CK). For the total potassium (TK) content, all treatment groups showed a significant deviation from the CK. The LR and F9 treatment groups had the highest TK content (221.74% and 216.60% of CK, respectively).

3.2.3. Effects of Nitrogen, Phosphorus, and Potassium Ratios on Flower Qualities of C. morifolium ‘Hanluqiushi’

As is shown in Figure 8 and Figure 9, regarding the number of flowers, the X9 group had the most, 172.80, while the CK group had the fewest, 41.80. Concerning flower diameter, the X5 group had the biggest (55.16 mm), while the CK group had the smallest (43.94 mm).

3.2.4. Comprehensive Evaluation of Nitrogen, Phosphorus, and Potassium Fertilizer Rationing

As shown in Figure 10, eleven indicators for potted chrysanthemums with various nitrogen, phosphorus, and potassium ratios were evaluated using principal component analysis (PCA). Four significant components, accounting for 85.25% of the total variance, were retrieved. Principal component scores (F) and growth indicators were shown to be related. Table 9 presents the final scoring formulas for each principal component. Chrysanthemum growth was evaluated thoroughly using composite ratings (F). The score for treatment group X9 (N3 P3 K2) was 0.83, was followed by LR with 0.72, while the control group CK came in eleventh overall with a score of 0.19. With use of this analysis, the best nutrient ratios can be chosen for improved chrysanthemum production, as shown in Table 10. According to the integrated evaluation of the principal component analysis, the combined performance of the X9 treatment group was significantly better than that of the CK and LR, and the X9 treatment group (N3 P3 K2) was the best NPK fertilizer program under the traditional cultivation substrate conditions.

3.3. Effects of Substrate, Water, and Fertilizer Ratio on the Growth and Physiological Indices of Potted Chrysanthemum

3.3.1. Effect of Substrate, Water, and Fertilizer Ratio on the Growth Indices of C. morifolium ‘Hanluqiushi’

The plants’ growth indices of ‘Hanluqiushi’ under various circumstances are shown in Table 11. Gradually rising fertility was accompanied by progressive plant height, crown diameter, and stem diameter increases. The fertilizer level influenced the substantial difference in plant height across treatments (p < 0.05). At day 80, the plants in the W1, W5, and W6 treatment groups were the tallest, the W6 treatment group had the largest crown diameter, and the W2, W4, and W6 treatment groups had the thickest stems.

3.3.2. Effect of Substrate, Water, and Fertilizer Ratio on the Physiological Indices of C. morifolium ‘Hanluqiushi’

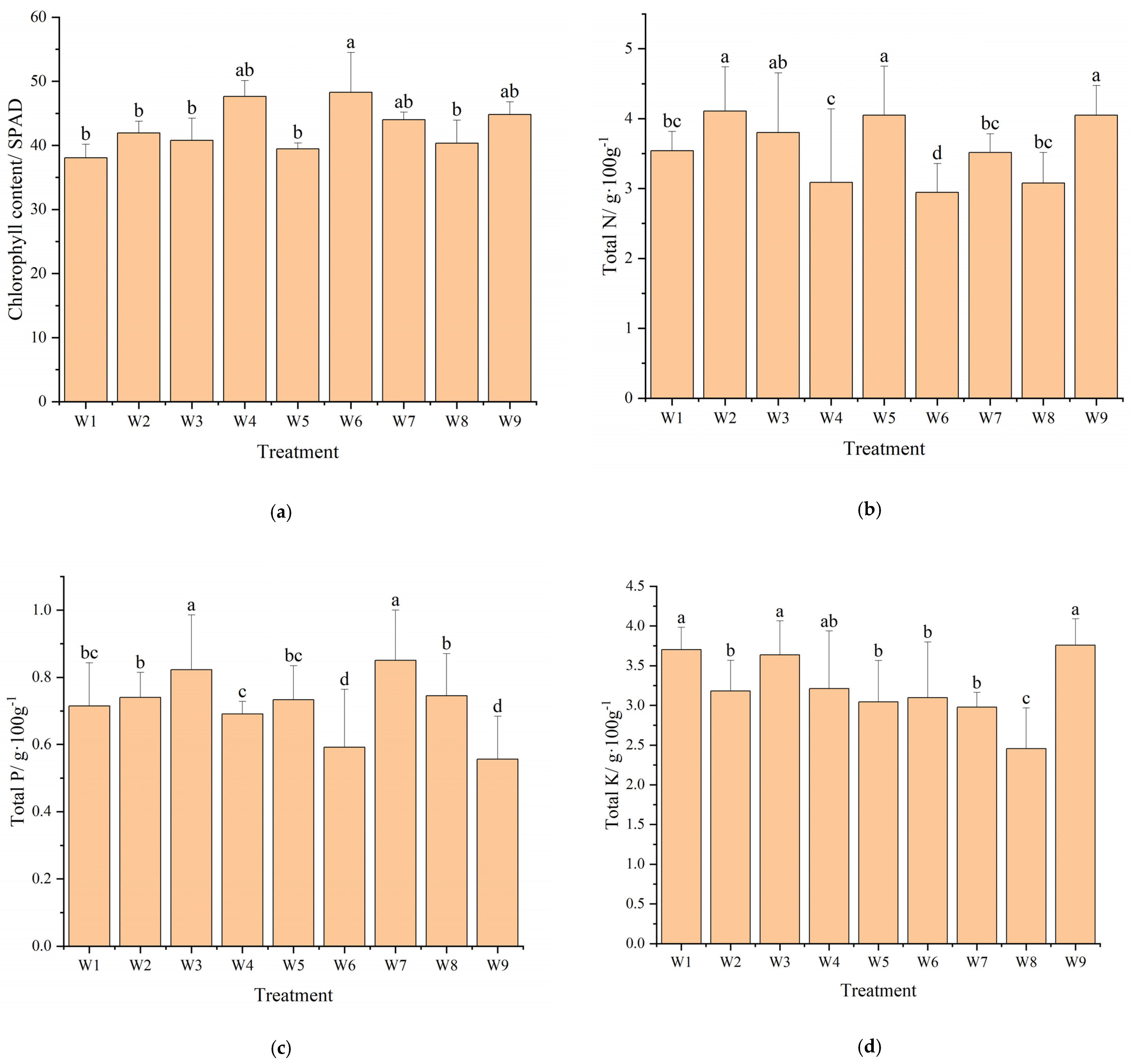
To assess the effects of different fertilizer treatments on potted chrysanthemums, we focused on comparing the biomass, chlorophyll content, and nutrient content of the whole plant at the 80 days of cultivation (Figure 11 and Figure 12). Significant interactions between different ratio treatments and organs were observed, greatly influencing the nutrient content (p < 0.05). The shoot fresh weight of the aerial parts in the W1 treatment group was 24.55 g. The W4 treatment group had the highest fresh weight of 43.01 g, 175.19% higher than the control group. The dry weight of the aerial parts of the W1 treatment group was 5.78 g. The maximum dry weight of the W6 treatment group was 7.56 g, which was 130.80% higher than that of the control group, and the CK dry weight was the lowest in the control group. The W6 treatment group had the most incredible chlorophyll content (126.84% of CK).
Regarding the total nitrogen (TN) content and total phosphorus (TP) content, the TN content ranged between 2.95 to 4.10 g·100 g−1, while the W2 treatment group had the highest TN content. Although variations in the TP content were negligible, fertilization significantly increased the TP content of all plants. The W7 treatment group exhibited the highest increase in TP content (119.72% of W1). For the total potassium (TK) content, the W9 treatment group had the highest TK content (101.62% of W1).

3.3.3. Effects of Substrate, Water, and Fertilizer Ratio on Flower Qualities of C. morifolium ‘Hanluqiushi’

As is shown in Figure 13 and Figure 14, regarding the number of flowers, the W4 group had the most (159.30), while the W7 group had the fewest (56.33). Concerning flower diameter, the W6 group had the biggest (52.67 mm), while the W8 group had the smallest (38.73 mm).

3.3.4. Integrated Evaluation of Substrate and Water Fertilization

As is shown in Figure 15, eleven indicators for potted chrysanthemums with various nitrogen, phosphorus, and potassium ratios were evaluated using principal component analysis (PCA). Four significant components, accounting for 89.25% of the total variance, were retrieved. Principal component scores (F) and growth indicators were shown to be related. Table 12 presents the final scoring formulas for each principal component. Chry-santhemum growth was evaluated thoroughly using composite ratings (F). The score for treatment group W6 was 0.69, followed by W4 with 0.66, while W7 came in ninth with a score of 0.21. With use of this analysis, the best substrate and water fertilization can be chosen for improved chrysanthemum production, as shown in Table 13. According to the integrated evaluation of the principal component analysis, the combined performance of the W6 treatment group was significantly better than that of the others, and the W6 treat-ment group was the best substrate and water fertilization under the traditional cultivation substrate conditions.

4. Discussion

Simplified cultivation in ornamental plants, including Pelargonium hortorum, Cyclamen persicum [34], Euphorbia pulcherrima [35], etc., has been reported in the literature. Chrysanthemum morifolium, one of the top ten cut flowers and one of the most popular potted flowers in the international market, is widely used in landscaping [21]. Currently, China’s potted chrysanthemum industry suffers from problems of high substrate cost, sloppy water and fertilizer management, uneven quality of potted flowers, a severe mismatch between the scale of the industry and existing industrial or technological innovations, etc. Therefore, applying simplified cultivation in the potted chrysanthemum industry is necessary.
In soilless culture, the substrate is the medium for plant growth, providing water, fertilizer, and an excellent inter-root environment; its physicochemical properties are closely related to plant growth and development, and it helps to reduce soil-related problems in conventional crop cultivation [22]. Moss peat is currently the most commonly used substrate for soilless culture. However, due to the high environmental damage associated with its acquisition, there is a need to develop new and excellent soilless substrates to replace moss peat in its application. A few of the more prevalent alternatives to substrates are rice husk, bark [36], coir [37], and compost [38]. It has been discovered that most of the impact requirements for Pelargonium hortorum could be met by raising the compost content to 40%, reducing the need for chemical fertilizers [34]. To grow Gerbera jamesonii, compost and coir can be mixed together as a culture substrate instead of peat [39]. Compared to regular imported peat, Anthurium andraeanum can flower at its best when a portion of moss peat is replaced with rotten rice husks and agroforestry wastes [40], which can also be applied as a substitute substrate in production [41]. In this experiment, nine indicators of potted chrysanthemums were combined by principal component analysis to evaluate 18 substrates. The results showed that the T4 treatment group (coir: moss peat: perlite: pine needle soil = 2:4:2:2) was the best, which was consistent with the results of Xiong et al. [38] and Riaz et al. [39].
Different N, P, and K fertilizer applications have a significant impact on the physiological indices of Machilus chinensis seedlings [42]; the use of N: P: K = 2: 3: 2 fertilizers in chrysanthemum cultivation resulted in the best performance of chrysanthemums in photosynthetic shape and flowering traits [43]. Appropriate N, P, and K fertilization increased plant height, crown spread, diameter, and total biomass of seedlings [41], which agrees with the present study’s findings. The present study found that chrysanthemum growth was significantly better than CK after fertilizer application. The F9 treatment group was superior to CK and LR used in general flower production with an F value of 0.83, which was ranked first overall. Nitrogen is an essential nutrient for plant growth and photosynthesis [43]. In this experiment, plant height, crown width, and stem thickness increased significantly with nitrogen concentration. Consistent with the previous study’s findings, potash is an essential nutrient for plant protein, transpiration, respiration, and chlorophyll production, and is also necessary to improve the flower traits of flower crops [42]. In the present study, the plants’ chlorophyll content and flower size also increased with the increase in potassium content, which agrees with previous studies findings. Therefore, using 336 mg/L nitrogen, 93 mg/L phosphorus, and 273 mg/L potassium, as seen in the F9 treatment group, can be considered an ideal NPK fertilizer in conventional cultivation substrates.
In this experiment, the S6 treatment group using 40% water holding capacity, N3P3K2 fertilizer had the most significant plant height and crown diameter, the largest flower diameter, and the highest number of flower heads, which indicates that 40% water holding capacity is beneficial to the growth of plant height and crown size of potted chrysanthemum. On the other hand, S4 treated with N3P3K2 fertilizer had the highest fresh and dry weight, while plants treated with 1.5 times N3P3K2 fertilizer concentration showed a decrease in all indicators. This indicates that the appropriate increase in fertilizer concentration can achieve the effect of increased yield, and too high fertilizer concentration will instead inhibit the growth of plants, which is consistent with the results of previous studies [44].
Through the screening of substitute substrates, the screening of nitrogen, phosphorus, and potassium ratios, and the screening of substrate water and fertilizer formulas, this study comprehensively and systematically explored the cultivation and maintenance schemes in the production of potted chrysanthemums and built a light, simple, and efficient production technology system for potted chrysanthemums in an open field that is suitable for the climatic characteristics of northern China, providing feasible technical specifications and a theoretical basis for the refinement and large-scale management of potted chrysanthemums. However, this study only used the chrysanthemum quality ‘Hanluqiushi’ as the experimental material; thus, more data are needed for the whole chrysanthemum cultivation industry. In addition, the cultivation time was half a month later than the critical time of chrysanthemum production, which resulted in the overall growth of the subsequent chrysanthemums being weaker than that of actual production. Therefore, it is recommended that future trials are conducted for more cultivars at the appropriate production time to verify the cultivation effect of the substitute substrate and water and fertilizer formulations.
Last but not least, the production of chrysanthemums in pots with the ideal ratios of water holding capacity (40%), fertilizer (N3P3K2), and substrate (coir: moss peat: perlite: pine needle soil = 2:4:2:2) produced a production cost of RMB 2.64/m3, 16.4% less than that of the CK group (with a production cost of RMB 3.28/m3).

5. Conclusions

This study aimed to enhance the quality and efficiency of potted chrysanthemum production in China. The substitute substrate experiment demonstrated that coir: moss peat: perlite: pine needle mulch = 2:4:2:2 is the most suitable substitute substrate among others. Through research on fertilizer ratios, it was found that the best growth and flowering characteristics of chrysanthemums were achieved with nitrogen, phosphorus, and potassium concentrations of 336 mg/L, 93 mg/L, and 273 mg/L, respectively. The substrate–water–fertilizer coupling experiment demonstrated that utilizing a 2:4:2:2 ratio of coir, moss peat, perlite, and pine needle mulch, along with 40% water capacity, and 336 mg/L nitrogen, 93 mg/L phosphorus, and 273 mg/L potassium led to improved chrysanthemum behavior. In addition, production costs are reduced by 16.4% with the use of new water, fertilizer and substrate management. These findings provide valuable insights for optimizing potted chrysanthemum cultivation practices.

Author Contributions

Conceptualization, Y.L. and J.G. methodology, Y.L., T.Z. and J.G.; software, T.Z., H.S. and Y.L.; validation, Y.L., T.Z. and J.G.; formal analysis, D.L.; investigation, Y.L., C.L. and R.X.; resources, M.S., J.Z. and D.L.; data curation, T.Z., C.L. and R.X.; writing—original draft preparation, Y.L., T.Z. and J.G.; writing—review and editing, Y.L. and J.Z.; visualization, Y.L. and H.S.; supervision, M.S.; project administration, M.S.; funding acquisition, M.S. All authors have read and agreed to the published version of the manuscript.

Funding

This research was funded by the National Natural Science Foundation of China, grant number 32271947, and the Science, Technology and Innovation Project of Xiongan New Area, grant number 2022XAGG0100.

Data Availability Statement

Data are contained within the article.

Conflicts of Interest

The authors declare no conflicts of interest.

References

  1. Zhou, X.; Chen, X.; Wu, X.; Cao, G.; Zhang, J. Characterization of the chemical composition of white chrysanthemum flowers of Hangzhou by using high-performance ion trap mass spectrometry. J. Sep. Sci. 2016, 39, 1218–1222. [Google Scholar] [CrossRef] [PubMed]
  2. Herrera-Estrella, L.; Lopez-Arredondo, D. Phosphorus: The underrated element for feeding the world. Trends Plant Sci. 2016, 21, 461–463. [Google Scholar] [CrossRef] [PubMed]
  3. Ribeiro, H.M.; Vasconcelos, E.; Santos, J. Fertilisation of potted geranium with a municipal solid waste compost. Bioresour. Technol. 2000, 73, 247–249. [Google Scholar] [CrossRef]
  4. Jia, Y.; Li, F.; Wang, X.; Yang, S.-M. Soil water and alfalfa yields as affected by alternating ridges and furrows in rainfall harvest in a semiarid environment. Field Crops Res. 2006, 97, 167–175. [Google Scholar] [CrossRef]
  5. Time, A.; Ponce, C.; Kuhn, N.; Arellano, M.; Sagredo, B.; Donoso, J.M.; Meisel, L.A. Canopy spraying of abscisic acid to improve fruit quality of different sweet cherry cultivars. Agronomy 2021, 11, 1947. [Google Scholar] [CrossRef]
  6. Gruda, N.; Bisbis, M.B.; Tanny, J. Impacts of protected vegetable cultivation on climate change and adaptation strategies for cleaner production—A review. J. Clean. Prod. 2019, 225, 324–339. [Google Scholar] [CrossRef]
  7. Gruda, N.; Caron, J.; Prasad, M.; Maher, M.J. Growing media. In Encyclopedia of Soil Sciences, 3rd ed.; Lal, R., Ed.; CRC Press Taylor & Francis Group: Boca Raton, FL, USA, 2016; pp. 1053–1058. [Google Scholar]
  8. Savvas, D.; Gruda, N. Application of soilless culture technologies in the modern greenhouse industry—A review. Eur. J. Hortic. Sci. 2018, 83, 280–293. [Google Scholar] [CrossRef]
  9. Lloyd, I.L.; Thomas, V.; Ofoegbu, C.; Bradley, A.V.; Bullard, P.; D’Acunha, B.; Delaney, B.; Driver, H.; Evans, C.D.; Faulkner, K.J.; et al. State of Knowledge on UK Agricultural Peatlands for Food Production and the Net Zero Transition. Sustainability 2023, 15, 16347. [Google Scholar] [CrossRef]
  10. Felix, E.; Benedikt, J.; Jessica, S.; Garske, B. Peatland Governance: The Problem of Depicting in Sustainability Governance, Regulatory Law, and Economic Instruments. Land 2020, 9, 83. [Google Scholar]
  11. Reumer, M.; Harnisz, M.; Lee, H.J.; Reim, A.; Grunert, O.; Putkinen, A.; Fritze, H.; Bodelier, P.L.; Ho, A. Impact of peat mining and restoration on methane turnover potential and methane cycling microorganisms in a northern bog. Appl. Environ. Microbiol. 2018, 84, e02218-17. [Google Scholar] [CrossRef]
  12. Papafotiou, M.; Phsyhalou, M.; Kargas, G.; Chatzipavlidis, I.; Chronopoulos, J. Olive-mill wastes compost as growing medium component for the production of poinsettia. Sci. Hortic. 2004, 102, 167–175. [Google Scholar] [CrossRef]
  13. Altieri, R.; Esposito, A.; Baruzzi, G. Use of olive mill waste mix as peat surrogate in substrate for strawberry soilless cultivation. Int. Biodeterior. Biodegrad. 2010, 64, 670–675. [Google Scholar] [CrossRef]
  14. El-Mola, M.; El-Behairy, U.A. Effect of different organic media on growth of cucumber seedlings. J. Appl. Sci. Res. 2012, 3, 1430–1440. [Google Scholar]
  15. Polat, E.; Uzun, H.I.; Topçuoglu, B.; Önal, K.; Onus, A.N.; Karaca, M. Effects of spent mushroom compost on quality and productivity of cucumber (Cucumis sativus L.) grown in greenhouses. Afr. J. Biomed. Res. 2009, 8, 176–180. [Google Scholar]
  16. Djidonou, D.; Zhao, X.; Koch, K.E.; Zotarelli, L. Nitrogen accumulation and root distribution of grafted tomato plants as affected by nitrogen fertilization. HortScience 2019, 54, 1907–1914. [Google Scholar] [CrossRef]
  17. Jia, X.; Wang, L.; Zeng, H.; Yi, K. Insights of intracellular/intercellular phosphate transport and signaling in unicellular green algae and multicellular land plants. New Phytol. 2021, 232, 1566–1571. [Google Scholar] [CrossRef] [PubMed]
  18. Johnson, R.; Vishwakarma, K.; Hossen, M.S.; Kumar, V.; Shackira, A.M.; Puthur, J.T.; Abdi, G.; Sarraf, M.; Hasanuzzaman, M. Potassium in plants: Growth regulation, signaling, and environmental stress tolerance. Plant Physiol. Biochem. 2022, 172, 56–69. [Google Scholar] [CrossRef] [PubMed]
  19. Dana, S.; Herdean, A.; Lundin, B.R.; Spetea, C. Retracted: Each of the chloroplast potassium efflux antiporters affects photosynthesis and growth of fully developed Arabidopsis rosettes under short-day photoperiod. Physiol. Plant. 2016, 158, 483–491. [Google Scholar] [CrossRef]
  20. Sainju, U.M.; Singh, B.P.; Whitehead, W.F. Comparison of the effects of cover crops and nitrogen fertilization on tomato yield, root growth, and soil properties. Sci. Hortic. 2001, 91, 201–214. [Google Scholar] [CrossRef]
  21. Thakur, T.; Grewal, H.S. Influence of potting media compositions on flower production of chrysanthemum (Chrysanthemum morifolium Ramat) cultivar Kikiobiory. J. Plant Nutr. 2019, 42, 1861–1867. [Google Scholar] [CrossRef]
  22. Gruda, N. Increasing Sustainability of Growing Media Constituents and Stand-Alone Substrates in Soilless Culture Systems. Agronomy 2019, 9, 298. [Google Scholar] [CrossRef]
  23. Meharg, A. Marschners Mineral Nutrition of Higher Plants, 3rd ed.; Marschner, P., Ed.; Elsevier: Amsterdam, The Netherlands; Academic Press: Cambridge, MA, USA, 2011; p. 684. 124.95. ISBN 978-0-12-384905-2. Exp. Agr. 2012, 48, 305. [Google Scholar] [CrossRef]
  24. Elser, J.J.; Bracken, M.E.; Cleland, E.E.; Gruner, D.S.; Harpole, W.S.; Hillebrand, H.; Ngai, J.T.; Seabloom, E.W.; Shurin, J.B.; Smith, J.E. Global analysis of nitrogen and phosphorus limitation of primary producers in freshwater, marine and terrestrial ecosystems. Ecol. Lett. 2007, 10, 1135–1142. [Google Scholar] [CrossRef] [PubMed]
  25. FAO. The state of food and agriculture 2020. Overcoming Water Challenges in Agriculture; FAO: Rome, Italy, 2020. [Google Scholar]
  26. Aerts, R.; Chapin, F.S. The Mineral Nutrition of Wild Plants Revisited: A Re-evaluation of Processes and Patterns. In Advances in Ecological Research; Academic Press: Cambridge, MA, USA, 1999; Volume 30, pp. 1–67. [Google Scholar]
  27. Ohmiya, A. Molecular mechanisms underlying the diverse array of petal colors in chrysanthemum flowers. Breed. Sci. 2018, 68, 119–127. [Google Scholar] [CrossRef] [PubMed]
  28. Yin, H.; Cao, Y.; Marelli, B.; Zeng, X.; Mason, A.J.; Cao, C. Soil sensors and plant wearables for smart and precision agriculture. Adv. Mater. 2021, 33, 2007764. [Google Scholar] [CrossRef]
  29. Chen, M.; Zhu, K.; Tan, P.; Liu, J.; Xie, J.; Yao, X.; Chu, G.; Peng, F. Ammonia–nitrate mixture dominated by NH4+–N promoted growth, photosynthesis and nutrient accumulation in pecan (Carya illinoinensis). Forests 2021, 12, 1808. [Google Scholar] [CrossRef]
  30. Zou, N.; Huang, L.; Chen, H.; Huang, X.; Song, Q.; Yang, Q.; Wang, T. Nitrogen form plays an important role in the growth of moso bamboo (Phyllostachys edulis) seedlings. PeerJ 2020, 8, e9938. [Google Scholar] [CrossRef] [PubMed]
  31. Wu, Y.J.; Lu, Q.Y.; Gong, Y.; Zhang, Y.; Xu, Y.; Cai, M.; Pan, H.; Zhang, Q. Optimizing nitrogen, phosphorus, and potassium fertilization levels for container plants of Lagerstroemia Indica ‘Whit III’ based on the comprehensive quality evaluation. HortScience 2023, 58, 222–230. [Google Scholar] [CrossRef]
  32. Wang, Y.; Wu, W.H. Potassium transport and signaling in higher plants. Annu. Rev. Plant Biol. 2013, 64, 451–476. [Google Scholar] [CrossRef]
  33. Raviv, M. Can compost improve sustainability of plant production in growing media? Acta Hortic. 2017, 1168, 119–134. [Google Scholar]
  34. Bonaguro, J.; Coletto, L.; Sambo, P.; Nicoletto, C.; Zanin, G. Environmental Analysis of Sustainable Production Practices Applied to Cyclamen and Zonal Geranium. Horticulturae 2021, 7, 8. [Google Scholar] [CrossRef]
  35. Zanin, G.; Coletto, L.; Passoni, M.; Nicoletto, C.; Bonato, S.; Ponchia, G.; Sambo, P. Organic by-product substrate components and biodegradable pots in the production ofPelargonium × hortorum Bailey and Euphorbia pulcherrima L. Acta Hortic. 2016, 1112, 371–378. [Google Scholar] [CrossRef]
  36. Horie, K.; Baron, M.; Fox, R.B.; He, J.; Hess, M.; Kahovec, J.; Kitayama, T.; Kubisa, P.; Maréchal, E.; Mormann, W.; et al. Definitions of terms relating to reactions of polymers and to functional polymeric materials. Pure Appl. Chem. 2006, 76, 889–906. [Google Scholar] [CrossRef]
  37. Preeti, G.; Mulji, G.; Jignasa, R.; Halepotara, F.; Solanki, M.; Malam, V.R.; Barad, R. Role of Growing Media for Ornamental Pot Plants. Int. J. Pure App. Biosci. 2018, 6, 1219–1224. [Google Scholar]
  38. Xiong, J.; Tian, Y.; Wang, J.; Liu, W.; Chen, Q. Comparison of Coconut Coir, Rockwool, and Peat Cultivations for Tomato Production: Nutrient Balance, Plant Growth and Fruit Quality. Front. Recent. Dev. Plant Sci. 2017, 8, 1327. [Google Scholar] [CrossRef]
  39. Riaz, A.; Younis, A.; Ghani, I.; Tariq, U.; Ahsan, M. Agricultural waste as growing media component for the growth and flowering of Gerbera jamesonii cv. hybrid mix. Int. J. Recycl. Org. Waste Agric. 2015, 4, 197–204. [Google Scholar]
  40. Suo, L.N.; Sun, X.Y.; Li, S.Y. Use of organic agricultural wastes as growing media for the production of Anthurium andraeanum ‘Pink Lady’. J. Hortic. Sci. Biotechnol. 2011, 86, 366–370. [Google Scholar] [CrossRef]
  41. Lin, W.; Zhu, X.; Wu, Y.; Li, L.; Huang, H. Effects of Ratio Fertilization of N, P, K on Seedling Growth of Machilus chinensis. J. For. Environ. Sci. 2021, 12, 142–147. [Google Scholar]
  42. Choudhary, A.; Kumar, A.; Kumar, U.; Choudhary, R.; Kumar, R.; Jat, R.; Nidhibahen, P.; Hatamleh, A.A.; Al-Dosary, M.A.; Al-Wasel, Y.A.; et al. Various Fertilization Managements Influence the Flowering Attributes, Yield Response, Biochemical Activity and SoilNutrient Status of Chrysanthemum (Chrysanthemum morifolium Ramat.). Sustainability 2022, 14, 4561. [Google Scholar] [CrossRef]
  43. Abioye, O.F.; Nwoke, O.C. Phosphate rock: Origin, importance, environmental impacts and future roles. Environ. Rev. 2019, 24, 403–415. [Google Scholar]
  44. Luo, Z.; Song, H.; Huang, M.; Zhang, Z.; Peng, Z.; Zi, T.; Tian, C.; Eissa, M.A. Nitrogen-Reduction in Intensive Cultivation Improved Nitrogen Fertilizer Utilization Efficiency and Soil Nitrogen Mineralization of Double-Cropped Rice. Agronomy 2022, 12, 1103. [Google Scholar] [CrossRef]
Figure 1. Effect of substitute substrates on the physiological indices of potted chrysanthemums: (a) Intercellular CO2 concentration (vertical coordinate: Ci; mmol H2O/m2·s); (b) Stomatal conductance (vertical coordinate: Gs; μmol CO2/m2·s); (c) Transpiration rate (vertical coordinate: Tr; mmol H2O/m2·s); (d) Net photosynthetic rate (vertical coordinate: Pn; μmol CO2/m2·s). The horizontal coordinates represent the 18 treatment groups CK, T1–T17. Data are mean ± standard error (n = 3). Different lowercase letters indicate significant differences (p < 0.05), as determined by Duncan’s multiple range test.
Figure 1. Effect of substitute substrates on the physiological indices of potted chrysanthemums: (a) Intercellular CO2 concentration (vertical coordinate: Ci; mmol H2O/m2·s); (b) Stomatal conductance (vertical coordinate: Gs; μmol CO2/m2·s); (c) Transpiration rate (vertical coordinate: Tr; mmol H2O/m2·s); (d) Net photosynthetic rate (vertical coordinate: Pn; μmol CO2/m2·s). The horizontal coordinates represent the 18 treatment groups CK, T1–T17. Data are mean ± standard error (n = 3). Different lowercase letters indicate significant differences (p < 0.05), as determined by Duncan’s multiple range test.
Horticulturae 10 00138 g001
Figure 2. Effect of substitute substrates on the biomass of potted chrysanthemums. The vertical coordinate represents the weight (g). The horizontal coordinates represent the 18 treatment groups CK, T1-T17. Data are mean ± standard error (n = 3). Different lowercase letters indicate significant differences (p < 0.05), as determined by Duncan’s multiple range test.
Figure 2. Effect of substitute substrates on the biomass of potted chrysanthemums. The vertical coordinate represents the weight (g). The horizontal coordinates represent the 18 treatment groups CK, T1-T17. Data are mean ± standard error (n = 3). Different lowercase letters indicate significant differences (p < 0.05), as determined by Duncan’s multiple range test.
Horticulturae 10 00138 g002
Figure 3. Effect of substitute substrates on the flower diameter of potted chrysanthemums. The vertical coordinate represents the flower diameter (mm). The horizontal coordinates represent the 18 treatment groups CK, T1–T17. Different lowercase letters indicate significant differences (p < 0.05), as determined by Duncan’s multiple range test.
Figure 3. Effect of substitute substrates on the flower diameter of potted chrysanthemums. The vertical coordinate represents the flower diameter (mm). The horizontal coordinates represent the 18 treatment groups CK, T1–T17. Different lowercase letters indicate significant differences (p < 0.05), as determined by Duncan’s multiple range test.
Horticulturae 10 00138 g003
Figure 4. Effect of substitute substrates on the flower quality of potted chrysanthemums.
Figure 4. Effect of substitute substrates on the flower quality of potted chrysanthemums.
Horticulturae 10 00138 g004
Figure 5. Principal component analysis for substitute substrates.
Figure 5. Principal component analysis for substitute substrates.
Horticulturae 10 00138 g005
Figure 6. Effect of chlorophyll content, nitrogen, phosphorus, and potassium ratio on the total chlo-rophyll content and N/P/K of potted chrysanthemums: (a) The total chlorophyll content (SPAD); (b) Total N (g/100 g); (c) Total P (g/100 g); (d) Total K (g/100 g). The horizontal coordinates represent the 11 treatment groups CK, LR, and F1-F9. Data are mean ± standard error (n = 5). Different lower-case letters indicate significant differences (p < 0.05), as determined by Duncan’s multiple range test.
Figure 6. Effect of chlorophyll content, nitrogen, phosphorus, and potassium ratio on the total chlo-rophyll content and N/P/K of potted chrysanthemums: (a) The total chlorophyll content (SPAD); (b) Total N (g/100 g); (c) Total P (g/100 g); (d) Total K (g/100 g). The horizontal coordinates represent the 11 treatment groups CK, LR, and F1-F9. Data are mean ± standard error (n = 5). Different lower-case letters indicate significant differences (p < 0.05), as determined by Duncan’s multiple range test.
Horticulturae 10 00138 g006
Figure 7. Effect of nitrogen, phosphorus, and potassium ratio on the biomass of potted chrysanthemums. The horizontal coordinates represent the 11 treatment groups (CK, LR, and F1–F9). Data are mean ± standard error (n = 5). Different lowercase letters indicate significant differences (p < 0.05), as determined by Duncan’s multiple range test.
Figure 7. Effect of nitrogen, phosphorus, and potassium ratio on the biomass of potted chrysanthemums. The horizontal coordinates represent the 11 treatment groups (CK, LR, and F1–F9). Data are mean ± standard error (n = 5). Different lowercase letters indicate significant differences (p < 0.05), as determined by Duncan’s multiple range test.
Horticulturae 10 00138 g007
Figure 8. Effect of nitrogen, phosphorus, and potassium ratio on the flowering number and diameter of potted chrysanthemums: (a) Flower diameter (mm); (b) Flower number. The horizontal coordinates represent the 11 treatment groups (CK, LR, and F1–F9). Data are mean ± standard error (n = 5). Different lowercase letters indicate significant differences (p< 0.05), as determined by Duncan’s multiple range test.
Figure 8. Effect of nitrogen, phosphorus, and potassium ratio on the flowering number and diameter of potted chrysanthemums: (a) Flower diameter (mm); (b) Flower number. The horizontal coordinates represent the 11 treatment groups (CK, LR, and F1–F9). Data are mean ± standard error (n = 5). Different lowercase letters indicate significant differences (p< 0.05), as determined by Duncan’s multiple range test.
Horticulturae 10 00138 g008
Figure 9. Effect of nitrogen, phosphorus, and potassium ratio on the flowering quality of potted chrysanthemums.
Figure 9. Effect of nitrogen, phosphorus, and potassium ratio on the flowering quality of potted chrysanthemums.
Horticulturae 10 00138 g009
Figure 10. Principal component analysis for nitrogen, phosphorus, and potassium fertilizer ration-ing. (a) PCA between CK and other treatments; (b) PCA between different treatments.
Figure 10. Principal component analysis for nitrogen, phosphorus, and potassium fertilizer ration-ing. (a) PCA between CK and other treatments; (b) PCA between different treatments.
Horticulturae 10 00138 g010
Figure 11. Effect of substrate, water, and fertilizer on the total chlorophyll content and N/P/K of potted chrysanthemums: (a) Total chlorophyll content (SPAD); (b) Total N (g/100 g); (c) Total P (g/100 g); (d) Total K (g/100 g). The horizontal coordinates represent the 9 treatment groups (W1–W9). Data are mean ± standard error (n = 5). Different lowercase letters indicate significant differ-ences (p < 0.05), as determined by Duncan’s multiple range test.
Figure 11. Effect of substrate, water, and fertilizer on the total chlorophyll content and N/P/K of potted chrysanthemums: (a) Total chlorophyll content (SPAD); (b) Total N (g/100 g); (c) Total P (g/100 g); (d) Total K (g/100 g). The horizontal coordinates represent the 9 treatment groups (W1–W9). Data are mean ± standard error (n = 5). Different lowercase letters indicate significant differ-ences (p < 0.05), as determined by Duncan’s multiple range test.
Horticulturae 10 00138 g011
Figure 12. Effect of substrate, water, and fertilizer on the biomass of potted chrysanthemums. The horizontal coordinate represents the 9 treatment groups (W1–W9). Data are mean ± standard error (n = 3). Different lowercase letters indicate significant differences (p < 0.05), as determined by Duncan’s multiple range test.
Figure 12. Effect of substrate, water, and fertilizer on the biomass of potted chrysanthemums. The horizontal coordinate represents the 9 treatment groups (W1–W9). Data are mean ± standard error (n = 3). Different lowercase letters indicate significant differences (p < 0.05), as determined by Duncan’s multiple range test.
Horticulturae 10 00138 g012
Figure 13. Effect of substrate, water, and fertilizer on the flower diameter and number of potted chrysanthemums: (a) Flower diameter (mm); (b) Flower number. The horizontal coordinates repre-sent the 9 treatment groups (W1–W9). Data are mean ± standard error (n = 3). Different lowercase letters indicate significant differences (p < 0.05), as determined by Duncan’s multiple range test.
Figure 13. Effect of substrate, water, and fertilizer on the flower diameter and number of potted chrysanthemums: (a) Flower diameter (mm); (b) Flower number. The horizontal coordinates repre-sent the 9 treatment groups (W1–W9). Data are mean ± standard error (n = 3). Different lowercase letters indicate significant differences (p < 0.05), as determined by Duncan’s multiple range test.
Horticulturae 10 00138 g013
Figure 14. Effect of substrate, water, and fertilizer on the flower quality and number of potted chrysanthemums.
Figure 14. Effect of substrate, water, and fertilizer on the flower quality and number of potted chrysanthemums.
Horticulturae 10 00138 g014
Figure 15. Principal component analysis for substrate and water fertilization.
Figure 15. Principal component analysis for substrate and water fertilization.
Horticulturae 10 00138 g015
Table 1. Cultivation experiment plan with different substrates.
Table 1. Cultivation experiment plan with different substrates.
TreatmentComponent of Substrate (v/v)The Proportion of Moss Peat (v/v%)
CKMoss peat: Perlite: Pine Needle Soil = 6:2:260
T1Peanut Shells: Moss peat: Perlite: Pine Needle Soil = 2:4:2:240
T2Peanut Shells: Moss peat: Perlite: Pine Needle Soil = 4:2:2:220
T3Peanut Shells: Perlite: Pine Needle Soil = 6:2:20
T4Coir: Moss peat: Perlite: Pine Needle Soil = 2:4:2:240
T5Coir: Moss peat: Perlite: Pine Needle Soil = 4:2:2:220
T6Coir: Perlite: Pine Needle Soil = 6:2:20
T7Bark: Moss peat: Perlite: Pine Needle Soil = 2:4:2:240
T8Bark: Moss peat: Perlite: Pine Needle Soil = 4:2:2:220
T9Bark: Perlite: Pine Needle Soil = 6:2:20
T10Rice Husk: Moss peat: Perlite: Pine Needle Soil = 2:4:2:240
T11Rice Husk: Moss peat: Perlite: Pine Needle Soil = 4:2:2:220
T12Rice Husk: Perlite: Pine Needle Soil = 6:2:20
T13Fungal Residue: Moss peat: Perlite: Pine Needle Soil = 2:4:2:240
T14Fungal Residue: Moss peat: Perlite: Pine Needle Soil = 4:2:2:220
T15Fungal Residue: Perlite: Pine Needle Soil = 6:2:20
T16Recovered substrate (heap rot for one year)100
T17Recovered substrate (heap rot for two years)100
Table 2. Fertilization plan.
Table 2. Fertilization plan.
TreatmentN (mmol·L−1)P (mmol·L−1)K (mmol·L−1)
LR *31.53
CK *000
F1N1 (8)P1 (1)K1 (3.5)
F2N1 (8)P2 (2)K2 (7.0)
F3N1 (8)P3 (3)K3 (10.5)
F4N2 (16)P1 (1)K2 (7.0)
F5N2 (16)P2 (2)K3 (10.5)
F6N2 (16)P3 (3)K1 (3.5)
F7N3 (24)P1 (1)K3 (10.5)
F8N3 (24)P2 (2)K1 (3.5)
F9N3 (24)P3 (3)K2 (7.0)
* Note: LR: treated with LARRY fertilizer, a water-soluble fertilizer commonly used in floriculture production, N:P:K = 20:10:20; CK: control group treatment.
Table 3. Substrate and water fertilizer combination test plan.
Table 3. Substrate and water fertilizer combination test plan.
TreatmentWater CapacityFertilizer ConcentrationSubstrate (v/v)
X140%0.5Coir: Perlite: Pine Needle Soil = 6:2:2
X240%1.0Moss peat: Perlite: Pine Needle Soil = 6:2:2
X340%1.5Coir: Moss peat: Perlite: Pine Needle Soil
= 2:4:2:2
X460%0.5Moss peat: Perlite: Pine Needle Soil =6:2:2
X560%1.0Coir: Moss peat: Perlite: Pine Needle Soil
= 2:4:2:2
X660%1.5Coir: Perlite: Pine Needle Soil = 6:2:2
X780%0.5Coir: Moss peat: Perlite: Pine Needle Soil
= 2:4:2:2
X880%1.0Coir: Perlite: Pine Needle Soil = 6:2:2
X980%1.5Moss peat: Perlite: Pine Needle Soil = 6:2:2
Table 4. Physicochemical properties of different substrates.
Table 4. Physicochemical properties of different substrates.
TreatmentBulk Density (g/cm3)Total Porosity(%)EC(mS/cm)pHTotal N
(g/100 g)
Total P
(g/100 g)
Total K
(g/kg)
CK0.2570.30.457.111.840.1911.28
T10.2473.20.747.681.790.2411.88
T20.2277.60.947.761.530.207.95
T30.1881.41.047.851.520.5020.18
T40.2177.40.517.211.390.1413.70
T50.1879.10.657.351.330.2114.83
T60.1582.61.217.680.720.1720.46
T70.2668.90.527.271.260.1511.88
T80.2965.30.717.330.960.1310.79
T90.4360.70.977.570.760.168.02
T100.2753.70.766.731.690.4816.82
T110.3564.91.216.811.640.4617.71
T120.5260.31.426.851.390.5616.55
T130.3861.30.937.391.310.3314.53
T140.4366.71.147.421.120.2813.28
T150.6370.41.527.531.000.4816.39
T160.7240.10.377.71///
T170.7848.30.218.12///
Table 5. Effects of substitute substrates on the height and crown diameter of potted chrysanthemum.
Table 5. Effects of substitute substrates on the height and crown diameter of potted chrysanthemum.
No.Height (cm)Crown Diameter (cm)
20 d40 d60 d80 d20 d40 d60 d80 d
CK4.8 ± 1.0 bcdef *9.4 ± 0.8 abc12.9 ± 1.1 abc16.5 ± 1.0 cd7.0 ± 1.1 ab17.9 ± 1.9 a24.7 ± 1.9 a26.5 ± 1.3 abc
T15.6 ± 0.5 abc9.6 ± 1.5 abc13.0 ± 0.8 abc15.9 ± 0.8 cde5.7 ± 1.0 cdefghi16.3 ± 1.1 abc22.2 ± 0.9 bc27.5 ± 1.5 a
T25.2 ± 0.9 abcde9.7 ± 0.5 abc11.7 ± 1.1 cde14.3 ± 0.3 g4.7 ± 0.5 ij14.9 ± 1.1 cde21.0 ± 0.5 cd22.8 ± 0.3 d
T34.4 ± 0.3 ef8.5 ± 0.1 cd10.8 ± 1.2 ef13.3 ± 0.3 h5.3 ± 0.9 abcde10.9 ± 1.3 gh17.0 ± 0.6 f17.8 ± 0.8 fg
T45.7 ± 0.4 ab10.5 ± 1.8 a14.2 ± 1.1 a18.9 ± 0.7 a6.5 ± 0.5 abcdef14.8 ± 1.8 cde20.9 ± 1.1 cd27.7 ± 0.9 a
T55.7 ± 0.9 abc9.7 ± 1.2 abc12.1 ± 0.7 bcde15.3 ± 1.1 efg6.6 ± 0.4 abcde15.6 ± 1.0 bcd23.0 ± 0.5 ab25.1 ± 1.1 c
T64.7 ± 0.4 cdef8.3 ± 0.4 cd9.7 ± 0.8 f11.3 ± 1.4 j5.1 ± 0.2 hij12.5 ± 0.7 fg15.2 ± 0.8 g17.8 ± 0.8 fg
T74.9 ± 0.8 abcdef8.9 ± 0.3 bcd12.2 ± 1.2 bcde15.3 ± 0.4 efg6.3 ± 0.6 abcdefg16.0 ± 1.3 abcd19.8 ± 2.9 de25.1 ± 0.8 c
T85.5 ± 0.6 abcd10.5 ± 0.6 a12.6 ± 0.3 bc16.7 ± 0.3 bc6.8 ± 0.9 abc16.4 ± 1.1 abc21.7 ± 1.9 bc26.8 ± 0.8 ab
T95.9 ± 0.4 a9.4 ± 1.0 abc12.8 ± 1.7 abc15.0 ± 0.4 efg5.8 ± 0.3 cdefgh17.3 ± 0.8 ab20.8 ± 0.7 cd22.5 ± 1.3 d
T105.4 ± 0.5 abcd9.1 ± 0.6 bcd12.8 ± 1.2 abc17.5 ± 0.5 b6.7 ± 0.4 abcd17.7 ± 1.0 ab20.6 ± 1.0 cd26.0 ± 0.5 bc
T115.8 ± 1.0 ab10.1 ± 0.9 ab12.3 ± 0.3 bcd16.3 ± 0.6 cd7.4 ± 1.4 a16.4 ± 1.2 abc20.9 ± 0.6 cd25.3 ± 0.6 c
T124.5 ± 0.2 def7.9 ± 0.4 de11.6 ± 0.7 cde15.0 ± 0.3 efg5.4 ± 0.5 fghi12.9 ± 1.0 efg17.3 ± 0.3 f19.5 ± 0.9 e
T135.4 ± 0.5 abcd9.0 ± 1.0 bcd13.5 ± 0.6 ab15.7 ± 0.4 def6.2 ± 0.1 abcdefgh15.9 ± 0.7 abcd21.0 ± 1.2 cd22.3 ± 1.3 d
T142.9 ± 0.2 g7.8 ± 0.4 de11.1 ± 1.4 def14.8 ± 0.2 fg4.1 ± 0.4 j14.2 ± 2.0 cdef18.4 ± 1.1 ef22.2 ± 0.3 d
T154.1 ± 1.0 f8.0 ± 0.4 de10.9 ± 0.7 def15.0 ± 0.2 efg5.6 ± 0.7 defghi14.0 ± 0.8 def18.2 ± 0.7 ef18.2 ± 1.1 ef
T164.2 ± 0.4 ef6.9 ± 0.7 e8.0 ± 0.5 g12.7 ± 0.6 hi6.0 ± 0.5 bcdefgh10.1 ± 0.8 h12.3 ± 0.6 h19.0 ± 0.9 ef
T174.4 ± 0.1 def5.0 ± 0.6 f7.4 ± 0.1 g12.0 ± 1.0 ig5.5 ± 0.6 efghi7.6 ± 1.0 i10.0 ± 1.1 i16.7 ± 1.5 g
* Note: Data are mean ± standard error (n = 3); different lowercase letters indicate significant differences (p < 0.05).
Table 6. Final score formula for the three principal components of substitute substrates.
Table 6. Final score formula for the three principal components of substitute substrates.
Principal ComponentScore Formula
1 Y = 0.189 X 1 + 0.185 X 2 + 0.197 X 3 + 0.197 X 4 + 0.174 X 5 + 0.004 X 6 0.105 X 7 + 0.028 X 8 + 0.124 X 9  
2 Y = 0.124 X 1 + 0.017 X 2 + 0.020 X 3 0.025 X 4 + 0.073 X 5 + 0.313 X 6 + 0.290 X 7 + 0.349 X 8 + 0.222 X 9
3 Y = 0.040 X 1 + 0.489 X 2 + 0.312 X 3 + 0.326 X 4 0.837 X 5 + 0.611 X 6 + 0.278 X 7 0.526 X 8 0.172 X 9
Table 7. Comprehensive evaluation of substitute substrates.
Table 7. Comprehensive evaluation of substitute substrates.
No.F 1F 2F 3FRank
CK0.4280.107−1.0040.2287
T10.6230.6160.6220.6213
T20.2901.355−0.5470.5874
T3−0.934−0.348−0.225−0.69416
T41.0941.870−0.1641.2691
T51.3640.9490.9231.1982
T6−2.0551.995−0.416−0.60815
T70.532−0.5991.5060.2228
T80.4220.0780.2270.2956
T9−0.319−1.2900.462−0.58914
T100.739−1.0911.1780.1639
T110.352−0.401−0.0700.07510
T120.203−1.045−2.621−0.39512
T130.6840.050−0.2850.4115
T140.271−0.861−0.392−0.14611
T15−0.175−0.937−0.999−0.48113
T16−1.479−0.4241.424−0.94017
T17−2.038−0.0260.381−1.21418
Table 8. Effects of nitrogen, phosphorus, and potassium ratios on the growth indices of potted chrysanthemum.
Table 8. Effects of nitrogen, phosphorus, and potassium ratios on the growth indices of potted chrysanthemum.
No.Height (cm)Crown Diameter (cm)Stem Diameter (mm)
20 d40 d60 d80 d20 d40 d60 d80 d20 d40 d60 d80 d
LR *8.5 ± 0.2 a *12.8 ± 0.3 a14.3 ± 0.56 a20.5 ± 1.6 a13.7 ± 0.7 ab16.0 ± 2.3 a20.0 ± 0.9 a22.8 ± 0.2 a4.9 ± 0.2 a5.1 ± 0.2 a5.3 ± 0.8 a5.9 ± 0.7 bcd
CK8.5 ± 0.9 a12.2 ± 0.4 a12.4 ± 0.6 bc14.0 ± 0.4 e15.7 ± 0.6 a15.3 ± 1.2 ab16.4 ± 1.5 bc15.4 ± 1.0 e4.1 ± 0.1 b4.3 ± 0.4 b4.6 ± 0.5 ab5.0 ± 0.7 d
F18.8 ± 0.7 a11.8 ± 0.4 b12.4 ± 0.6 b14.5 ± 0.3 e11.1 ± 1.0 c14.0 ± 0.8 ab15.8 ± 0.6 bc17.1 ± 0.8 d3.0 ± 0.3 c3.4 ± 0.4 c4.0 ± 0.5 bc5.9 ± 1.1 bcd
F27.9 ± 0.6 b12.5 ± 1.4 a13.3 ± 0.5 ab15.8 ± 0.6 bcd10.5 ± 1.8 c11.8 ± 1.5 b15.8 ± 1.2 bc19.5 ± 0.3 bc3.6 ± 0.1 b3.8 ± 0.3 c4.2 ± 0.9 bc4.9 ± 0.5 d
F38.3 ± 0.9 ab13.7 ± 0.7 a13.3 ± 0.4 ab17.3 ± 0.5 b11.9 ± 0.5 bc14.3 ± 0.8 ab16.4 ± 0.6 bc20.0 ± 0.3 b4.0 ± 0.1 b4.3 ± 0.3 bc4.0 ± 0.3 abc6.6 ± 0.9 abcd
F48.0 ± 0.6 b11.9 ± 0.4 ab13.3 ± 0.6 ab16.6 ± 0.2 bc11.6 ± 0.8 bc14.0 ± 0.7 ab15.9 ± 0.4 bc18.5 ± 0.3 cd3.9 ± 0.1 b4.3 ± 0.4 bc4.6 ± 0.6 abc6.6 ± 0.4 abcd
F58.6 ± 0.5 a13.0 ± 0.5 a12.9 ± 0.2 abc15.6 ± 0.2 bcd12.7 ± 1.0 b16.1 ± 1.5 a17.1 ± 1.1 bc18.9 ± 0.2 c3.0 ± 0.1 c3.4 ± 0.4 c3.7 ± 0.3 c5.7 ± 0.4 bcd
F68.5 ± 1.1 a12.5 ± 0.8 a13.6 ± 0.7 ab17.3 ± 0.4 b11.8 ± 1.0 bc14.1 ± 1.0 ab17.0 ± 0.4 bc19.6 ± 0.6 bc3.9 ± 0.2 b4.4 ± 0.3 b4.5 ± 0.9 abc5.4 ± 0.9 cd
F78.4 ± 1.1 a12.5 ± 0.7 a12.4 ± 0.7 bc15.8 ± 0.5 c11.5 ± 1.0 bc13.6 ± 0.9 ab16.5 ± 0.9 bc18.3 ± 0.6 cd4.0 ± 0.1 b4.4 ± 0.4 b4.7 ± 1.4 ab6.0 ± 0.3 bcd
F88.6 ± 0.6 a12.5 ± 0.4 a12.3 ± 0.3 bc14.6 ± 0.2 d11.2 ± 0.4 c13.6 ± 1.0 ab14.5 ± 0.3 c17.8 ± 0.3 d3.8 ± 0.1 b4.1 ± 0.4 bc4.2 ± 0.8 bc5.6 ± 0.5 cd
F98.0 ± 0.9 ab13.2 ± 0.6 a11.5 ± 0.2 c16.8 ± 0.6 bc11.9 ± 0.9 bc17.1 ± 1.5 a17.9 ± 1.4 ab21.6 ± 0.6 a3.7 ± 0.1 b4.3 ± 0.4 b4.2 ± 0.7 bc7.1 ± 1.0 a
* Note: LR: treated with LARRY fertilizer, a water-soluble fertilizer commonly used in floriculture production, N: P: K = 20: 10: 20; CK: control group treatment. Data are mean ± standard error (n = 5); different lowercase letters indicate significant differences (p < 0.05).
Table 9. Final score formula for the three principal components of nitrogen, phosphorus, and po-tassium fertilizer rationing.
Table 9. Final score formula for the three principal components of nitrogen, phosphorus, and po-tassium fertilizer rationing.
Principal ComponentScore Formula
1 Y = 0.104 X 1 + 0.142 X 2 + 0.083 X 3 + 0.08 X 4 + 0.139 X 5 + 0.121 X 6 + 0.103 X 7 + 0.13 X 8 + 0.161 X 9 + 0.136 X 10 + 0.154 X 11  
2 Y = 0.288 X 1 + 0.177 X 2 + 0.237 X 3 0.3 X 4 0.015 X 5 0.081 X 6 + 0.334 X 7 0.244 X 8 0.109 X 9 0.183 X 10 + 0.02 X 11
3 Y = 0.407 X 1 0.306 X 2 + 0.414 X 3 0.161 X 4 + 0.177 X 5 + 0.406 X 6 + 0.115 X 7 + 0.182 X 8 0.135 X 9 0.274 X 10 + 0.097 X 11
4 Y = 0.016 X 1 + 0.184 X 2 + 0.583 X 3 + 0.57 X 4 + 0.261 X 5 0.446 X 6 0.207 X 7 + 0.085 X 8 0.014 X 9 0.322 X 10 0.341 X 11
Table 10. Comprehensive evaluation of nitrogen, phosphorus, and potassium fertilizer rationing.
Table 10. Comprehensive evaluation of nitrogen, phosphorus, and potassium fertilizer rationing.
No.F 1F 2F 3F 4FRank
LR0.796081.17602−2.235940.369240.7211332
CK−2.62065−0.11042−0.495010.963260.18888311
X1−0.50485−0.775160.308730.178460.47622910
X2−0.05415−0.46167−0.81387−1.383580.4925739
X3−0.100741.367930.39266−0.292650.6792014
X4−0.227551.821081.36269−0.622730.7193993
X50.51626−0.834280.78928−0.559960.6287476
X60.55854−0.62173−0.6976−0.70940.5930117
X70.39555−0.203060.77807−0.223840.6609545
X80.04062−1.20680.09926−0.093790.5157178
X91.20088−0.151910.511732.374980.8324221
Table 11. Effects of substrate, water, and fertilizer on the growth indices of potted chrysanthemum.
Table 11. Effects of substrate, water, and fertilizer on the growth indices of potted chrysanthemum.
No.Height (cm)Crown Diameter (cm)Stem Diameter (mm)
20 d40 d60 d80 d20 d40 d60 d80 d20 d40 d60 d80 d
W17.3 ± 0.5 a *10.4 ± 1.6 ab10.5 ± 1.5 ab17.3 ± 0.3 a8.3 ± 0.6 ab9.4 ± 2.1 b11.2 ± 0.4 b18.1 ± 1.4 abc3.9 ± 0.1 ab5.1 ± 0.1 b5.4 ± 0.2 ab5.5 ± 1.2 abc
W25.6 ± 1.0 bc10.2 ± 0.9 ab10.8 ± 2.0 ab14.7 ± 2.1 ab7.4 ± 0.7 abc10.3 ± 2.0 ab12.8 ± 2.5 ab18.4 ± 2.8 abc4.0 ± 0.2 a5.1 ± 0.2 a5.2 ± 1.0 abc6.1 ± 0.8 a
W36.9 ± 0.8 ab11.5 ± 1.6 a11.6 ± 0.9 ab16.0 ± 1.6 ab7.3 ± 0.4 bc10.2 ± 1.2 ab13.8 ± 0.5 ab18.5 ± 1.4 abc4.0 ± 0.1 a4.5 ± 0.1 c4.7 ± 0.2 cd5.0 ± 0.4 abc
W45.4 ± 0.2 bc10.8 ± 1.2 ab10.4 ± 1.3 ab15.7 ± 1.8 ab7.2 ± 1.3 bc11.9 ± 1.5 a15.1 ± 1.4 a19.3 ± 1.2 ab3.9 ± 0.1 ab5.4 ± 0.2 a5.8 ± 0.2 a5.8 ± 0.4 ab
W57.3 ± 0.8 a12.1 ± 2.6 a11.9 ± 2.0 a17.0 ± 1.1 a7.6 ± 1.2 abc11.7 ± 1.0 ab13.2 ± 0.6 ab18.1 ± 0.7 abc3.9 ± 0.2 ab4.5 ± 0.2 c4.7 ± 0.1 bcd5.1 ± 0.4 abc
W65.4 ± 1.0 bc10.3 ± 1.0 ab10.3 ± 0.3 ab16.2 ± 1.0 ab9.1 ± 1.5 a12.3 ± 0.2 a15.3 ± 2.1 a21.2 ± 1.1 a4.0 ± 0.2 ab5.1 ± 0.2 b5.3 ± 0.2 ab5.5 ± 0.5 abc
W76.4 ± 1.0 ab11.0 ± 0.9 ab10.7 ± 0.3 ab14.6 ± 1.3 ab7.1 ± 0.7 bc10.5 ± 0.2 ab11.2 ± 1.0 b15.2 ± 0.1 c3.7 ± 0.2 b3.7 ± 0.2 d4.1 ± 0.4 d4.3 ± 0.5 c
W85.8 ± 0.8 abc10.8 ± 1.0 ab9.8 ± 1.5 ab15.2 ± 1.0 ab7.8 ± 0.3 abc10.5 ± 0.7 ab12.9 ± 0.4 ab18.1 ± 1.4 abc3.9 ± 0.2 ab4.6 ± 0.1 c4.7 ± 0.2 bcd5.1 ± 0.8 abc
W94.4 ± 1.7 c8.5 ± 2.7 b9.1 ± 2.4 b13.5 ± 4.2 b6.2 ± 1.7 c9.3 ± 2.5 b11.2 ± 4.1 b17.8 ± 4.0 bc3.8 ± 0.2 ab3.9 ± 0.2 d4.1 ± 0.1 d4.7 ± 1.2 bc
* Note: Data are mean ± standard error (n = 3); different lowercase letters indicate significant differences (p < 0.05).
Table 12. Final score formula for the four principal components of substrate and water fertiliza-tion.
Table 12. Final score formula for the four principal components of substrate and water fertiliza-tion.
Principal ComponentScore Formula
1 Y = 0.079 X 1 + 0.214 X 2 + 0.15 X 3 + 0.144 X 4 + 0.173 X 5 + 0.135 X 6 + 0.192 X 7 + 0.134 X 8 0.092 X 9 0.114 X 10 + 0.016 X 11  
2 Y = 0.031 X 1 + 0.012 X 2 0.088 X 3 + 0.012 X 4 + 0.103 X 5 + 0.301 X 6 0.132 X 7 0.243 X 8 + 0.243 X 9 0.234 X 10 + 0.406 X 11
3 Y = 0.219 X 1 0.062 X 2 + 0.286 X 3 0.422 X 4 + 0.042 X 5 + 0.065 X 6 + 0.167 X 7 + 0.234 X 8 0.362 X 9 + 0.313 X 10 + 0.193 X 11
4 Y = 0.713 X 1 + 0.014 X 2 0.037 X 3 + 0.139 X 4 0.26 X 5 0.177 X 6 0.001 X 7 0.354 X 8 0.228 X 9 + 0.231 X 10 0.034 X 11
Table 13. Comprehensive evaluation of substrate and water fertilization.
Table 13. Comprehensive evaluation of substrate and water fertilization.
No.F 1F 2F 3F 4FRank
W1−0.261550.703910.458111.753210.6132354
W20.08254−0.434361.17124−1.003890.5307726
W30.196180.207961.15125−0.011590.6217363
W41.14453−0.378460.42559−0.521240.6576962
W5−0.155480.287970.715990.651830.5767525
W61.703910.04471−1.61020.665490.6886331
W7−1.79657−0.40817−0.821090.476420.2090119
W8−0.41279−1.86618−0.64326−0.489660.2871138
W9−0.500781.84261−0.84763−1.520570.4552527
Disclaimer/Publisher’s Note: The statements, opinions and data contained in all publications are solely those of the individual author(s) and contributor(s) and not of MDPI and/or the editor(s). MDPI and/or the editor(s) disclaim responsibility for any injury to people or property resulting from any ideas, methods, instructions or products referred to in the content.

Share and Cite

MDPI and ACS Style

Lu, Y.; Zhou, T.; Guo, J.; Zhong, J.; Li, D.; Shi, H.; Liu, C.; Xiang, R.; Sun, M. Effects of Substitute Substrate, Water, and Fertilizer Management on the Growth of Potted Chrysanthemums. Horticulturae 2024, 10, 138. https://doi.org/10.3390/horticulturae10020138

AMA Style

Lu Y, Zhou T, Guo J, Zhong J, Li D, Shi H, Liu C, Xiang R, Sun M. Effects of Substitute Substrate, Water, and Fertilizer Management on the Growth of Potted Chrysanthemums. Horticulturae. 2024; 10(2):138. https://doi.org/10.3390/horticulturae10020138

Chicago/Turabian Style

Lu, Yufan, Tongjun Zhou, Jinqing Guo, Jian Zhong, Dawei Li, Huajin Shi, Chang Liu, Ruizi Xiang, and Ming Sun. 2024. "Effects of Substitute Substrate, Water, and Fertilizer Management on the Growth of Potted Chrysanthemums" Horticulturae 10, no. 2: 138. https://doi.org/10.3390/horticulturae10020138

APA Style

Lu, Y., Zhou, T., Guo, J., Zhong, J., Li, D., Shi, H., Liu, C., Xiang, R., & Sun, M. (2024). Effects of Substitute Substrate, Water, and Fertilizer Management on the Growth of Potted Chrysanthemums. Horticulturae, 10(2), 138. https://doi.org/10.3390/horticulturae10020138

Note that from the first issue of 2016, this journal uses article numbers instead of page numbers. See further details here.

Article Metrics

Back to TopTop