Microbial Diversity and Metabolites Dynamic of Light-Flavor Baijiu with Stacking Process
Abstract
:1. Introduction
2. Materials and Methods
2.1. Daqu Sampling and Stacking Fermentation
2.2. Amplicon Sequencing and Analysis
2.3. Physical and Chemical Properties and Microbial Count
2.4. Volatile Flavor Substances and Non-Volatile Metabolites
2.5. Statistical Analysis of Data
3. Results
3.1. The Selection of Daqu for Stacking Fermentation
3.2. Microbial Dynamics during Stacking and Alcoholic Fermentation
3.3. Physiochemical Properties during Stacking and Alcoholic Fermentation
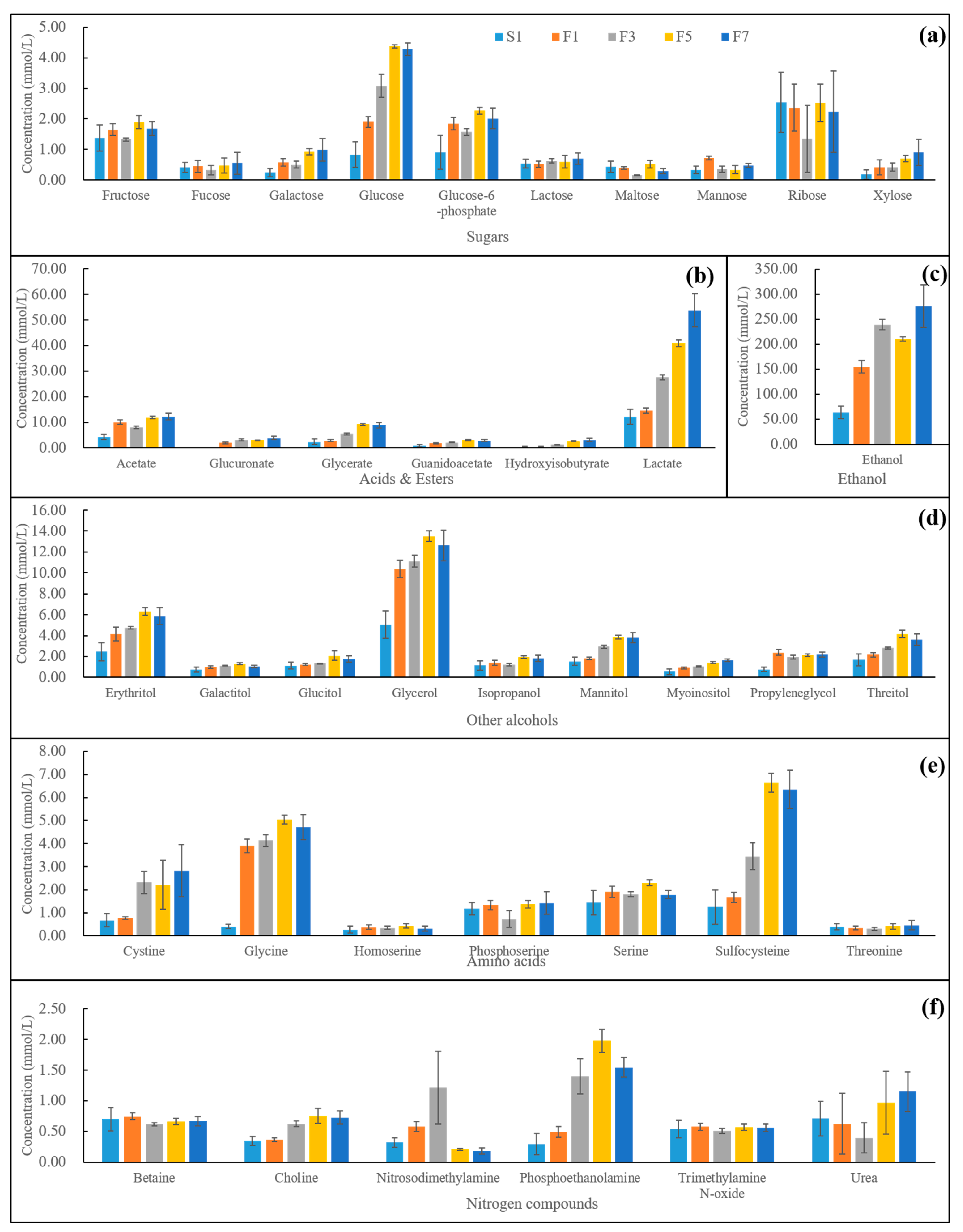
3.4. Metabolite Dynamics during Alcoholic Fermentation with Stacking
4. Discussion
Supplementary Materials
Author Contributions
Funding
Institutional Review Board Statement
Informed Consent Statement
Conflicts of Interest
References
- Li, H.; He, R.; Xiong, X.; Zhang, M.; Yang, T.; Jiang, Z.; Ma, L.; Yi, L.; Ma, X. Dynamic diversification of bacterial functional groups in the Baiyunbian liquor stacking fermentation process. Annal. Microbiol. 2016, 66, 1229–1237. [Google Scholar] [CrossRef]
- Hu, S.; He, C.; Li, Y.; Yu, Z.; Chen, Y.; Wang, Y.; Ni, D. Changes of fungal community and non-volatile metabolites during pile-fermentation of dark green tea. Food Res. Int. 2021, 147, 110472. [Google Scholar] [CrossRef] [PubMed]
- Wang, C.; Dong, D.; Wang, H.; Muller, K.; Qin, Y.; Wang, H.; Wu, W. Metagenomic analysis of microbial consortia enriched from compost: New insights into the role of Actinobacteria in lignocellulose decomposition. Biotechnol. Biofuels 2016, 9, 22. [Google Scholar] [CrossRef] [Green Version]
- Chen, B.; Wu, Q.; Xu, Y. Filamentous fungal diversity and community structure associated with the solid state fermentation of Chinese Maotai-flavor liquor. Int. J. Food Microbiol. 2014, 179, 80–84. [Google Scholar] [CrossRef]
- Jin, G.; Zhu, Y.; Xu, Y. Mystery behind Chinese liquor fermentation. Trends Food Sci. Technol. 2017, 63, 18–28. [Google Scholar] [CrossRef]
- Wang, H.; Huang, Y.; Huang, Y. Microbiome diversity and evolution in stacking fermentation during different rounds of Jiang-flavoured Baijiu brewing. Lwt Food Sci. Technol. 2021, 143, 2411–2502. [Google Scholar] [CrossRef]
- Zhuang, X.J.; Wu, Q.; Xu, Y. Physiological characteristics of Zygosaccharomyces bailii and its interaction with Bacillus licheniformis in Chinese Maotai-flavor liquor making. Microbiol. China 2017, 44, 251–262. [Google Scholar]
- Xu, Y.; Zhi, Y.; Wu, Q.; Du, R.; Xu, Y. Zygosaccharomyces bailii Is a Potential Producer of Various Flavor Compounds in Chinese Maotai-Flavor Liquor Fermentation. Front. Microbiol. 2017, 8, 2609. [Google Scholar] [CrossRef]
- Li, H.; Qin, D.; Wu, Z.; Sun, B.; Sun, X.; Huang, M.; Sun, J.; Zheng, F. Characterization of key aroma compounds in Chinese Guojing sesame-flavor Baijiu by means of molecular sensory science. Food Chem. 2019, 284, 100–107. [Google Scholar] [CrossRef]
- Zhang, W.Q.; Si, G.R.; Li, J.L.; Ye, M.; Feng, S.S.; Mei, J.; Yang, Q.H.; Wang, J.S.; Zhou, P. Tetramethylpyrazine in Chinese sesame flavour liquor and changes during the production process. J. Inst. Brew. 2019, 125, 155–161. [Google Scholar] [CrossRef]
- He, G.Q.; Dong, Y.; Huang, J.; Wang, X.J.; Zhang, S.Y.; Wu, C.D.; Jin, Y.; Zhou, R.Q. Alteration of microbial community for improving flavor character of Daqu by inoculation with Bacillus velezensis and Bacillus subtilis. Lwt Food Sci. Technol. 2019, 111, 1–8. [Google Scholar] [CrossRef]
- He, G.; Huang, J.; Zhou, R.; Wu, C.; Jin, Y. Effect of Fortified Daqu on the Microbial Community and Flavor in Chinese Strong-Flavor Liquor Brewing Process. Front. Microbiol. 2019, 10, 56. [Google Scholar] [CrossRef] [PubMed] [Green Version]
- Li, W.; Fan, G.; Fu, Z.; Wang, W.; Xu, Y.; Teng, C.; Zhang, C.; Yang, R.; Sun, B.; Li, X. Effects of fortification of Daqu with various yeasts on microbial community structure and flavor metabolism. Food Res. Int. 2020, 129, 108837. [Google Scholar] [CrossRef] [PubMed]
- Yan, Y.Z.; Qian, Y.L.; Ji, F.D.; Chen, J.Y.; Han, B.Z. Microbial composition during Chinese soy sauce koji-making based on culture dependent and independent methods. Food Microbiol. 2013, 34, 189–195. [Google Scholar] [CrossRef]
- Turner, S.; Pryer, K.; Miao, V.; Palmer, J. Investigating deep phylogenetic relationships among cyanobacteria and plastids by small subunit rRNA sequence analysis. J. Eukaryotic Microbiol. 2007, 46, 327–338. [Google Scholar] [CrossRef]
- Wu, L.; Wen, C.; Qin, Y.; Yin, H.; Tu, Q.; Van Nostrand, J.D.; Yuan, T.; Yuan, M.; Deng, Y.; Zhou, J. Phasing amplicon sequencing on Illumina Miseq for robust environmental microbial community analysis. BMC Microbiol. 2015, 15, 125. [Google Scholar] [CrossRef] [Green Version]
- Gardes, M.; Bruns, T. ITS primers with enhanced specificity for basidiomycetes: Application to the identifica-tion of mycorrhiza and rusts. Mol. Ecol. 1993, 2, 113–118. [Google Scholar] [CrossRef]
- Le, V.-D.; Zheng, X.-W.; Chen, J.-Y.; Han, B.-Z. Characterization of volatile compounds inFen-Daqu- a traditional Chinese liquor fermentation starter. J. Instit. Brew. 2012, 118, 107–113. [Google Scholar] [CrossRef]
- Li, R.Y.; Zheng, X.W.; Zhang, X.; Yan, Z.; Wang, X.Y.; Han, B.Z. Characterization of bacteria and yeasts isolated from traditional fermentation starter (Fen-Daqu) through a (1)H NMR-based metabolomics approach. Food Microbiol. 2018, 76, 11–20. [Google Scholar] [CrossRef]
- Pang, X.N.; Han, B.Z.; Huang, X.N.; Zhang, X.; Hou, L.F.; Cao, M.; Gao, L.J.; Hu, G.H.; Chen, J.Y. Effect of the environment microbiota on the flavour of light-flavour Baijiu during spontaneous fermentation. Sci. Rep. 2018, 8, 3396. [Google Scholar] [CrossRef] [Green Version]
- Fan, Y.; Huang, X.; Chen, J.; Han, B. Formation of a Mixed-Species Biofilm Is a Survival Strategy for Unculturable Lactic Acid Bacteria and Saccharomyces cerevisiae in Daqu, a Chinese Traditional Fermentation Starter. Front. Microbiol. 2020, 11, 138. [Google Scholar] [CrossRef] [PubMed]
- Huang, X.; Fan, Y.; Lu, T.; Kang, J.; Pang, X.; Han, B.; Chen, J. Composition and Metabolic Functions of the Microbiome in Fermented Grain during Light-Flavor Baijiu Fermentation. Microorganisms 2020, 8, 1281. [Google Scholar] [CrossRef] [PubMed]
- Zheng, X.W.; Yan, Z.; Nout, M.J.; Smid, E.J.; Zwietering, M.H.; Boekhout, T.; Han, J.S.; Han, B.Z. Microbiota dynamics related to environmental conditions during the fermentative production of Fen-Daqu, a Chinese industrial fermentation starter. Int. J. Food Microbiol. 2014, 182–183, 57–62. [Google Scholar] [CrossRef] [PubMed]
- Liu, J.; Chen, J.; Fan, Y.; Huang, X.; Han, B. Biochemical characterisation and dominance of different hydrolases in different types of Daqu—A Chinese industrial fermentation starter. J. Sci. Food Agric. 2018, 98, 113–121. [Google Scholar] [CrossRef]
- Wang, Y.; Cai, W.; Wang, W.; Shu, N.; Zhang, Z.; Hou, Q.; Shan, C.; Guo, Z. Analysis of microbial diversity and functional differences in different types of high-temperature Daqu. Food Sci. Nutr. 2021, 9, 1003–1016. [Google Scholar] [CrossRef]
- Chen, Y.; Li, K.; Liu, T.; Li, R.; Fu, G.; Wan, Y.; Zheng, F. Analysis of Difference in Microbial Community and Physicochemical Indices Between Surface and Central Parts of Chinese Special-Flavor Baijiu Daqu. Front. Microbiol. 2020, 11, 592421. [Google Scholar] [CrossRef]
- Xiong, X.; Hu, Y.; Yan, N.; Huang, Y.; Peng, N.; Liang, Y.; Zhao, S. PCR-DGGE analysis of the microbial communities in three different Chinese "Baiyunbian" liquor fermentation starters. J. Microbiol. Biotechnol. 2014, 24, 1088–1095. [Google Scholar] [CrossRef] [Green Version]
- Zheng, X.W.; Yan, Z.; Nout, M.J.; Boekhout, T.; Han, B.Z.; Zwietering, M.H.; Smid, E.J. Characterization of the microbial community in different types of Daqu samples as revealed by 16S rRNA and 26S rRNA gene clone libraries. World J. Microbiol. Biotechnol. 2015, 31, 199–208. [Google Scholar] [CrossRef]
- Du, H.; Wang, X.; Zhang, Y.; Xu, Y. Exploring the impacts of raw materials and environments on the microbiota in Chinese Daqu starter. Int. J. Food Microbiol. 2019, 297, 32–40. [Google Scholar] [CrossRef]
- Tan, Y.; Zhong, H.; Zhao, D.; Du, H.; Xu, Y. Succession rate of microbial community causes flavor difference in strong-aroma Baijiu making process. Int. J. Food Microbiol. 2019, 311, 108350. [Google Scholar] [CrossRef]
- Wang, X.; Du, H.; Xu, Y. Source tracking of prokaryotic communities in fermented grain of Chinese strong-flavor liquor. Int. J. Food Microbiol. 2017, 244, 27–35. [Google Scholar] [CrossRef] [PubMed]
- Tang, J.; Liu, Y.; Lin, B.; Zhu, H.; Jiang, W.; Yang, Q.; Chen, S. Effects of ultra-long fermentation time on the microbial community and flavor components of light-flavor Xiaoqu Baijiu based on fermentation tanks. World J. Microbiol. Biotechnol. 2021, 38, 3. [Google Scholar] [CrossRef] [PubMed]
- Huang, X.N.; Fan, Y.; Meng, J.; Sun, S.F.; Wang, X.Y.; Chen, J.Y.; Han, B.Z. Laboratory-scale fermentation and multidimensional screening of lactic acid bacteria from Daqu. Food Biosci. 2021, 40, 100853. [Google Scholar] [CrossRef]
- Wang, Y.; Li, B.; Shen, M.; Yin, X.; Guo, X.; Chen, Q.; Zhang, C. Activities analysis of main functional enzymes from strong-flavour Daqu of Chinese liquor during fermentation and storage stages. Sci. Technol. Food Ind. 2018, 39, 270–274. [Google Scholar]
- Li, X.R.; Ma, E.B.; Yan, L.Z.; Meng, H.; Du, X.W.; Zhang, S.W.; Quan, Z.X. Bacterial and fungal diversity in the traditional Chinese liquor fermentation process. Int. J. Food Microbiol. 2011, 146, 31–37. [Google Scholar] [CrossRef]
- Bokulich, N.A.; Bamforth, C.W.; Mills, D.A. Brewhouse-resident microbiota are responsible for multi-stage fermentation of American coolship ale. PLoS ONE 2012, 7, e35507. [Google Scholar] [CrossRef]
- Spitaels, F.; Wieme, A.D.; Janssens, M.; Aerts, M.; Daniel, H.M.; Van Landschoot, A.; De Vuyst, L.; Vandamme, P. The microbial diversity of traditional spontaneously fermented lambic beer. PLoS ONE 2014, 9, e95384. [Google Scholar] [CrossRef]









| Daqu Samples * | Raw Material | Location (Province) |
|---|---|---|
| 1-LI-L | Barley, pea | Shanxi |
| 2-ST-MH | Wheat | Henan |
| 3-ST-MH | Wheat | Jiangsu |
| 4-SA-H | Wheat | Sichuan |
| 4-ST-H | Barley, wheat | Sichuan |
| 5-ST-M | Wheat | Shandong |
| 5-ST-MH | Wheat | Shandong |
| 5-SE-H | Wheat | Shandong |
| Daqu Samples | Coverage/% | OTU | ACE | Chao | Shannon | Simpson |
|---|---|---|---|---|---|---|
| 1-LI-L | 99.98 | 67 | 81.42 | 79.50 | 2.03 | 0.33 |
| 2-ST-MH | 99.98 | 65 | 79.74 | 82.50 | 2.47 | 0.18 |
| 3-ST-MH | 100.00 | 66 | 74.40 | 74.00 | 2.64 | 0.14 |
| 4-SA-H | 99.99 | 62 | 71.53 | 70.20 | 2.59 | 0.14 |
| 4-ST-H | 99.98 | 56 | 74.94 | 74.14 | 1.55 | 0.34 |
| 5-ST-M | 100.00 | 94 | 95.26 | 95.00 | 3.19 | 0.07 |
| 5-ST-MH | 99.99 | 65 | 72.79 | 75.00 | 2.13 | 0.28 |
| 5-SE-H | 99.98 | 58 | 76.48 | 85.00 | 2.21 | 0.22 |
| Daqu Samples | Coverage/% | OTU | ACE | Chao | Shannon | Simpson |
|---|---|---|---|---|---|---|
| 1-LI-L | 99.98 | 48 | 54.19 | 44.75 | 1.42 | 0.39 |
| 2-ST-MH | 99.96 | 52 | 60.70 | 59.00 | 1.39 | 0.36 |
| 3-ST-MH | 99.96 | 45 | 52.66 | 47.86 | 0.79 | 0.66 |
| 4-SA-H | 99.96 | 64 | 67.01 | 70.20 | 1.49 | 0.32 |
| 4-ST-H | 99.99 | 62 | 63.14 | 61.50 | 2.23 | 0.26 |
| 5-ST-M | 99.96 | 53 | 60.62 | 74.50 | 1.56 | 0.31 |
| 5-ST-MH | 99.98 | 60 | 55.91 | 53.75 | 2.41 | 0.14 |
| 5-SE-H | 99.98 | 49 | 51.83 | 51.00 | 1.77 | 0.26 |
Publisher’s Note: MDPI stays neutral with regard to jurisdictional claims in published maps and institutional affiliations. |
© 2022 by the authors. Licensee MDPI, Basel, Switzerland. This article is an open access article distributed under the terms and conditions of the Creative Commons Attribution (CC BY) license (https://creativecommons.org/licenses/by/4.0/).
Share and Cite
Li, Z.; Fan, Y.; Huang, X.; Han, B. Microbial Diversity and Metabolites Dynamic of Light-Flavor Baijiu with Stacking Process. Fermentation 2022, 8, 67. https://doi.org/10.3390/fermentation8020067
Li Z, Fan Y, Huang X, Han B. Microbial Diversity and Metabolites Dynamic of Light-Flavor Baijiu with Stacking Process. Fermentation. 2022; 8(2):67. https://doi.org/10.3390/fermentation8020067
Chicago/Turabian StyleLi, Zhaojie, Yi Fan, Xiaoning Huang, and Beizhong Han. 2022. "Microbial Diversity and Metabolites Dynamic of Light-Flavor Baijiu with Stacking Process" Fermentation 8, no. 2: 67. https://doi.org/10.3390/fermentation8020067
APA StyleLi, Z., Fan, Y., Huang, X., & Han, B. (2022). Microbial Diversity and Metabolites Dynamic of Light-Flavor Baijiu with Stacking Process. Fermentation, 8(2), 67. https://doi.org/10.3390/fermentation8020067
