Symmetrical Derivative of Anthrone as a Novel Receptor for Mercury Ions: Enhanced Performance of Modified Screen-Printed Electrode
Abstract
1. Introduction

2. Experimental Section
2.1. Apparatus and Reagents
2.2. Metal Ion Detection
2.3. Interference Studies
2.4. Synthetic Sample for Analysis
2.5. Screen-Printed Electrode Preparation
3. Result and Discussion
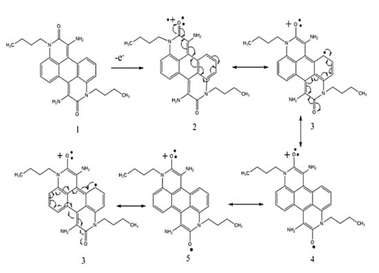
3.1. Voltammetric Study of Anthone3 Using Glassy Carb on Electrode and Screen-Printed Electrode
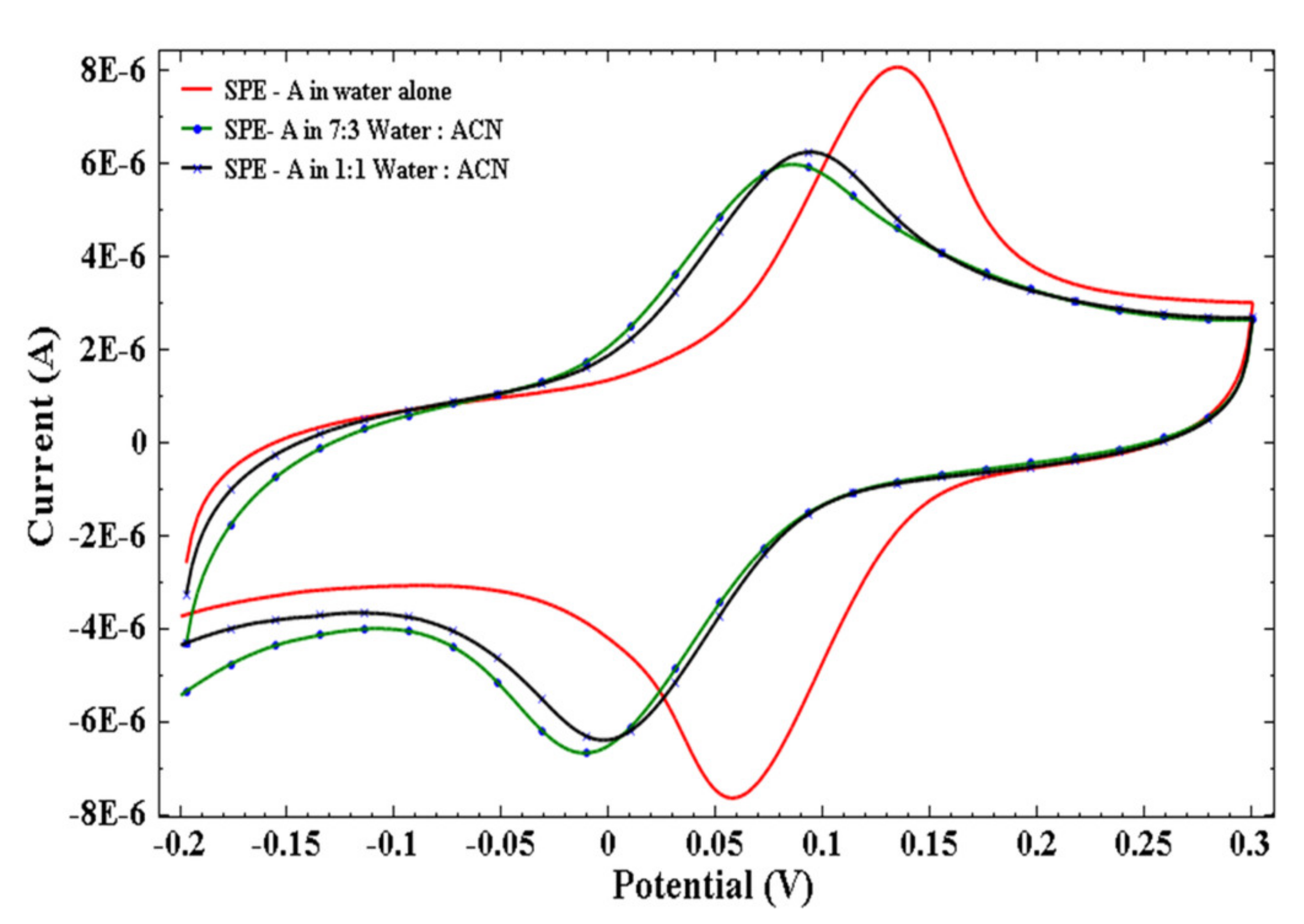
3.2. Solvent Effect
3.3. Effect of Scan Rate
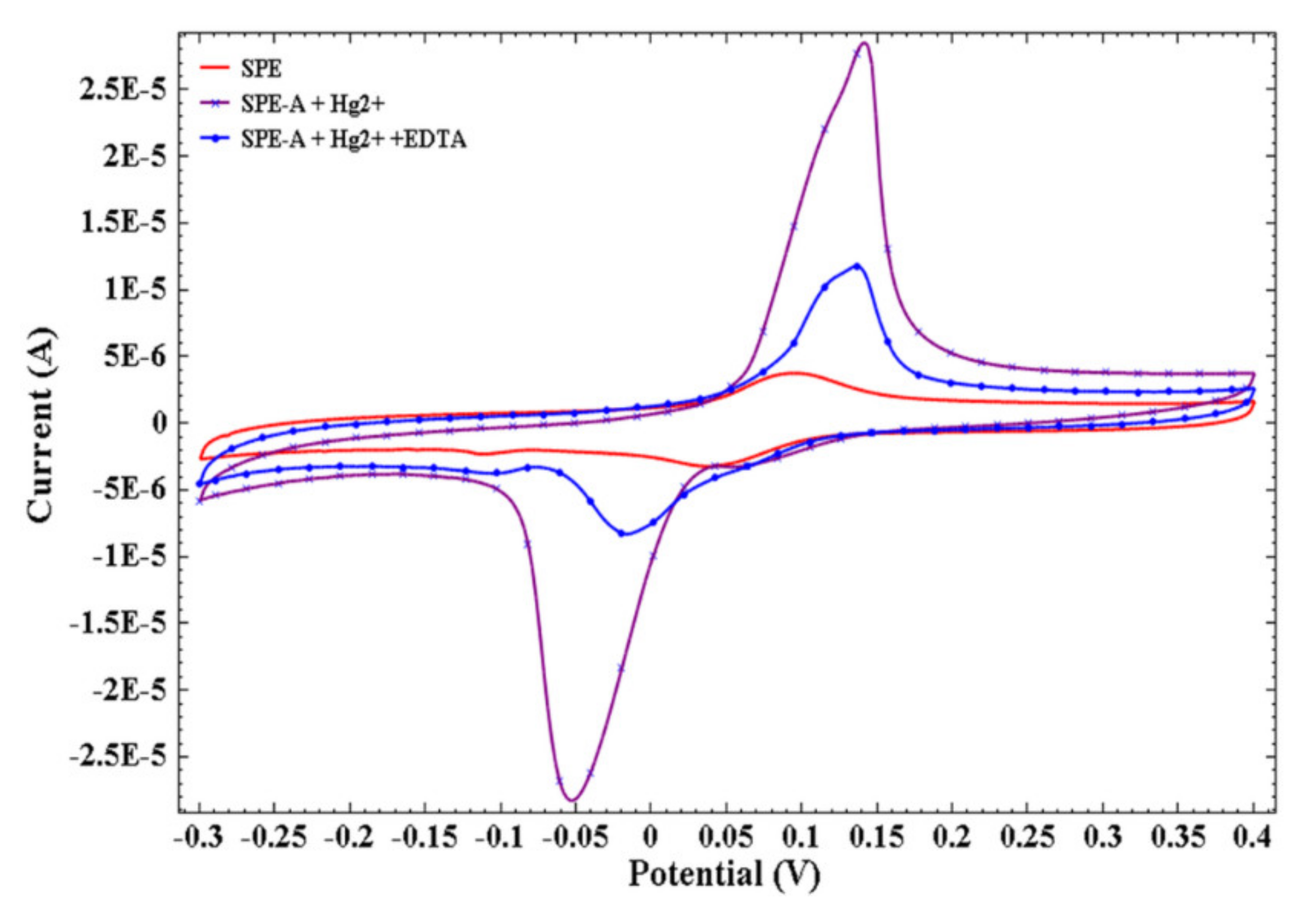
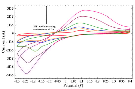
3.4. Cation Selectivity Behaviour
3.5. Interference of Ions
3.6. Sensitivity (LOD and LOQ)
3.7. Regeneration of Screen-Printed Electrodes
3.8. SEM Images of EDTA-Treated and Nontreated SPE-A Electrodes
3.9. Validation of Mercury Determination Using SPE-A with AAS
4. Conclusions
Author Contributions
Funding
Institutional Review Board Statement
Informed Consent Statement
Data Availability Statement
Acknowledgments
Conflicts of Interest
References
- Grandjean, P.; Weihe, P.; White, R.F.; Debes, F. Cognitive Performance of Children Prenatally Exposed to “Safe” Levels of Methylmercury. Environ. Res. 1998, 77, 165–172. [Google Scholar] [CrossRef] [PubMed]
- Renzoni, A.; Zino, F.; Franchi, E. Mercury Levels along the Food Chain and Risk for Exposed Populations. Environ. Res. 1998, 77, 68–72. [Google Scholar] [CrossRef] [PubMed]
- Fitzgerald, W.F.; Lamborg, C.H.; Hammerschmidt, C.R. Marine biogeochemical cycling of mercury. Chem. Rev. 2007, 2, 641–662. [Google Scholar] [CrossRef] [PubMed]
- Han, J.; Yu, J.; Guo, Y.; Wang, L.; Song, Y. COFBTLP-1/three-dimensional macroporous carbon electrode for simultaneous electrochemical detection of Cd2+, Pb2+, Cu2+ and Hg2+. Sens. Actu. B 2020, 321, 128498. [Google Scholar] [CrossRef]
- Uauy, R.; Olivares, M.; Gonzalez, M. Essentiality of copper in humans. Am. J. Clin. Nutr. 1998, 67, 952S–959S. [Google Scholar] [CrossRef] [PubMed]
- Benoit, J.M.; Fitzgerald, W.F.; Damman, A.W. The Biogeochemistry of an Ombrotrophic Bog: Evaluation of Use as an Archive of Atmospheric Mercury Deposition. Environ. Res. 1998, 2, 118–133. [Google Scholar] [CrossRef]
- Buica, G.O.; Bucher, C.; Moutet, J.C.; Royal, G.; Saint-Aman, E.; Ungureanu, E.M. Sensing of Mercury and Copper Cations at Poly (EDTA-like) Film Modified Electrode. Electroanalysis 2009, 1, 77–86. [Google Scholar] [CrossRef]
- Ghanei-Motlagh, M.; Taher, M.A.; Heydari, A.; Ghanei-Motlagh, R.; Gupta, V.K. A novel voltammetric sensor for sensitive detection of mercury (II) ions using glassy carbon electrode modified with graphene-based ion imprinted polymer. Mater. Sci. Eng. C 2016, 63, 367–375. [Google Scholar] [CrossRef]
- Heitzmann, M.; Basaez, L.; Brovelli, F.; Bucher, C.; Limosin, D.; Pereira, E.; Rivas, B.L.; Royal, G.; Saint-Aman, E.; Moutet, J.C. Voltammetric Sensing of Trace Metals at a Poly (pyrrole-malonic acid) Film Modified Carbon Electrode. Electroanalysis 2005, 21, 1970–1976. [Google Scholar] [CrossRef]
- Somerset, V.; Leaner, J.; Mason, R.; Iwuoha, E.; Morrin, A. Development and application of a poly (2,2′-dithiodianiline) (PDTDA)-coated screen-printed carbon electrode in inorganic mercury determination. Electrochim. Acta 2010, 14, 4240–4246. [Google Scholar] [CrossRef]
- Emanuel, C.E.; Ellison, B.; Banks, C.E. Spice up your life: Screening the illegal components of ‘Spice’ herbal products. Anal. Methods 2010, 2, 614–616. [Google Scholar] [CrossRef]
- Mondal, A.; Hazra, A.; Chakrabarty, J.; Bose, K.J.C.; Banerjee, P. Tandem Detection of Sub-Nano Molar Level CN– and Hg2+ in Aqueous Medium by a Suitable Molecular Sensor: A Viable Solution for Detection of CN– and Development of the RGB-Based Sensory Device. ACS Omega 2020, 5, 6576–6587. [Google Scholar] [CrossRef] [PubMed]
- Kampouris, D.K.; Kadara, R.O.; Jenkinson, N.; Banks, C.E. Screen printed electrochemical platforms for pH sensing. Anal. Methods 2009, 1, 25–28. [Google Scholar] [CrossRef] [PubMed]
- Šljukić, B.R.; Kadara, R.O.; Banks, C.E. Disposable manganese oxide screen printed electrodes for electroanalytical sensing. Anal. Methods 2011, 3, 105–109. [Google Scholar] [CrossRef] [PubMed]
- Montesinos, T.; Pérez-Munguia, S.; Valdez, F.; Marty, J.-L. Disposable cholinesterase biosensor for the detection of pesticides in water-miscible organic solvents. Anal. Chim. Acta 2001, 431, 231–237. [Google Scholar] [CrossRef]
- Grennan, K.; Killard, A.J.; Smyth, M.R. Physical characterizations of a screen printed electrode for use in an amperometric biosensor system. Electroanal. Int. J. Devoted Fundam. Pract. Asp. Electroanal. 2001, 13, 745–750. [Google Scholar] [CrossRef]
- Hart, A.; Turner, A.; Hopcroft, D. On the use of screen- and ink-jet printing to produce amperometric enzyme electrodes for lactate. Biosens. Bioelectron. 1996, 11, 263–270. [Google Scholar] [CrossRef]
- Bernalte, E.; Sánchez, C.M.; Gil, E.P. Determination of mercury in ambient water samples by anodic stripping voltammetry on screen-printed gold electrodes. Anal. Chim. Acta 2011, 689, 60–64. [Google Scholar] [CrossRef]
- Yang, F.; Liu, P.; Hao, T.; Wu, Y.; Ma, S.; Hu, Y.; Wang, S.; Guo, Z. Fast-Scan Anodic Stripping Voltammetry for Detection of Pb (II) at Picomolar Level. Russ. J. Electrochem. 2019, 55, 222–228. [Google Scholar] [CrossRef]
- Redda, A.R.; Abollino, O.; Malandrino, M.; Squadrone, S.; Abete, M.C.; Berto, S.; Toniolo, R.; Durbiano, F.; Giacomino, A. A Portable Setup for the Voltammetric Determination of Total Mercury in Fish with Solid and Nanostructured Gold Electrodes. Molecules 2019, 24, 1910. [Google Scholar] [CrossRef]
- Raril, C.; Manjunatha, J.G. Fabrication of novel polymer-modified graphene-based electrochemical sensor for the determination of mercury and lead ions in water and biological samples. J. Anal. Sci. Technol. 2020, 11, 1–10. [Google Scholar] [CrossRef]
- Shtepliuk, I.; Vagin, M.; Yakimova, R. Insights into the Electrochemical Behavior of Mercury on Graphene/SiC Electrodes. C J. Carbon Res. 2019, 5, 51. [Google Scholar] [CrossRef]
- Eksin, E.; Erdem, A.; Fafal, T.; Kıvçak, B. Eco-friendly Sensors Developed by Herbal Based Silver Nanoparticles for Electrochemical Detection of Mercury (II) Ion. Electroanalysis 2019, 31, 1075–1082. [Google Scholar] [CrossRef]
- Ganjali, M.R.; Rahmani, A.R.; Shokoohi, R.; Farmany, A.; Khazaei, M. A highly sensitive and selective electrochemical mercury (II) sensor based on nanoparticles of Hg (II)-imprinted polymer and graphitic carbon nitride (g-C3N4). Int. J. Electrochem. Sci. 2019, 14, 6420. [Google Scholar] [CrossRef]
- Hallam, P.M.; Kampouris, D.K.; Kadara, R.O.; Banks, C.E. Graphite screen printed electrodes for the electrochemical sensing of chromium(vi). Analyst 2010, 135, 1947–1952. [Google Scholar] [CrossRef] [PubMed]
- Mittal, S.K.; Rana, S.; Kaur, N.; Banks, C.E. A voltammetric method for Fe(iii) in blood serum using a screen-printed electrode modified with a Schiff base ionophore. Analyst 2018, 143, 2851–2861. [Google Scholar] [CrossRef]
- Rana, S.; Mittal, S.K.; Kaur, N.; Banks, C.E. Pseudo Cavity of Schiff Base Ionophore Incorporated in Screen Printed Electrode for Sensing of Zn (II). J. Electrochem. Soc. 2019, 166, B464–B471. [Google Scholar] [CrossRef]
- Rana, S.; Mittal, S.K.; Singh, N.; Singh, J.; Banks, C.E. Schiff base modified screen printed electrode for selective determination of aluminium (III) at trace level. Sens. Actuators B Chem. 2017, 239, 17–27. [Google Scholar] [CrossRef]
- Wang, J.; Zhang, Z. Analytical Chemistry; Trans Tech Publications: Zurich, Switzerland, 1994; Chapter 1; pp. 3–66. [Google Scholar]
- Fox, M.A.; Akaba, R. Curve crossing in the cyclic voltammetric oxidation of 2-phenylnorbornene. Evidence for an ECE reaction pathway. J. Am. Chem. Soc. 1983, 105, 3460–3463. [Google Scholar] [CrossRef]
- Kim, D.; Yamamoto, K.; Ahn, K.H. A BODIPY-based reactive probe for ratiometric fluorescence sensing of mercury ions. Tetrahedron 2012, 68, 5279–5282. [Google Scholar] [CrossRef]
- Zeng, X.; Dong, L.; Wu, C.; Mu, L.; Xue, S.-F.; Tao, Z. Highly sensitive chemosensor for Cu (II) and Hg(II) based on the tripodal rhodamine receptor. Sens. Actuators B Chem. 2009, 141, 506–510. [Google Scholar] [CrossRef]
- Zen, J.-M.; Chung, H.-H.; SenthilKumarabc, A. Determination of lead (II) on a copper/mercury-plated screen-printed electrode. Anal. Chim. Acta 2000, 421, 189–197. [Google Scholar] [CrossRef]












| Working Electrode | Ea (V) | Ec (V) | ΔΕp = Ea − Ec (V) | ΔΕa (V) |
|---|---|---|---|---|
| SPE-A alone | 0.076 | 0.019 | 0.057 | – |
| SPE-A with Co2+ | 0.071 | 0.011 | 0.060 | 0.005 |
| SPE-A with Ni2+ | 0.081 | 0.021 | 0.060 | −0.005 |
| SPE-A with Cu2+ | 0.104 | −0.232 | 0.336 | −0.028 |
| SPE-A with Zn2+ | 0.073 | 0.011 | 0.062 | 0.003 |
| SPE-A with Hg2+ | 0.122 | −0.071 | 0.193 | −0.046 |
| SPE-A with Pb2+ | 0.112 | 0.047 | 0.065 | −0.036 |
| Samples | AAS (μM) | Voltammetry (with SPE-A) (μM) | |
|---|---|---|---|
| Lab tap water | – | – | |
| RS1 | 10.0 | 10.5 | |
| RS2 | 24.9 | 25.4 | |
| RS3 | 35.9 | 36.4 | |
| RS4 | 44.9 | 45.4 |
Publisher’s Note: MDPI stays neutral with regard to jurisdictional claims in published maps and institutional affiliations. |
© 2021 by the authors. Licensee MDPI, Basel, Switzerland. This article is an open access article distributed under the terms and conditions of the Creative Commons Attribution (CC BY) license (http://creativecommons.org/licenses/by/4.0/).
Share and Cite
Kaur, K.; Mittal, S.K.; Kumar SK, A.; Kumar, A.; Kumar, S.; Metters, J.P.; Banks, C.E. Symmetrical Derivative of Anthrone as a Novel Receptor for Mercury Ions: Enhanced Performance of Modified Screen-Printed Electrode. C 2021, 7, 13. https://doi.org/10.3390/c7010013
Kaur K, Mittal SK, Kumar SK A, Kumar A, Kumar S, Metters JP, Banks CE. Symmetrical Derivative of Anthrone as a Novel Receptor for Mercury Ions: Enhanced Performance of Modified Screen-Printed Electrode. C. 2021; 7(1):13. https://doi.org/10.3390/c7010013
Chicago/Turabian StyleKaur, Karamjeet, Susheel K. Mittal, Ashok Kumar SK, Ashwani Kumar, Subodh Kumar, Jonathan P. Metters, and Craig E. Banks. 2021. "Symmetrical Derivative of Anthrone as a Novel Receptor for Mercury Ions: Enhanced Performance of Modified Screen-Printed Electrode" C 7, no. 1: 13. https://doi.org/10.3390/c7010013
APA StyleKaur, K., Mittal, S. K., Kumar SK, A., Kumar, A., Kumar, S., Metters, J. P., & Banks, C. E. (2021). Symmetrical Derivative of Anthrone as a Novel Receptor for Mercury Ions: Enhanced Performance of Modified Screen-Printed Electrode. C, 7(1), 13. https://doi.org/10.3390/c7010013

