Hydrogen Storage on Activated Carbons from Avocado Biomass Residues: Synthesis Route Assessment, Surface Properties and Multilayer Adsorption Modeling
Abstract
1. Introduction
2. Materials and Methods
2.1. Preparation of Activated Carbons for H2 Adsorption
2.2. H2 Adsorption Mechanism Analysis
3. Results
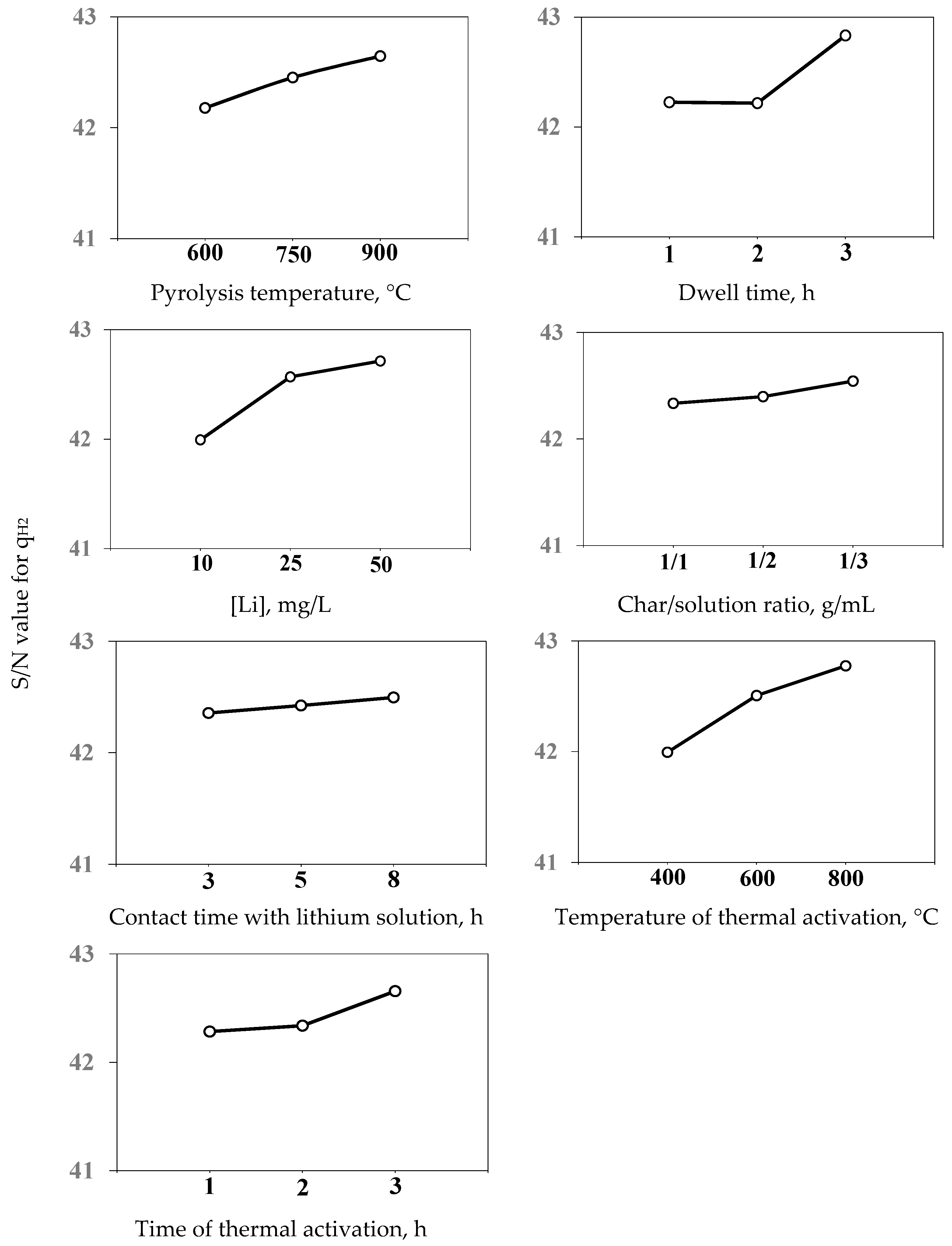
3.1. Hydrogen Adsorption Using Chars and Activated Carbons Prepared from Avocado Biomass
3.2. H2 Adsorption Mechanism Modeling
4. Conclusions
Supplementary Materials
Author Contributions
Funding
Data Availability Statement
Acknowledgments
Conflicts of Interest
References
- Jensen, L.L.; Bonnefoy, P.A.; Hileman, J.I.; Fitzgerald, J.T. The carbon dioxide challenge facing U.S. aviation and paths to achieve net zero emissions by 2050. Prog. Aerosp. Sci. 2023, 141, 100921. [Google Scholar] [CrossRef]
- Kouchaki-Penchah, H.; Bahn, O.; Bashiri, H.; Bedard, S.; Bernier, E.; Elliot, T.; Hammache, A.; Vaillancourt, K.; Levasseur, A. The role of hydrogen in a net-zero emission economy under alternative policy scenarios. Int. J. Hydrogen Energy 2023, 49, 173–187. [Google Scholar] [CrossRef]
- Ahmad, S.; Ullah, A.; Samreen, A.; Qasim, M.; Nawaz, K.; Ahmad, W.; Alnaser, A.; Kannan, A.M.; Egilmez, M. Hydrogen production, storage, transportation and utilization for energy sector: A current status review. J. Energy Storage 2024, 101, 113733. [Google Scholar] [CrossRef]
- Brahim, T.; Jemni, A. Green hydrogen production: A review of technologies, challenges, and hybrid system optimization. Renew. Sustain. Energy Rev. 2026, 225, 116194. [Google Scholar] [CrossRef]
- Mansilha, C.; Barbosa-Povoa, A.; Tarelho, L.; Fonseca, A. A comprehensive review of green hydrogen production technologies: Current status, challenges, research trends and future. Renew. Sustain. Energy Rev. 2026, 225, 116119. [Google Scholar] [CrossRef]
- Nemmour, A.; Inayat, A.; Janajreh, I.; Ghenai, C. Green hydrogen-based E-fuels (E-methane, E-methanol, E-ammonia) to support clean energy transition: A literature review. Int. J. Hydrogen Energy 2023, 48, 29011–29033. [Google Scholar] [CrossRef]
- Aba, M.M.; Sauer, I.L.; Amado, N.B. Comparative review of hydrogen and electricity as energy carriers for the energy transition. Int. J. Hydrogen Energy 2024, 57, 660–678. [Google Scholar] [CrossRef]
- Muhieitheen, M.K.; Hameed, A.B.S. Exploring hydrogen storage: A review of technologies, challenges, policy incentives, and future directions in renewable integration. Next Res. 2025, 2, 100658. [Google Scholar] [CrossRef]
- Qureshi, F.; Yusuf, M.; Ahmed, S.; Haq, M.; Alraih, A.M.; Hidouri, T.; Kamyab, H.; Vo, D.V.N.; Ibrahim, H. Advancements in sorption-based materials for hydrogen storage and utilization: A comprehensive review. Energy 2024, 309, 132855. [Google Scholar] [CrossRef]
- Sadkhan, R.A.; Al-Mudhafar, W.J. Key aspects of underground hydrogen storage in depleted hydrocarbon reservoirs and saline aquifers: A review and understanding. Energy Geosci. 2024, 5, 100339. [Google Scholar] [CrossRef]
- Sharma, G.; Dewangan, A.K.; Yadav, A.K.; Ahmad, A. Current status of research on hydrogen generation, storage and transportation technologies: A state-of-the-art review towards sustainable energy. Process Saf. Environ. Prot. 2024, 191, 1445–1460. [Google Scholar]
- Ramirez-Vidal, P.; Sdanghi, G.; Celzard, A.; Fierros, V. High hydrogen release by cryo-adsorption and compression on porous materials. Int. J. Hydrogen Energy 2022, 47, 8892–8915. [Google Scholar] [CrossRef]
- Yang, X.; He, H.; Lv, T.; Qiu, J. Fabrication of biomass-based functional carbon materials for energy conversion and storage. Mater. Sci. Eng. R 2023, 154, 100736. [Google Scholar] [CrossRef]
- Li, X.; Ding, Y.; Zhang, H.; He, T.; Hao, J.; Wu, J.; Wu, Y.; Bai, H. Pine sawdust derived ultra-high specific surface area activated carbon: Towards high-performance hydrogen storage and supercapacitors. Int. J. Hydrogen Energy 2024, 84, 623–633. [Google Scholar] [CrossRef]
- Shafeeyan, M.S.; Daud, W.M.A.W.; Houshmand, A.; Shamiri, A. A review on surface modification of activated carbon for carbon dioxide adsorption. J. Anal. Appl. Pyrolysis 2010, 89, 143–151. [Google Scholar] [CrossRef]
- Gopalan, J.; Buthiyappan, A.; Raman, A.A.A. Insight into metal-impregnated biomass based activated carbon for enhanced carbon dioxide adsorption: A review. J. Ind. Eng. Chem. 2022, 113, 72–95. [Google Scholar] [CrossRef]
- De Rose, E.; Bartucci, S.; Bonaventura, C.P.; Conte, G.; Agostino, R.G.; Policicchio, A. Effects of activation temperature and time on porosity features of activated carbons derived from lemon peel and preliminary hydrogen adsorption tests. Colloids Surf. A Physicochem. Eng. Asp. 2023, 672, 131727. [Google Scholar] [CrossRef]
- Elyasi, S.; Saha, S.; Hameed, N.; Mahon, P.J.; Juodkazis, S.; Salim, N. Emerging trends in biomass-derived porous carbon materials for hydrogen storage. Int. J. Hydrogen Energy 2024, 62, 272–306. [Google Scholar] [CrossRef]
- Kong, Z.; Zhang, H.; Zhou, T.; Xie, L.; Wang, B.; Jian, X. Biomass-derived functional materials: Preparation, functionalization and applications in adsorption in catalytic separation of carbon dioxide and other atmospheric pollutants. Sep. Purif. Technol. 2025, 354, 129099. [Google Scholar]
- Yin, Y.; Liu, Q.; Wang, J.; Zhao, Y. Recent insights in synthesis and energy storage applications of porous carbon derived from biomass waste: A review. Int. J. Hydrogen Energy 2022, 47, 39338–39363. [Google Scholar] [CrossRef]
- Lu, S.; Fang, L.; Wang, X.; Liu, T.X.; Zhao, X.; Xu, B.B.; Hua, Q.; Liu, H. Insights into activators on biomass-derived carbon-based composites for electrochemical energy storage. Mater. Today Chem. 2024, 37, 101988. [Google Scholar] [CrossRef]
- Gillani, Q.F.; Bakbolat, B.; Tatykayev, B.; Sultanov, F.; Mentbayeva, A. Biomass-derived carbon materials for hydrogen storage: Structure-performance relationships and design strategies. J. Energy Storage 2025, 135, 118401. [Google Scholar] [CrossRef]
- Khan, S.A.; Ali, S.; Sarfraz, S.; Hussain, S.; Mansha, M. Biomass-derived carbon materials for hydrogen storage: Challenges and future perspectives. Energy Convers. Manag. X 2026, 29, 101425. [Google Scholar]
- Konyannik, B.Y.; Lavie, J.D. Valorization techniques for biomass waste in energy generation: A systematic review. Bioresour. Technol. 2025, 435, 132973. [Google Scholar] [CrossRef] [PubMed]
- Behera, U.S.; Singh, R. Hydrogen storage systems using activated carbon. In Reference Module in Earth Systems and Environmental Sciences; Elsevier: Amsterdam, The Netherlands, 2025. [Google Scholar]
- Elyasi, S.; Hameed, N.; Mahon, P.J.; Juodkazis, S.; Keshavarz, A.; Iglauer, S.; Matamba, T.; Vongsvivut, J.; Salim, N.V. Analysis of pistachio shell-derived activated porous carbon materials for hydrogen adsorption. Int. J. Hydrogen Energy 2025, 119, 260–270. [Google Scholar] [CrossRef]
- Lionetti, V.; Bartucci, S.; Bonaventura, C.P.; Conte, G.; Desiderio, G.; Policicchio, A.; Agostino, R.G. Optimized activation of coffee-ground carbons for hydrogen storage. Int. J. Hydrogen Energy 2025, 136, 1029–1040. [Google Scholar] [CrossRef]
- Serafin, J.; Dziejarski, B.; Solis, C.; de la Piscina, P.R.; Homs, N. Medium-pressure hydrogen storage on activated carbon derived from biomass conversion. Fuel 2024, 363, 130975. [Google Scholar] [CrossRef]
- Samantaray, S.S.; Mangisetti, S.R.; Ramaprabhu, S. Investigation of room temperature hydrogen storage in biomass derived activated carbon. J. Alloys Compd. 2019, 789, 800–804. [Google Scholar] [CrossRef]
- Cetingurbuz, E.; Turkyilmaz, A. Production of activated carbon by lithium activation and determination of hydrogen storage capacity. Ind. Crops Prod. 2023, 203, 117171. [Google Scholar] [CrossRef]
- Lionetti, V.; Bonaventura, C.P.; Conte, G.; De Luca, O.; Policicchio, A.; Caruso, T.; Desiderio, G.; Papagno, M.; Agostino, R.G. Production and physical-chemical characterization of walnut shell-derived activated carbons for hydrogen storage application. Int. J. Hydrogen Energy 2024, 61, 639–649. [Google Scholar] [CrossRef]
- Cam, L.M.; Van Khu, L.; Ha, N.N. Theoretical study on the adsorption of phenol on activated carbon using density functional theory. J. Mol. Model. 2013, 19, 4395–4402. [Google Scholar] [CrossRef]
- Schäfer, A.; Horn, H.; Ahlrichs, R. Fully optimized contracted Gaussian basis sets for atoms Li to Kr. J. Chem. Phys. 1992, 97, 2571–2577. [Google Scholar] [CrossRef]
- Perdew, J.P.; Burke, K.; Ernzerhof, M. Generalized gradient approximation made simple. Phys. Rev. Lett. 1996, 77, 3865. [Google Scholar] [CrossRef] [PubMed]
- Grimme, S.; Antony, J.; Ehrlich, S.; Krieg, H. A consistent and accurate ab initio parametrization of density functional dispersion correction (DFT-D) for the 94 elements H-Pu. J. Chem. Phys. 2010, 132, 154104. [Google Scholar] [CrossRef]
- Grimme, S.; Ehrlich, S.; Goerigk, L. Effect of the damping function in dispersion corrected density functional theory. J. Comput. Chem. 2011, 32, 1456–1465. [Google Scholar] [CrossRef] [PubMed]
- Kruse, H.; Grimme, S. A geometrical correction for the inter-and intra-molecular basis set superposition error in Hartree-Fock and density functional theory calculations for large systems. J. Chem. Phys. 2012, 136, 04B613. [Google Scholar] [CrossRef]
- Lefebvre, C.; Rubez, G.; Khartabil, H.; Boisson, J.C.; Contreras-García, J.; Hénon, E. Accurately extracting the signature of intermolecular interactions present in the NCI plot of the reduced density gradient versus electron density. Phys. Chem. Chem. Phys. 2017, 19, 17928–17936. [Google Scholar] [CrossRef]
- Lu, T.; Chen, F. Multiwfn: A multifunctional wavefunction analyzer. J. Comput. Chem. 2012, 33, 580–592. [Google Scholar] [CrossRef] [PubMed]
- Neese, F. The ORCA program system. Wiley Interdiscip. Rev. Comput. Mol. Sci. 2012, 2, 73–78. [Google Scholar] [CrossRef]
- Neese, F. Software update: The ORCA program system—Version 5.0. Wiley Interdiscip. Rev. Comput. Mol. Sci. 2022, 12, e1606. [Google Scholar] [CrossRef]
- Humphrey, W.; Dalke, A.; Schulten, K. VMD: Visual molecular dynamics. J. Mol. Graph. 1996, 14, 33–38. [Google Scholar] [CrossRef] [PubMed]
- Amrhar, O.; El Gana, L.; Mobarak, M. Calculation of adsorption isotherms by statistical physics models: A review. Environ. Chem. Lett. 2021, 19, 5419–5447. [Google Scholar] [CrossRef]
- Tran, H.N.; You, S.J.; Chao, H.P. Effect of pyrolysis temperatures and times on the adsorption of cadmium onto orange peel derived biochar. Waste Manag. Res. 2016, 34, 129–138. [Google Scholar] [CrossRef]
- Yang, Z.; Liu, X.; Zhang, M.; Liu, L.; Xu, X.; Xian, J.; Cheng, Z. Effect of temperature and duration of pyrolysis on spent tea leaves biochar: Physiochemical properties and Cd(II) adsorption capacity. Water Sci. Technol. 2021, 154, 105010. [Google Scholar] [CrossRef]
- Chen, D.; Cen, K.; Zhuang, X.; Gan, Z.; Zhou, J.; Zhang, Y.; Zhang, H. Insight into biomass pyrolysis mechanism based on cellulose, hemicellulose, and lignin: Evolution of volatiles and kinetics, elucidation of reaction pathways, and characterization of gas, biochar and bio-oil. Combust. Flame 2022, 242, 112142. [Google Scholar] [CrossRef]
- Sánchez, F.; Araus, K.; Domínguez, M.P.; Miguel, G.S. Thermochemical transformation of residual avocado seeds: Torrefaction and carbonization. Waste Biomass Valorization 2017, 8, 2495–2510. [Google Scholar] [CrossRef]
- Hoinacki, C.K.; Polidoro, A.S.; Cabrera, P.M.; Thue, P.S.; Assis, R.; Lima, E.C.; Bussamara, R.; Fernandes, A.N. Laccase covalently immobilized on avocado seed biochar: A high-performance biocatalyst for acetaminophen sorption and biotransformation. J. Environ. Chem. Eng. 2022, 10, 107731. [Google Scholar] [CrossRef]
- Kopac, T.; Toprak, A. Hydrogen sorption characteristics of Zonguldak region coal activated by physical and chemical methods. Korean J. Chem. Eng. 2009, 26, 1700–1705. [Google Scholar] [CrossRef]
- Peng, Z.; Xu, Y.; Luo, W.; Wang, C.; Ma, L. Conversion of biomass wastes into activated carbons by chemical activation for hydrogen storage. ChemistrySelect 2020, 5, 11221–11228. [Google Scholar] [CrossRef]
- Purkayastha, S.K.; Guha, A.K. H2 and CO2 adsorption ability of cationic lithiated carbenes: A computational study. Int. J. Hydrogen Energy 2022, 47, 39917–39930. [Google Scholar] [CrossRef]
- Ma, L.; Li, J.; Ma, X. Preparation and adsorption of CO2 and H2 by activated carbon hollow fibers from rubber wood (Hevea brassiliensis). BioResources 2019, 14, 9755–9756. [Google Scholar]
- Schaefer, S.; Jeder, A.; Sdanghi, G.; Gadonneix, P.; Abdedayem, A.; Izquierdo, M.T.; Maranzana, G.; Ouederni, A.; Celzard, A.; Fierro, V. Oxygen-promoted hydrogen adsorption on activated and hybrid carbon materials. Int. J. Hydrogen Energy 2020, 45, 30767–30782. [Google Scholar] [CrossRef]
- Hegde, S.S.; Bhat, B.R. Biomass waste-derived porous graphitic carbon for high-performance supercapacitors. J. Energy Storage 2024, 76, 109818. [Google Scholar] [CrossRef]
- Anoop, P.P.; Palanisamy, T. Coconut shell biochar–Bacillus cereus DKBovi-5 based biocomposite as a sustainable additive for cement mortar: Effect of pyrolysis temperature on characterization, strength, hydration, and healing. Sustain. Chem. Pharm. 2025, 46, 102112. [Google Scholar] [CrossRef]
- Liu, B.; Ma, X.; Shi, R.; Zhou, K.; Xu, X.; Qiu, J.; Wang, H.; Zeng, Z.; Li, L. Synthesis of alkali metals functionalized porous carbon for enhanced selective adsorption of carbon dioxide: A theoretically guided study. Energy Fuels 2021, 35, 15962–15968. [Google Scholar] [CrossRef]
- Cho, S.; Lyu, L.; Kang, Y.M. Electrochemical role of Li-ligands at the triple-phase boundary in Li-O2 batteries. ACS Appl. Mater. Interfaces 2025, 17, 32141–32149. [Google Scholar]
- Ma, J.; Nan, H.; Yang, G.; Li, Z.; Wang, J.; Zhou, J.; Xue, C.; Wang, X.; Xu, S. Lithium-functionalized TEMPO-oxidized cellulose nanofiber as a novel binder and its impact on the ionic conductivity performance of lithium-ion batteries. Cellulose 2024, 31, 9681–9698. [Google Scholar]
- Bediako, J.K. Effects of carbon precursors and activation agents on the physicochemical characteristics and aurocyanide adsorption patterns of agro waste-based activated carbons. Results Eng. 2026, 29, 108715. [Google Scholar]
- Guerra-Que, Z.; López-Margalli, K.S.; Urrieta-Saltijeral, J.M.; Silahua-Pavón, A.A.; Martínez-García, H.; García-Alamilla, P.; Córdova-Pérez, G.E.; Arévalo-Pérez, J.C.; Torres-Torres, J.G. Activated carbon synthesised from lignocellulosic cocoa pod husk via alkaline and acid treatment for methylene blue adsorption: Optimisation by response surface methodology, kinetics, and isotherm modelling. RSC Adv. 2025, 15, 47231–47254. [Google Scholar] [CrossRef]
- Saraugi, S.S.; Asare, F.; Gazo, R.; Mohanta, T.R.; Saha, P.; Routray, W. A comprehensive characterization of tender coconut waste biochar produced through slow pyrolysis at different temperatures and heating rates. Biomass Bioenergy 2026, 207, 108728. [Google Scholar]
- Handiso, B.; Pääkkönen, T.; Wilson, B.P. Effect of pyrolysis temperature on the physical and chemical characteristics of pine wood biochar. Waste Manag. Bull. 2024, 2, 281–287. [Google Scholar] [CrossRef]
- Jerigová, M.; Odziomek, M.; López-Salas, N. “We are here!” Oxygen functional groups in carbons for electrochemical applications. ACS Omega 2022, 7, 11544–11554. [Google Scholar] [CrossRef]
- Alfarra, A.; Frackowiak, E.; Béguin, F. Mechanism of lithium electrosorption by activated carbons. Electrochim. Acta 2002, 47, 1545–1553. [Google Scholar] [CrossRef]
- Ren, P.; Ji, P. Polyacrylic acid-grafted alkali-activated fly ash as a novel adsorbent for Lithium recovery: Unraveling adsorption performance and underlying mechanisms. J. Mol. Liq. 2025, 438, 128709. [Google Scholar] [CrossRef]
- Lu, Y.; Zhang, Z.; Zhong, Q.; Yao, Z.; Wu, J.; Zhang, J.; Wang, L.; Xiao, J. Oxygen-rich modified-graphite recycled from spent lithium batteries for improved lithium-ion storage: Adsorption and intercalation mechanisms. Sep. Purif. Technol. 2025, 359, 130798. [Google Scholar] [CrossRef]
- An, Y.; Sun, Y.; Zhang, K.; Li, C.; Sun, X.; Wang, K.; Zhang, X.; Ma, Y. Tuning surface functional groups and crystallinity in activated carbon for high-voltage lithium-ion capacitors. New Carbon Mater. 2025, 40, 1085–1097. [Google Scholar] [CrossRef]
- Lin, X.; Wu, J.; Lin, J.; Wang, N.; Su, M.; Tang, J.; Shih, K.; Xu, J. Selective recovery of Ni, Co, and Li from spent NCA lithium-ion batteries: 3D macroporous bio-based adsorbent and innovative leaching–adsorption strategy. J. Environ. Chem. Eng. 2025, 13, 118063. [Google Scholar] [CrossRef]
- Malini, K.; Selvakumar, D.; Kumar, N.S. Activated carbon from biomass: Preparation factors improving basicity and surface properties for enhanced CO2 capture capacity—A review. J. CO2 Util. 2023, 67, 102318. [Google Scholar] [CrossRef]
- Kim, J.H.; Lee, G.; Park, J.E.; Kim, S.H. Limitation of K2CO3 as a chemical agent for upgrading activated carbon. Processes 2021, 9, 1000. [Google Scholar] [CrossRef]
- Chen, C.; Zhang, J.; Zhang, B.; Duan, H.M. Hydrogen adsorption of Mg-doped graphene oxide: A first-principles study. J. Phys. Chem. C 2013, 117, 4337–4344. [Google Scholar] [CrossRef]
- Li, Z.; Xu, Z.; Gao, C. Selective proximate antarafacial distribution of oxidized functional groups on graphene oxide. J. Phys. Chem. C 2024, 128, 1323–1331. [Google Scholar] [CrossRef]
- Mofidi, F.; Reisi-Vanani, A. Investigation of the electronic and structural properties of graphyne oxide toward CO, CO2 and NH3 adsorption: A DFT and MD study. Appl. Surf. Sci. 2020, 507, 145134. [Google Scholar] [CrossRef]
- Ayesh, A.I. Investigation of BN modified graphene nanoribbon for gas adsorption applications: DFT study. Chin. J. Phys. 2023, 85, 649–659. [Google Scholar] [CrossRef]
- Yang, L.; Sun, L.; Deng, W.Q. van der Waals function for molecular mechanics. J. Phys. Chem. A 2020, 124, 2102–2107. [Google Scholar] [CrossRef]
- Zhou, Y.; Chu, W.; Jing, F.; Zheng, J.; Sun, W.; Xue, Y. Enhanced hydrogen storage on Li-doped defective graphene with B substitution: A DFT study. Appl. Surf. Sci. 2017, 410, 166–176. [Google Scholar] [CrossRef]
- Shen, D.; Liu, Z.; Tu, Z.; Li, S. Understanding hydrogen adsorption performance of lithium-doped MIL-101 (Cr) by molecular simulations: Effects of lithium distribution. Int. J. Hydrogen Energy 2023, 48, 18366–18374. [Google Scholar] [CrossRef]
- Srinivasu, K.; Ghosh, S.K. Theoretical studies on hydrogen adsorption properties of lithium decorated diborene (B2H4Li2) and diboryne (B2H2Li2). Int. J. Hydrogen Energy 2011, 36, 15681–15688. [Google Scholar]
- Bi, L.; Yin, J.; Huang, X.; Wang, Y.; Yang, Z. A DFT study of H2 adsorption on lithium decorated 3D hybrid Boron-Nitride-Carbon frameworks. Int. J. Hydrogen Energy 2019, 44, 15183–15192. [Google Scholar]
- Johnson, E.R.; Keinan, S.; Mori-Sánchez, P.; Contreras-García, J.; Cohen, A.J.; Yang, W. Revealing noncovalent interactions. J. Am. Chem. Soc. 2010, 132, 6498–6506. [Google Scholar] [CrossRef]
- Wen, Y.; Chai, X.; Gu, Y.; Wu, W.; Ma, W.; Zhang, J.; Zhang, T. Advances in hydrogen storage materials for physical H2 adsorption. Int. J. Hydrogen Energy 2025, 97, 1261–1274. [Google Scholar] [CrossRef]











| Pyrolysis | Impregnation with Lithium Solution | Thermal Activation | |||||
|---|---|---|---|---|---|---|---|
| Sample | Temperature, °C | Time, h | [Li], mg/L | Char/Solution Ratio, g/mL | Time, h | Temperature, °C | Time, h |
| A1 | 600 | 1 | 10 | 1/10 | 3 | 400 | 1 |
| A2 | 600 | 1 | 25 | 1/10 | 5 | 800 | 3 |
| A3 | 600 | 2 | 50 | 1/20 | 8 | 600 | 3 |
| A4 | 750 | 2 | 10 | 1/30 | 8 | 400 | 2 |
| A5 | 750 | 3 | 25 | 1/30 | 3 | 800 | 2 |
| A6 | 750 | 3 | 50 | 1/10 | 3 | 600 | 1 |
| A7 | 900 | 1 | 10 | 1/20 | 5 | 400 | 1 |
| A8 | 900 | 2 | 25 | 1/20 | 5 | 600 | 2 |
| A9 | 900 | 3 | 50 | 1/30 | 8 | 800 | 3 |
| CHNO Analysis, % | SEM/EDX Analysis, % | |||||||||||||
|---|---|---|---|---|---|---|---|---|---|---|---|---|---|---|
| Sample | C | H | N | Odiff | C | O | Na | Mg | Al | P | S | K | Ca | Cl |
| C1 | 82.16 | 3.93 | 1.23 | 12.68 | 88.60 | 8.32 | - | 0.26 | - | 0.49 | 0.12 | 2.14 | 0.35 | - |
| C3 | 80.01 | 4.17 | 1.21 | 14.61 | 86.61 | 10.70 | - | 0.29 | - | 0.52 | 0.13 | 1.69 | 0.27 | - |
| C8 | 85.11 | 2.68 | 1.76 | 10.45 | 93.58 | 5.43 | - | 0.23 | 0.25 | 0.23 | - | 0.18 | 0.25 | - |
| A1 | 85.61 | 4.34 | 1.66 | 8.39 | 88.38 | 10.12 | - | 0.27 | 0.06 | 0.23 | - | - | - | 0.49 |
| A3 | 83.31 | 3.27 | 1.69 | 11.73 | 88.48 | 10.74 | 0.10 | 0.22 | 0.47 | 0.14 | - | - | - | 0.07 |
| A9 | 83.19 | 2.48 | 1.63 | 12.70 | 88.30 | 7.64 | 0.09 | 0.14 | - | 2.87 | 0.07 | - | - | - |
| Pore Volume, cm3/g | ||||
|---|---|---|---|---|
| Sample | BET Area, m2/g | Micropore | Mesopore | Total |
| A1 | 50 | 0.017 | 0.043 | 0.078 |
| A3 | 88 | 0.020 | 0.125 | 0.144 |
| A9 | 173 | 0.058 | 0.110 | 0.192 |
| Sample | nH2 | ASH2, mmol/g | NLH2 |
|---|---|---|---|
| A1 | 1.98 | 0.96 | 2.9 |
| A2 | 2.21 | 0.83 | 3.2 |
| A3 | 2.15 | 0.87 | 3.2 |
| A4 | 2.17 | 0.67 | 3.5 |
| A5 | 2.10 | 1.21 | 2.4 |
| A6 | 2.36 | 0.84 | 3.0 |
| A7 | 2.10 | 1.10 | 2.5 |
| A8 | 2.05 | 1.04 | 2.7 |
| A9 | 2.53 | 0.85 | 2.8 |
Disclaimer/Publisher’s Note: The statements, opinions and data contained in all publications are solely those of the individual author(s) and contributor(s) and not of MDPI and/or the editor(s). MDPI and/or the editor(s) disclaim responsibility for any injury to people or property resulting from any ideas, methods, instructions or products referred to in the content. |
© 2026 by the authors. Licensee MDPI, Basel, Switzerland. This article is an open access article distributed under the terms and conditions of the Creative Commons Attribution (CC BY) license.
Share and Cite
Herrera-Cuadrado, Z.V.; Bastidas-Solarte, L.J.; García-Hernández, E.; Bonilla-Petriciolet, A.; Duran-Valle, C.J.; Mendoza-Castillo, D.I.; Reynel-Ávila, H.E.; Moreno-Virgen, M.d.R.; Sandoval-Flores, G.; Alvarado-Reyna, S. Hydrogen Storage on Activated Carbons from Avocado Biomass Residues: Synthesis Route Assessment, Surface Properties and Multilayer Adsorption Modeling. C 2026, 12, 5. https://doi.org/10.3390/c12010005
Herrera-Cuadrado ZV, Bastidas-Solarte LJ, García-Hernández E, Bonilla-Petriciolet A, Duran-Valle CJ, Mendoza-Castillo DI, Reynel-Ávila HE, Moreno-Virgen MdR, Sandoval-Flores G, Alvarado-Reyna S. Hydrogen Storage on Activated Carbons from Avocado Biomass Residues: Synthesis Route Assessment, Surface Properties and Multilayer Adsorption Modeling. C. 2026; 12(1):5. https://doi.org/10.3390/c12010005
Chicago/Turabian StyleHerrera-Cuadrado, Zayda V., Lizeth J. Bastidas-Solarte, Erwin García-Hernández, Adrián Bonilla-Petriciolet, Carlos J. Duran-Valle, Didilia I. Mendoza-Castillo, Hilda E. Reynel-Ávila, Ma. del Rosario Moreno-Virgen, Gloria Sandoval-Flores, and Sofía Alvarado-Reyna. 2026. "Hydrogen Storage on Activated Carbons from Avocado Biomass Residues: Synthesis Route Assessment, Surface Properties and Multilayer Adsorption Modeling" C 12, no. 1: 5. https://doi.org/10.3390/c12010005
APA StyleHerrera-Cuadrado, Z. V., Bastidas-Solarte, L. J., García-Hernández, E., Bonilla-Petriciolet, A., Duran-Valle, C. J., Mendoza-Castillo, D. I., Reynel-Ávila, H. E., Moreno-Virgen, M. d. R., Sandoval-Flores, G., & Alvarado-Reyna, S. (2026). Hydrogen Storage on Activated Carbons from Avocado Biomass Residues: Synthesis Route Assessment, Surface Properties and Multilayer Adsorption Modeling. C, 12(1), 5. https://doi.org/10.3390/c12010005

