Entrapment of Glucose Oxidase and Catalase in Silica–Calcium–Alginate Hydrogel Reduces the Release of Gluconic Acid in Must
Abstract
1. Introduction
2. Results and Discussion
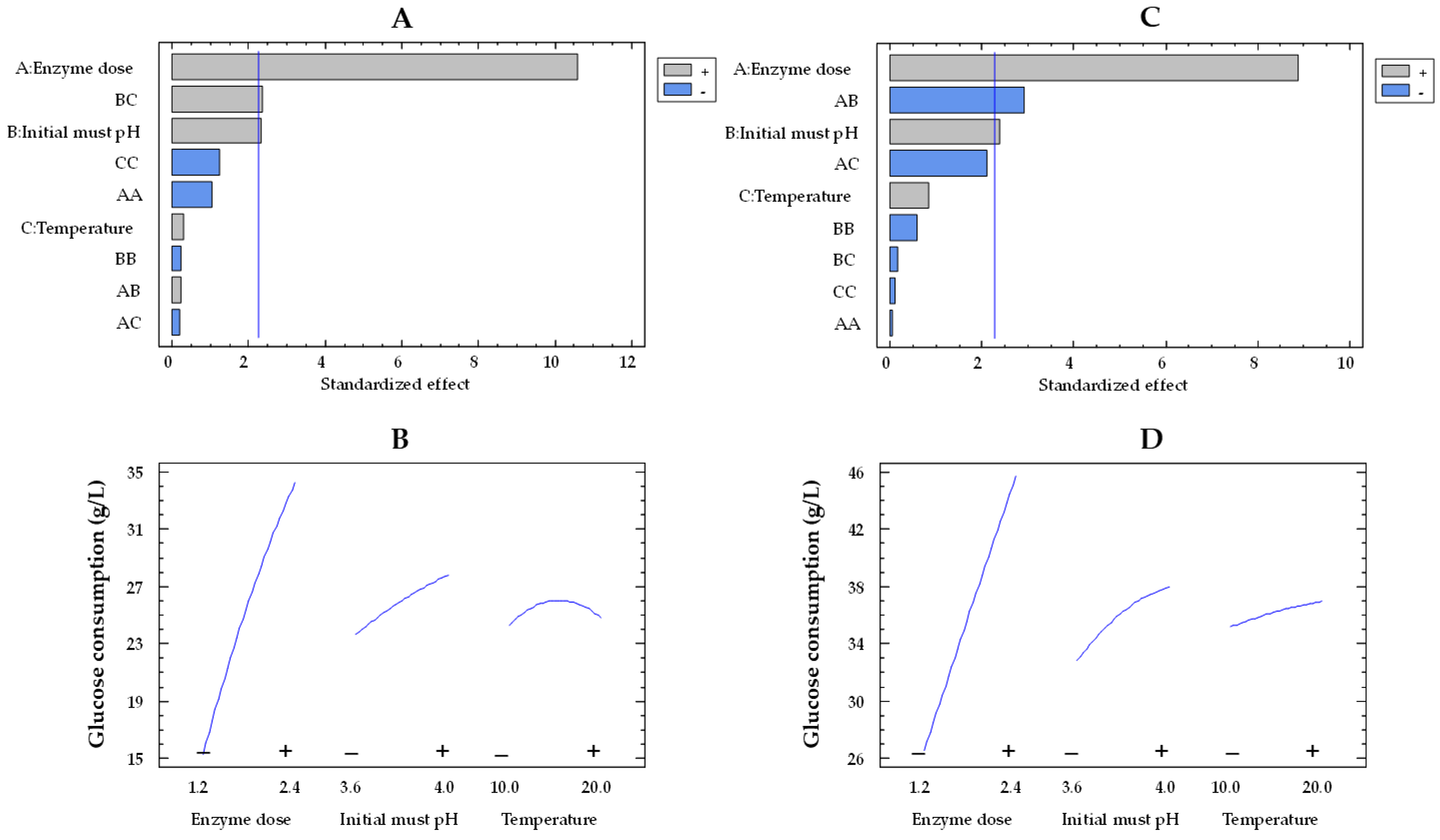
2.1. The Effect of Enzyme Dose, Must pH, and Temperature on the Performance of the Co-Immobilized Enzymes
2.2. Efficiency of the Co-Immobilized and Free GOX
2.3. Operational Stability of the Co-Immobilized GOX
3. Conclusions
- −
- A noteworthy glucose consumption of up to 37.3 g/L was observed with co-immobilized enzymes, resulting in a reduction in the potential alcoholic strength of the must by about 2.0% vol. (v/v).
- −
- A remarkable reduction of up to 73.7% in the estimated gluconic acid concentration was achieved in the co-immobilized enzyme-treated musts, mitigating the risk of an excessive must acidity observed with free enzymes.
- −
- Higher enzyme doses enhanced the pH decrease of must, observing a pH decrease of up to 1.02 with free enzymes and only up to 0.60 with co-immobilized enzymes.
- −
- The rise in the color intensity of the must became less pronounced as the dose of co-immobilized enzymes increased (from 0.39 to 0.33 AU).
- −
- A gradual decline in glucose consumption was observed over eight consecutive cycles of use of the co-immobilized enzymes.
4. Materials and Methods
4.1. Enzymes and Chemical Reagents
4.2. Verdejo Grape Must
4.3. Co-Immobilization of GOX and CAT in Silica–Calcium–Alginate Capsules
4.4. Must Treatment with Co-Immobilized Enzymes
4.5. Efficiency of Co-Immobilized GOX over the Reaction Time
4.6. Operational Stability of Co-Immobilized Enzymes
4.7. Statistical Analysis
Author Contributions
Funding
Institutional Review Board Statement
Informed Consent Statement
Data Availability Statement
Acknowledgments
Conflicts of Interest
References
- Van Leeuwen, C.; Destrac-Irvine, A.; Dubernet, M.; Duchêne, E.; Gowdy, M.; Marguerit, E.; Pieri, P.; Parker, A.; de Rességuier, L.; Ollat, N. An Update on the Impact of Climate Change in Viticulture and Potential Adaptations. Agronomy 2019, 9, 514. [Google Scholar] [CrossRef]
- Lorenzo, M.N.; Ramos, A.M.; Brands, S. Present and Future Climate Conditions for Winegrowing in Spain. Reg. Environ. Chang. 2016, 16, 617–627. [Google Scholar] [CrossRef]
- Martínez-Lüscher, J.; Kizildeniz, T.; Vucetic, V.; Dai, Z.; Luedeling, E.; van Leeuwen, C.; Gomès, E.; Pascual, I.; Irigoyen, J.J.; Morales, F.; et al. Sensitivity of Grapevine Phenology to Water Availability, Temperature and CO2 Concentration. Front. Environ. Sci. 2016, 4, 48. [Google Scholar] [CrossRef]
- Keller, M.; Tarara, J.M.; Mills, L.J. Spring Temperatures Alter Reproductive Development in Grapevines. Aust. J. Grape Wine Res. 2010, 16, 445–454. [Google Scholar] [CrossRef]
- Aggarwal, S.; Mohite, A.M.; Sharma, N. The Maturity and Tipeness Phenomenon with Regard to the Physiology of Gruits and Begetables: A Review. Bull. Transilv. Univ. Brasov. Ser. II For. Wood Ind. Agric. Food Eng. 2018, 11, 77–88. [Google Scholar]
- Mira, R. Climate Change Associated Effects on Grape and Wine Quality and Production. Food Res. Int. 2010, 43, 1844–1855. [Google Scholar] [CrossRef]
- Van Leeuwen, C.; Destrac-Irvine, A. Modified Grape Composition under Climate Change Conditions Requires Adaptations in the Vineyard. OENO One 2017, 51, 147–154. [Google Scholar] [CrossRef]
- Pons, A.; Allamy, L.; Schüttler, A.; Rauhut, D.; Thibon, C.; Darriet, P. What Is the Expected Impact of Climate Change on Wine Aroma Compounds and Their Precursors in Grape? OENO One 2017, 51, 141. [Google Scholar] [CrossRef]
- Botezatu, A.; Elizondo, C.; Bajec, M.; Miller, R. Enzymatic Management of pH in White Wines. Molecules 2021, 26, 2730. [Google Scholar] [CrossRef]
- Sam, F.E.; Ma, T.Z.; Salifu, R.; Wang, J.; Jiang, Y.M.; Zhang, B.; Han, S.Y. Techniques for Dealcoholization of Wines: Their Impact on Wine Phenolic Composition, Volatile Composition, and Sensory Characteristics. Foods 2021, 10, 2498. [Google Scholar] [CrossRef]
- Ozturk, B.; Anli, E. Different Techniques for Reducing Alcohol Levels in Wine: A Review. BIO Web Conf. 2014, 3, 02012. [Google Scholar] [CrossRef]
- Schmidtke, L.M.; Blackman, J.W.; Agboola, S.O. Production Technologies for Reduced Alcoholic Wines. J. Food Sci. 2012, 77, R25–R41. [Google Scholar] [CrossRef] [PubMed]
- Gonzalez, R.; Guindal, A.M.; Tronchoni, J.; Morales, P. Biotechnological Approaches to Lowering the Ethanol Yield during Wine Fermentation. Biomolecules 2021, 11, 1569. [Google Scholar] [CrossRef] [PubMed]
- OIV Resolution OIV-OENO 394B-2012. Correction of the Alcohol Content in Wines. Available online: https://www.oiv.int/public/medias/1432/oiv-oeno-394b-2012-en.pdf (accessed on 22 June 2020).
- Gutiérrez-Gamboa, G.; Zheng, W.; Martínez de Toda, F. Current Viticultural Techniques to Mitigate the Effects of Global Warming on Grape and Wine Quality: A Comprehensive Review. Food Res. Int. 2021, 139, 109946. [Google Scholar] [CrossRef] [PubMed]
- Dubey, M.K.; Zehra, A.; Aamir, M.; Meena, M.; Ahirwal, L.; Singh, S.; Shukla, S.; Upadhyay, R.S.; Bueno-Mari, R.; Bajpai, V.K. Improvement Strategies, Cost Effective Production, and Potential Applications of Fungal Glucose Oxidase (GOD): Current Updates. Front. Microbiol. 2017, 8, 1032. [Google Scholar] [CrossRef]
- Grigoras, A.G. Catalase Immobilization—A Review. Biochem. Eng. J. 2017, 117, 1–20. [Google Scholar] [CrossRef]
- Röcker, J.; Schmitt, M.; Pasch, L.; Ebert, K.; Grossmann, M. The Use of Glucose Oxidase and Catalase for the Enzymatic Reduction of the Potential Ethanol Content in Wine. Food Chem. 2016, 210, 660–670. [Google Scholar] [CrossRef]
- Shen, X.; Yang, M.; Cui, C.; Cao, H. In Situ Immobilization of Glucose Oxidase and Catalase in a Hybrid Interpenetrating Polymer Network by 3D Bioprinting and Its Application. Colloids Surfaces A Physicochem. Eng. Asp. 2019, 568, 411–418. [Google Scholar] [CrossRef]
- Villettaz, J.C. A New Method for the Production of Low Alcohol Wines an Better Balanced Wines. In Proceedings of the 6th Australian Wine Industry Technical Conference, Adelaide, Australia, 14–17 July 1986; Lee, A.T.H., Ed.; Australian Industrial Publishers: Adelaide, Australia, 1986; pp. 125–128. [Google Scholar]
- Heresztyn, T. Conversion of Glucose to Gluconic Acid by Glucose Oxidase Enzyme in Muscat Gordo Juice. Aust. Grapegrow. Winemak. 1987, 4, 25–27. [Google Scholar]
- Pickering, G.J.; Heatherbell, D.A.; Barnes, M.F. Optimising Glucose Conversion in the Production of Reduced Alcohol Wine Using Glucose Oxidase. Food Res. Int. 1998, 31, 685–692. [Google Scholar] [CrossRef]
- Pickering, G.J. Low- and Reduced-Alcohol Wine: A Review. J. Wine Res. 2000, 11, 129–144. [Google Scholar] [CrossRef]
- Pickering, G.J.; Heatherbell, D.A.; Barnes, M.F. GC-MS Analysis of Reduced-Alcohol Müller-Thurgau Wine Produced Using Glucose Oxidase-Treated Luice. LWT Food Sci. Technol. 2001, 34, 89–94. [Google Scholar] [CrossRef]
- Pickering, G.J.; Heatherbell, D.A.; Barnes, M.F. The Production of Reduced- Alcohol Wine Using Glucose Oxidase-Treated Juice. Part I. Composition. Am. Soc. Enol. Vitic. 1999, 50, 291–298. [Google Scholar] [CrossRef]
- Pickering, G.J.; Heatherbell, D.A.; Barnes, M.F. The Production of Reduced-Alcohol Wine Using Glucose Oxidase-Treated Juice. Part II. Stability and SO2-Binding. Am. J. Enol. Vitic. 1999, 50, 299–306. [Google Scholar] [CrossRef]
- Pickering, G.J.; Heatherbell, D.A.; Barnes, M.F. The Production of Reduced-Alcohol Wine Using Glucose Oxidase-Treated Juice. Part III. Sensory. Am. J. Enol. Vitic. 1999, 50, 307–316. [Google Scholar] [CrossRef]
- Biyela, B.N.E.; du Toit, W.J.; Divol, B.; Malherbe, D.F.; van Rensburg, P. The Production of Reduced-Alcohol Wines Using Gluzyme Mono® 10.000 BG-Treated Grape Juice. S. Afr. J. Enol. Vitic. 2009, 30, 124–132. [Google Scholar] [CrossRef][Green Version]
- Valencia, P.; Espinoza, K.; Ramirez, C.; Franco, W.; Urtubia, A. Technical Feasibility of Glucose Oxidase as a Prefermentation Treatment for Lowering the Alcoholic Degree of Red Wine. Am. J. Enol. Vitic. 2017, 68, 386–389. [Google Scholar] [CrossRef]
- Bankar, S.B.; Bule, M.V.; Singhal, R.S.; Ananthanarayan, L. Glucose Oxidase—An Overview. Biotechnol. Adv. 2009, 27, 489–501. [Google Scholar] [CrossRef]
- Mateo, C.; Palomo, J.M.; Fernandez-Lorente, G.; Guisan, J.M.; Fernandez-Lafuente, R. Improvement of Enzyme Activity, Stability and Selectivity via Immobilization Techniques. Enzyme Microb. Technol. 2007, 40, 1451–1463. [Google Scholar] [CrossRef]
- Del-Bosque, D.; Vila-Crespo, J.; Ruipérez, V.; Fernández-Fernández, E.; Rodriguez-Nogales, J.M. Silica-Calcium-Alginate Hydrogels for the Co-Immobilization of Glucose Oxidase and Catalase to Reduce the Glucose in Grape Must. Gels 2023, 9, 320. [Google Scholar] [CrossRef]
- Yushkova, E.D.; Nazarova, E.A.; Matyuhina, A.V.; Noskova, A.O.; Shavronskaya, D.O.; Vinogradov, V.V.; Skvortsova, N.N.; Krivoshapkina, E.F. Application of Immobilized Enzymes in Food Industry. J. Agric. Food Chem. 2019, 67, 11553–11567. [Google Scholar] [CrossRef]
- Mohamad, N.R.; Marzuki, N.H.C.; Buang, N.A.; Huyop, F.; Wahab, R.A. An Overview of Technologies for Immobilization of Enzymes and Surface Analysis Techniques for Immobilized Enzymes. Biotechnol. Biotechnol. Equip. 2015, 29, 205–220. [Google Scholar] [CrossRef]
- Christoph, S.; Fernandes, F.M.; Coradin, T. Immobilization of Proteins in Biopolymer-Silica Hybrid Materials: Functional Properties and Applications. Curr. Org. Chem. 2015, 19, 1669–1676. [Google Scholar] [CrossRef]
- Sperling, L.H.; Hu, R. Interpenetrating Polymer Networks. In Polymer Blends Handbook; Utracki, L., Wilkie, C., Eds.; Springer: Dordrecht, The Netherlands, 2014; pp. 677–724. [Google Scholar] [CrossRef]
- Simó, G.; Fernández-Fernández, E.; Vila-Crespo, J.; Ruipérez, V.; Rodríguez-Nogales, J.M. Silica-Alginate-Encapsulated Bacteria to Enhance Malolactic Fermentation Performance in a Stressful Environment. Aust. J. Grape Wine Res. 2017, 23, 342–349. [Google Scholar] [CrossRef]
- Simó, G.; Vila-Crespo, J.; Fernández-Fernández, E.; Ruipérez, V.; Rodríguez-Nogales, J.M. Highly Efficient Malolactic Fermentation of Red Wine Using Encapsulated Bacteria in a Robust Biocomposite of Silica-Alginate. J. Agric. Food Chem. 2017, 65, 5188–5197. [Google Scholar] [CrossRef] [PubMed]
- Simó, G.; Fernández-Fernández, E.; Vila-Crespo, J.; Ruipérez, V.; Rodríguez-Nogales, J.M. Research Progress in Coating Techniques of Alginate Gel Polymer for Cell Encapsulation. Carbohydr. Polym. 2017, 170, 1–14. [Google Scholar] [CrossRef]
- Cañete-Rodríguez, A.M.; Santos-Dueñas, I.M.; Jiménez-Hornero, J.E.; Ehrenreich, A.; Liebl, W.; García-García, I. Gluconic Acid: Properties, Production Methods and Applications—An Excellent Opportunity for Agro-Industrial by-Products and Waste Bio-Valorization. Process Biochem. 2016, 51, 1891–1903. [Google Scholar] [CrossRef]
- Kornecki, J.F.; Carballares, D.; Tardioli, P.W.; Rodrigues, R.C.; Berenguer-Murcia, Á.; Alcántara, A.R.; Fernandez-Lafuente, R. Enzyme Production of D-Gluconic Acid and Glucose Oxidase: Successful Tales of Cascade Reactions. Catal. Sci. Technol. 2020, 10, 5740–5771. [Google Scholar] [CrossRef]
- Ruiz, E.; Busto, M.D.; Ramos-Gómez, S.; Palacios, D.; Pilar-Izquierdo, M.C.; Ortega, N. Encapsulation of Glucose Oxidase in Alginate Hollow Beads to Reduce the Fermentable Sugars in Simulated Musts. Food Biosci. 2018, 24, 67–72. [Google Scholar] [CrossRef]
- Singh, O.V.; Kumar, R. Biotechnological Production of Gluconic Acid: Future Implications. Appl. Microbiol. Biotechnol. 2007, 75, 713–722. [Google Scholar] [CrossRef]
- Ma, Y.; Li, B.; Zhang, X.; Wang, C.; Chen, W. Production of Gluconic Acid and Its Derivatives by Microbial Fermentation: Process Improvement Based on Integrated Routes. Front. Bioeng. Biotechnol. 2022, 10, 864787. [Google Scholar] [CrossRef] [PubMed]
- Ben Messaoud, G.; Sánchez-González, L.; Probst, L.; Jeandel, C.; Arab-Tehrany, E.; Desobry, S. Physico-Chemical Properties of Alginate/Shellac Aqueous-Core Capsules: Influence of Membrane Architecture on Riboflavin Release. Carbohydr. Polym. 2016, 144, 428–437. [Google Scholar] [CrossRef] [PubMed]
- Godfrey, T.; Reichelt, J. Comparison of Key Characteristics of Industrial Enzymes by Type and Source. In Industrial Enzymology; Godfrey, T., West, S., Eds.; Stockton Press: New York, NY, USA, 1996; pp. 437–479. [Google Scholar]
- Li, H.; Guo, A.; Wang, H. Mechanisms of Oxidative Browning of Wine. Food Chem. 2008, 108, 1–13. [Google Scholar] [CrossRef]
- El Hosry, L.; Auezova, L.; Sakr, A.; Hajj-Moussa, E. Browning Susceptibility of White Wine and Antioxidant Effect of Glutathione. Int. J. Food Sci. Technol. 2009, 44, 2459–2463. [Google Scholar] [CrossRef]
- Massalha, N.; Basheer, S.; Sabbah, I. Effect of Adsorption and Bead Size of Immobilized Biomass on the Rate of Biodegradation of Phenol at High Concentration Levels. Ind. Eng. Chem. Res. 2007, 46, 6820–6824. [Google Scholar] [CrossRef]
- Simó, G.; Fernández-Fernández, E.; Vila-Crespo, J.; Ruipérez, V.; Rodríguez-Nogales, J.M. Effect of Stressful Malolactic Fermentation Conditions on the Operational and Chemical Stability of Silica-Alginate Encapsulated Oenococcus Oeni. Food Chem. 2019, 276, 643–651. [Google Scholar] [CrossRef]
- Mangas, R.; González, M.R.; Martín, P.; Rodríguez-Nogales, J.M. Impact of Glucose Oxidase Treatment in High Sugar and pH Musts on Volatile Composition of White Wines. LWT 2023, 184, 114975. [Google Scholar] [CrossRef]
- Liese, A.; Hilterhaus, L. Evaluation of Immobilized Enzymes for Industrial Applications. Chem. Soc. Rev. 2013, 42, 6236. [Google Scholar] [CrossRef]
- Eş, I.; Vieira, J.D.G.; Amaral, A.C. Principles, Techniques, and Applications of Biocatalyst Immobilization for Industrial Application. Appl. Microbiol. Biotechnol. 2015, 99, 2065–2082. [Google Scholar] [CrossRef]
- Sheldon, R.A. Enzyme Immobilization: The Quest for Optimum Performance. Adv. Synth. Catal. 2007, 349, 1289–1307. [Google Scholar] [CrossRef]
- Cui, C.; Fang, Y.; Chen, B.; Tan, T. Glucose Oxidation Performance Is Improved by the Use of a Supramolecular Self-Assembly of Glucose Oxidase and Catalase. Catal. Sci. Technol. 2019, 9, 477–482. [Google Scholar] [CrossRef]
- Milivojevic, M.; Pajić-Lijaković, I.; Levic, S.; Nedovic, V.; Bugarski, B. Alginic Acid: Sources, Modifications and Main Applications. In Alginic Acid: Chemical Structure, Uses and Health Benefits; Moore, A., Ed.; Nova Science Publishers, Inc.: New York, NY, USA, 2015; pp. 45–88. ISBN 978-1-63463-224-9. [Google Scholar]
- OIV. Compendium of International Methods of Wine and Must Analysis; International Organisation of Vine and Wine: Paris, France, 2020; ISBN 978-2-85038-016-7. [Google Scholar]
- Montgomery, D.C. Diseño y Análisis de Experimentos; Editorial Limusa S.A. De C.V.: Mexico City, Mexico, 2004; ISBN 968-18-6156-6. [Google Scholar]








), the second 24 h (
), and the total accumulated consumption in the 48 h (
) of pre-fermentative treatment. Bars represent the 95% confidence interval.
), the second 24 h (
), and the total accumulated consumption in the 48 h (
) of pre-fermentative treatment. Bars represent the 95% confidence interval.
) and 4.0 (
) is plotted as a function of cycles of 48 h each (A). Experimental (
) and estimated (
) gluconic acid concentration (g/L) at an initial must pH of 3.8 and experimental (
) and estimated (
) gluconic acid concentration (g/L) at an initial must pH of 4.0 are plotted as a function of enzyme treatment cycles of 48 h each (B). The pH decrease produced in the must at initial pH levels of 3.8 (
) and 4.0 (
) is shown as a function of the enzyme treatment cycles (C). Bars, in all graphs, represent the 95% confidence interval.
) and 4.0 (
) is plotted as a function of cycles of 48 h each (A). Experimental (
) and estimated (
) gluconic acid concentration (g/L) at an initial must pH of 3.8 and experimental (
) and estimated (
) gluconic acid concentration (g/L) at an initial must pH of 4.0 are plotted as a function of enzyme treatment cycles of 48 h each (B). The pH decrease produced in the must at initial pH levels of 3.8 (
) and 4.0 (
) is shown as a function of the enzyme treatment cycles (C). Bars, in all graphs, represent the 95% confidence interval.

| Experimental Factors | Response Variables 1 | |||||||
|---|---|---|---|---|---|---|---|---|
| Run | Enzyme Dose (U/mL) | Initial Must pH | Temperature (°C) | Glucose Consumption (g/L) | Gluconic Acid Concentration (g/L) | pH Decrease | Color Intensity Increase (AU) | Product–Substrate Yield (%) |
| 1 | 1.8 | 4.0 | 20.0 | 30.79 ± 1.72 | 10.36 ± 0.39 | 0.55 ± 0.01 | 0.406 ± 0.001 | 33.64 ± 3.08 |
| 2 | 1.2 | 4.0 | 15.0 | 13.17 ± 1.71 | 8.10 ± 0.39 | 0.51 ± 0.01 | 0.418 ± 0.001 | 61.50 ± 10.85 |
| 3 | 2.4 | 3.8 | 20.0 | 30.56 ± 1.72 | 10.28 ± 0.39 | 0.49 ± 0.01 | 0.340 ± 0.001 | 33.63 ± 3.10 |
| 4 | 1.8 | 3.8 | 15.0 | 26.42 ± 1.72 | 9.60 ± 0.39 | 0.47 ± 0.01 | 0.363 ± 0.001 | 36.32 ± 3.76 |
| 5 | 1.8 | 3.6 | 20.0 | 18.08 ± 1.72 | 7.92 ± 0.39 | 0.33 ± 0.01 | 0.335 ± 0.001 | 43.82 ± 6.24 |
| 6 | 1.2 | 3.8 | 10.0 | 15.50 ± 1.71 | 7.87 ± 0.39 | 0.37 ± 0.01 | 0.423 ± 0.001 | 50.76 ± 8.03 |
| 7 | 1.8 | 3.6 | 10.0 | 23.70 ± 1.72 | 9.74 ± 0.39 | 0.34 ± 0.01 | 0.332 ± 0.001 | 41.08 ± 4.54 |
| 8 | 1.8 | 3.8 | 15.0 | 26.12 ± 1.72 | 9.55 ± 0.39 | 0.43 ± 0.01 | 0.367 ± 0.001 | 36.55 ± 3.82 |
| 9 | 1.8 | 3.8 | 15.0 | 24.83 ± 1.72 | 9.61 ± 0.39 | 0.44 ± 0.01 | 0.365 ± 0.001 | 38.69 ± 4.16 |
| 10 | 2.4 | 3.8 | 10.0 | 30.42 ± 1.72 | 10.06 ± 0.39 | 0.48 ± 0.01 | 0.355 ± 0.001 | 33.06 ± 3.08 |
| 11 | 1.8 | 3.8 | 15.0 | 26.48 ± 1.72 | 9.35 ± 0.39 | 0.43 ± 0.01 | 0.360 ± 0.001 | 35.31 ± 3.69 |
| 12 | 1.2 | 3.6 | 15.0 | 12.24 ± 1.72 | 6.54 ± 0.40 | 0.28 ± 0.01 | 0.361 ± 0.001 | 53.39 ± 10.61 |
| 13 | 2.4 | 3.6 | 15.0 | 35.16 ± 1.72 | 10.07 ± 0.39 | 0.39 ± 0.01 | 0.297 ± 0.001 | 28.64 ± 2.45 |
| 14 | 1.2 | 3.8 | 20.0 | 16.68 ± 1.71 | 7.97 ± 0.39 | 0.32 ± 0.01 | 0.403 ± 0.001 | 47.76 ± 7.16 |
| 15 | 1.8 | 3.8 | 15.0 | 26.22 ± 1.72 | 9.58 ± 0.39 | 0.44 ± 0.01 | 0.365 ± 0.001 | 36.55 ± 3.80 |
| 16 | 1.8 | 4.0 | 10.0 | 24.46 ± 1.72 | 9.93 ± 0.39 | 0.53 ± 0.01 | 0.412 ± 0.001 | 40.58 ± 4.36 |
| 17 | 2.4 | 4.0 | 15.0 | 37.30 ± 1.72 | 11.34 ± 0.39 | 0.60 ± 0.01 | 0.364 ± 0.001 | 30.40 ± 2.39 |
| 18 | 1.8 | 3.8 | 15.0 | 25.43 ± 1.72 | 9.41 ± 0.39 | 0.41 ± 0.01 | 0.362 ± 0.001 | 37.00 ± 3.95 |
| 19 | 1.8 | 3.8 | 15.0 | 26.60 ± 1.72 | 9.80 ± 0.39 | 0.45 ± 0.01 | 0.362 ± 0.001 | 36.84 ± 3.77 |
| Experimental Factors | Response Variables 1 | |||||||
|---|---|---|---|---|---|---|---|---|
| Run | Enzyme Dose (U/mL) | Initial Must pH | Temperature (°C) | Glucose Consumption (g/L) | Gluconic Acid Concentration (g/L) | pH Decrease | Color Intensity Increase (AU) | Product–Substrate Yield (%) |
| 1 | 1.8 | 4.0 | 20.0 | 35.18 ± 1.72 | 35.64 ± 0.69 | 0.78 ± 0.01 | 0.262 ± 0.001 | 101.30 ± 6.83 |
| 2 | 1.2 | 4.0 | 15.0 | 33.88 ± 1.72 | 39.88 ± 0.77 | 0.86 ± 0.01 | 0.311 ± 0.001 | 117.69 ± 8.16 |
| 3 | 2.4 | 3.8 | 20.0 | 43.60 ± 1.72 | 41.14 ± 0.80 | 0.77 ± 0.01 | 0.205 ± 0.001 | 94.36 ± 5.48 |
| 4 | 1.8 | 3.8 | 15.0 | 37.42 ± 1.72 | 36.12 ± 0.70 | 0.84 ± 0.01 | 0.219 ± 0.001 | 96.54 ± 6.22 |
| 5 | 1.8 | 3.6 | 20.0 | 34.63 ± 1.72 | 34.01 ± 0.66 | 0.60 ± 0.01 | 0.169 ± 0.001 | 98.20 ± 6.70 |
| 6 | 1.2 | 3.8 | 10.0 | 21.95 ± 1.72 | 25.93 ± 0.52 | 0.66 ± 0.01 | 0.310 ± 0.001 | 118.12 ± 11.46 |
| 7 | 1.8 | 3.6 | 10.0 | 34.73 ± 1.72 | 25.69 ± 0.52 | 0.59 ± 0.01 | 0.232 ± 0.001 | 73.98 ± 5.11 |
| 8 | 1.8 | 3.8 | 15.0 | 33.29 ± 1.72 | 34.91 ± 0.68 | 0.78 ± 0.01 | 0.235 ± 0.001 | 104.85 ± 7.35 |
| 9 | 1.8 | 3.8 | 15.0 | 38.36 ± 1.72 | 34.77 ± 0.67 | 0.79 ± 0.01 | 0.247 ± 0.001 | 90.66 ± 5.74 |
| 10 | 2.4 | 3.8 | 10.0 | 45.75 ± 1.72 | 42.48 ± 0.83 | 0.83 ± 0.01 | 0.236 ± 0.001 | 92.85 ± 5.23 |
| 11 | 1.8 | 3.8 | 15.0 | 38.62 ± 1.72 | 32.45 ± 0.63 | 0.73 ± 0.01 | 0.245 ± 0.001 | 84.02 ± 5.30 |
| 12 | 1.2 | 3.6 | 15.0 | 15.72 ± 1.72 | 16.04 ± 0.41 | 0.59 ± 0.01 | 0.206 ± 0.001 | 102.08 ± 13.63 |
| 13 | 2.4 | 3.6 | 15.0 | 45.67 ± 1.73 | 52.39 ± 1.04 | 0.73 ± 0.01 | 0.170 ± 0.001 | 114.72 ± 6.51 |
| 14 | 1.2 | 3.8 | 20.0 | 32.60 ± 1.72 | 34.55 ± 0.67 | 0.76 ± 0.01 | 0.210 ± 0.001 | 105.98 ± 7.54 |
| 15 | 1.8 | 3.8 | 15.0 | 37.90 ± 1.72 | 33.42 ± 0.65 | 0.73 ± 0.01 | 0.240 ± 0.001 | 88.19 ± 5.63 |
| 16 | 1.8 | 4.0 | 10.0 | 36.31 ± 1.72 | 28.46 ± 0.56 | 0.81 ± 0.01 | 0.328 ± 0.001 | 78.38 ± 5.19 |
| 17 | 2.4 | 4.0 | 15.0 | 45.92 ± 1.73 | 54.11 ± 1.08 | 1.02 ± 0.01 | 0.262 ± 0.001 | 117.83 ± 6.67 |
| 18 | 1.8 | 3.8 | 15.0 | 34.15 ± 1.72 | 32.98 ± 0.64 | 0.75 ± 0.01 | 0.234 ± 0.001 | 96.58 ± 6.65 |
| 19 | 1.8 | 3.8 | 15.0 | 33.91 ± 1.72 | 33.62 ± 0.65 | 0.78 ± 0.01 | 0.236 ± 0.001 | 99.15 ± 6.86 |
Disclaimer/Publisher’s Note: The statements, opinions and data contained in all publications are solely those of the individual author(s) and contributor(s) and not of MDPI and/or the editor(s). MDPI and/or the editor(s) disclaim responsibility for any injury to people or property resulting from any ideas, methods, instructions or products referred to in the content. |
© 2023 by the authors. Licensee MDPI, Basel, Switzerland. This article is an open access article distributed under the terms and conditions of the Creative Commons Attribution (CC BY) license (https://creativecommons.org/licenses/by/4.0/).
Share and Cite
del-Bosque, D.; Vila-Crespo, J.; Ruipérez, V.; Fernández-Fernández, E.; Rodríguez-Nogales, J.M. Entrapment of Glucose Oxidase and Catalase in Silica–Calcium–Alginate Hydrogel Reduces the Release of Gluconic Acid in Must. Gels 2023, 9, 622. https://doi.org/10.3390/gels9080622
del-Bosque D, Vila-Crespo J, Ruipérez V, Fernández-Fernández E, Rodríguez-Nogales JM. Entrapment of Glucose Oxidase and Catalase in Silica–Calcium–Alginate Hydrogel Reduces the Release of Gluconic Acid in Must. Gels. 2023; 9(8):622. https://doi.org/10.3390/gels9080622
Chicago/Turabian Styledel-Bosque, David, Josefina Vila-Crespo, Violeta Ruipérez, Encarnación Fernández-Fernández, and José Manuel Rodríguez-Nogales. 2023. "Entrapment of Glucose Oxidase and Catalase in Silica–Calcium–Alginate Hydrogel Reduces the Release of Gluconic Acid in Must" Gels 9, no. 8: 622. https://doi.org/10.3390/gels9080622
APA Styledel-Bosque, D., Vila-Crespo, J., Ruipérez, V., Fernández-Fernández, E., & Rodríguez-Nogales, J. M. (2023). Entrapment of Glucose Oxidase and Catalase in Silica–Calcium–Alginate Hydrogel Reduces the Release of Gluconic Acid in Must. Gels, 9(8), 622. https://doi.org/10.3390/gels9080622

