Amine Infused Fly Ash Grafted Acrylic Acid/Acrylamide Hydrogel for Carbon Dioxide (CO2) Adsorption and Its Kinetic Analysis
Abstract
1. Introduction
2. Results and Discussion
2.1. Characterization of Materials
2.1.1. Fly Ash Characterization
2.1.2. Fourier Transform Infrared Spectroscopy (FTIR)
2.1.3. Scanning Electron Microscope (SEM)
2.1.4. Thermogravimetric Analysis (TGA)
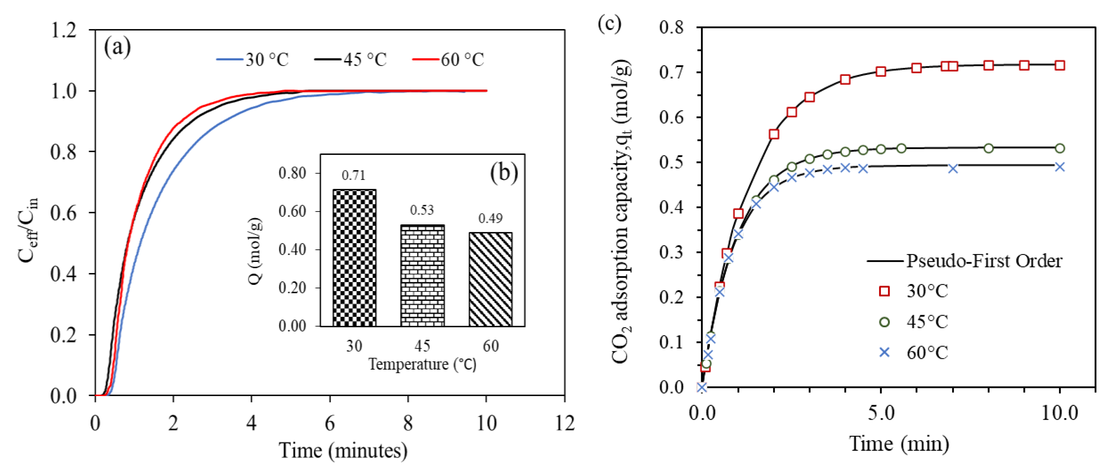
2.2. Carbon Dioxide Adsorption Kinetics
2.2.1. Effect of FA Content
2.2.2. Effect of AAc/AAm Hydrogel Activator
2.2.3. Effect of Operational Temperature
3. Conclusions
4. Material and Methods
4.1. Materials
4.2. Preparation of MEA Infused FA-AAc/AAm Hydrogel Adsorbent
4.3. Characterization
4.4. CO2 Adsorption Analysis
4.5. Adsorption Kinetic
Author Contributions
Funding
Institutional Review Board Statement
Conflicts of Interest
References
- Sönnichsen, N. Global Operational Coal-Fired Power Plants by Country 2022. Global Energy Monitor. 2023. Available online: https://www.statista.com/statistics/859266/number-of-coal-power-plants-by-country/ (accessed on 19 January 2023).
- Huang, K.; Chen, F.F.; Tao, D.J.; Dai, S. Ionic liquid–formulated hybrid solvents for CO2 capture. Curr. Opin. Green Sustain. Chem. 2017, 5, 67–73. [Google Scholar] [CrossRef]
- Fischer, K.B.; Daga, A.; Hatchell, D.; Rochelle, G.T. MEA and Piperazine Corrosion of Carbon Steel and Stainless Steel. Energy Procedia 2017, 114, 1751–1764. [Google Scholar] [CrossRef]
- Varghese, A.M.; Karanikolos, G.N. CO2 capture adsorbents functionalized by amine-bearing polymers: A review. Int. J. Greenh. Gas Control. 2020, 96, 103005. [Google Scholar] [CrossRef]
- Liu, F.; Fu, W.; Chen, S. Synthesis, characterization and CO2 adsorption performance of a thermosensitive solid amine adsorbent. J. CO2 Util. 2019, 31, 98–105. [Google Scholar] [CrossRef]
- Chen, C.; Zhang, S.; Row, K.H.; Ahn, W.S. Amine–silica composites for CO2 capture: A short review. J. Energy Chem. 2017, 26, 868–880. [Google Scholar] [CrossRef]
- Choi, H.; Lee, S.; Jeong, S.U.; Hong, Y.K.; Kim, S.Y. Synthesis and CO2 Capture of Porous Hydrogel Particles Consisting of Hyperbranched Poly(amidoamine)s. Gels 2022, 8, 500. [Google Scholar] [CrossRef] [PubMed]
- Kim, H.; Jung, J.Y.; Park, K.-H.; Linga, P.; Seo, Y.; Wood, C.D. Enhanced Kinetic Performance of Amine-Infused Hydrogels for Separating CO2 from CH4/CO2 Gas Mixture. Energy Fuels 2021, 35, 13889–13899. [Google Scholar] [CrossRef]
- White, C.; Adam, E.; Sabri, Y.; Myers, M.B.; Pejcic, B.; Wood, C.D. Amine-Infused Hydrogels with Nonaqueous Solvents: Facile Platforms to Control CO2 Capture Performance. Ind. Eng. Chem. Res. 2021, 60, 14758–14767. [Google Scholar] [CrossRef]
- Hussain, I.S.A.; Jaisankar, V. An eco-friendly synthesis, characterization and antibacterial applications of novel almond gum-poly(acrylamide) based hydrogel silver nanocomposite. Polym. Test. 2017, 62, 154–161. [Google Scholar] [CrossRef]
- Xu, X.; Heath, C.; Pejcic, B.; Wood, C.D. CO2 capture by amine infused hydrogels (AIHs). J. Mater. Chem. A Mater. 2018, 6, 4829–4838. [Google Scholar] [CrossRef]
- Maroto-Valer, M.M.; Lu, Z.; Zhang, Y.; Tang, Z. Sorbents for CO2 capture from high carbon fly ashes. Waste Manag. 2008, 28, 2320–2328. [Google Scholar] [CrossRef] [PubMed]
- Aboudi, J.; Vafaeezadeh, M. Efficient and reversible CO2 capture by amine functionalized-silica gel confined task-specific ionic liquid system. J. Adv. Res. 2015, 6, 571–577. [Google Scholar] [CrossRef]
- Ren, Y.; Ding, R.; Yue, H.; Tang, S.; Liu, C.; Zhao, J.; Lin, W.; Liang, B. Amine-grafted mesoporous copper silicates as recyclable solid amine sorbents for post-combustion CO2 capture. Appl. Energy 2017, 198, 250–260. [Google Scholar] [CrossRef]
- Numaguchi, R.; Fujiki, J.; Yamada, H.; Firoz, C.A.; Kida, K.; Goto, K.; Okumura, T.; Yoshizawa, K.; Yogo, K. Development of Post-combustion CO2 Capture System Using Amine-impregnated Solid Sorbent. Energy Procedia 2017, 114, 2304–2312. [Google Scholar] [CrossRef]
- Chen, H.; Dong, S.; Zhang, Y.; He, P. Robust structure regulation of geopolymer as novel efficient amine support to prepare high-efficiency CO2 capture solid sorbent. Chem. Eng. J. 2022, 427, 131577. [Google Scholar] [CrossRef]
- Zhao, P.; Yin, Y.; Xu, X.; Yang, D.; Wang, J.; Yang, F.; Zhang, G. Facile fabrication of mesoporosity silica as support for solid amine CO2 adsorbents with enhanced adsorption capacity and kinetics. Energy 2022, 253, 124162. [Google Scholar] [CrossRef]
- Yan, H.; Zhang, G.; Liu, J.; Li, G.; Zhao, Y.; Wang, Y.; Wu, C.; Zhang, Y.; Xu, Y. Investigation of CO2 adsorption performance of amine impregnated adsorbents using amine-support matching strategies. Sep. Purif. Technol. 2023, 30, 123178. [Google Scholar] [CrossRef]
- Gao, M.; Ma, Q.; Lin, Q.; Chang, J.; Bao, W.; Ma, H. Combined modification of fly ash with Ca(OH)2/Na2FeO4 and its adsorption of Methyl orange. Appl. Surf. Sci. 2015, 359, 323–330. [Google Scholar] [CrossRef]
- Siriruang, C.; Toochinda, P.; Julnipitawong, P.; Tangtermsirikul, S. CO2 capture using fly ash from coal fired power plant and applications of CO2-captured fly ash as a mineral admixture for concrete. J. Environ. Manag. 2016, 170, 70–78. [Google Scholar] [CrossRef]
- Freire, A.L.; Moura-Nickel, C.D.; Scaratti, G.; de Rossi, A.; Araújo, M.H.; de Noni, A., Jr.; Rodrigues, A.E.; Castellón, E.R.; de Fátima Peralta Muniz Moreira, R. Geopolymers produced with fly ash and rice husk ash applied to CO2 capture. J. Clean. Prod. 2020, 273, 122917. [Google Scholar] [CrossRef]
- Czuma, N.; Casanova, I.; Baran, P.; Szczurowski, J.; Zarębska, K. CO2 sorption and regeneration properties of fly ash zeolites synthesized with the use of differentiated methods. Sci. Rep. 2020, 10, 1825. [Google Scholar] [CrossRef] [PubMed]
- Boycheva, S.; Marinov, I.; Zgureva-Filipova, D. Studies on the CO2 Capture by Coal Fly Ash Zeolites: Process Design and Simulation. Energies 2021, 14, 8279. [Google Scholar] [CrossRef]
- Dindi, A.; Quang, D.V.; Nashef, E.; Zahra, M.R.M.A. Effect of PEI Impregnation on the CO2 Capture Performance of Activated Fly Ash. Energy Procedia 2017, 114, 2243–2251. [Google Scholar] [CrossRef]
- Guo, B.; Zhang, J.; Wang, Y.; Qiao, X.; Xiang, J.; Jin, Y. Study on CO2 adsorption capacity and kinetic mechanism of CO2 adsorbent prepared from fly ash. Energy 2023, 263, 125764. [Google Scholar] [CrossRef]
- Chathurappan, R.; Jayapal, A. Synthesis and characterization of coal fly ash based multipurpose ultrafiltration membrane. Materialia 2022, 25, 101548. [Google Scholar] [CrossRef]
- Adams, T.H. Fly Ash Use in Concrete Increases Slightly As Overall Coal Ash Recycling Rate Declines; American Coal Ash Association: Sandy, UT, USA, 2020. [Google Scholar]
- Ge, X.; Hu, X.; Shi, C. Impact of micro characteristics on the formation of high-strength Class F fly ash-based geopolymers cured at ambient conditions. Constr. Build. Mater. 2022, 352, 129074. [Google Scholar] [CrossRef]
- Jiao, Z.; Li, X.; Yu, Q.; Yao, Q.; Guan, X.; Hu, P. Chloride resistance of class C/class F fly ash-based geopolymer mortars with different strength grades. Case Stud. Constr. Mater. 2023, 18, e01811. [Google Scholar] [CrossRef]
- Varshney, S.; Ohlan, A.; Jain, V.K.; Dutta, V.P.; Dhawan, S.K. In situ synthesis of polypyrrole-γ-Fe2O3-Fly ash nanocomposites for protection against EMI pollution. Ind. Eng. Chem. Res. 2014, 53, 14282–14290. [Google Scholar] [CrossRef]
- Jiang, L.; Liu, P. Covalently crosslinked fly ash/poly(acrylic acid-co-acrylamide) composite microgels as novel magnetic selective adsorbent for Pb2+ion. J. Colloid. Interface Sci. 2014, 426, 64–71. [Google Scholar] [CrossRef]
- He, L.; Lin, D.; Wang, Y.; Xiao, Y.; Che, J. Electroactive SWNT/PEGDA hybrid hydrogel coating for bio-electrode interface. Colloids Surf. B Biointerfaces 2011, 87, 273–279. [Google Scholar] [CrossRef] [PubMed]
- Kumar Singh, S.; Kumar, A.; Jain, A. Improving tensile and flexural properties of SiO2-epoxy polymer nanocomposite. Mater. Today Proc. 2018, 5, 6339–6344. [Google Scholar] [CrossRef]
- Pich, A.; Bhattacharya, S.; Lu, Y.; Boyko, V.; Adler, H.J.P. Temperature-sensitive hybrid microgels with magnetic properties. Langmuir 2004, 20, 10706–10711. [Google Scholar] [CrossRef] [PubMed]
- Nath, D.C.D.; Bandyopadhyay, S.; Campbell, J.; Yu, A.; Blackburn, D.; White, C. Surface-coated fly ash reinforced biodegradable poly(vinyl alcohol) composite films: Part 2-analysis and characterization. Appl. Surf. Sci. 2010, 257, 1216–1221. [Google Scholar] [CrossRef]
- Garde, K.; McGill, W.J.; Woolard, C.D. Surface modification of fly ash–characterisation and evaluation as reinforcing filler in polyisoprene. Plast. Rubber Compos. 1999, 28, 1–10. [Google Scholar] [CrossRef]
- Catauro, M.; Papale, F.; Lamanna, G.; Bollino, F. Geopolymer/PEG Hybrid Materials Synthesis and Investigation of the Polymer Influence on Microstructure and Mechanical Behavior. Mater. Res. 2015, 18, 698–705. [Google Scholar] [CrossRef]
- Singh, R.; Mahto, V.; Vuthaluru, H. Development of a novel fly ash-polyacrylamide nanocomposite gel system for improved recovery of oil from heterogeneous reservoir. J. Pet. Sci. Eng. 2018, 165, 325–331. [Google Scholar] [CrossRef]
- Ehrenhofer, A.; Elstner, M.; Wallmersperger, T. Normalization of hydrogel swelling behavior for sensoric and actuatoric applications. Sens. Actuators B Chem. 2018, 255, 1343–1353. [Google Scholar] [CrossRef]
- Revellame, E.D.; Fortela, D.L.; Sharp, W.; Hernandez, R.; Zappi, M.E. Adsorption kinetic modeling using pseudo-first order and pseudo-second order rate laws: A review. Clean Eng. Technol. 2020, 1, 100032. [Google Scholar] [CrossRef]
- Alekseeva, O.V.; Rodionova, A.N.; Bagrovskaya, N.A.; Noskov, A.V.; Agafonov, A.V. Sorption of Methylene Blue on Ethylcellulose–Bentonite Film Composites. Prot. Met. Phys. Chem. Surf. 2020, 56, 256–261. [Google Scholar] [CrossRef]
- Roviello, G.; Ricciotti, L.; Tarallo, O.; Ferone, C.; Colangelo, F.; Roviello, V.; Cioffi, R. Innovative fly ash geopolymer-epoxy composites: Preparation, microstructure and mechanical properties. Materials 2016, 9, 461. [Google Scholar] [CrossRef]
- Zhu, W.; Zhang, Y.; Wang, P.; Yang, Z.; Yasin, A.; Zhang, L. Preparation and Applications of Salt-Resistant Superabsorbent Poly (Acrylic Acid-Acrylamide/Fly Ash) Composite. Materials 2019, 12, 596. [Google Scholar] [CrossRef] [PubMed]
- Adewunmi, A.A.; Ismail, S.; Sultan, A.S. Crosslinked Polyacrylamide Composite Hydrogels Impregnated with Fly Ash: Synthesis, Characterization and Their Application as Fractures Sealant for High Water Producing Zones in Oil and Gas Wells. J. Polym. Environ. 2018, 26, 3294–3306. [Google Scholar] [CrossRef]
- Qadir, S.; Su, H.; Li, D.; Gu, Y.; Zhao, S.; Wang, S.; Wang, S. Low-cost preferential different amine grafted silica spheres adsorbents for DAC CO2 removal. J. Energy Chem. 2022, 75, 494–503. [Google Scholar] [CrossRef]
- Wang, S.; Qiu, X.; Chen, Y.; Chen, S. Preparation and structure tuning of CO2 adsorbent based on in-situ amine-functionalized hierarchical porous polymer. Microporous Mesoporous Mater. 2022, 330, 111585. [Google Scholar] [CrossRef]
- Oladoja, N.A. A critical review of the applicability of Avrami fractional kinetic equation in adsorption-based water treatment studies. Desalin. Water Treat. 2015, 57, 15813–15825. [Google Scholar] [CrossRef]











| Component | SiO2 | Al2O3 | Fe2O3 | CaO | MgO | C | K2O | SO3 | Others |
|---|---|---|---|---|---|---|---|---|---|
| Composition (%) | 44.52 | 22.48 | 11.58 | 9.84 | 3.92 | 2.54 | 1.73 | 1.35 | 2.05 |
| Pseudo-First Order | Pseudo-Second Order | Weber-Morris | Elovich | Avrami | |
|---|---|---|---|---|---|
| SSE (%) | 0.01 | 0.92 | 12.68 | 3.44 | 1.00 |
| R2 | 0.9999 | 0.9905 | 0.8687 | 0.9644 | 0.9996 |
| qe (mol/g) | 0.7176 | 0.7475 | 0.8381 | 0.7800 | 0.7164 |
| Constant | k1 = 0.7637 min−1 | k2 = 1.0872 mol g−1 min−1 | kid = 0.2403 mol (g min1/2) | α = 1.3830 mol g−1 min−1 β = 5.48941 g mol−1 | 0.7587 min−1 |
| n | - | - | - | - | 1.0476 |
| Condition | Parameter | k1 (min−1) |
|---|---|---|
| FA content | 0 | 1.54 |
| 0.5 | 0.76 | |
| 1.0 | 1.01 | |
| 2.0 | 1.41 | |
| Hydrogel activator | water | 0.96 |
| 30 wt% MEA | 0.76 | |
| 100 wt% MEA | 0.98 | |
| Operational temperature | 30 °C | 0.76 |
| 45 °C | 1.01 | |
| 60 °C | 1.14 |
| Models | Equation | Linear Expression | ||
|---|---|---|---|---|
| Pseudo-first order kinetic model | (5) | ln(qe − qt) = ln(qe) − k1t | (6) | |
| Pseudo-second order kinetic model | (7) | (8) | ||
| Weber-Morris kinetic model | qt = kidt1/2 + C | (9) | qt = kidt1/2 + C | (10) |
| Elovich kinetic model | (11) | (12) | ||
| Avrami fractional kinetic model | (13) | = nln(ka) + nln(t) | (14) |
Disclaimer/Publisher’s Note: The statements, opinions and data contained in all publications are solely those of the individual author(s) and contributor(s) and not of MDPI and/or the editor(s). MDPI and/or the editor(s) disclaim responsibility for any injury to people or property resulting from any ideas, methods, instructions or products referred to in the content. |
© 2023 by the authors. Licensee MDPI, Basel, Switzerland. This article is an open access article distributed under the terms and conditions of the Creative Commons Attribution (CC BY) license (https://creativecommons.org/licenses/by/4.0/).
Share and Cite
Ghani, S.M.M.; Rabat, N.E.; Abdul Rahim, A.R.; Johari, K.; Siyal, A.A.; Kumeresen, R. Amine Infused Fly Ash Grafted Acrylic Acid/Acrylamide Hydrogel for Carbon Dioxide (CO2) Adsorption and Its Kinetic Analysis. Gels 2023, 9, 229. https://doi.org/10.3390/gels9030229
Ghani SMM, Rabat NE, Abdul Rahim AR, Johari K, Siyal AA, Kumeresen R. Amine Infused Fly Ash Grafted Acrylic Acid/Acrylamide Hydrogel for Carbon Dioxide (CO2) Adsorption and Its Kinetic Analysis. Gels. 2023; 9(3):229. https://doi.org/10.3390/gels9030229
Chicago/Turabian StyleGhani, Siti Musliha Mat, Nurul Ekmi Rabat, Abdul Rahman Abdul Rahim, Khairiraihanna Johari, Ahmer Ali Siyal, and Rowin Kumeresen. 2023. "Amine Infused Fly Ash Grafted Acrylic Acid/Acrylamide Hydrogel for Carbon Dioxide (CO2) Adsorption and Its Kinetic Analysis" Gels 9, no. 3: 229. https://doi.org/10.3390/gels9030229
APA StyleGhani, S. M. M., Rabat, N. E., Abdul Rahim, A. R., Johari, K., Siyal, A. A., & Kumeresen, R. (2023). Amine Infused Fly Ash Grafted Acrylic Acid/Acrylamide Hydrogel for Carbon Dioxide (CO2) Adsorption and Its Kinetic Analysis. Gels, 9(3), 229. https://doi.org/10.3390/gels9030229

