Synthesis of Novel Tamarind Gum-co-poly(acrylamidoglycolic acid)-Based pH Responsive Semi-IPN Hydrogels and Their Ag Nanocomposites for Controlled Release of Chemotherapeutics and Inactivation of Multi-Drug-Resistant Bacteria
Abstract
:1. Introduction
2. Results and Discussion
2.1. FTIR Spectroscopy Studies
2.2. UV–Visible Spectroscopy
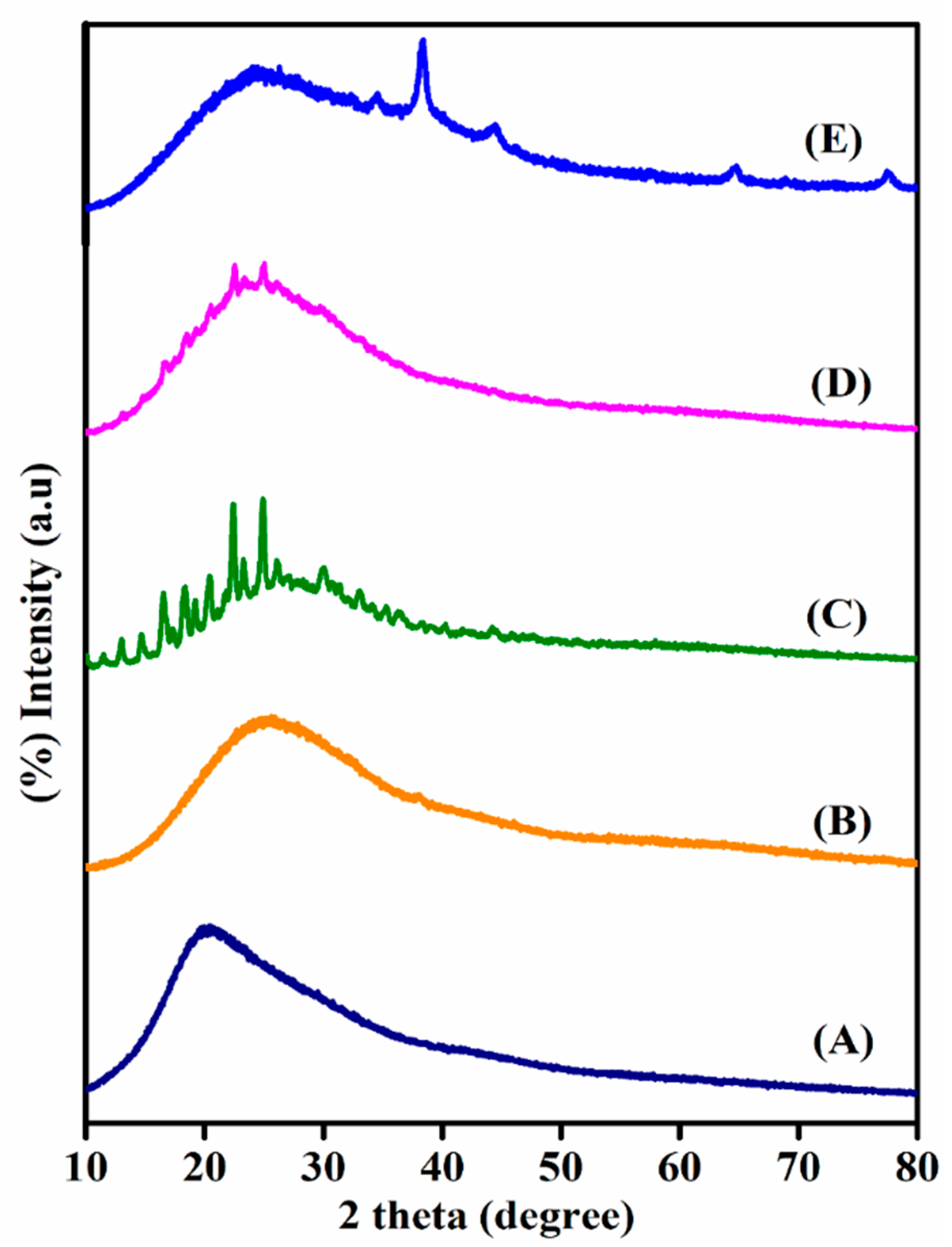
2.3. X-ray Diffraction Studies of TMGA Hydrogel
2.4. SEM and TEM Studies
2.5. Swelling Studies
2.6. Encapsulation and In Vitro DOX Release of TMGA Hydrogels
2.7. Cell Viability Assay and Cell Cycle Analysis of TMGA Hydrogel
2.8. Anti-Microbial Studies of TMGA-Ag Nanocomposites
3. Conclusions
- ➢
- In the current study, a simple free radical polymerization was used to synthesize an affordable, safe, biocompatible and biodegradable tamarind gum polysaccharide and acylamidoglycolic acid-based hydrogel (TMGA).
- ➢
- TMGA hydrogels were successfully utilized as templates for the fabrication of silver nanoparticles (13.4 ± 3.6 nm in diameter) via a green method using aqueous leaf extract of Teminalia bellirica as a reducing agent. TMGA-Ag nanocomposite hydrogel was identified with UV–Visible absorption spectra λmax 425–432 nm.
- ➢
- FT-IR, UV–Vis., XRD, SEM, EDS and TEM were used to examine the chemical structure and functional groups of the pure TMGA hydrogel and TMGA-Ag nanocomposite hydrogels, as well as their morphological features of the hydrogel network.
- ➢
- Doxorubicin hydrochloride (DOX) was encapsulated into the hydrogels with an encapsulation effectiveness of 69.20 ± 1.2—DOX was successfully entrapped in the hydrogel network. After 48 h in pH 7.4 at 37 °C, the maximum percentage DOX release was 93.12 percent.
- ➢
- In vitro DOX release of TMGA hydrogels was investigated using various kinetic models such as zero-order, first-order, Higuchi and Hixson–Crowell, and Korsmeyer–Peppas equations, as well as swelling kinetics, pH equilibrium, and network characteristics.
- ➢
- The TMGA hydrogel completely followed the non-Fickian diffusion and was the best fitted with the model Korsemeyer–Peppas transport mechanism.
- ➢
- The TMGA-Ag nanocomposite hydrogels efficiently inactivated MDR microorganisms Staphylococcus aureus and Klebsiella pneumoniae.
- ➢
- Finally, the created hydrogel could be employed not only for the pH-triggered release of DOX but also for any other hydrophilic chemotherapeutic agent and antibacterial applications based on the findings of this investigation.
4. Materials and Methods
4.1. Material and Methods
4.2. Isolation of Tamarind Gum (TMG) Polysaccharide
4.3. Synthesis of Tamarind Gum Based Hydrogels
4.4. Green Synthesis of Ag-NPs Hydrogel Network
4.5. Swelling Studies of TMGA Hydrogels
4.6. Network Parameters of TMGA Hydrogels
4.7. Drug Loading and Encapsulation Efficiency
4.8. In Vitro Drug Release Studies of TMGA Hydrogels
4.9. DOX Release Kinetic Parameters
4.10. Cell Viability and Cell Cycle Studies of TMGA-Ag Hydrogels
4.11. Antimicrobial Studies of TMGA-Ag Hydrogels
4.12. Characterization of TMGA-Ag Hydrogels
Supplementary Materials
Author Contributions
Funding
Conflicts of Interest
References
- Wechsler, M.E.; Stephenson, R.E.; Murphy, A.C.; Oldenkamp, H.F.; Singh, A.; Peppas, N.A. Engineered microscale hydrogels for drug delivery, cell therapy, and sequencing. Biomed. Microdevices 2019, 21, 31. [Google Scholar] [CrossRef] [PubMed]
- Ahmad, H.; Nurunnabi, M.; Rahman, M.M.; Kumar, K.; Tauer, K.; Minami, H.; Gafur, M.A. Magnetically doped multi stimuli-responsive hydrogel microspheres with IPN structure and application in dye removal. Colloids Surf. A Physicochem. Eng. Asp. 2014, 459, 39–47. [Google Scholar] [CrossRef]
- Sivagangi Reddy, N.; Madhusudana Rao, K.; Sudha Vani, T.J.; Krishna Rao, K.S.V.; Lee, Y.I. Pectin/poly (acrylamide-co-acrylamidoglycolic acid) pH sensitive semi-IPN hydrogels: Selective removal of Cu2+ and Ni2+, modeling, and kinetic studies. Desalination Water Treat. 2016, 57, 6503–6514. [Google Scholar] [CrossRef]
- Vani, T.S.; Reddy, N.S.; Reddy, P.R.; Rao, K.K.; Ramkumar, J.; Reddy, A.V.R. Synthesis, characterization, and metal uptake capacity of a new polyaniline and poly (acrylic acid) grafted sodium alginate/gelatin adsorbent. Desalination Water Treat. 2014, 52, 526–555. [Google Scholar] [CrossRef]
- Reddy, N.S.; Eswaramma, S.; Rao, K.K.; Reddy, A.V.R.; Ramkumar, J. Development of Hybrid Hydrogel Networks from Poly (Acrylamide-co-Acrylamido glycolic acid)/Cloisite Sodium for Adsorption of Methylene Blue. Indian J. Adv. Chem. Sci. 2014, 2, 107–110. [Google Scholar]
- Myung, D.; Waters, D.; Wiseman, M.; Duhamel, P.E.; Noolandi, J.; Ta, C.N.; Frank, C.W. Progress in the development of interpenetrating polymer network hydrogels. Polym. Adv. Technol. 2008, 19, 647–657. [Google Scholar] [CrossRef] [Green Version]
- Knipe, J.M.; Peppas, N.A. Multi-responsive hydrogels for drug delivery and tissue engineering applications. Regen. Biomater. 2014, 1, 57–65. [Google Scholar] [CrossRef] [Green Version]
- Reddy, N.S.; Rao, K.K. Polymeric hydrogels: Recent advances in toxic metal ion removal and anticancer drug delivery applications. Indian J. Adv. Chem. Sci. 2016, 4, 214–234. [Google Scholar]
- Sutar, P.B.; Mishra, R.K.; Pal, K.; Banthia, A.K. Development of pH sensitive polyacrylamide grafted pectin hydrogel for controlled drug delivery system. Journal of Materials Science: Mater. Med. 2008, 19, 2247–2253. [Google Scholar] [CrossRef]
- Eswaramma, S.; Reddy, N.S.; Rao, K.K. Phosphate crosslinked pectin based dual responsive hydrogel networks and nanocomposites: Development, swelling dynamics and drug release characteristics. Int. J. Biol. Macromol. 2017, 103, 1162–1172. [Google Scholar] [CrossRef]
- Pal, P.; Pandey, J.P.; Sen, G. Sesbania gum based hydrogel as platform for sustained drug delivery: An ‘in vitro’ study of 5-Fu release. Int. J. Biol. Macromol. 2018, 113, 1116–1124. [Google Scholar] [CrossRef]
- Singh, B.; Singh, B. Graft copolymerization of polyvinylpyrollidone onto Azadirachta indica gum polysaccharide in the presence of crosslinker to develop hydrogels for drug delivery applications. Int. J. Biol. Macromol. 2020, 159, 264–275. [Google Scholar] [CrossRef]
- Singh, R.; Malviya, R.; Sharma, P.K. Extraction and characterization of tamarind seed polysaccharide as a pharmaceutical excipient. Pharmacogn. J. 2011, 3, 17–19. [Google Scholar] [CrossRef] [Green Version]
- Zhang, J.; XU, S.; Zhang, S.; Du, Z. Preparation and characterization of tamarind gum/sodium alginate composite gel beads. Iran. Polym. J. 2008, 17, 899–906. [Google Scholar] [CrossRef]
- Choudhary, B.; Paul, S.R.; Nayak, S.K.; Singh, V.K.; Anis, A.; Pal, K. Understanding the effect of functionalized carbon nanotubes on the properties of tamarind gum hydrogels. Polym. Bull. 2018, 75, 4929–4945. [Google Scholar] [CrossRef]
- Yadav, I.; Nayak, S.K.; Rathnam, V.S.; Banerjee, I.; Ray, S.S.; Anis, A.; Pal, K. Reinforcing effect of graphene oxide reinforcement on the properties of poly (vinyl alcohol) and carboxymethyl tamarind gum based phase-separated film. J. Mech. Behav. Biomed. Mater. 2018, 81, 61–71. [Google Scholar] [CrossRef]
- Bera, H.; Boddupalli, S.; Nandikonda, S.; Kumar, S.; Nayak, A.K. Alginate gel-coated oil-entrapped alginate–tamarind gum–magnesium stearate buoyant beads of risperidone. Int. J. Biol. Macromol. 2015, 78, 102–111. [Google Scholar] [CrossRef] [PubMed]
- Malviya, R.; Raj, S.; Fuloria, S.; Subramaniyan, V.; Sathasivam, K.; Kumari, U.; Meenakshi, D.U.; Porwal, O.; Kumar, D.H.; Singh, A.; et al. Evaluation of antitumor efficacy of chitosan-tamarind gum polysaccharide polyelectrolyte complex stabilized nanoparticles of simvastatin. Int. J. Nanomed. 2021, 16, 2533. [Google Scholar] [CrossRef]
- Alle, M.; Kim, T.H.; Park, S.H.; Lee, S.H.; Kim, J.C. Doxorubicin-carboxymethyl xanthan gum capped gold nanoparticles: Microwave synthesis, characterization, and anti-cancer activity. Carbohydr. Polym. 2020, 229, 115511. [Google Scholar] [CrossRef] [PubMed]
- Mei, L.; Xu, K.; Zhai, Z.; He, S.; Zhu, T.; Zhong, W. Doxorubicin-reinforced supramolecular hydrogels of RGD-derived peptide conjugates for pH-responsive drug delivery. Org. Biomol. Chem. 2019, 17, 3853–3860. [Google Scholar] [CrossRef] [PubMed]
- Kuddushi, M.; Ray, D.; Aswal, V.; Hoskins, C.; Malek, N. Poly (vinyl alcohol) and functionalized ionic liquid-based smart hydrogels for doxorubicin release. ACS Appl. Bio Mater. 2020, 3, 4883–4894. [Google Scholar] [CrossRef]
- Rao, K.K.; Zhong, Q.; Bielski, E.R.; da Rocha, S.R. Nanoparticles of pH-responsive, PEG–doxorubicin conjugates: Interaction with an in vitro model of lung adenocarcinoma and their direct formulation in propellant-based portable inhalers. Mol. Pharm. 2017, 14, 3866–3878. [Google Scholar] [CrossRef] [PubMed]
- Malla, S.; Niraula, N.P.; Liou, K.; Sohng, J.K. Self-resistance mechanism in Streptomyces peucetius: Overexpression of drrA, drrB and drrC for doxorubicin enhancement. Microbiol. Res. 2010, 165, 259–267. [Google Scholar] [CrossRef]
- Naba, N.M.; Tolay, N.; Erman, M.B.; Yazgan, A.S. Doxorubicin inhibits miR-140 expression and upregulates PD-L1 expression in HCT116 cells, opposite to its effects on MDA-MB-231 cells. Turk. J. Biol. 2020, 44, 15–23. [Google Scholar] [PubMed]
- Sun, Z.; Song, C.; Wang, C.; Hu, Y.; Wu, J. Hydrogel-based controlled drug delivery for cancer treatment: A review. Mol. Pharm. 2019, 17, 373–391. [Google Scholar] [CrossRef]
- Reddy, N.S.; Vijitha, R.; Rao, K.S.V.K. Polymer electrolyte membranes for fuel cell and drug delivery applications. In Advances in Chemical Science & Biotechnology for Water Purification, Energy Production and Stress Management; KROS Publications India: Cuddapah, India, 2021; Volume 1, pp. 95–134. [Google Scholar]
- Rao, K.M.; Rao, K.S.V.K.; Ha, C.S. Functional stimuli-responsive polymeric network nanogels as cargo systems for targeted drug delivery and gene delivery in cancer cells. In Design of Nanostructures for Theranostics Applications; William Andrew Publishing: Norwich, NY, USA, 2018; pp. 243–275. [Google Scholar]
- Nagaraja, K.; Rao, K.M.; Reddy, G.V.; Rao, K.K. Tragacanth gum-based multifunctional hydrogels and green synthesis of their silver nanocomposites for drug delivery and inactivation of multidrug resistant bacteria. Int. J. Biol. Macromol. 2021, 174, 502–511. [Google Scholar] [CrossRef] [PubMed]
- Tian, C.; Xu, P.; Jiang, J.; Han, C. Preparation and drug-delivery study of functionalized hydroxyapatite based on natural polysaccharide gums with excellent drug-loading properties. J. Dispers. Sci. Technol. 2021, 42, 751–759. [Google Scholar] [CrossRef]
- Eswaramma, S.; Rao, K.S.V.K.; Rao, K.M. Diffusion and controlled release characteristics of pH-sensitive poly (2-(dimethyl amino) ethyl methacrylate-co-2-hydroxyethylacrylate) hydrogels. Int. J. Polym. Mater. Polym. Biomater. 2016, 65, 134–142. [Google Scholar] [CrossRef]
- Rao, K.S.V.K.; Reddy, P.R.; Rao, K.M.; Kumar, S.P. A green approach to synthesize silver nanoparticles from natural polymer for biomedical application. Indian J. Adv. Chem. Sci. 2015, 3, 340–344. [Google Scholar]
- Espenti, C.S.; Rao, K.S.V.K.; Ramesh, P.; Sekhar, A.C.; Rao, K.M. Salacia mulbarica leaf extract mediated synthesis of silver nanoparticles for antibacterial and ct-DNA damage via releasing of reactive oxygen species. IET Nanobiotechnol. 2020, 14, 485–490. [Google Scholar] [CrossRef]
- Eswaramma, S.; Rao, K.K. Synthesis of dual responsive carbohydrate polymer based IPN microbeads for controlled release of anti-HIV drug. Carbohydr. Polym. 2017, 156, 125–134. [Google Scholar] [CrossRef] [PubMed]
- Siepmann, J.; Kranz, H.; Bodmeier, R.; Peppas, N.A. HPMC-matrices for controlled drug delivery: A new model combining diffusion, swelling, and dissolution mechanisms and predicting the release kinetics. Pharm. Res. 1999, 16, 1748–1756. [Google Scholar] [CrossRef]
- Ma, Z.; Ma, R.; Wang, X.; Gao, J.; Zheng, Y.; Sun, Z. Enzyme and PH responsive 5-flurouracil (5-FU) loaded hydrogels based on olsalazine derivatives for colon-specific drug delivery. Eur. Polym. J. 2019, 118, 64–70. [Google Scholar] [CrossRef]
- Liang, Y.; Zhao, X.; Ma, P.X.; Guo, B.; Du, Y.; Han, X. pH-responsive injectable hydrogels with mucosal adhesiveness based on chitosan-grafted-dihydrocaffeic acid and oxidized pullulan for localized drug delivery. J. Colloid Interface Sci. 2019, 536, 224–234. [Google Scholar] [CrossRef] [PubMed]
- Lee, Y.; Arai, Y.; Ahn, J.; Kim, D.; Oh, S.; Kang, D.; Lee, S.H. Three-dimensional microenvironmental priming of human mesenchymal stem cells in hydrogels facilitates efficient and rapid retroviral gene transduction via accelerated cell cycle synchronization. NPG Asia Mater. 2019, 11, 27. [Google Scholar] [CrossRef] [Green Version]
- Pérez, E.; Fernández, A.; Olmo, R.; Teijón, J.M.; Blanco, M.D. pH and glutathion-responsive hydrogel for localized delivery of paclitaxel. Colloids Surf. B Biointerfaces 2014, 116, 247–256. [Google Scholar] [CrossRef] [PubMed]
- Liu, W.; Li, X.; Wong, Y.S.; Zheng, W.; Zhang, Y.; Cao, W.; Chen, T. Selenium nanoparticles as a carrier of 5-fluorouracil to achieve anticancer synergism. ACS Nano 2012, 6, 6578–6591. [Google Scholar] [CrossRef] [PubMed]
- Matai, I.; Sachdev, A.; Gopinath, P. Multicomponent 5-fluorouracil loaded PAMAM stabilized-silver nanocomposites synergistically induce apoptosis in human cancer cells. Biomater. Sci. 2015, 3, 457–468. [Google Scholar] [CrossRef]










| Sample Code | TMG (2%) (mL) | Am (g) | AGA (g) | BMEP (2%) (w/v) (mL) | KPS 10% (w/v) (mL) | % ESR ESR | % EE | Network Parameters | ||||
|---|---|---|---|---|---|---|---|---|---|---|---|---|
| χ | Mc | ξ | ø | υe | ||||||||
| TMGA-1 | 5.0 | 0.5 | 0.5 | 2.0 | 1.0 | 2364 ± 1.0 | 39.61 ± 1.0 | 0.5456 | 29,653 | 39.451 | 12.659 | 0.4552 |
| TMGA-2 | 5.0 | 0.5 | 1.0 | 2.0 | 1.0 | 2536 ± 0.7 | 56.56 ± 0.8 | 0.5325 | 36,039 | 50.125 | 11.478 | 0.1256 |
| TMGA-3 | 5.0 | 0.5 | 1.5 | 1.0 | 1.0 | 2882 ± 1.2 | 69.20 ± 1.2 | 0.5238 | 61,464 | 66.265 | 10.355 | 0.1125 |
| TMGA-4 | 5.0 | 0.5 | 1.0 | 3.0 | 1.0 | 2040 ± 0.9 | 31.86 ± 1.3 | 0.5243 | 21,782 | 32.236 | 15.119 | 0.5426 |
Publisher’s Note: MDPI stays neutral with regard to jurisdictional claims in published maps and institutional affiliations. |
© 2021 by the authors. Licensee MDPI, Basel, Switzerland. This article is an open access article distributed under the terms and conditions of the Creative Commons Attribution (CC BY) license (https://creativecommons.org/licenses/by/4.0/).
Share and Cite
Nagaraja, K.; Krishna Rao, K.S.V.; Zo, S.; Soo Han, S.; Rao, K.M. Synthesis of Novel Tamarind Gum-co-poly(acrylamidoglycolic acid)-Based pH Responsive Semi-IPN Hydrogels and Their Ag Nanocomposites for Controlled Release of Chemotherapeutics and Inactivation of Multi-Drug-Resistant Bacteria. Gels 2021, 7, 237. https://doi.org/10.3390/gels7040237
Nagaraja K, Krishna Rao KSV, Zo S, Soo Han S, Rao KM. Synthesis of Novel Tamarind Gum-co-poly(acrylamidoglycolic acid)-Based pH Responsive Semi-IPN Hydrogels and Their Ag Nanocomposites for Controlled Release of Chemotherapeutics and Inactivation of Multi-Drug-Resistant Bacteria. Gels. 2021; 7(4):237. https://doi.org/10.3390/gels7040237
Chicago/Turabian StyleNagaraja, Kasula, Kummari S. V. Krishna Rao, Sunmi Zo, Sung Soo Han, and Kummara Madhususdana Rao. 2021. "Synthesis of Novel Tamarind Gum-co-poly(acrylamidoglycolic acid)-Based pH Responsive Semi-IPN Hydrogels and Their Ag Nanocomposites for Controlled Release of Chemotherapeutics and Inactivation of Multi-Drug-Resistant Bacteria" Gels 7, no. 4: 237. https://doi.org/10.3390/gels7040237
APA StyleNagaraja, K., Krishna Rao, K. S. V., Zo, S., Soo Han, S., & Rao, K. M. (2021). Synthesis of Novel Tamarind Gum-co-poly(acrylamidoglycolic acid)-Based pH Responsive Semi-IPN Hydrogels and Their Ag Nanocomposites for Controlled Release of Chemotherapeutics and Inactivation of Multi-Drug-Resistant Bacteria. Gels, 7(4), 237. https://doi.org/10.3390/gels7040237

