Honey–Propolis-Enriched Pectin Films for Active Packaging of Soluble Coffee and Matcha Powders
Abstract
1. Introduction
2. Results and Discussion
2.1. Film Thickness and Moisture Content
2.2. Optical Properties of the Films
2.3. Mechanical Properties of Edible Films
2.4. FT-IR Spectra
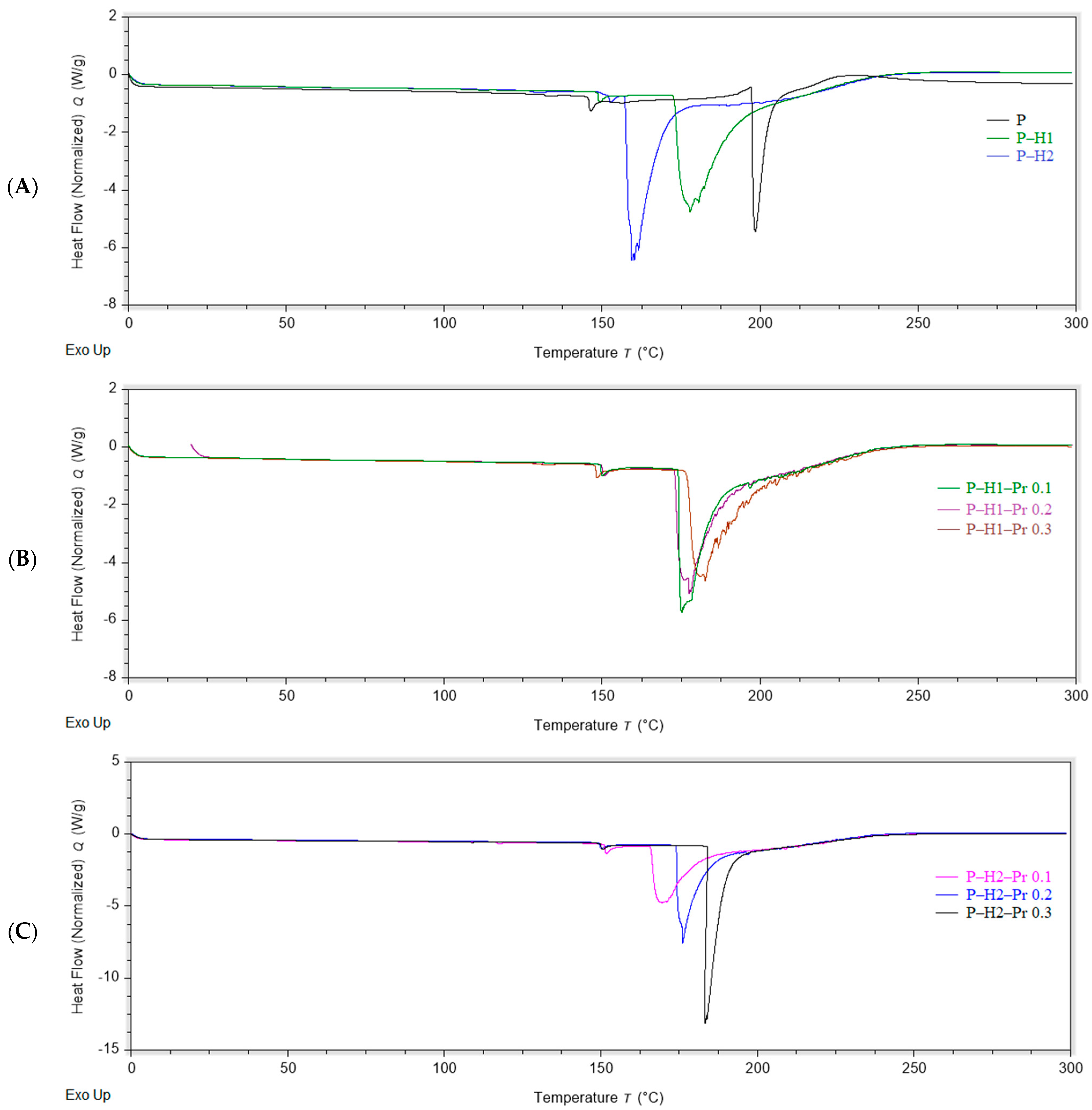
2.5. Thermal Properties of Edible Films
2.6. Total Phenolic Content, Phenolic Profile, and Antioxidant Activity
2.7. Microbiological Quality of Edible Films
2.8. Physicochemical and Sensory Evaluation of Beverages Formulated from Powders Packaged in Edible Films
3. Conclusions
4. Materials and Methods
4.1. Materials
4.2. Edible Film Preparation
4.3. Methods for Physicochemical and Microbiological Analysis of Edible Films
4.3.1. Analysis of Film Thickness and Moisture Content
4.3.2. Optical Properties
4.3.3. Mechanical Properties
4.3.4. FT-IR Analysis
4.3.5. Thermal Analysis
4.3.6. Determination of Total Phenolic Content, Antioxidant Activity, and Individual Phenolic Compounds
4.3.7. Microbiological Analysis
4.4. Packaging Application of Edible Films
4.5. Physicochemical and Sensory Analysis of Beverages Prepared from Powders Packaged in Edible Films
4.6. Statistical Analysis
Author Contributions
Funding
Institutional Review Board Statement
Informed Consent Statement
Data Availability Statement
Conflicts of Interest
References
- Syarifuddin, A.; Muflih, M.H.; Izzah, N.; Fadillah, U.; Ainani, A.F.; Dirpan, A. Pectin-Based Edible Films and Coatings: From Extraction to Application on Food Packaging towards Circular Economy- A Review. Carbohydr. Polym. Technol. Appl. 2025, 9, 100680. [Google Scholar] [CrossRef]
- Zhang, X.; Chen, X.; Dai, J.; Cui, H.; Lin, L. Edible Films of Pectin Extracted from Dragon Fruit Peel: Effects of Boiling Water Treatment on Pectin and Film Properties. Food Hydrocoll. 2024, 147, 109324. [Google Scholar] [CrossRef]
- Gaspar, M.C.; Braga, M.E.M. Edible Films and Coatings Based on Agrifood Residues: A New Trend in the Food Packaging Research. Curr. Opin. Food Sci. 2023, 50, 101006. [Google Scholar] [CrossRef]
- Kocira, A.; Kozłowicz, K.; Panasiewicz, K.; Staniak, M.; Szpunar-Krok, E.; Hortyńska, P. Polysaccharides as Edible Films and Coatings: Characteristics and Influence on Fruit and Vegetable Quality—A Review. Agronomy 2021, 11, 813. [Google Scholar] [CrossRef]
- Biratu, G.; Woldemariam, H.W.; Gonfa, G. Development of Active Edible Films from Coffee Pulp Pectin, Propolis, and Honey with Improved Mechanical, Functional, Antioxidant, and Antimicrobial Properties. Carbohydr. Polym. Technol. Appl. 2024, 8, 100557. [Google Scholar] [CrossRef]
- Umaraw, P.; Verma, A.K. Comprehensive Review on Application of Edible Film on Meat and Meat Products: An Eco-Friendly Approach. Crit. Rev. Food Sci. Nutr. 2017, 57, 1270–1279. [Google Scholar] [CrossRef] [PubMed]
- Dranca, F.; Talón, E.; Vargas, M.; Oroian, M. Microwave vs. Conventional Extraction of Pectin from Malus Domestica ‘Fălticeni’ Pomace and Its Potential Use in Hydrocolloid-Based Films. Food Hydrocoll. 2021, 121, 107026. [Google Scholar] [CrossRef]
- Mulla, M.Z.; Ahmed, J.; Vahora, A.; Pathania, S. Effect of Pectin Incorporation on Characteristics of Chitosan Based Edible Films. J. Food Meas. Charact. 2023, 17, 5569–5581. [Google Scholar] [CrossRef]
- Priyadarshi, R.; Kim, S.M.; Rhim, J.W. Pectin/Pullulan Blend Films for Food Packaging: Effect of Blending Ratio. Food Chem. 2021, 347, 129022. [Google Scholar] [CrossRef]
- Kannan, A.; Dheeptha, M.; Sistla, Y.S. Development of Pectin and Sodium Alginate Composite Films with Improved Barrier and Mechanical Properties for Food-Packaging Applications. Eng. Proc. 2023, 37, 80. [Google Scholar] [CrossRef]
- Dao, D.N.; Le, P.H.; Do, D.X.; Dang, T.M.Q.; Nguyen, S.K.; Nguyen, V. Pectin and Cellulose Extracted from Coffee Pulps and Their Potential in Formulating Biopolymer Films. Biomass Convers. Biorefinery 2023, 13, 13117–13125. [Google Scholar] [CrossRef]
- Asfaw, W.A.; Tafa, K.D.; Satheesh, N. Optimization of Citron Peel Pectin and Glycerol Concentration in the Production of Edible Film Using Response Surface Methodology. Heliyon 2023, 9, e13724. [Google Scholar] [CrossRef]
- Šešlija, S.; Nešić, A.; Ružić, J.; Kalagasidis Krušić, M.; Veličković, S.; Avolio, R.; Santagata, G.; Malinconico, M. Edible Blend Films of Pectin and Poly(Ethylene Glycol): Preparation and Physico-Chemical Evaluation. Food Hydrocoll. 2018, 77, 494–501. [Google Scholar] [CrossRef]
- Chuenkaek, T.; Kobayashi, T. Citrus Waste Upcycling toward Pectin Moisturizer Films Plasticized with Glycerol and Polyethylene Glycol. ACS Sustain. Resour. Manag. 2024, 1, 213–224. [Google Scholar] [CrossRef]
- Auras, R.; Arroyo, B.; Selke, S. Production and Properties of Spin-Coated Cassava-Starch-Glycerol-Beeswax Films. Starch Stärke 2009, 61, 463–471. [Google Scholar] [CrossRef]
- Vergel-Alfonso, A.A.; Arias-Avelenda, R.; Casariego-Año, A.; Giménez, M.J.; Ruíz-Cruz, S.; López-Corona, B.E.; Del-Toro-Sánchez, C.L.; Gonzalez-Bravo, A.L.; Plascencia-Jatomea, M.; Menchaca-Armenta, M.; et al. Development and Characterization of Pectin and Beeswax-Based Coatings Enhanced with Anthocyanins and Its Antioxidant and Antifungal Properties. Process 2025, 13, 542. [Google Scholar] [CrossRef]
- Osuna, M.B.; Romero, C.A.; Rivas, F.P.; Judis, M.A.; Bertola, N.C. Apple Pectin Based Film with Apis Mellifera Honey and /or Propolis Extract as Sources of Active Compounds. Food Biophys. 2025, 20, 1–11. [Google Scholar] [CrossRef]
- Spinei, M.; Oroian, M.; Ursachi, V.F. Characterization of Biodegradable Films Based on Carboxymethyl Cellulose and Citrus Pectin Films Enriched with Bee Bread Oil and Thyme Oil. LWT 2024, 214, 117088. [Google Scholar] [CrossRef]
- Younis, H.G.R.; Zhao, G. Physicochemical Properties of the Edible Films from the Blends of High Methoxyl Apple Pectin and Chitosan. Int. J. Biol. Macromol. 2019, 131, 1057–1066. [Google Scholar] [CrossRef]
- Ursachi, V.F.; Oroian, M.; Spinei, M. Development and Characterization of Biodegradable Films Based on Cellulose Derivatives and Citrus Pectin: A Comparative Study. Ind. Crops Prod. 2024, 219, 119052. [Google Scholar] [CrossRef]
- Ran, R.; Xiong, Y.; Zheng, T.; Tang, P.; Zhang, Y.; Yang, C.; Li, G. Active and Intelligent Collagen Films Containing Laccase-Catalyzed Mulberry Extract and Pickering Emulsion for Fish Preservation and Freshness Indicator. Food Hydrocoll. 2024, 147, 109326. [Google Scholar] [CrossRef]
- Li, X.; He, J.; Zhang, W.; Khan, M.R.; Ahmad, N.; Tian, W. Pectin Film Fortified with Zein Nanoparticles and Fe3+-Encapsulated Propolis Extract for Enhanced Fruit Preservation. Food Hydrocoll. 2024, 157, 110405. [Google Scholar] [CrossRef]
- Marangoni Júnior, L.; Gonçalves, S.d.Á.; Silva, R.G.d.; Martins, J.T.; Vicente, A.A.; Alves, R.M.V.; Vieira, R.P. Effect of Green Propolis Extract on Functional Properties of Active Pectin-Based Films. Food Hydrocoll. 2022, 131, 107746. [Google Scholar] [CrossRef]
- Jridi, M.; Abdelhedi, O.; Salem, A.; Kechaou, H.; Nasri, M.; Menchari, Y. Physicochemical, Antioxidant and Antibacterial Properties of Fish Gelatin-Based Edible Films Enriched with Orange Peel Pectin: Wrapping Application. Food Hydrocoll. 2020, 103, 105688. [Google Scholar] [CrossRef]
- Osuna, M.B.; Michaluk, A.; Romero, A.M.; Judis, M.A.; Bertola, N.C. Plasticizing Effect of Apis Mellifera Honey on Whey Protein Isolate Films. Biopolymers 2022, 113, e23519. [Google Scholar] [CrossRef]
- Gniewosz, M.; Pobiega, K.; Kraśniewska, K.; Synowiec, A.; Chaberek, M.; Galus, S. Characterization and Antifungal Activity of Pullulan Edible Films Enriched with Propolis Extract for Active Packaging. Foods 2022, 11, 2319. [Google Scholar] [CrossRef]
- Bodini, R.B.; Sobral, P.J.A.; Favaro-Trindade, C.S.; Carvalho, R.A. Properties of Gelatin-Based Films with Added Ethanol–Propolis Extract. LWT—Food Sci. Technol. 2013, 51, 104–110. [Google Scholar] [CrossRef]
- Pauliuc, D.; Dranca, F.; Ropciuc, S.; Oroian, M. Advanced Characterization of Monofloral Honeys from Romania. Agriculture 2022, 12, 526. [Google Scholar] [CrossRef]
- Dranca, F.; Vargas, M.; Oroian, M. Physicochemical Properties of Pectin from Malus Domestica ‘Fălticeni’ Apple Pomace as Affected by Non-Conventional Extraction Techniques. Food Hydrocoll. 2020, 100, 105383. [Google Scholar] [CrossRef]
- Oroian, M.; Ursachi, F.; Dranca, F. Influence of Ultrasonic Amplitude, Temperature, Time and Solvent Concentration on Bioactive Compounds Extraction from Propolis. Ultrason. Sonochem. 2020, 64, 105021. [Google Scholar] [CrossRef] [PubMed]
- Velásquez, P.; Montenegro, G.; Valenzuela, L.M.; Giordano, A.; Cabrera-Barjas, G.; Martin-Belloso, O. K-Carrageenan Edible Films for Beef: Honey and Bee Pollen Phenolic Compounds Improve Their Antioxidant Capacity. Food Hydrocoll. 2022, 124, 107250. [Google Scholar] [CrossRef]
- Moreira, R.B.; Teixeira, J.A.; Furuyama-Lima, A.M.; De Souza, N.C.; Siqueira, A.B. Preparation, Characterization and Evaluation of Drug-Delivery Systems: Pectin and Mefenamic Acid Films. Thermochim. Acta 2014, 590, 100–106. [Google Scholar] [CrossRef]
- Marcucci, M.C.; Cunha, I.B.S.; Sanchez, E.M.S.; Gonçalves, C.P.; Cedeño-Pinos, C.; Bañón, S. Analysis of Brazilian Propolis by Differential Scanning Calorimetry (DSC) and Thermal Gravimetric Analysis (TGA). Characteristics of Crude Resin, Ethanolic Extracts, Wax and Isolated Compounds. Bee World 2022, 99, 82–88. [Google Scholar] [CrossRef]
- Kamthai, S.; Wiriyacharee, P.; Naruenartwongsakul, S.; Khaw-on, P.; Deenu, A.; Chaipoot, S.; Phongphisutthinant, R.; Tachai, K.; Orpool, S. Influence of Honey Bee Brood Protein on the Hydrophilic, Mechanical, and Thermal Properties of Polysaccharide Gel Films. Gels 2025, 11, 236. [Google Scholar] [CrossRef]
- Pauliuc, D.; Dranca, F.; Oroian, M. Antioxidant Activity, Total Phenolic Content, Individual Phenolics and Physicochemical Parameters Suitability for Romanian Honey Authentication. Foods 2020, 9, 306. [Google Scholar] [CrossRef]
- Tlak Gajger, I.; Dar, S.A.; Ahmed, M.M.M.; Aly, M.M.; Vlainić, J. Antioxidant Capacity and Therapeutic Applications of Honey: Health Benefits, Antimicrobial Activity and Food Processing Roles. Antioxidants 2025, 14, 959. [Google Scholar] [CrossRef]
- Woźniak, M.; Sip, A.; Mrówczyńska, L.; Broniarczyk, J.; Waśkiewicz, A.; Ratajczak, I. Biological Activity and Chemical Composition of Propolis from Various Regions of Poland. Molecules 2023, 28, 141. [Google Scholar] [CrossRef]
- Díaz-Montes, E.; Castro-Muñoz, R. Edible Films and Coatings as Food-Quality Preservers: An Overview. Foods 2021, 10, 249. [Google Scholar] [CrossRef]
- Gomes, S.; Dias, L.G.; Moreira, L.L.; Rodrigues, P.; Estevinho, L. Physicochemical, Microbiological and Antimicrobial Properties of Commercial Honeys from Portugal. Food Chem. Toxicol. 2010, 48, 544–548. [Google Scholar] [CrossRef]
- Rendueles, E.; Mauriz, E.; Sanz-Gómez, J.; Adanero-Jorge, F.; García-Fernandez, C. Antimicrobial Activity of Spanish Propolis against Listeria Monocytogenes and Other Listeria Strains. Microorganisms 2023, 11, 1429. [Google Scholar] [CrossRef] [PubMed]
- Vică, M.L.; Glevitzky, M.; Tit, D.M.; Behl, T.; Heghedűş-Mîndru, R.C.; Zaha, D.C.; Ursu, F.; Popa, M.; Glevitzky, I.; Bungău, S. The Antimicrobial Activity of Honey and Propolis Extracts from the Central Region of Romania. Food Biosci. 2021, 41, 101014. [Google Scholar] [CrossRef]
- European Commission. COMMISSION REGULATION (EC) No 2073/2005. Available online: https://eur-lex.europa.eu/legal-content/EN/TXT/HTML/?uri=CELEX:02005R2073-20200308 (accessed on 10 August 2025).
- Najman, K.; Sadowska, A.; Wolińska, M.; Starczewska, K.; Buczak, K. The Content of Bioactive Compounds and Technological Properties of Matcha Green Tea and Its Application in the Design of Functional Beverages. Molecules 2023, 28, 7018. [Google Scholar] [CrossRef]
- Manikharda; Shofi, V.E.; Betari, B.K.; Supriyadi. Effect Shading Intensity on Color, Chemical Composition, and Sensory Evaluation of Green Tea (Camelia Sinensis Var Assamica). J. Saudi Soc. Agric. Sci. 2023, 22, 407–412. [Google Scholar] [CrossRef]
- Behfar, M.; Hashemirad, F.S.; Kavoosi, G.; Dadfar, S.M.M. Enhancing Gelatin Matrices with Propolis and Royal Jelly: Antioxidant, Physico-Chemical, Techno-Functional, and Physico-Mechanical Properties. J. Agric. Food Res. 2025, 23, 102219. [Google Scholar] [CrossRef]
- Jakubczyk, K.; Kochman, J.; Kwiatkowska, A.; Kałdunska, J.; Dec, K.; Kawczuga, D.; Janda, K. Antioxidant Properties and Nutritional Composition of Matcha Green Tea. Foods 2020, 9, 483. [Google Scholar] [CrossRef]
- Pintać, D.; Bekvalac, K.; Mimica-Dukić, N.; Rašeta, M.; Anđelić, N.; Lesjak, M.; Orčić, D. Comparison Study between Popular Brands of Coffee, Tea and Red Wine Regarding Polyphenols Content and Antioxidant Activity. Food Chem. Adv. 2022, 1, 100030. [Google Scholar] [CrossRef]
- Popov, S.; Smirnov, V.; Khramova, D.; Paderin, N.; Chistiakova, E.; Ptashkin, D.; Vityazev, F. Effect of Hogweed Pectin on Rheological, Mechanical, and Sensory Properties of Apple Pectin Hydrogel. Gels 2023, 9, 225. [Google Scholar] [CrossRef] [PubMed]
- El-Sakhawy, M.; Salama, A.; Mohamed, S.A.A. Propolis Applications in Food Industries and Packaging. Biomass Convers. Biorefinery 2023, 14, 13731–13746. [Google Scholar] [CrossRef]
- ASTM D6988-21; Standard Guide for Determination of Thickness of Plastic Film Test Specimens. ASTM: Conshohocken, PA, USA, 2021. [CrossRef]
- ASTM D6980-17; Standard Test Method for Determination of Moisture in Plastics by Loss in Weight. ASTM: Conshohocken, PA, USA, 2017. [CrossRef]
- Kalaycıoğlu, Z.; Torlak, E.; Akın-Evingür, G.; Özen, İ.; Erim, F.B. Antimicrobial and Physical Properties of Chitosan Films Incorporated with Turmeric Extract. Int. J. Biol. Macromol. 2017, 101, 882–888. [Google Scholar] [CrossRef]
- Priyadarshi, R.; Sauraj; Kumar, B.; Deeba, F.; Kulshreshtha, A.; Negi, Y.S. Chitosan Films Incorporated with Apricot (Prunus Armeniaca) Kernel Essential Oil as Active Food Packaging Material. Food Hydrocoll. 2018, 85, 158–166. [Google Scholar] [CrossRef]
- ISO 4833-1:2013; Microbiology of the Food Chain—Horizontal Method for the Enumeration of Microorganisms—Part 1: Colony Count at 30 °C by the Pour Plate Technique. ISO: Geneva, Switzerland, 2013.
- ISO 21527-2; Microbiology of Food and Animal Feeding Stuffs—Horizontal Method for the Enumeration of Yeasts and Moulds—Part 2: Colony Count Technique in Products with Water Activity Less than or Equal to 0.95. ISO: Geneva, Switzerland, 2008.
- ISO 4832:2006; Microbiology of Food and Animal Feeding Stuffs—Horizontal Method for the Enumeration of Coliforms—Colony-Count Technique. ISO: Geneva, Switzerland, 2006. Available online: https://www.iso.org/standard/38282.html (accessed on 9 August 2025).







| Parameter | Edible Film Formulation | ||||||||
|---|---|---|---|---|---|---|---|---|---|
| P | P–H1 | P–H1–Pr 0.1 | P–H1–Pr 0.2 | P–H1–Pr 0.3 | P–H2 | P–H2–Pr 0.1 | P–H2–Pr 0.2 | P–H2–Pr 0.3 | |
| Thickness (μm) | 70.50 (2.30) d | 255.80 (1.10) c | 261.10 (3.30) bc | 267.90 (2.90) ab | 275.60 (2.70) a | 259.20 (2.00) bc | 269.50 (1.90) ab | 274.30 (4.10) a | 276.90 (7.70) a |
| Moisture content (%) | 10.05 (1.24) b | 17.23 (0.01) a | 16.99 (0.01) a | 16.95 (0.05) a | 17.07 (0.02) a | 17.25 (0.03) a | 17.57 (0.59) a | 16.82 (0.13) a | 17.25 (0.06) a |
| Optical properties | |||||||||
| L* | 38.00 (0.09) a | 32.32 (0.52) c | 31.58 (0.04) d | 31.21 (0.01) d | 27.49 (0.06) g | 33.08 (0.09) b | 31.58 (0.07) d | 30.57 (0.17) e | 29.89 (0.27) f |
| a* | −0.05 (0.03) a | −0.12 (0.03) a | −0.47 (0.02) c | −0.74 (0.04) e | −0.61 (0.01) d | −0.47 (0.02) c | −0.53 (0.03) c | −0.46 (0.01) c | −0.31 (0.01) b |
| b* | 2.63 (0.03) c | 2.81 (0.03) b | 2.36 (0.05) e | 3.25 (0.02) a | 2.45 (0.04) e | 2.60 (0.02) cd | 3.18 (0.02) a | 3.22 (0.07) a | 2.48 (0.05) de |
| ΔE* | – | 4.93 (0.03) f | 5.70 (0.58) e | 6.49 (0.07) d | 6.81 (0.09) d | 6.43 (0.05) d | 7.47 (0.08) c | 8.14 (0.18) b | 10.52 (0.03) a |
| C*ab | 2.63 (0.03) d | 2.81 (0.03) c | 2.41 (0.05) f | 3.33 (0.02) a | 2.52 (0.05) e | 2.64 (0.02) d | 3.23 (0.02) b | 3.23 (0.04) b | 2.50 (0.05) ef |
| h*ab | 91.02 (0.46) g | 92.47 (0.62) g | 101.43 (0.69) bc | 102.85 (0.53) ab | 104.07 (0.76) a | 100.18 (0.23) cd | 99.42 (0.44) de | 98.23 (0.38) ef | 97.20 (0.30) f |
| Opacity | 8.76 (0.29) a | 1.87 (0.01) d | 1.87 (0.02) d | 2.27 (0.02) c | 2.51 (0.03) c | 1.35 (0.01) e | 2.92 (0.02) b | 2.86 (0.04) b | 3.05 (0.08) b |
| Light transmission (%) | 24.14 (0.01) c | 33.17 (0.01) b | 32.52 (0.01) b | 21.30 (0.01) d | 14.68 (0.72) f | 44.70 (0.01) a | 16.51 (0.01) e | 16.45 (0.01) e | 14.30 (0.01) f |
| Transparency | 19.62 (0.65) a | 5.94 (0.03) b | 5.79 (0.07) b | 4.96 (0.05) c | 4.23 (0.05) d | 6.36 (0.05) b | 4.52 (0.03) cd | 4.43 (0.07) cd | 4.17 (0.11) d |
| Mechanical properties | |||||||||
| EM (MPa) | 9.79 (0.12) a | 2.96 (0.13) b | 2.83 (0.01) b | 2.78 (0.16) b | 2.14 (0.27) c | 2.69 (0.02) b | 2.64 (0.02) b | 2.48 (0.09) bc | 2.19 (0.02) c |
| TS (MPa) | 5.81 (0.07) a | 1.18 (0.03) b | 1.08 (0.03) b | 0.69 (0.04) cd | 0.59 (0.02) c | 1.22 (0.04) b | 0.97 (0.01) b | 0.78 (0.01) c | 0.73 (0.01) c |
| %E | 23.60 (0.25) c | 34.49 (0.12) a | 33.68 (0.24) a | 28.76 (0.12) b | 23.72 (0.4) c | 33.37 (0.66) a | 32.48 (0.2) ab | 30.32 (0.16) b | 29.09 (0.36) b |
| Edible Film Formulation | Tm1 (°C) | ΔH (J/g) | Tm2 (°C) | ΔH (J/g) | Td (°C) | ΔCp (J/(g. °C)) | ΔH (J/g) |
|---|---|---|---|---|---|---|---|
| P | 146.41 (1.24) d | 6.06 (0.05) a | 198.46 (3.32) a | 117.96 (2.64) f | 227.59 (1.98) c | 0.61 (0.00) b | 20.19 (0.60) b |
| P–H1 | 149.17 (1.98) c | 4.43 (0.02) c | 177.78 (2.55) c | 305.68 (2.38) b | 259.57 (2.60) a | 0.14 (0.00) d | 31.85 (1.14) a |
| P–H1–Pr 0.1 | 150.64 (1.29) b | 6.69 (0.10) a | 177.50 (1.73) c | 270.05 (2.29) cd | 230.87 (4.88) b | 0.23 (0.00) d | 12.13 (1.73) c |
| P–H1–Pr 0.2 | 148.46 (2.44) c | 6.39 (0.14) a | 182.60 (2.66) b | 287.68 (3.66) c | 235.97 (2.62) b | 0.47 (0.01) b | 11.56 (1.08) c |
| P–H1–Pr 0.3 | 150.16 (1.89) b | 6.04 (0.20) a | 186.11 (1.85) b | 325.35 (2.89) a | 225.66 (3.11) c | 1.07 (0.03) a | 5.86 (0.23) d |
| P–H2 | 152.72 (1.49) a | 3.64 (0.06) d | 159.41 (1.83) e | 263.85 (3.24) d | 238.89 (2.63) b | 0.32 (0.00) c | 28.02 (1.64) a |
| P–H2–Pr 0.1 | 137.89 (1.80) d | 5.18 (0.16) b | 159.22 (2.68) e | 170.50 (2.97) e | 238.10 (2.85) b | 0.35 (0.00) c | 15.26 (1.34) c |
| P–H2–Pr 0.2 | 151.77 (1.76) a | 5.03 (0.08) b | 169.42 (3.04) d | 261.64 (2.29) d | 223.27 (2.62) c | 0.55 (0.01) b | 13.19 (0.62) c |
| P–H2–Pr 0.3 | 150.57 (0.72) b | 4.34 (0.10) c | 183.34 (1.63) b | 296.84 (4.25) b | 236.32 (3.00) b | 1.11 (0.02) a | 12.91 (1.29) c |
| Edible Film Formulation | I Stage of Weight Loss | II Stage of Weight Loss | III Stage of Weight Loss | ||||||
|---|---|---|---|---|---|---|---|---|---|
| Tpeak (°C) | ΔW (%) | Residue at 150 °C (%) | Tpeak (°C) | ΔW (%) | Residue at 280 °C (%) | Tpeak (°C) | ΔW (%) | Residue at 400 °C (%) | |
| P | 105.08 (0.84) a | 12.39 (0.08) a | 87.62 (0.08) g | 210.72 (0.88) d | 33.03 (0.01) a | 54.59 (0.09) e | 362.99 (0.81) a | 2.64 (0.06) d | 51.95 (0.16) ef |
| P–H1 | 92.93 (0.13) ef | 10.85 (0.90) b | 89.16 (0.90) f | 200.05 (0.37) f | 25.92 (0.06) b | 63.24 (0.96) d | 342.65 (0.84) e | 13.42 (0.06) a | 49.82 (1.02) fg |
| P–H1–Pr 0.1 | 96.38 (0.35) cd | 6.81 (0.10) ef | 93.19 (0.10) bc | 189.77 (0.38) h | 24.09 (0.03) c | 69.10 (0.13) b | 347.95 (1.43) c | 11.35 (0.16) b | 57.76 (0.29) bc |
| P–H1–Pr 0.2 | 94.94 (0.11) d | 7.80 (0.08) de | 92.21 (0.08) cd | 228.21 (0.34) b | 24.52 (0.53) c | 67.69 (0.61) bc | 341.96 (0.27) e | 10.83 (0.21) b | 56.86 (0.82) cd |
| P–H1–Pr 0.3 | 98.62 (0.20) b | 8.62 (0.23) cd | 91.38 (0.23) de | 184.10 (0.83) i | 23.80 (0.11) cd | 67.58 (0.11) bc | 346.95 (0.30) cd | 8.54 (0.59) c | 59.04 (0.71) abc |
| P–H2 | 97.82 (0.23) bc | 12.79 (0.13) a | 87.21 (0.13) g | 194.01 (0.10) g | 25.81 (0.47) b | 61.41 (0.60) d | 329.97 (0.21) f | 13.62 (0.09) a | 47.79 (0.69) g |
| P–H2–Pr 0.1 | 94.80 (0.32) de | 4.70 (0.27) g | 95.30 (0.27) a | 222.68 (0.67) c | 23.09 (0.04) de | 72.21 (0.31) a | 343.60 (0.79) de | 11.56 (0.59) b | 60.65 (0.91) a |
| P–H2–Pr 0.2 | 90.52 (0.48) g | 5.71 (0.19) fg | 94.30 (0.19) ab | 231.33 (0.76) a | 22.31 (0.08) e | 71.99 (0.27) a | 355.29 (1.20) b | 11.82 (0.03) b | 60.17 (0.30) ab |
| P–H2–Pr 0.3 | 91.14 (1.02) fg | 9.95 (0.25) bc | 90.05 (0.25) ef | 205.80 (1.03) e | 23.96 (0.20) cd | 66.09 (0.45) c | 327.93 (1.66) f | 11.66 (0.05) b | 54.44 (0.50) de |
| Parameter | Edible Film Formulation | ||||||||
|---|---|---|---|---|---|---|---|---|---|
| P | P–H1 | P–H1–Pr 0.1 | P–H1–Pr 0.2 | P–H1–Pr 0.3 | P–H2 | P–H2–Pr 0.1 | P–H2–Pr 0.2 | P–H2–Pr 0.3 | |
| TPC (mg GAE/100 g) | 3.02 (0.05) f | 42.61 (0.62) d | 46.60 (0.67) cd | 50.94 (0.73) b | 54.21 (0.80) a | 41.09 (0.59) d | 45.19 (0.65) d | 48.31 (0.69) c | 52.90 (0.76) ab |
| DPPH (%) | 14.71 (0.21) e | 55.29 (0.05) c | 57.27 (0.05) b | 59.07 (0.10) a | 59.91 (0.05) a | 53.77 (0.08) d | 54.56 (0.05) cd | 56.75 (0.02) c | 59.89 (0.78) a |
| Individual polyphenols content (mg/100 g) | |||||||||
| Galic acid | n.d. | n.d. | n.d. | n.d. | n.d. | n.d. | n.d. | n.d. | n.d. |
| Protocatechuic acid | n.d. | n.d. | 0.34 (0.48) a | 0.44 (0.27) a | 0.84 (0.62) a | n.d. | 0.22 b | 0.32 (0.16) a | 0.99 (0.45) a |
| 4-hydroxybenzoic acid | n.d. | 37.90 (2.54) c | 36.74 (9.98) c | 35.63 (9.94) c | 34.85 (10.85) c | 45.31 (1.36) a | 44.29 (2.11) a | 43.61 (11.27) b | 42.84 (11.12) b |
| Vanillic acid | n.d. | n.d. | 0.86 (0.01) a | 0.98 (0.05) a | 1.44 (2.03) a | n.d. | n.d. | n.d. | n.d. |
| Caffeic acid | n.d. | 23.48 (0.01) c | 23.60 (0.04) c | 24.28 (0.13) c | 26.86 (0.10) b | 26.33 (0.15) b | 26.77 (0.25) b | 26.86 (0.51) b | 28.99 (0.14) a |
| Chlorogenic acid | n.d. | n.d. | n.d. | n.d. | n.d. | n.d. | n.d. | n.d. | n.d. |
| p-coumaric acid | n.d. | 0.05 (0.00) e | 25.60 (0.41) d | 29.89 (0.59) c | 34.62 (0.08) b | 0.06 (0.00) e | 32.78 (2.84) bc | 34.98 (0.12) b | 40.81 (0.12) a |
| Rosmarinic acid | n.d. | 0.25 (0.01) d | 0.29 (0.01) c | 0.31 (0.01) c | 0.32 (0.01) c | 0.33 (0.00) c | 0.36 (0.01) b | 0.38 (0.00) b | 0.71 (0.01) a |
| Miricetin | n.d. | 6.22 (0.06) d | 10.08 (0.08) ab | 10.86 (0.06) a | 11.15 (0.07) a | 7.37 (3.12) cd | 8.35 (0.05) c | 9.41 (0.05) b | 9.57 (0.09) b |
| Luteolin | n.d. | n.d. | n.d. | n.d. | n.d. | n.d. | n.d. | n.d. | n.d. |
| Quercitin | n.d. | 1.09 e | 1.11 (0.03) d | 1.18 (0.08) d | 1.26 (0.04) c | 1.28 (0.04) c | 1.39 (0.01) bc | 1.44 (0.03) b | 1.61 (0.03) a |
| Kaempferol | n.d. | n.d. | 0.77 (0.17) d | 1.31 (0.01) c | 1.90 (0.07) b | n.d. | 1.78 (0.20) b | 1.87 (0.45) b | 2.30 (0.01) a |
| Edible Film Formulation | TVC (log10 CFU/g) | YMC (log10 CFU/g) | CC (log10 CFU/g) |
|---|---|---|---|
| P | 1.76 (0.03) a | 1.31 (0.01) b | n.d. |
| P–H1 | 1.79 (0.02) a | 1.40 (0.01) a | n.d. |
| P–H1–Pr 0.1 | 1.78 (0.01) a | 1.38 (0.03) a | n.d. |
| P–H1–Pr 0.2 | 1.78 (0.01) a | 1.36 (0.03) ab | n.d. |
| P–H1–Pr 0.3 | 1.77 (0.01) a | 1.36 (0.01) ab | n.d. |
| P–H2 | 1.78 (0.03) a | 1.41 (0.03) a | n.d. |
| P–H2–Pr 0.1 | 1.78 (0.01) a | 1.39 (0.01) a | n.d. |
| P–H2–Pr 0.2 | 1.77 (0.01) a | 1.38 (0.01) a | n.d. |
| P–H2–Pr 0.3 | 1.77 (0.02) a | 1.37 (0.02) a | n.d. |
| Film Used as Package | Color Parameters | Viscosity (Pa∙s) | TPC (mg GAE/100 g) | DPPH (%) | |||||
|---|---|---|---|---|---|---|---|---|---|
| L* | a* | b* | ΔE* | C*ab | h*ab | ||||
| Coffee beverage formulated from powder packaged in edible film | |||||||||
| no film | 48.66 (0.03) g | 29.99 (0.01) b | 74.69 (0.07) d | – | 80.49 (0.06) c | 68.12 (0.03) h | 0.71 × 10−3 (0.00) e | 233.86 (3.34) d | 50.15 (0.07) d |
| P | 50.24 (0.07) e | 28.85 (0.21) c | 76.08 (0.04) b | 2.40 (0.24) de | 81.42 (0.04) b | 69.15 (0.02) e | 1.61 × 10−3 (0.00) a | 238.23 (3.40) d | 53.77 (0.07) d |
| P–H1 | 51.08 (0.01) c | 28.45 (0.01) d | 76.62 (0.12) a | 3.45 (0.01) abc | 81.73 (0.11) a | 69.63 (0.02) cd | 1.60 × 10−3 (0.01) a | 249.93 (3.57) c | 58.18 (0.07) b |
| P–H1–Pr 0.1 | 48.39 (0.02) h | 28.64 (0.01) cd | 73.04 (0.07) f | 2.15 (0.10) e | 78.45 (0.07) ef | 68.59 (0.01) g | 1.46 × 10−3 (0.04) b | 273.94 (3.92) b | 60.64 (0.00) b |
| P–H1–Pr 0.2 | 48.18 (0.01) i | 30.27 (0.01) a | 74.75 (0.03) d | 0.56 (0.01) f | 80.64 (0.03) c | 67.96 (0.01) i | 1.24 × 10−3 (0.01) d | 284.60 (4.07) a | 63.71 (0.07) a |
| P–H1–Pr 0.3 | 50.77 (0.01) d | 27.3 (0.00) f | 73.77 (0.02) e | 3.54 (0.01) abc | 78.66 (0.02) e | 69.69 (0.00) c | 1.21 × 10−3 (0.02) d | 293.21 (4.19) a | 66.62 (0.07) a |
| P–H2 | 51.36 (0.01) b | 27.31 (0.01) f | 74.84 (0.10) d | 3.81 (0.02) ab | 79.67 (0.09) d | 69.96 (0.02) b | 1.59 × 10−3 (0.01) a | 238.78 (3.41) d | 56.48 (0.07) c |
| P–H2–Pr 0.1 | 49.22 (0.01) f | 28.03 (0.01) e | 73.00 (0.09) f | 2.66 (0.09) cde | 78.19 (0.08) f | 69.00 (0.02) f | 1.47 × 10−3 (0.01) b | 253.60 (3.62) c | 59.29 (0.07) b |
| P–H2–Pr 0.2 | 52.54 (0.01) a | 27.43 (0.01) f | 75.67 (0.11) c | 4.27 (0.66) a | 80.49 (0.10) c | 70.08 (0.03) a | 1.39 × 10−3 (0.01) c | 265.18 (3.79) bc | 60.79 (0.07) b |
| P–H2–Pr 0.3 | 51.27 (0.01) b | 28.17 (0.01) e | 75.65 (0.01) c | 3.32 (0.03) bcd | 80.72 (0.00) c | 69.58 (0.01) d | 1.14 × 10−3 (0.02) de | 286.96 (4.09) a | 64.61 (0.07) a |
| Matcha beverage formulated from powder packaged in edible film | |||||||||
| no film | 54.67 (1.09) bc | −3.85 (0.11) d | 43.86 (0.12) bc | – | 44.05 (0.13) bc | 95.00 (0.12) b | 1.06 × 10−3 (0.01) d | 282.01 (4.03) e | 57.08 (0.07) d |
| P | 46.12 (0.76) e | −2.61 (0.12) a | 44.26 (0.25) ab | 8.65 (0.34) a | 44.33 (0.25) ab | 93.38 (0.14) de | 2.17 × 10−3 (0.04) a | 285.86 (4.08) e | 58.59 (0.07) d |
| P–H1 | 61.01 (0.67) a | −4.84 (0.05) e | 41.33 (0.18) e | 6.90 (0.29) bc | 41.61 (0.17) e | 96.67 (0.09) a | 2.13 × 10−3 (0.01) a | 298.48 (4.26) d | 63.51 (0.07) c |
| P–H1–Pr 0.1 | 47.69 (1.44) de | −2.56 (0.17) a | 43.94 (0.37) bc | 7.10 (0.35) ab | 44.00 (0.39) bc | 93.33 (0.18) e | 2.02 × 10−3 (0.02) b | 315.24 (4.50) c | 67.02 (0.07) b |
| P–H1–Pr 0.2 | 51.15 (0.92) cd | −2.77 (0.08) ab | 44.79 (0.23) a | 3.79 (0.19) de | 44.87 (0.23) a | 93.54 (0.09) de | 1.87 × 10−3 (0.00) bc | 334.24 (4.78) b | 68.02 (0.07) b |
| P–H1–Pr 0.3 | 55.1 (0.70) b | −2.83 (0.06) abc | 43.01 (0.10) d | 1.43 (0.07) fg | 43.10 (0.10) d | 93.77 (0.06) cd | 1.61 × 10−3 (0.02) c | 373.82 (5.35) a | 70.13 (0.07) a |
| P–H2 | 59.89 (0.01) a | −3.80 (0.00) d | 43.21 (0.01) cd | 5.24 (1.06) cd | 43.38 (0.01) cd | 95.03 (0.01) b | 2.16 × 10−3 (0.02) a | 287.17 (4.10) e | 62.05 (0.14) c |
| P–H2–Pr 0.1 | 54.22 (1.24) bc | −3.18 (0.05) c | 43.89 (0.08) bc | 0.82 (0.04) g | 44.00 (0.09) bc | 94.14 (0.05) c | 2.05 × 10−3 (0.01) b | 311.19 (4.44) c | 65.21 (0.07) c |
| P–H2–Pr 0.2 | 52.38 (0.98) bc | −3.01 (0.08) bc | 43.44 (0.19) cd | 2.48 (0.10) efg | 43.54 (0.20) bcd | 93.97 (0.09) c | 1.91 × 10−3 (0.00) b | 327.28 (4.67) bc | 66.92 (0.07) b |
| P–H2–Pr 0.3 | 51.91 (0.74) bc | −3.13 (0.08) bc | 43.75 (0.16) bcd | 2.86 (0.35) ef | 43.85 (0.16) bcd | 94.09 (0.08) c | 1.75 × 10−3 (0.00) c | 342.65 (4.89) b | 69.63 (0.07) a |
Disclaimer/Publisher’s Note: The statements, opinions and data contained in all publications are solely those of the individual author(s) and contributor(s) and not of MDPI and/or the editor(s). MDPI and/or the editor(s) disclaim responsibility for any injury to people or property resulting from any ideas, methods, instructions or products referred to in the content. |
© 2025 by the authors. Licensee MDPI, Basel, Switzerland. This article is an open access article distributed under the terms and conditions of the Creative Commons Attribution (CC BY) license (https://creativecommons.org/licenses/by/4.0/).
Share and Cite
Pauliuc, D.; Dranca, F.; Spinei, M.; Ropciuc, S.; Oroian, M. Honey–Propolis-Enriched Pectin Films for Active Packaging of Soluble Coffee and Matcha Powders. Gels 2025, 11, 800. https://doi.org/10.3390/gels11100800
Pauliuc D, Dranca F, Spinei M, Ropciuc S, Oroian M. Honey–Propolis-Enriched Pectin Films for Active Packaging of Soluble Coffee and Matcha Powders. Gels. 2025; 11(10):800. https://doi.org/10.3390/gels11100800
Chicago/Turabian StylePauliuc, Daniela, Florina Dranca, Mariana Spinei, Sorina Ropciuc, and Mircea Oroian. 2025. "Honey–Propolis-Enriched Pectin Films for Active Packaging of Soluble Coffee and Matcha Powders" Gels 11, no. 10: 800. https://doi.org/10.3390/gels11100800
APA StylePauliuc, D., Dranca, F., Spinei, M., Ropciuc, S., & Oroian, M. (2025). Honey–Propolis-Enriched Pectin Films for Active Packaging of Soluble Coffee and Matcha Powders. Gels, 11(10), 800. https://doi.org/10.3390/gels11100800

